![]() | Computer Modeling in Engineering & Sciences | ![]() |
DOI: 10.32604/cmes.2021.012595
ARTICLE
Nonlinear Problems via a Convergence Accelerated Decomposition Method of Adomian
1Department of Mathematics, Hacettepe University, Ankara, 06532, Turkey
2Department of Medical Research, China Medical University Hospital, China Medical University, Taichung, 40447, Taiwan
*Corresponding Author: Mustafa Turkyilmazoglu. Email: turkyilm@hacettepe.edu.tr
Received: 05 July 2020; Accepted: 12 November 2020
Abstract: The present paper is devoted to the convergence control and accelerating the traditional Decomposition Method of Adomian (ADM). By means of perturbing the initial or early terms of the Adomian iterates by adding a parameterized term, containing an embedded parameter, new modified ADM is constructed. The optimal value of this parameter is later determined via squared residual minimizing the error. The failure of the classical ADM is also prevented by a suitable value of the embedded parameter, particularly beneficial for the Duan–Rach modification of the ADM incorporating all the boundaries into the formulation. With the presented squared residual error analysis, there is no need to check out the results against the numerical ones, as usually has to be done in the traditional ADM studies to convince the readers that the results are indeed converged to the realistic solutions. Physical examples selected from the recent application of ADM demonstrate the validity, accuracy and power of the presented novel approach in this paper. Hence, the highly nonlinear equations arising from engineering applications can be safely treated by the outlined method for which the classical ADM may fail or be slow to converge.
Keywords: Nonlinear equations; Adomian decomposition method; modification; convergence acceleration
Researchers prefer an easily accessible and user friendly method requiring less computational labor while accurately approximating highly nonlinear equations resulting from mathematical modeling of real-life phenomena. The Adomian decomposition method (ADM) is one such popular technique capable of dealing with the prevailing nonlinearities by means of Adomian polynomials [1,2]. A modification of the classical ADM is proposed within the current study based on the recent publications [3,4] successfully generating fast convergent ADM series solutions with as small Adomian polynomials as possible in the solution series.
A quick literature survey exhibits that ADM has been applied to many nonlinear equations [5]. To classify some of the recent bibliography, algebraic equations were contained within the references [6,7]. The ordinary differential equations were dealt within the citations [8–14]. The articles [15–18] covered the efforts to partial differential equations. Mathematical analysis of the convergence of ADM to certain nonlinear equations was fulfilled in the publications [19–21]. It can be successfully used to gain correct physical parameters domain [22]. A traffic model was also very recently treated in [23] via the Adomian method. The publications by [24,25] present investigation of some nonlinear problems via different numerical approaches.
It is now well-known that an inadequate arrangement of the classical ADM series may lead to non-convergent solutions or solutions with a poor convergence rate. To avoid these shortcomings, a parameter is generally inserted at the leading term of the Adomian series and later it is subtracted at the first order term not to break down the equation structure. This procedure was pursued by the recent publications [11,17,18]. However, how a proper value of the inserted parameter will be determined was not mentioned in these references. Instead, a randomly chosen value was assigned to it. A variety of modifications were also offered in the articles [26–31]. A successful formulation of the ADM was made in the recent work of [3] which was named as the optimal ADM. Further applications of the homotopy analytic approximate method may be found in the literature [32–35].
The motivation of the current work is, benefiting from the idea in [11], to devise a method that greatly improves the mathematical property of classical ADM. Within this aim, a reorganization of the ADM series is proposed by altering the early terms so that they incorporate extra controllable terms. The reason of such a treatment is to get a rapidly converging ADM solutions with the least Adomian polynomials. In place of randomly selecting, an optimum value of the introduced parameter is later determined through error on the grounds of total residual. With this value at our disposal, there is no doubt that the ADM method is convergent to the true solution in a most rapid way, not demanding a verification of the ADM solutions by numerical ones. The failure of the classical ADM in the usual form or in the Duan–Rach formulation is also prevented by a suitable value of the embedded parameter. The present approach can also extend the region of convergence of the traditional method. Examples of physical value are provided to justify and validate the given procedure.
2 Traditional Decomposition Method of Adomian
The usual steps of traditional ADM can be inferred from the aforementioned citations. The methodology in brief is such that under an invertible linear operator L and a forcing function f, it is desired to approximate the function u having the nonlinearity N(u) and satisfying the general nonlinear equation
with the initial and/or boundary restrictions
Having inverted (1) under the restrictions (2) generally leads to
where g is due to the conditions in (2). If u is a single scalar parameter like (1) representing an algebraic equation, then there is no such g in (3), whereas, in the case of a variable u, L−1 denotes an integral operator giving rise to g in (3). Then (3) is a mixed Volterra-Fredholm type equation so-called as the Duan–Rach formulation in the recent literature, see for instance [13,14].
The subsequent series decompositions of u and N(u)
in which An’s are the classical Adomian polynomials, are later substituted into (3). The solution u of (1) is finally generated from the recurrence relation
As a result, by means of the relations from (5), an approximate series solution of order M is obtained as
which serves for practical purposes.
In general, the procedure in (5) yields convergent ADM series solutions, see for instance [19–21]. If not, to achieve convergent solutions or for computational conveniences some modifications in the terms ui in (5) are implemented as in the articles [11,12], without a proper mathematical evidence and support.
3 A Modified Decomposition Method of Adomian
To overcome the divergence of classical ADM or to speed up the convergence rate of the ADM series, the leading order term u0 in (5) (which is in compliance with the previous implementations, in for instance [11]) or some of the early terms, call ue,
The following conditions for parameterized terms in the new algorithm (7) should be added
so that it can be reduced to the traditional ADM for h = 0.
It is remarked that there is no a unique way of selecting the
Algorithm. Consider the squared residual error corresponding to (1) defined by
where either
As a consequence, the above Algorithm will generate the best value of h which will ensure the convergence of ADM series solution (7) in a fastest rate of convergence. The minimization task of (8) may be fulfilled by means of contemporary softwares, such as MAPPLE or MATHEMATICA.
Potential applications of the introduced ADM in (7) are given here. To control the error, we use the norm
with the exact ue and ADM solution u.
As stated by Adomian [1] the classical ADM method (5) fails to result in a convergent solution of
for the solution u = −0.73205080757. On the other hand, when the new ADM is built via
Fig. 1 displays h-level curves at selected truncation orders M. The interval
Through the residual minimization
at the approximation level M = 8, h = −0.2679492 is obtained as the optimum. The history and why this value is the best for the convergence control, as compared to the failure of classical ADM can be visualized in Tab. 1.

