![]() | Computer Modeling in Engineering & Sciences | ![]() |
DOI: 10.32604/cmes.2022.017616
ARTICLE
Degenerate s-Extended Complete and Incomplete Lah-Bell Polynomials
1Department of Mathematics Education, Daegu Catholic University, Gyeongsan, 38430, Korea
2School of Electronic and Electric Engineering, Daegu University, Gyeongsan, 38453, Korea
*Corresponding Author: Hye Kyung Kim. Email: hkkim@cu.ac.kr
Received: 26 July 2021; Accepted: 26 September 2021
Abstract: Degenerate versions of special polynomials and numbers applied to social problems, physics, and applied mathematics have been studied variously in recent years. Moreover, the (s-)Lah numbers have many other interesting applications in analysis and combinatorics. In this paper, we divide two parts. We first introduce new types of both degenerate incomplete and complete s-Bell polynomials respectively and investigate some properties of them respectively. Second, we introduce the degenerate versions of complete and incomplete Lah-Bell polynomials as multivariate forms for a new type of degenerate s-extended Lah-Bell polynomials and numbers respectively. We investigate relations between these polynomials and degenerate incomplete and complete s-Bell polynomials, and derive explicit formulas for these polynomials.
Keywords: Lah-Bell numbers and polynomials; s-extended Lah-Bell numbers and polynomials; complete s-Bell polynomials; incomplete s-Bell polynomials; s-Stirling numbers of second kind
Mathematics Subject Classification 11F20; 11B68; 11B83
For nonnegative integers n, k, s such that
First, we introduce some definitions and properties we needed in this paper.
For a nonnegative integer s, the s-Stirling numbers S(s)2(n, k) of the second kind are given by the generating function
When s = 0, S(0)2(n, k) = S2(n, k) are the Stirling numbers of the second kind which are the number of ways to partition a set with n elements into k non-empty subsets.
From (8), it is to see that [15,16] the generating function of the s-Bell polynomials is
When x = 1,
When s = 0,
Furthermore, the incomplete s-Bell polynomials.
When s = 0,
where
The combinatorial meaning of the incomplete s-Bell polynomials is in the reference [18].
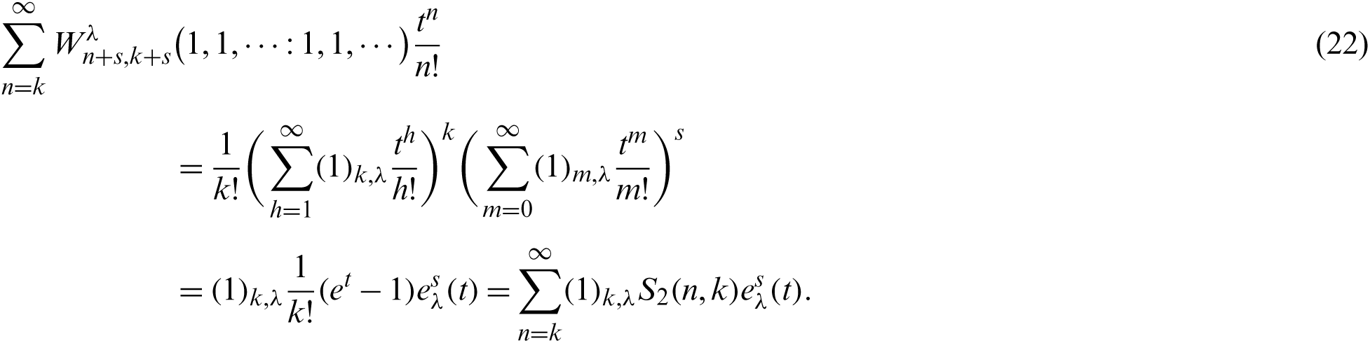
The complete s-Bell polynomials
where exp(t) = et.
When s = 0,
Let n, k, s be nonnegative integers with
and
When s = 0, L0(n, k) = L(n, k) are the unsigned Lah-numbers.
Kim et al. [2] introduced the s-extended Lah-Bell polynomials Lbn, s(x) given by the generating function
When x = 1,
For
where
The degenerate fully Bell polynomials are given by
When
In addition, the partially degenerate Bell polynomials are given by
When
2 A New Type of Degenerate Complete and Incomplete s-Bell Polynomials
In this section, we introduce new types of degenerate complete s-Bell polynomials and degenerate incomplete s-Bell polynomials different from (9) and (10), respectively. We also give some identities and explicit formulas for these polynomials.
