![]() | Computer Modeling in Engineering & Sciences | ![]() |
DOI: 10.32604/cmes.2022.019154
ARTICLE
Efficient Numerical Scheme for the Solution of HIV Infection CD4+ T-Cells Using Haar Wavelet Technique
1Department of Mathematics, University of Peshawar, Peshawar, 25120, Pakistan
2Department of Mathematics, Faculty of Science, Akdeniz University, Antalya, Tr-07058, Turkey
3Department of Computer Science, University of Swabi, Swabi, 23430, Pakistan
*Corresponding Author: Şuayip Yüzbaş. Email: suayipyuzbasi@gmail.com
Received: 06 September 2021; Accepted: 05 November 2021
Abstract: In this paper, Haar collocation algorithm is developed for the solution of first-order of HIV infection CD4+ T-Cells model. In this technique, the derivative in the nonlinear model is approximated by utilizing Haar functions. The value of the unknown function is obtained by the process of integration. Error estimation is also discussed, which aims to reduce the error of numerical solutions. The numerical results show that the method is simply applicable. The results are compared with Runge-Kutta technique, Bessel collocation technique, LADM-Pade and Galerkin technique available in the literature. The results show that the Haar technique is easy, precise and effective.
Keywords: System of nonlinear differential equations; HIV infection of CD4+ T-cells; Broyden method; Haar wavelet; residual error estimation
Many models have been developed by mathematicians in the last decade to explain the immunological response to Human Immunodeficiency Virus (HIV) infection. Due to the scarcity of CD4+ T-cells, HIV disease is considered to result in concealment of the immune system (referred to generally as T4-cells or T-helper cells), cells which play a focal part in the human immune system. A class of white blood cells called CD4+ T-cells is essentially infected by HIV and this selective depletion of CD4+ T-cells means that a focal part in the resistant direction fills in as a clinical marker to estimate HIV disease movement. Mathematical models play an important role in the dynamics of these infectious diseases [1–6]. The level of CD4+ T-cells in the fringe blood is controlled at a level between 800 and 1200 mm−3 in a normal human body. These cells are the most inexhaustible white blood cell of the human safe framework, which battle against diseases [7]. Many authors introduced different numerical methods for the investigation of CD4+ T-cells [8 –14].
In recent years, many researchers have studied on new analytical and numerical methods for model problems characterized by differential equations. Yüzbaşi et al. [15] presented the Pelllucas collocation method for the solutions of two population models and residual correction. Mallawi et al. [16] utilized Legendre collocation method to the spacetime variable fractional-order advectiondispersion equation. Yüzbaşi [17] used an operational method for solutions of Riccati type differential equations. Chu et al. [18] studied the generalized (2+1) dimensional shallow water equation. The solution for the fractional system of HIV-1 infection of CD4+ T-cells was studied by Khater et al. [19] by using AtanganaBaleanu fractional derivative. Khater et al. [20] developed a semi analytical and numerical scheme for a biological model. Khater et al. [21] used the trigonometric quintic B-spline technique for the solutions of complex nonlinear FokasLenells equations. In reference [22] the nonlinear phi-four equation is solved through two analytical and semi-analytical techniques. Khater et al. [23] used trigonometric Quintic B-spline method for the solution of conformable fractional nonlinear time-space telegraph equation. Khater et al. [24] investigated the analytical and numerical solutions of the modified BenjaminBonaMahony equation via the modified Bspline collection method. Khater et al. [25] found the solution of nonlinear KleinFockGordon equation by using generalized exponential function and generalized Riccati expansion methods. Khater et al. [26] investigated the analytical and semi-analytical solutions of the time-fractional CahnAllen equation by using the Adomian decomposition method. Khater et al. [27] found the analytical solutions of the nonlinear Schrodinger equation with the higher-order through Kudryashov method. They also found the solutions of quadratic cubic fractional nonlinear Schrodinger equation by Adomian decomposition process [28]. Khater et al. [29] used the trigonometric quintic and exponential cubic B-spline schemes for the solutions of the nonlinear Klein-Gordon-Zakharov model. Yue et al. [30] found a solution of the fractional nonlinear HirotaSatsumaShallow water wave equation by using a modified Kudryashov method. Khater et al. [31] found solutions of the Fisher-Kolmogorov-Petrovskii-Piskunov model by employing the modified Kudryashov and trigonometric-quantic B-spline methods. Li et al. [32] found wave solutions of the (2+1) dimensional Kadomtsev Petviashvili Benjamin Bona Mahony model. Smadi et al. [33] study the accuracy of solution for fractional order an SEIR epidemic model by using the homotopy analysis method. Freihet et al. [34] found a solution of a fractional stiff system using residual functions algorithm. Smadi et al. [35] developed analytical technique for coupled system of fractional partial differential equations, for solutions of nonlinear fractional Kundu-Eckhaus equations [36] and for solution of coupled fractional resonant Schrodinger equations [37]. The same authors analyzed and investigated the analytical solution of the seventh-order fractional Sawada Kotera Ito, Lax, and Kaup Kupershmidt equations [38]. Moreover, the authors also analyzed and studied fuzzy fractional differential equations in terms of Atangana-Baleanu Caputo differential operators equipped with uncertain constraints coefficients and initial conditions [39].
