![]() | International Journal of Mental Health Promotion | ![]() |
DOI: 10.32604/ijmhp.2022.018829
ARTICLE
Sequential Mediating Effect of Proactive Coping and Perceived Stress in the Relationships between Self-Esteem Stability and Life Satisfaction
Department of Psychology, Korea Military Academy, Seoul, 01805, Korea
*Corresponding Author: Seungju Hyun. Email: hyunyoon5997@gmail.com
Received: 19 August 2021; Accepted: 30 November 2021
Abstract: While the effect of self-esteem stability on life satisfaction is widely verified, it is not very known how coping strategies explain this relationship. The present study focused on proactive coping, a preliminary step to minimize the impact of expected stressors, and a process of recognizing stressful events as challenges and actively managing them. Specifically, this study (N = 280) examined whether proactive coping and perceived stress mediated the relationship between self-esteem stability and life satisfaction in a sequential manner. The results indicate that proactive coping and perceived stress sequentially mediated the relationship between self-esteem stability and life satisfaction, respectively. This demonstrates that proactive coping and perceived stress are factors that link self-esteem and life satisfaction. However, there was no direct effect between self-esteem and life satisfaction. These findings suggest the need to consider combining proactive coping interventions to increase the effectiveness of a self-esteem stability promotion program. The practical implications and suggestions for future research are also discussed.
Keywords: Self-esteem stability; proactive coping; perceived stress; life satisfaction
We live our lives within the framework of self-awareness called self-esteem. Individuals evaluate themselves in the framework of self-esteem in life and recognize others and the external environment. Self-esteem is the overall sense of self-worth that individuals perceive, and individuals with high self-esteem regard themselves as inherently valuable and tend to accept themselves as they are [1,2].
However, many studies have consistently pointed out that a high level of self-esteem can have adverse effects. For example, high self-esteem has been reported to be related to the devaluation of others, distortion of self-knowledge, and aggression [3–5]. In addition, some people with high self-esteem overreact to events that would harm individual’s ego [6,7] and so protect their self-concepts through defensive self-regulation such as selective interpretation of information or self-serving attribution bias [4,8]. These results show that high self-esteem does not necessarily lead to positive outcomes. Therefore, prior studies [9,10] have suggested the need to focus on a healthy self-attitude that complements the adverse effects of self-esteem by classifying it according to various criteria as well as high and low dimensions. In particular, studies have begun to show that one’s momentary feeling of self-worth can change depending on time and circumstance, such as during certain events or after receiving feedback from others, and that self-esteem stability may vary from individual to individual [11–13]. Based on this, scholars have researched self-esteem stability, which has helped establish a standard to distinguish whether self-esteem is secure or fragile, even if it is high [14,15].
Self-esteem stability refers to the degree to which self-esteem levels remain stable, rather than changing with temporary environmental changes [16,17]. Self-esteem stability predicts future behavior independent of self-esteem [18,19]. Specifically, self-esteem is a factor belonging to the content dimension of self-concept in that it refers to one’s overall self-evaluation, while self-esteem stability is a factor belonging to the structural dimension of self-concept in that it serves to incorporate detailed factors of self-concept [20,21]. Therefore, individuals with low self-esteem may have high self-esteem stability, and conversely, individuals with high self-esteem may have low self-esteem stability. Stable self-esteem is not only based on internal and external conditions; it also includes a strong sense of self-worth that is not shaken by changes in one’s mood or external evaluations. Therefore, individuals with stable self-esteem are more likely to adapt to stressful events and experience psychological adaptation [22–24]. In contrast, unstable self-esteem is easily influenced by changes in one’s mood or external feedback and is associated with psychological maladaptations such as depression and anxiety [25,26]. Taken together, self-esteem stability is a factor that can predict one’s vulnerabilities to environments that threaten an individual’s perceived self-worth and perform a function that predicts the satisfaction of an individual’s life [27,28]. Despite these abundant studies on self-esteem, researchers have yet to examine the detailed process of how self-esteem stability influences life satisfaction. Therefore, this study attempted to link self-esteem stability to life satisfaction using the concept of proactive coping.