For our goal, we introduce a new type of the degenerate extended s-Bell polynomials defined by
When x = 1,
When
When s = 0,
Theorem 2.1. For
Proof. From (1), (8) and (11), we observe that
By comparing with the coefficients of both side of (12), we get the desired result.
Theorem 2.2. For
Proof. From (8) and (11), we observe that
By comparing with the coefficients of both side of (13), we get the desired result.
First, we define a new type of the degenerate complete Bell polynomials
and a new type of the degenerate incomplete Bell polynomials
Theorem 2.3. For
In particular, we have
Proof. From (3), (4) and (14), we have
Therefore, by comparing with coefficients of both sides of (16), we have the desired result.
In particular, from (16), we have
Thus, by comparing with coefficients of both sides of (17), we have
In next theorem, we obtain a new type of degenerate Stirling numbers of second kind
Theorem 2.4. For
In particular, we get
Proof. From (8), (14) and (15), we observe that
Therefore, by comparing with coefficients of both sides of (18), we have what we want.
In addition, from (18), we get
Thus, we have
Next, for
From (4) and (19), we have the following explicit formula
For
where
Naturally, we define a new type of the degenerate complete s-Bell polynomials by
where
We note that
From (19) and (21), we note that
Theorem 2.5. For
Proof. From (1), (8) and (19), we have

Therefore, by comparing with coefficients of both side of (22), we obtain the desired result.
In Theorem 2.5, we obtain a new type of degenerate s-extended Stirling number of second.
Theorem 2.6. For

Proof. By using (8), we observe that

and


On the other hand, from (21), we have
Thus, by comparing with coefficients of (25) and (26), we have what we want.
Next, we consider the extended degenerate complete s-Bell polynomials defined by the generating function
Theorem 2.7. For
When z = 1, we get
Proof. From (19) and (27), we have
Thus, by comparing with coefficients of both sides of (28), we have what we want.
Theorem 2.8. For
Proof. From (27), we observe that
On the other hand, from (11), we get
Thus, from (29) and (30), we get the desired result.
3 Degenerate
In this section, we introduce a new type of the degenerate Lah-Bell polynomials different from Kim-Kim’s in [8] and define both the s-extended complete and incomplete degenerate Lah-Bell polynomials associated with a new type of the degenerate Lah-Bell polynomials. We also demonstrate some interesting properties related to these polynomials and explicit formulas for them.
We consider a new type of the degenerate Lah-Bell polynomials
When x = 1,
When
In view of the ordinary Bell polynomials, the degenerate 2s-extended Lah-Bell polynomials are defined by the generating function
When x = 1,
Next, we introduce the degenerate complete Lah-Bell polynomials
We note that
From (31), we have
By (14), (15), (35) and Theorem 2.3, we obtain the following theorem.
Theorem 3.1. For
Naturally, we can define a new type of the degenerate incomplete Lah-Bell polynomials
Note that when
From (15) and (36), we observe that
Theorem 3.2. For
Proof.
From (8), (36) and (37), we observe that
Therefore, by comparing with coefficients of both side of (38), we get the desired identity.
We define the degenerate s-extended incomplete Lah-Bell polynomials
When s = 0, the degenerate incomplete s-extended Lah-Bell polynomials are the degenerate incomplete Lah-Bell polynomials.
From (19) and Theorem 2.5, we get easily the following explicit formula.
Theorem 3.3. For
where
We also define the degenerate s-extended complete Lah-Bell polynomials
Theorem 3.4. For
When x = 1, we have
Proof. From (32) and (39), we have
Therefore, by comparing with coefficients of both side of (41), we get the desired result.
From (19), (39) and (40), we note that
for
Theorem 3.5. For
Proof. From (17), we have
and
Therefore, by comparing with coefficients of both side of (44), we get the desired result.