Here we develop an accurate scheme by using HWC technique for the solution of the HIV infection of CD4+ T-cells. The main contributions of this work as:
• To develop efficient numerical scheme by utilizing HWC technique for HIV infection CD4+ T-cells
• To design numerical scheme using HWC technique
• To evaluate the efficacy of the established technique in some instances and compare the results with other techniques Runge-Kutta, LADM-Pade [1], Bessel collocation technique [2], PIA(1,1) [3], MVIM [4], DTM [7] and Galerkin technique [5] available in the literature
In this article we find the numerical solution of first order model of the form [5]
with initial conditions:
Here T(t), I(t), V(t) are used for concentration of uninfected cells, infected cells and free virus particles of CD4+ T-cells by HIV in the blood.
The paper is structured as: In Section 2, Haar functions are defined. HWC technique for solution of HIV infection is given in Section 3. In Section 4 error estimation about the model is given. In Section 5, one example is given. Conclusion is given in the last Section 6.
Here we discuss Haar functions, integration of Haar functions and collocation points.
Definition 2.1. Scaling function on [α1, α2) is [40]
Mother wavelet on [α1, α2) is
The other terms can be written as
where
Using the notation
and
Generally,
Thus pi, n(t) is obtained as under [40]
Definition 2.2. The [β1, β2] interval for HWC scheme is discretized as [40]
In the above Eq. (10), a collocation point (CP) are defined. Some of the recent work using HWC technique can be seen in [41–47].
The implementation of the HWC method is discussed in this section in order to find the HIV model solution provided in Eq. (1). Using Haar functions, the derivative of the unknown function in the method is approximated and the expression for the unknown function is obtained by using initial condition and integration. By applying the Haar technique to Eq. (1) and putting the CPs, we get a system of algebraic equations. The Broyden technique is used to find solution of this system. At last, the approximate solution at CPs is obtained using these coefficients. We use the symbols
First, we consider that T′(t), I′(t) and V′(t) are square integrable function and hence can be written as
Integrating with respect to t, we have
Putting Eq. (11) and Eq. (12) in Eq. (1), we have
by simplification we have
putting the CPs (10), we have
This is solved by Broyden’s method. Jacobian is
where
The solution of this gives the values of unknown coefficients ai’s, bi’s and ci’s. The required solution TN(t), IN(t) and VN(t) at CPs is calculated by putting ai, bi ci’s in Eq. (12).
Here, we study the residual error estimation [5] for HIV model (1) utilizing HWC technique. The residual functions R1, N(t), R2, N(t) and R3, N(t) are
Define the error function as
where T(t), I(t) and V(t) are exact solutions. So, we have
Also, we can write
By subtracting system (14) from system (1), we have
By using systems (5)–(6) in Eq. (7) and simplifying, we obtain
where e1, N(t), e2, N(t) and e3, N(t) are unknowns functions. The initial conditions for approximate solution TN(t), IN(t) and VN(t) are
so initial conditions for system (19) are e1, N(0) = 0, e2, N(0) = 0 and e3, N(0) = 0, where e1, N(t), e2, N(t) and e3, N(t) are estimated by e1, N, M(t), e2, N, M(t) and e3, N, M(t) the Haar wavelet technique.