Conventional coping studies have considered that when a stressor is evaluated as threatening an individual’s goal, the coping process begins as a response to minimize the stressful event [29]. From this viewpoint, coping is considered a reactive concept for managing stressful events that have already occurred [30]. However, humans are both passive responders to the needs of the environment and proactive in creating their own suitable environment [31]. Specifically, humans judge and prepare for predicted stressful events before they occur and respond to them after they occur to minimize their influence [32,33]. Thus, to examine a holistic view of an individual’s coping process, it is necessary to consider the proactive aspects of predicting and preparing for possible future stressors. Based on this need, and unlike conventional coping concepts that only consider responses to past or present-facing stressful events, researchers have proposed the concept of proactive coping with predictable stressors [30,34]. Proactive coping is a preparatory process aimed at minimizing the impact of potentially stressful events, meaning that it is an effort to evaluate such events as challenges (i.e., opportunities for self-growth) and to actively manage them rather than simply practicing avoidance [29–31].
Stress occurs when all coping resources for a stressful event are depleted or about to be exhausted, or when no additional coping resources are available [35]. Meanwhile, proactive people try to accumulate resources and increase their ability to cope with potential future stressors [34,36]. Therefore, they are less aware of stress and are less affected by stressful events [30,37]. Proactive individuals also set challenging goals based on their resources and realistically plan detailed steps to achieve them [38]. As a result, they have a high level of perceived control and autonomy [39,40]. Notably, such efforts to eliminate and reduce the effects of stress and improve quality of life reduce perceived stress [41,42] and significantly predict life satisfaction or subjective well-being [43,44].
According to Aspinwall et al. [30], individuals with well-developed psychological resources, such as a sense of personal control, self-esteem, or optimism, are likely to actively monitor their health to minimize the effects of stress. Similarly, Stanojević et al. [44] verified that coping resources such as overall self-efficacy, optimism, and social support predict proactive coping, while Greenglass et al. [29] found that social support, one of the main coping resources, predicts proactive coping. Considering this, it seems logical that self-esteem stability also functions as an adaptive coping resource that may be more likely to predict proactive coping. In particular, individuals with high self-esteem stability have low negative emotions and defensive attitudes, even in situations where they fail to achieve their goals [45], and participate in actions related to goal pursuit frequently [22]. This increases the likelihood of predicting the characteristics of proactive coping that challenge life’s adversity, turn stress into pleasure, and help the subject view the future positively not become discouraged by difficulties easily [34,46]. In addition, when self-esteem is stable, an individual’s self-worth does not change rapidly with changes in the external environment [22], which means that there is a sense of control over the external condition. Individuals with a sense of control over their external environment perceive an uncertain and ambiguous event to be controlled by themselves and, therefore, subject to influence rather than evaluating it as a threat [47]. In addition, they can quickly detect changes in their external environments, explore coping strategies, and adjust their situations [48]. This sense of control over the surrounding environment seems to influence people with high levels of proactive coping to evaluate stressors as challenges, not threats, and to perceive a sense of control over them [29–31]. Lastly, individuals with low self-esteem stability have a desire to be recognized by others and want to judge their value based on externally provided information [49,50]. Meanwhile, if their self-esteem is stable, individuals are not sensitive to other people’s recognition and evaluation. This is likely to have a positive influence on goal management aspects in proactive coping, such as self-determination and autonomous goal setting and achievement [34,51].
Until now, no comprehensive study has considered self-esteem stability, proactive coping, perceived stress, and life satisfaction. Considering that proactive individuals have a high ability to use their positive inner characteristics as coping resources [52], self-esteem stability is expected to have a positive influence on proactive coping as a resource that performs adaptive functions. Therefore, this study sought to examine whether self-esteem stability predicts life satisfaction by mediating proactive coping and perceived stress. Specifically, this study iteratively analyzed the model using both the Rosenberg Stability of Self Scale (RSSS) [53], which measures self-esteem stability associated with stable self-worth, and the Contingent Self-Esteem Scale (CSES) [54], which measures self-esteem stability associated with the evaluation of others. To begin, the study inferred the following:
Hypothesis 1: Individuals with higher self-esteem stability (RSSS and CSES) will engage in proactive coping.
Hypothesis 2: Proactive coping and perceived stress will have a sequential mediating effect on the relationship between self-esteem stability and life satisfaction.