Figure 1: Convergence control parameter h regarding (11)
Table 1: Convergence of modified ADM (12) for Eq. (11) with different h. Paranthesis is for the absolute error (10)

The convergent solution of (11) with the new modified ADM (12) at the approximation level M = 8 is found to be
for which the optimum h is tabulated in Tab. 1.
4.2 Equation Involving Integral
Consider the equation given in [30]
The modified ADM method (7) for the current integral problem is adopted as
We find

Figure 2: Convergence control parameter h regarding (15)
Table 2: Errors in (15) regarding (14). Parenthesis denotes the optimum values of h

4.3 A Fin with Porosity Feature
As taken from [14], a porous fin can be modelled via
In (17), temperature along the fin is u, and s and
The modified ADM algorithm (7) here is
At the selected values s = 5 and
Table 3: Residual errors of classical ADM and modified ADM (18) for Eq. (17) with s = 5 and

The values of u(0) and
Table 4: Numerical and modified ADM results regarding (17) [3]

Instead of the modification of ADM in (18), we may use the Duan–Rach formulation involving no unknown parameters within it except the embedded parameter h
Choosing

Figure 3: Convergence control parameter h regarding (17)
To demonstrate the power of the modified ADM (19), Tab. 5 shows the squared residual error (9) from both the novel and classical ADM. It is unfortunate to observe that the Duan–Rach formulation (19) with h = 0 fails to converge, however, the optimum embedded parameter h insures that the modified ADM is convergent for the present physical problem, even if the convergence is not as fast as the modified formulation in (18).
Table 5: Values of

The Gelfand equation [5] involves exponential nonlinearity [8]
with
In line with the publications [5,8] when h = 0, the modified ADM is
where
Fig. 4 shows the predicted convergence control parameters. With M = 12, an optimum value for the embedding parameter h is found to be −0.01274 from the Algorithm in (9). We find that the residual error is
The success of the present modified ADM (21) is thus obvious.