Let
Integrating the above system (21), with respect to t we obtain the following expression:
Applying Haar approximations, we have
After simplification, we have
putting the discrete CPs (10), we obtain
Broyden method is used for solution of above system. Jacobian is
where
The unknown coefficients ξi, μi and νi are obtained from the solution of this system. The approximate solution at discrete CPs is obtained by plugging
The performance of the HWC technique is tested on example in this section. The numerical results are compared with Runge-Kutta technique, Bessel collocation technique, LADM-Pade and Galerkin technique available in the literature.
Problem 1. Consider the following system [5]
with T(0) = 0.1, I(0) = 0 and V(0) = 0.1. The interval of study is 0≤ t ≤ 1.
The first order derivatives
By using initial conditions and integration, we obtain the approximate solution of this system in terms of Haar functions
Putting these approximations and CPs in above system (24), we obtain a system of nonlinear algebraic equations which is then solved by the method of Broyden’s. Error estimation is also calculated in a similar way, which aims to reduce the error of numerical solution. The residual functions R1, N(t), R2, N(t) and R3, N(t) are calculated as discussed in Eq. (14). The errors functions e1, N(t), e2, N(t), and e3, N(t) are obtained as discussed in Eq. (15).
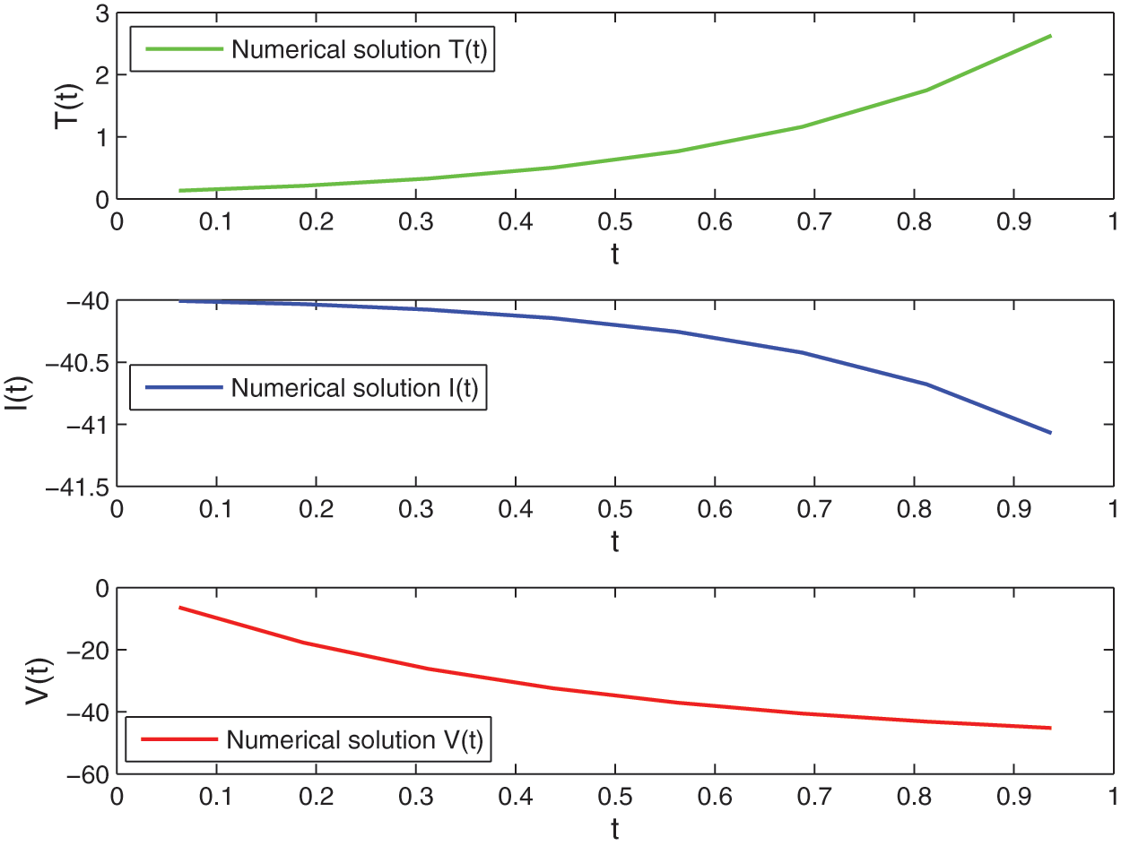
The error functions for distinct CPs and distinct values of time are given in Tables 1–3. The error functions obtained for variable N = 3 at different values of t are compared with Laplace Adomian decomposition technique, Runge-Kutta technique, modified variational iteration technique, Pade approximation, the perturbation-iteration algorithm, Bessel collocation technique, differential transform technique and exponential Galerkin technique available in literature. From the tables we see that as N increases, the values of our results near to those of the other techniques. This show that our approximate solution become accurate as the number of discrete CPs N increases. Even a batter accuracy is obtained by taking more discrete CPs. The graph of numerical solution is also given in Fig. 1. The estimated results of error functions for distinct number of CPs are shown in Fig. 2. Due to the simplicity of the Haar wavelet it is effective for solution of the first-order of HIV infection CD4+ T-Cells model. However, HWC scheme has disadvantages too. This method use constant box functions and due to this we need a large number of collocation points in order to achieve better accuracy. This disadvantage can be overcome if Haar wavelet is replaced with some other wavelets having better approximating properties.