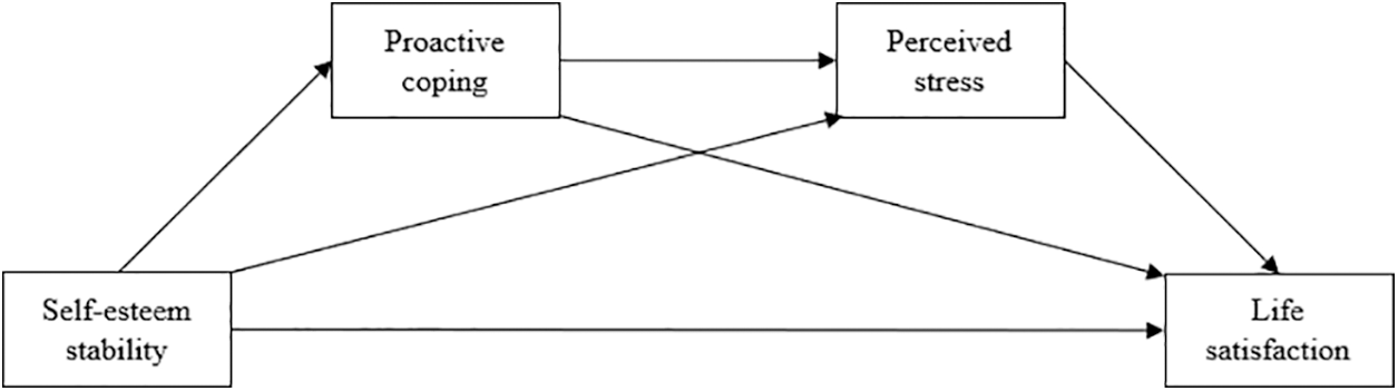
Fig. 1 presents the theoretical model of the study.

Figure 1: Theoretical model of the study
This study surveyed 280 adults recruited from online alumni communities at five universities in Korea. The average age of the participants was 23 years (SD = 5.03), consisting of 79 men (28.2%) and 192 women (71.8%). All study participants voluntarily participated in the study after receiving full information about the study, and the researchers followed the Helsinki principle. Specifically, participants were informed that the study did not include any factors that could cause physical harm, that the study would be conducted only if participants voluntarily expressed their intention to participate through online consent, and that there would be no disadvantage if they quit or rejected the study. The participants received 2,000 Korean won (equivalent to US $2) as compensation for completing the survey. The data were collected using Qualtrics, an online survey system.
The study measured self-esteem stability using the Rosenberg Stability of Self Scale (RSSS) and the Contingent Self-esteem Scale (CSES). The RSSS is a self-report scale that can evaluate the daily degree of variation in one’s self-esteem, and we used a version that Marsh [55] changed to a Likert format to allow a similar but simpler measurement of the question. The scale consists of five items (e.g., “I feel that nothing can change the opinion I currently hold of myself”). Participants responded on a 4-point scale (1 = not at all true–4 = completely true), with higher scores indicating higher self-esteem stability. The CSES measures whether individuals are dependent on surrounding recognized situations or successful performance expectations. The scale consists of 17 items (e.g., “My overall feelings about myself are heavily influenced by how much other people like and accept me”). Participants responded on a 5-point Likert scale (1 = Never–5 = Absolutely), with lower scores indicating higher self-esteem stability.
The study measured proactive coping using the Proactive Coping Inventory (PCI) [34]. The PCI consists of seven scales measuring different types of coping strategies, and we used 14 items to measure proactive coping (e.g., “Despite numerous setbacks, I usually succeed in getting what I want”). The participants responded on a 4-point Likert scale (1 = not at all true–4 = completely true).
The study measured perceived stress using the 10-item Perceived Stress Scale (PSS) [56]. The PSS consists of two factors (positive and negative perception), which measure the perception of controlling and predicting stressful events in daily life (e.g., “In the last month, how often have you felt confident about your ability to handle your personal problems?”) on a 4-point Likert scale (1 = never–4 = very often).
The study measured life satisfaction using the Satisfaction with Life Scale (SWLS) [57]. The scale consists of 5 items (e.g., “In most ways my life is close to my ideal”), the responses for which were rated on a 7-point Likert scale (1 = Strongly disagree–7 = Strongly agree).
3.1 Descriptive Statistics and Bivariate Correlations
Table 1 presents the descriptive statistics and correlations among the study variables. The mean and standard deviation of each scale are similar to those of recent studies of Korean samples of similar age (e.g., [58–62]). As expected, RSSS was positively correlated with proactive coping, and CSES was negatively correlated with it. Thus, Hypothesis 1 is supported. Our findings that both self-esteem stability measures were significantly correlated with perceived stress and life satisfaction support those of previous studies [32,38]. Proactive coping was negatively correlated with perceived stress and life satisfaction.

Meanwhile, the power was calculated using the method and the tool (https://schoemanna.shinyapps.io/mc_power_med/) proposed by Schoemann et al. [63]. As a result, statistical powers (‘s) were 0.99 (the indirect effect of RSSS on life satisfaction), and 0.90 (the indirect effect of CSES on life satisfaction), overall, it is confirmed that the sample size was large enough.