Figure 4: Convergence control parameter h regarding (20)
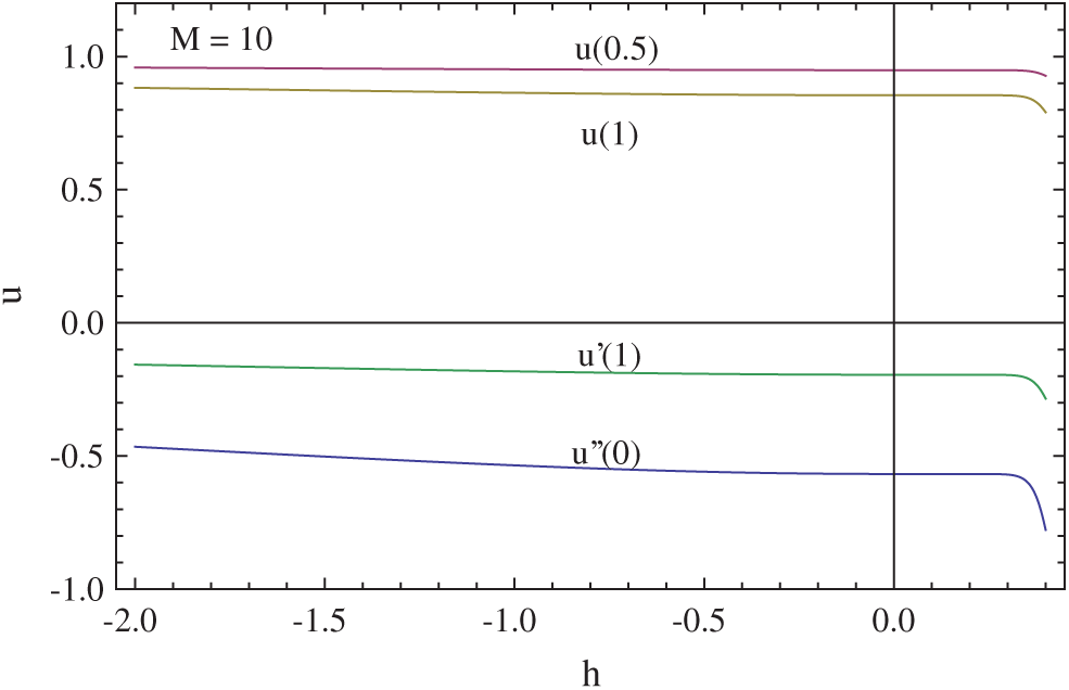
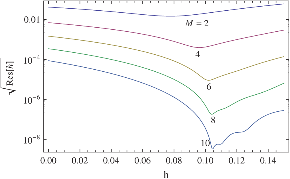
4.5 Electrostatic Cantilever Micro-Electromechanical System
The beam-type electrostatic actuators for the nonlinear cantilever micro-electro mechanical systems are modelled by the fourth-order boundary value problem from [11]
To comply with the Duan–Rach Adomian decomposition method in [11], the present modified ADM is
where the Adomian polynomials
For the fixed parameters K = 3,

Figure 5: Convergence control parameter h regarding (23)
Fig. 6 demonstrates different approximation levels M, and it signifies to h = 0.1045421730 as the optimum h when M = 10. With this optimum value of the embedding parameter, the squared residual error for the current problem is

Figure 6: Error regarding (23) for various M
The convergence accelerating feature of the present modified ADM (24) as compared to the classical ADM is better visualized from the Tab. 6. Table also shows the comparable CPU times.
Table 6: Convergence history of modified ADM vs. classical ADM for Eq. (23)