Figure 1: Numerical solution of problem 1

Figure 2: Estimated error functions for problem 1
Haar collocation scheme is developed for the solution of the HIV CD4+ T-cells model. Also, we discussed a procedure known as residual error estimation, whose aim is to get better arrangements utilizing the obtained solution. The technique is tested on one example, and the results are compared with other methods available in the literature. The comparison of the present HWC technique with Runge-Kutta technique, Bessel collocation technique, LADM-Pade and Galerkin technique is given. The results demonstrate that Haar technique is effective and precise for distinct numbers of CPs. The results show that taking the large value of variable N, the HWC technique give the accurate results of the numerical solution. The error functions using various numbers of CPs are also calculated and reported in the table. From results, it is seen that proposed technique gives good results for this model. The proposed technique is easily implemented in any software packages. MATLAB software is used to obtain the numerical results.
Acknowledgement: The authors are very grateful to the anonymous referees for their constructive comments which have improved the paper.
Funding Statement: No funding is available to support this study.
Conflicts of Interest: On behalf of all authors, the corresponding author states that there is no conflict of interest.
1. Ongun, M. Y. (2011). The laplace adomian decomposition method for solving a model for HIV infection of CD4+ T cells. Mathematical and Computer Modelling, 53, 597–603. DOI 10.1016/j.mcm.2010.09.009. [Google Scholar] [CrossRef]
2. Yuzbasi, S. (2012). A numerical approach to solve the model for HIV infection of CD4+ T cells. Applied Mathematical Modelling, 36, 5876–5890. DOI 10.1016/j.apm.2011.12.021. [Google Scholar] [CrossRef]
3. Khalid, M., Sultana, M., Zaidi, F., Fareeha, S. K. (2015). A numerical solution of a model for HIV infection CD4 + T-cell. International Journal of Innovation Science and Research, 16(1), 79–85. DOI 10.1.1.1010.9251. [Google Scholar]
4. Merdan, M., Gokdogan, A., Yildirim, A. (2011). On the numerical solution of the model for HIV infection of CD4+ T cells. Computers and Mathematics with Applications, 62(1), 118–123. DOI 10.1016/j.camwa.2011.04.058. [Google Scholar] [CrossRef]
5. Yuzbasi, S., Karacayir, M. (2017). An exponential galerkin method for solutions of HIV infection model of CD4+ T-cells. Computational Biology and Chemistry, 67, 205–212. DOI 10.1016/j.compbiolchem.2016.12.006. [Google Scholar] [CrossRef]
6. Nelson, P. W., Perelson, A. S. (2002). Mathematical analysis of delay differential equation models of HIV-1 infection. Mathematical Biosciences, 179, 73–94. DOI 10.1016/S0025-5564(02)00099-8. [Google Scholar] [CrossRef]
7. Srivastava, V. K., Awasthi, M. K., Kumar, S. (2014). Numerical approximation for HIV infection of CD4+ T cells mathematical model. Ain Shams Engineering Journal, 5, 625–629. DOI 10.1016/j.asej.2013.12.012. [Google Scholar] [CrossRef]
8. Lane, H. C., Fauci, A. (1985). Immunologic abnormalities in the acquired immunodeficiency syndrome. Annual Review of Immunology, 3(1), 77–500. DOI 10.1146/annurev.iy.03.040185.002401. [Google Scholar] [CrossRef]
9. Perelson, A. S. (1989). Modeling the interaction of the immune system with HIV. In: Mathematical and statistical approaches to AIDS epidemiology, vol. 83, pp. 350–370. Berlin, Heidelberg: Springer. DOI 10.1007/978-3-642-93454-4_17. [Google Scholar] [CrossRef]