Remark. We recall the degenerate Lah-Bell numbers
In the following figures (x-axis = t, y-axis

Figure 1: Degenerate Lah-Bell numbers when

Figure 2: Degenerate Lah-Bell numbers when
In this paper, we introduced both the degenerate s-extended incomplete and complete Lah-Bell polynomials associated with a new type of degenerate s-extended Lah-Bell polynomials. We demonstrated some combinatorial identities between these polynomials and polynomials introduced in Section 2, and explicit formulas for them respectively. In addition, we obtained new types of the degenerate Stirling numbers and s-extended Stirling numbers of the second kind in Theorem 2.4 and 2.5, respectively.
Special polynomials have been applied not only in mathematics and physics, but also in various fields of application [1,3,6,9,17,18,22–27]. In recent years, one of our research areas has been to explore some special numbers and polynomials and their degenerate versions, and to discover their arithmetical and combinatorial properties and some of their applications. We intend to study various degenerate polynomial and numbers using several means such as function generation, combinatorial methods, umbral calculus, differential equations, and probability theory.
Acknowledgement: The authors would like to thank the referees for the detailed and valuable comments that helped improve the original manuscript in its present form. Also, the authors thank Jangjeon Institute for Mathematical Science for the support of this research.
Ethics Approval and Consent to Participate: The authors declare that there is no ethical problem in the production of this paper.
Consent for Publication: The authors want to publish this paper in this journal.
Funding Statement: This work was supported by the Basic Science Research Program, the National Research Foundation of Korea (NRF-2021R1F1A1050151).
Conflicts of Interest: The authors declare that they have no conflicts of interest to report regarding the present study.
1. Comtet, L. (1974). Advanced combinatorics: The art of finite and infinite expansions. Springer Science and Business Media, D. Reidel Publishing Company. [Google Scholar]
2. Kim, T., Kim, D. S. (2021). r-extended Lah-Bell numbers and polynomials associated with r-Lah numbers. Proceedings of the Jangjeon Mathematical Society, 24(1), 507–514. [Google Scholar]
3. Ma, Y., Kim, D. S., Kim, T., Kim, H., Lee, H. (2020). Some identities of Lah-bell polynomials. Advances in Difference Equations, 2020(510), 1–10. DOI 10.1186/s13662-020-02966-6. [Google Scholar] [CrossRef]
4. Nyul, G., Racz, G. (2015). The r-lah numbers. Discrete Mathematics, 338, 1660–1666. DOI 10.1016/j.disc.2014.03.029. [Google Scholar] [CrossRef]
5. Nyul, G., Racz, G. (2020). Sums of r-Lah numbers and r-Lah polynomials. Ars Mathematica Contemporanea, 18(2), 211–222. DOI 10.26493/1855-3974.1793.c4d. [Google Scholar] [CrossRef]
6. Martinjak, I. Šrekovski R. (2018). Lah numbers and Lindstrom¡s lemma, Comptes Rendus de l’Academie des Sciences–Series I, 356, 5–7. [Google Scholar]
7. Carlitz, L. (1979). Degenerate stirling, Bernoulli and Eulerian numbers. Utilitas Mathematica, 15, 51–88. DOI 10.12691/tjant-3-4-3. [Google Scholar] [CrossRef]
8. Dolgy, D. V., Kim, D. S., Kim, T., Kwon, J., (2020). On fully degenerate bell numbers and polynomials. Filomat, 34(2), 507–514. DOI 10.2298/FIL2002507D. [Google Scholar] [CrossRef]
9. Kim, D. S., Kim, T. (2019). Degenerate bernstein polynomials. Revista de la Real Academia de Ciencias Exactas, Físicas y Naturales. Serie A. Matemáticas, 113, 2913–2920. [Google Scholar]
10. Kim, H. K., Lee, D. S. (2020). Note on extended Lah-Bell polynomials and degenerate extended Lah-Bell polynomials. Advanced Studies in Contemporary Mathematics, 30(4), 1–10. DOI 10.17777/ascm2020.30.4.547. [Google Scholar] [CrossRef]