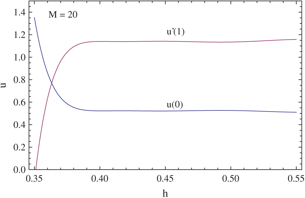
4.6 Electrostatic Cantilever Nano-Electromechanical System
Nonlinear model for the electrostatic double cantilever nano-electromechanical system in the case of Casimir force (K = 4) is given by [11]
We adopt the subsequent modified ADM, that conforms to the classical ADM (h = 0) given in [15]
where the Adomian polynomials
For the specific parameters

Figure 7: Convergence control parameter h regarding (25)
In order to evaluate the performance of modified ADM over the classical one, Tab. 7 shows the unknown physical quantities
Table 7: Values of

To illustrate, the analytical formula computed via the present algorithm (26) at M = 4 for the value of
which is of almost nine degree of accuracy as seen from Tab. 7.
We consider the Lane–Emden type boundary value problem from [9]
that models the oxygen diffusion in a spherical cell with Michaelis–Menten uptake kinetics. We take into account the subsequent constants to comply with the literature [9]
The modified ADM that is offered for the present problem is then
which conforms with the classical ADM of [9] in the limit
We present Tab. 8 to demonstrate the performance of the modified ADM (29) versus the classical ADM. The expected practical accuracy is met at lower Adomian series approximations via the modified method.
Table 8: Values of u(0) = a and

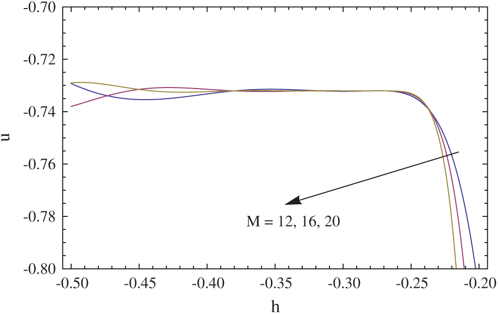
4.8 The Fluid Flow of Jeffery–Hamel
The Jeffery–Hamel fluid flow problem is modelled via [22]
with
Following the successful Duan–Rach ADM formulation of the problem (30) in [17], we propose the following modified version
where
For the diverging channel, considering the specific parameters

Figure 8: Convergence control parameter h regarding (30)
The performance of modified ADM (31) is next measured by computing the centerline velocity u(0.5) (numerical value is 0.764064240111) at different approximation levels M as shown in Tab. 9. It is observed that 10 digits of accuracy is quickly reached by the present ADM, whereas the classical ADM falls behind. Hence, even though it was not clearly mentioned in [13] (see Tab. 1 therein), the accuracy of order 10−8 as obtained via the classical ADM demands at least 15–20 Adomian polynomials, whereas only 6 Adomian polynomials are sufficient to gain the same accuracy with the present modification.
Table 9: Values of u(0.5) and

4.9 Squeezing Two Parallel Plates
The flow squeezed between two parallel plates are modelled by the nonlinear equations [22]
see [14] for the flow parameters.
In accordance with the Duan–Rach ADM formulation of the physical problem (32) in [14], we set the modified ADM in the form
where
To make a comparison with the classical ADM in [14], we set the parameters S = 1,

Figure 9: Convergence control parameter h regarding (32)
The effects of iterative number M on the skin friction
Table 10: Values of

The following fourth-order modified ADM series solution for the skin friction may serve good to the purpose of engineering applications if not high accuracy is required
4.10 Nonlinear Oscillator Problem
Let us consider the nonlinear oscillator Duffing problem (see [36] (Chapter 5) and [4])
which involves a cubic nonlinearity.
The improved ADM can be given via
with the Adomian terms An(t) in (35).
The classical Adomian method with h = 0 in (36) is not convergent, whereas with h = 0.68981924, the residual error becomes

Figure 10: Convergence control parameter h regarding (35)
Let us consider the nonlinear diffusion equation, see [18] and [3]
for which [18] presents an exact solution.
The form of modified ADM for the partial differential equation (37) is
where
Fig. 11 shows the constant h-level curves at the approximation level M = 10, indicating a very large range of embedding parameter h.