10. Culshaw, R. V., Ruan, S. (2000). A delay-differential model of HIV infection of CD4+ T-cells. Mathematical Biosciences, 165(1), 27–39. DOI 10.1016/S0025-5564(00)00006-7. [Google Scholar] [CrossRef]
11. Merdan, M. (2007). Homotopy perturbation method for solving a model for HIV infection of CD4+ T-cells. Istanbul Ticaret Universitesi Fen Bilimleri Dergisi, 12, 39–52. [Google Scholar]
12. Wang, L., Li, M. Y. (2006). Mathematical analysis of the global dynamics of a model for HIV infection of CD4+ T cells. Mathematical Biosciences, 200(1), 44–57. DOI 10.1016/j.mbs.2005.12.026. [Google Scholar] [CrossRef]
13. Elaiw, A. M., Alsheri, A. (2013). Global dynamics of HIV infection of CD4+ T cells and macrophages. Discrete Dynamics in Nature and Society, 2013, 1–9. DOI 10.1155/2013/264759. [Google Scholar] [CrossRef]
14. Ullah, R., Ellahi, R., Sait, S. M., Mohyud-Din, S. T. (2020). On the fractional-order model of HIV-1 infection of CD4+ T-cells under the influence of antiviral drug treatment. Journal of Taibah University for Science, 14(1), 50–59. DOI 10.1080/16583655.2019.1700676. [Google Scholar] [CrossRef]
15. Yüzbas, S., Yldrm, G. (2020). Pell–lucas collocation method for numerical solutions of two population models and residual correction. Journal of Taibah University for Science, 14(1), 1262–1278. DOI 10.1080/16583655.2020.1816027. [Google Scholar] [CrossRef]
16. Mallawi, F., Alzaidy, J., Hafez, R. (2019). Application of a legendre collocation method to the space–time variable fractional-order advection–dispersion equation. Journal of Taibah University for Science, 13(1), 324–330. DOI 10.1080/16583655.2019.1576265. [Google Scholar] [CrossRef]
17. Yüzbas, S. (2020). An operational method for solutions of riccati type differential equations with functional arguments. Journal of Taibah University for Science, 14(1), 661–669. DOI 10.1080/16583655.2020.1761661. [Google Scholar] [CrossRef]
18. Chu, Y., Khater, M. M. A., Hamed, Y. S. (2021). Diverse novel analytical and semi-analytical wave solutions of the generalized (2+1)-dimensional shallow water waves model. AIP Advances, 11, 015223. DOI 10.1063/5.0036261. [Google Scholar] [CrossRef]
19. Khater, M. M. A., Ahmed, A. E., El-Shorbagy, M. (2021). Abundant stable computational solutions of atangana baleanu fractional nonlinear HIV-1 infection of CD4+ T-cells of immunodeficiency syndrome. Results in Physics, 22, 103890. DOI 10.1016/j.rinp.2021.103890. [Google Scholar] [CrossRef]
20. Khater, M. M. A., Mohamed, M. S., Attia, R. A. (2021). On semi analytical and numerical simulations for a mathematical biological model; the time-fractional nonlinear Kolmogorov–Petrovskii–Piskunov (KPP) equation. Chaos. Solitons and Fractals, 144, 110676. DOI 10.1016/j.chaos.2021.110676. [Google Scholar] [CrossRef]
21. Khater, M. M. A., Ahmed, A. E., Alfalqi, S. H., Alzaidi, J. F., Elbendary, S. et al. (2021). Computational and approximate solutions of complex nonlinear fokas–lenells equation arising in optical fiber. Results in Physics, 25, 104322. DOI 10.1016/j.rinp.2021.104322. [Google Scholar] [CrossRef]
22. Khater, M. M. A., Mousa, A. A., El-Shorbagy, M. A., Attia, R. A. M. (2021). Analytical and semi-analytical solutions for phi-four equation through three recent schemes. Results in Physics, 22, 103954. DOI 10.1016/j.rinp.2021.103954. [Google Scholar] [CrossRef]