11. Kim, T. (2017). A note on degenerate stirling polynomials of the second kind. Proceedings of the Jangjeon Mathematical Society, 20(3), 319–331. DOI 10.17777/pjms2017.20.3.319. [Google Scholar] [CrossRef]
12. Kim, T., Kim, D. S., Dolgy, D. V. (2017). On partially degenerate bell numbers and polynomials. Proceedings of the Jangjeon Mathematical Society, 20(3), 337–345. DOI 10.17777/pjms2017.20.3.337. [Google Scholar] [CrossRef]
13. Kim, T., Kim, D. S., Kim, H. Y., Kwon, J. (2019). Degenerate stirling polynomials of the second kind and some applications. Symmetry, 11(8), DOI 10.3390/sym11081046. [Google Scholar] [CrossRef]
14. Kim, T., Kim, D. S., Kim, H. Y., Kwon, J. (2020). Some identities of degenerate bell polynomials, Mathematics. 8(1), 40. DOI 10.3390/math8010040. [Google Scholar] [CrossRef]
15. Kim, T., Yao, Y., Kim, D. S., Jang, G. W. (2018). Degenerate r-Stirling numbers and r-Bell polynomials. Russian Journal of Mathematical Physics, 25(1), 44–58. DOI 10.1134/S1061920818010041. [Google Scholar] [CrossRef]
16. Kwon, J., Kim, T., Kim, D. S., Kim, H. Y. (2020). Some identities for degenerate complete and incomplete r-Bell polynomials. Journal of Inequalities and Applications, 2020(23), 1–9. DOI 10.1186/s13660-020-2298-x. [Google Scholar] [CrossRef]
17. Kim, T., Kim, D. S., (2021). Degenerate zero-truncated poisson random variables. Russian Journal of Mathematical Physics, 28(1), 66–72. DOI 10.1134/S1061920821010076. [Google Scholar] [CrossRef]
18. Bell, E. T. (1934). Exponenential polynomials. Annals of Mathematics, 35, 258–277. [Google Scholar]
19. Kim, T., Kim, D. S., Jang, G. W. (2019). On central complete and incomplete Bell polynomials I. Symmetry, 11(2), 288. DOI 10.3390/sym11020288. [Google Scholar] [CrossRef]
20. Kim, T., Kim, D. S., Jang, L. C., Lee, H., Kim, H. Y. (2021). Complete and incomplete bell polynomials associated with Lah-bell numbers and polynomials. Advances in Difference Equations, 2021(101), 1–12. DOI 10.1186/s13662-021-03258-3. [Google Scholar] [CrossRef]
21. Kim, D. S., Kim, T. (2020). Lah-bell numbers and polynomials. Proceedings of the Jangjeon Mathematical Society, 23(4), 577–586. DOI 10.17777/pjms2020.23.4.577. [Google Scholar] [CrossRef]
22. Bibi, S., Abbas, M., Misro, M. Y., Hu, G. (2019). A novel approach of hybrid trigonometric bezier curve to the modeling of symmetric revolutionary curves and symmetric rotation surfaces. IEEE Access, 7, 165779–165792. DOI 10.1109/ACCESS.2019.2953496. [Google Scholar] [CrossRef]
23. Bibi, S., Abbas, M., Miura, K. T., Misro, M. Y. (2020). Geometric modeling of novel generalized hybrid trigonometric bezier-like curve with shape parameters and its applications. Mathematics, 8(6), 967. DOI 10.3390/math8060967. [Google Scholar] [CrossRef]
24. Maqsood, S., Abbas, M., Hu, G., Ramli, A. L. A., Miura, K. T. (2020). A novel generalization of trigonometric bezier curve and surface with shape parameters and its applications. Mathematical Problems in Engineering. DOI 10.1155/2020/4036434. [Google Scholar] [CrossRef]
25. Maqsood, S., Abbas, M., Miura, K. T., Majeed, A., Iqbal, A. (2020). Geometric modeling and applications of generalized blended trigonometric bezier curves with shape parameters. Advances in Difference Equations, 2020(550), 1–18. DOI 10.1186/s13662-020-03001-4. [Google Scholar] [CrossRef]
26. Simsek, Y. (2012). On q-deformed stirling numbers. International Journal of Computer Mathematics, 15(2), 70–80. [Google Scholar]
27. Usman, M., Abbas, M., Miura, K. T. (2020). Some engineering applications of new trigonometric cubic bezier-like curves to free-form complex curve modeling. Journal of Advanced Mechanical Design, Systems, and Manufacturing, 14(4), 10. DOI 10.1299/jamdsm.2020jamdsm0048. [Google Scholar] [CrossRef]
![]() | This work is licensed under a Creative Commons Attribution 4.0 International License, which permits unrestricted use, distribution, and reproduction in any medium, provided the original work is properly cited. |