Figure 11: Convergence control parameter h regarding (37)
Actually at this truncation of the modified ADM series, it is obtained
Defining the squared residual error for (37) as
Tab. 11 tabulates how the modified ADM has smaller residual errors.
Table 11: The residual errors

The final example is known as Burger’s equation [3]
with an exact solution

Figure 12: Convergence control parameter h regarding (41)
The form of modified ADM for the partial differential equation (40) is
where
The traditional ADM with h = 0 in the domain
With the definition
Tab. 12 justifies the success of the present modified ADM over the classical divergent one, both in terms of accuracy and computational cost.
Table 12: The residual errors

The aim of the present work is to present superiority over the well-known Adomian decomposition method (ADM) often employed in the recent literature to analytically approximate solutions to highly nonlinear algebraic and differential equations of some real physical motions. Within this aim, a reformulation of the ADM is targeted to prevent first the failure and then convergence acceleration of the classical Adomian polynomials.
To accomplish the objective, the classical ADM is modified by inserting some simple parameterized terms into the early iterates involving an embedded parameter to control and pacing the convergence of the generated ADM series. In order to determine the best suitable value or the optimum value of this parameter, squared residual minimizing of the governing equation is proposed. This enables us to overcome the divergence of the classical ADM, and more importantly, there is no need to check out the results against the numerical ones, as usually has to be done in traditional ADM studies, since the optimum embedded parameter obtained is an insurance for ADM series convergence in a most rapid manner.
Physical examples selected from the recent application of ADM demonstrate the validity, accuracy and power of the present approach in terms of generating the convergent solution within the least number of iterations. In particular, the Duan-Rach modification of the ADM incorporating all the boundaries mostly used in the recent ADM applications takes great benefit of the present proposal, otherwise there is always the inevitable danger that it may lead to non physical solutions. The present approach successfully extends the convergence interval of the studied problem. In conclusion, the present formulation of ADM offers a promising tool to treat more strongly nonlinear equations/systems of real life phenomena.
Funding Statement: The author received no specific funding for this study.
Conflicts of Interest: The author declares that he has no conflicts of interest to report regarding the present study.
1. Adomian, G., Rach, R. (1985). On the solution of algebraic equations by the decomposition method. Journal of Mathematical Analysis and Applications, 105(1), 141–166. DOI 10.1016/0022-247X(85)90102-7. [Google Scholar] [CrossRef]
2. Adomian, G. (1988). A review of the decomposition method in applied mathematics. Journal of Mathematical Analysis and Applications, 135(2), 501–544. DOI 10.1016/0022-247X(88)90170-9. [Google Scholar] [CrossRef]
3. Turkyilmazoglu, M. (2017). Parametrized Adomian decomposition method with optimum convergence. ACM Transactions on Modeling and Computer Simulation, 27(4), 1–22. DOI 10.1145/3106373. [Google Scholar] [CrossRef]
4. Turkyilmazoglu, M. (2019). Accelerating the convergence of decomposition method of Adomian. Journal of Computational Science, 31, 54–59. DOI 10.1016/j.jocs.2018.12.014. [Google Scholar] [CrossRef]
5. Duan, J. J., Rach, R., Baleanu, D., Wazwaz, A. M. (2012). A review of the Adomian decomposition method and its applications to fractional differential equations. Commun in Fractional Calculus, 3(2), 73–99. [Google Scholar]
6. Abbasbandy, S. (2003). Improving newton-raphson method for nonlinear equations by modified Adomian decomposition method. Applied Mathematics and Computation, 145(2–3), 887–893. DOI 10.1016/S0096-3003(03)00282-0. [Google Scholar] [CrossRef]