We used SPSS macro (Model 6) to verify whether proactive coping and perceived stress would sequentially mediate the effect of self-esteem stability on life satisfaction [64]. The total, direct, and indirect effects were bootstrapped with 10,000 resampling iterations. Since self-esteem stability had no significant correlation with gender and age, the mediation analysis was conducted without covariates.
3.2 Association between RSSS, Proactive Coping, Perceived Stress, and Life Satisfaction
Table 2 and Fig. 2 present the results of the regression analysis for each pathway. The pathway coefficient for the path from RSSS to proactive coping was positive and significant. In addition, RSSS was a significant negative predictor of perceived stress and a significant positive predictor of proactive coping. Meanwhile, RSSS and proactive coping were significant positive predictors of life satisfaction. The path coefficient for the path from perceived stress to life satisfaction was negative and significant.


Figure 2: Effect of RSSS and life satisfaction via proactive coping and perceived stress
Note: Path estimates are standardized. Path coefficient
3.3 Sequential Mediating Effects among Variables
The bootstrapping analysis of sequential mediating effects (Table 3) revealed the following: first, proactive coping had a significant mediating effect on the relationship between RSSS and life satisfaction (95%CI: 0.078 to 0.300); second, perceived stress had a significant effect on the relationship between RSSS and life satisfaction (95%CI: 0.082 to 0.337); Third, RSSS had an indirect effect on life satisfaction, with a sequential mediating effect of proactive coping and perceived stress (95%CI: 0.064 to 0.229); and fourth, the total effect of RSSS on life satisfaction was significant (B = 0.309, 95%CI: 0.037 to 0.581). Meanwhile, after proactive coping and perceived stress were included as mediators, RSSS did not have a significant direct effect on life satisfaction (95%CI: −0.435 to 0.015). Therefore, the study established a partial mediating model.

3.4 Association between CSES, Proactive Coping, Perceived Stress, and Life Satisfaction
Table 4 and Fig. 3 present the results of the regression analysis for each pathway. The pathway coefficient for the path from the CSES to proactive coping was negative and significant. In addition, CSES was a significant positive predictor of perceived stress and a significant negative predictor of proactive coping and life satisfaction.


Figure 3: Effect of CSES and life satisfaction via proactive coping and perceived stress
Note: Path estimates are standardized. Path coefficient
3.5 Sequential Mediating Effects among Variables
The bootstrapping analysis of sequential mediating effects (Table 5) revealed the following: first, proactive coping had a significant mediating effect on the relationship between CSES and life satisfaction (95%CI: −0.277 to −0.036); second, perceived stress had a significant effect on the relationship between CSES and life satisfaction (95%CI: −0.505 to −0.179); third, CSES had an indirect effect on life satisfaction with a sequential mediating effect of proactive coping and perceived stress (95%CI: −0.218 to −0.031); and fourth, the total effect of CSES on life satisfaction was significant (B = −0.467, 95%CI: −0.783 to −0.151). Meanwhile, after proactive coping and perceived stress were included as mediators, CSES did not have a significant direct effect on life satisfaction (95%CI: −0.149 to 0.385). Therefore, the study confirmed the partial mediating model and supports Hypothesis 2.

We perceive ourselves to be happy when we consider ourselves worthy, and we have an incentive to maintain a positive self-evaluation [65]. Considering this, many researchers have verified how self-esteem, an evaluating aspect of self-concept, influences mental health. However, self-concept is a system consisting of content and structure factors, and the structure of self-knowledge can also relate to psychological adjustment [66,67]. This study examined the detailed process by which self-esteem stability, a structural factor in self-concept, influences life satisfaction by investigating whether proactive coping and perceived stress are mediated sequentially in the relationship between self-esteem stability and life satisfaction.
RSSS was significantly correlated with proactive coping. People with high self-esteem stability face stressors when they occur, accept the meaning of threats; they actively and adaptively handle events [16]. In addition, people with high self-esteem stability have a low tendency to defend themselves, even regarding stressors, because they have a lot of psychological resources to cope with threats [68,69]. In contrast, people with low self-esteem stability lack the resources to adaptively cope with events that threaten the self and, thus, attempt defensive coping strategies to avoid revealing their vulnerable self [69]. In particular, people with low self-esteem stability tend to interpret general life events as threatening their self-worth [16]. Considering this, the correlation between the two variables is consistent with the study’s inference that self-esteem stability is associated with the characteristics of proactive coping in which one’s perceived control of expected future stressors and recognition of stressful events are considered opportunities for self-growth.