23. Khater, M. M. A., Nisar, K. S., Mohamed, M. S. (2021). Numerical investigation for the fractional nonlinear space-time telegraph equation via the trigonometric quintic b-spline scheme. Mathematical Methods in Applied Sciences, 44, 4598–4606. DOI 10.1002/mma.7052. [Google Scholar] [CrossRef]
24. Khater, M. M. A., Nofal, T. A., Zinadah, H. A., Lotayif, M. S. M., Lu, D. (2021). Novel computational and accurate numerical solutions of the modified benjamin bona mahony (bbm) equation arising in the optical illusions field. Alexandria Engineering Journal, 60, 1797–1806. DOI 10.1016/j.aej.2020.11.028. [Google Scholar] [CrossRef]
25. Khater, M. M. A., Mohamed, M. S., Elagan, S. (2021). Diverse accurate computational solutions of the nonlinear klein fock gordon equation. Results in Physics, 23, 104003. DOI 10.1016/j.rinp.2021.104003. [Google Scholar] [CrossRef]
26. Khater, M. M. A., Bekir, A., Lu, D., Attia, R. A. M. (2021). Analytical and semi analytical solutions for time-fractional cahn allen equation. Mathematical Methods in Applied Sciences, 44, 2682–2691. DOI 10.1002/mma.6951. [Google Scholar] [CrossRef]
27. Khater, M. M. A., Elagan, S. K., Mousa, A. A., El-Shorbagy, M. A. et al. (2021). Sub-10-fs-pulse propagation between analytical and numerical investigation. Results in Physics, 25, 104133. DOI 10.1016/j.rinp.2021.104133. [Google Scholar] [CrossRef]
28. Attia, R. A. M., Khater, M. M. A., Ahmed, A. E., El-Shorbagy, M. A. (2021). Accurate sets of solitary solutions for the quadratic–cubic fractional nonlinear schrödinger equation. AIP Advances, 11, 055105. DOI 10.1063/5.0050624. [Google Scholar] [CrossRef]
29. Khater, M. M. A., Ahmed, A. E. (2021). Strong langmuir turbulence dynamics through the trigonometric quintic and exponential B-spline schemes. AIMS Mathematics, 6, 5896–5908. DOI 10.3934/math.2021349. [Google Scholar] [CrossRef]
30. Yue, C., Lu, D., Khater, M. M. A. (2021). Abundant wave accurate analytical solutions of the fractional nonlinear hirota–satsuma–shallowwater wave equation. Fluids, 6, 235. DOI 10.3390/fluids6070235. [Google Scholar] [CrossRef]
31. Khater, M. M. A., Alabdali, A. M. (2019). Multiple novels and accurate traveling wave and numerical solutions of the (2+1) dimensional fisher-kolmogorov-petrovskii-piskunov equation. Mathematics, 9, 1440. DOI 10.3390/math9121440. [Google Scholar] [CrossRef]
32. Li, W., Akinyemi, L., Lu, D., Khater, M. M. A. (2021). Abundant traveling wave and numerical solutions of weakly dispersive long waves model. Symmetry, 13, 1085. DOI 10.3390/sym13061085. [Google Scholar] [CrossRef]
33. AL-Smadi, M. H., Gumah, G. N. (2014). On the homotopy analysis method for fractional seir epidemic model. Research Journal of Applied Sciences, Engineering and Technology, 18(7), 3809–3820. DOI org//10.19026/rjaset.7.738. [Google Scholar] [CrossRef]
34. Freihet, A., Hasan, S., Al-Smadi, M., Gaith, M., Momani, S. (2019). Construction of fractional power series solutions to fractional stiff system using residual functions algorithm. Advances in Difference Equations, 95, 1–15. DOI 10.1186/s13662-019-2042-3. [Google Scholar] [CrossRef]
35. Al-Smadi, M., Arqub, O. A., Hadid, S. (2020). An attractive analytical technique for coupled system of fractional partial differential equations in shallow water waves with conformable derivative. Communications in Theoretical Physics, 72, 085001. DOI 10.1088/1572-9494/ab8a29. [Google Scholar] [CrossRef]