7. Chun, C. (2006). A new iterative method for solving nonlinear equations. Applied Mathematics and Computation, 178(2), 415–422. DOI 10.1016/j.amc.2005.11.055. [Google Scholar] [CrossRef]
8. Wazwaz, A. M. (2012). A reliable study for extensions of the bratu problem with boundary conditions. Mathematical Methods in Applied Sciences, 35(7), 845–856. DOI 10.1002/mma.1616. [Google Scholar] [CrossRef]
9. Wazwaz, A. M., Rach, R., Duan, J. S. (2013). Adomian decomposition method for solving the volterra integral form of the lane-emden equations with initial values and boundary conditions. Applied Mathematics and Computation, 219(10), 5004–5019. DOI 10.1016/j.amc.2012.11.012. [Google Scholar] [CrossRef]
10. Bhanja, D., Kundu, B., Mandal, P. K. (2013). Thermal analysis of porous pin fin used for electronic cooling. Procedia Engineering, 64, 956–965. DOI 10.1016/j.proeng.2013.09.172. [Google Scholar] [CrossRef]
11. Duan, J. S., Rach, R., Wazwaz, A. M. (2013). Solution of the model of beam-type micro-and nano-scale electrostatic actuators by a new modified Adomian decomposition method for nonlinear boundary value problems. International Journal of Non-Linear Mechanics, 49, 159–169. DOI 10.1016/j.ijnonlinmec.2012.10.003. [Google Scholar] [CrossRef]
12. Duan, J. S., Chaolu, T., Rach, R., Lu, L. (2013). The Adomian decomposition method with convergence acceleration techniques for nonlinear fractional differential equations. Computers and Mathematics with Applications, 66(5), 728–736. DOI 10.1016/j.camwa.2013.01.019. [Google Scholar] [CrossRef]
13. Dib, A., Haiahem, A., Said, B. B. (2014). An analytical solution of the MHD jeffery-hamel flow by the modified Adomian decomposition method. Computers & Fluids, 102, 111–115. DOI 10.1016/j.compfluid.2014.06.026. [Google Scholar] [CrossRef]
14. Dib, A., Haiahem, A., Said, B. B. (2015). Approximate analytical solution of squeezing unsteady nanofluid flow. Powder Technology, 269, 193–199. DOI 10.1016/j.powtec.2014.08.074. [Google Scholar] [CrossRef]
15. Wazwaz, A. M. (2007). A comparison between the variational iteration method and Adomian decomposition method. Journal of Computational and Applied Mathematics, 207(1), 129–136. DOI 10.1016/j.cam.2006.07.018. [Google Scholar] [CrossRef]
16. Olivares, A. G. (2003). Analytic solution of partial differential equations with Adomian’s decomposition. Kybernetes, 32(3–4), 354–368. DOI 10.1108/03684920310458584. [Google Scholar] [CrossRef]
17. Song, L., Wang, W. (2010). Approximate rational jacobi elliptic function solutions of the fractional differential equations via the enhanced Adomian decomposition method. Physics Letters A, 374(31–32), 3190–3196. DOI 10.1016/j.physleta.2010.05.057. [Google Scholar] [CrossRef]
18. Song, L., Wang, W. (2013). A new improved Adomian decomposition method and its application to fractional differential equations. Applied Mathematical Modelling, 37(3), 1590–1598. DOI 10.1016/j.apm.2012.03.016. [Google Scholar] [CrossRef]
19. Babolian, E., Biazar, J. (2002). On the order of convergence of Adomian method. Applied Mathematics and Computation, 130(2), 383–387. DOI 10.1016/S0096-3003(01)00103-5. [Google Scholar] [CrossRef]
20. El-Kalla, I. L. (2008). Convergence of the Adomian method applied to a class of nonlinear integral equations. Applied Mathematics Letters, 21(4), 372–376. DOI 10.1016/j.aml.2007.05.008. [Google Scholar] [CrossRef]
21. Abdelrazec, A., Pelinovsky, D. (2009). Convergence of the Adomian decomposition method for initial-value problems. Numerical Methods for Partial Differential Equations, 27(4), 749–766. DOI 10.1002/num.20549. [Google Scholar] [CrossRef]
22. Turkyilmazoglu, M. (2016). Determination of the correct range of physical parameters in the approximate analytical solutions of nonlinear equations using the Adomian decomposition method. Mediterranean Journal of Mathematics, 13(6), 4019–4037. DOI 10.1007/s00009-016-0730-8. [Google Scholar] [CrossRef]