36. Al-Smadi, M., Arqub, O. A., Hadid, S. (2020). Approximate solutions of nonlinear fractional kundu-eckhaus and coupled fractional massive thirring equations emerging in quantum field theory using conformable residual power series method. Physica Scripta, 95, 105205. DOI 10.1088/1402-4896/abb420. [Google Scholar] [CrossRef]
37. Al-Smadi, M., Arqub, O. A., Momani, S. (2020). Numerical computations of coupled fractional resonant schrödinger equations arising in quantum mechanics under conformable fractional derivative sense. Physica Scripta, 95, 075218. DOI 10.1088/1402-4896/ab96e0. [Google Scholar] [CrossRef]
38. Al-Smadi, M. (2021). Fractional residual series for conformable time-fractional Sawada–Kotera–Ito, Lax, and Kaup–Kupershmidt equations of seventh order. Mathematical Methods in Applied Sciences, 1–22. DOI 10.1002/mma.7507. [Google Scholar] [CrossRef]
39. Al-Smadi, M., Arqub, O. A., Zeidan, D. (2021). Fuzzy fractional differential equations under the mittag-leffler kernel differential operator of the abc approach: Theorems and applications. Chaos, Solitons and Fractals, 146, 110891. DOI 10.1016/j.chaos.2021.110891. [Google Scholar] [CrossRef]
40. Aziz, I., Amin, R. (2016). Numerical solution of a class of delay differential and delay partial differential equations via Haar wavelet. Applied Mathematical Modelling, 40, 10286–10299. DOI 10.1016/j.apm.2016.07.018. [Google Scholar] [CrossRef]
41. Amin, R., Nazir, S., Magrino, I. G. (2020). A collocation method for numerical solution of nonlinear delay integro-differential equations for wireless sensor network and internet of things. Sensors, 20, 1962–1973. DOI 10.3390/s20071962. [Google Scholar] [CrossRef]
42. Amin, R., Nazir, S., Magrino, I. G. (2019). Efficient sustainable algorithm for numerical solution of nonlinear delay Fredholm-Volterra integral equations via Haar wavelet for dense sensor networks in emerging telecommunications. Transactions on Emerging Telecommunications Technologies, 30(11), 1–12. DOI org//10.1002/ett.3877. [Google Scholar] [CrossRef]
43. Nazir, S., Shahzad, S., Wirza, R., Amin, R., Ahsan, M. et al. (2019). Birthmark based identification of software piracy using Haar wavelet. Mathematics and Computers in Simulation, 166, 144–154. DOI 10.1016/j.matcom.2019.04.010. [Google Scholar] [CrossRef]
44. Khashan, M. M., Amin, R., Syam, M. I. (2019). A new algorithm for fractional riccati type differential equations by using Haar wavelet. Mathematics, 7, 545–557. DOI 10.3390/math7060545. [Google Scholar] [CrossRef]
45. Amin, R., Shah, K., Asif, M., Khan, I., Ullah, F. (2021). An efficient algorithm for numerical solution of fractional integro-differential equations via Haar wavelet. Journal of Computational and Applied Mathematics, 381, 113028. DOI 10.1016/j.cam.2020.113028. [Google Scholar] [CrossRef]
46. Abdeljawad, T., Amin, R., Shah, K., Mdallal, Q., Jarad, F. (2020). Efficient sustainable algorithm for numerical solutions of systems of fractional order differential equations by Haar wavelet collocation method. Alexandria Engineering Journal, 59, 2391–2400. DOI 10.1016/j.aej.2020.02.035. [Google Scholar] [CrossRef]
47. Amin, R., Ahmad, H., Shah, K., Hafeez, M. B., Sumelka, W. (2021). Theoretical and computational analysis of nonlinear fractional integro-differential equations via collocation method. Chaos, Solitons and Fractals, 151, 111252. DOI 10.1016/j.chaos.2021.111252. [Google Scholar] [CrossRef]
![]() | This work is licensed under a Creative Commons Attribution 4.0 International License, which permits unrestricted use, distribution, and reproduction in any medium, provided the original work is properly cited. |