23. Senturk, E., Coskun, S. B., Atay, M. T. (2018). Solution of jamming transition problem using Adomian decomposition method. Engineering Computations, 35(5), 1950–1964. DOI 10.1108/EC-12-2016-0437. [Google Scholar] [CrossRef]
24. Zare, F., Heydari, M., Loghmani, G. B., Wazwaz, A. M. (2017). Numerical investigation of the beam-type nano-electrostatic actuator model by using the birkhoff interpolation method. International Journal of Applied and Computational Mathematics, 3(4), 129–146. DOI 10.1007/s40819-017-0417-2. [Google Scholar] [CrossRef]
25. Heydari, M., Loghmani, G. B., Wazwaz, A. M. (2017). A numerical approach for a class of astrophysics equations using piecewise spectral-variational iteration method. International Journal of Numerical Methods for Heat and Fluid Flow, 27(2), 358–378. DOI 10.1108/HFF-09-2015-0379. [Google Scholar] [CrossRef]
26. Wazwaz, A. M. (1999). A reliable modification of Adomian decomposition method. Applied Mathematics and Computation, 102(1), 77–86. DOI 10.1016/S0096-3003(98)10024-3. [Google Scholar] [CrossRef]
27. Wazwaz, A. M., El-Sayed, S. M. (2001). A new modification of the Adomian decomposition method for linear and nonlinear operators. Applied Mathematics and Computation, 122(3), 393–405. DOI 10.1016/S0096-3003(00)00060-6. [Google Scholar] [CrossRef]
28. Bakodah, H. O., Banaja, M. A., Alrigi, B. A., Ebaid, A., Rach, R. (2019). An efficient modification of the decomposition method with aconvergence parameter for solving korteweg de vries equations. Journal of King Saud University of Science, 31(4), 1424–1430. DOI 10.1016/j.jksus.2018.11.010. [Google Scholar] [CrossRef]
29. Nuruddeen, R. I., Muhammad, L., Nass, A. M., Sulaiman, T. A. (2018). A review of the integral transforms-based decomposition methods and their applications in solving nonlinear pdes. Palestine Journal of Mathematics, 7(1), 262–280. [Google Scholar]
30. Hamoud, A. A., Ghadle, K. P. (2017). The combined modified laplace with Adomian decomposition method for solving the nonlinear volterra-fredholm integro-differential equations. Journal of the Korean Society for Industrial and Applied Mathematics, 21, 17–28. DOI 10.12941/jksiam.2017.21.017. [Google Scholar] [CrossRef]
31. Hamoud, A. A., Ghadle, K. P. (2018). Modified Adomian decomposition method for solving fuzzy volterra-fredholm integral equations. Journal of the Indian Mathematical Society, 85(1–2), 52–69. DOI 10.18311/jims/2018/16260. [Google Scholar] [CrossRef]
32. Rashidi, M. M., Domairry, G., Dinarvand, S. (2009). Approximate solutions for the burger and regularized long wave equations by means of the homotopy analysis method. Communications in Nonlinear Science and Numerical Simulation, 14(3), 708–717. DOI 10.1016/j.cnsns.2007.09.015. [Google Scholar] [CrossRef]
33. Rashidi, M. M., Shahmohamadi, H. (2009). Analytical solution of three-dimensional navier stokes equations for the flow near an infinite rotating disk. Communications in Nonlinear Science and Numerical Simulation, 14(7), 2999–3006. DOI 10.1016/j.cnsns.2008.10.030. [Google Scholar] [CrossRef]
34. Rashidi, M. M., Mohimanian, P. S. A. (2010). Analytic approximate solutions for unsteady boundary-layer flow and heat transfer due to a stretching sheet by homotopy analysis method. Nonlinear Analysis: Modelling and Control, 15(1), 83–95. DOI 10.15388/NA.2010.15.1.14366. [Google Scholar] [CrossRef]
35. Rashidi, M. M., Freidoonimehr, N., Hosseini, A., Beg, O. A., Hung, T. K. (2014). Homotopy simulation of nanofluid dynamicsfrom a non-linearly stretching isothermal permeable sheet with transpiration. Meccanica, 49(2), 469–482. DOI 10.1007/s11012-013-9805-9. [Google Scholar] [CrossRef]
36. Liao, S. J. (2014). Advances in the homotopy analysis method. Singapore: World Scientific. DOI 10.1142/8939. [Google Scholar] [CrossRef]
![]() | This work is licensed under a Creative Commons Attribution 4.0 International License, which permits unrestricted use, distribution, and reproduction in any medium, provided the original work is properly cited. |