CSES was also significantly correlated with proactive coping. People with high self-esteem stability do not base their self-esteem on their external environments [22,23], while people with low self-esteem stability are convinced of their value based on information provided by others [49]. People with low self-esteem stability paradoxically focus on their own negative aspects that do not meet other people’s expectations, undermining their self-worth in the process. Considering that the key characteristics of proactive individuals are high perceived control and autonomy in the process of achieving the goal [70], the correlation between these two variables is consistent with the extant research.
This study showed that self-esteem stability indirectly influences life satisfaction by sequentially mediating proactive coping and perceived stress. In other words, a higher self-esteem stability level is associated with higher proactive coping, lower levels of perceived stress, and higher levels of life satisfaction. Multiple prior studies have shown that psychological resources such as self-efficacy, optimism, social support, and meaning in life predict proactive coping [29,44,71] and that concepts related to self, such as self-esteem and self-criticism, also significantly influence proactive coping [42,72]. However, it is hard to find studies that examine whether self-esteem stability, which is conceptually independent of self-esteem and can function as a coping resource for stressors, predicts proactive coping [18,73]. Therefore, it is meaningful that this study specifically verifies the association between self-concept and the coping process by examining how people with stable self-esteem actively cope with expected stressful events and minimize their impact.
However, self-esteem stability had no direct effect on life satisfaction. That is, the results of this study indicate that the higher the self-esteem stability, the more positively it influences coping and perceived stress, which increases the likelihood of an individual’s life satisfaction, but they do not indicate the likelihood that self-esteem stability directly influences life satisfaction. Therefore, these results suggest that self-esteem stability interventions may not always help improve life satisfaction and that the effects may vary by individual. In light of this, there may be a need to combine proactive coping promotion programs so that stable self-esteem can lead to effective improvement in proactive coping. Researchers such as Bode et al. [74], Kroese et al. [75], Ślebarska et al. [76], and Thoolen et al. [77] have suggested interventions that can promote proactive coping, including training on how to accumulate individual coping resources, develop action plans for stressors, set realistic goals, and promote perceived control. So far, there seems to be no program that can enhance self-esteem stability, but this study provided empirical evidence to materialize the design of self-esteem stability interventions.
Despite these implications, this study has several limitations. Since the model of this study was examined through a non-experimental design without manipulating independent variables, further studies are needed to confirm causality. In general, people with stable self-esteem have little impact on self-esteem by positive or negative events that have occurred to them [16], but people with unstable self-esteem are worried about self-view and sensitive to their incompetence or demoralization after their failure [78,79]. Based on this, many studies have been conducted to verify whether self-esteem stability predicts psychological adjustment or functioning (e.g., [28,80]), and there seem to be few studies that have verified the causality between self-esteem stability and mental health. For example, self-esteem stability predicted depressive symptoms after 6 months and psychological pain after 1 year [81,82], and self-esteem stability calculated as the level of change in the SD of repeatedly measured self-esteem, the method proposed by Kernis [83], predicted depression and anxiety [84]. However, there seems to be no research verifying the causal direction of self-esteem stability, perceived stress, and life satisfaction. Meanwhile, self-esteem stability also influences self-regulatory processes. Individuals with high self-esteem stability tend to perceive failure feedback as a challenge, while individuals with low self-esteem stability tend to perceive it as a threat [45,85]. Based on studies showing that proactive coping is a self-regulated behavior that controls an individual’s internal condition and response using accumulated coping resources [30,86], and that proactive individuals perceive expected events as opportunities for self-growth [31,87], this study inferred that self-esteem stability predicts proactive coping. However, this link also needs to confirm the causal path through experimental or longitudinal studies. Considering the theoretical discussions of Showers et al. [88], which suggested that structural changes in self-concept can promote changes in the content of self-concept, the verification of causality could provide implications for therapeutic intervention.
Funding Statement: This work partially funded by the Hwarangdae Research Institute at the Korea Military Academy.
Conflicts of Interest: The author declares that they have no conflicts of interest to report regarding the present study.
1. Rosenberg, M. (1965). Society and the adolescent self-image. Princeton: Princeton University Press. [Google Scholar]
2. Salmivalli, C. (2001). Feeling good about oneself, being bad to others? Remarks on self-esteem, hostility, and aggressive behavior. Aggression and Violent Behavior, 6(4), 375–393. DOI 10.1016/S1359-1789(00)00012-4. [Google Scholar] [CrossRef]
3. Tesser, A. (1999). Toward a self-evaluation maintenance model of social behavior. In: Baumeister, R. F. (Ed.The self in social psychology, pp. 446–460. New York: Psychology Press. [Google Scholar]
4. Sedikides, C., Gregg, A. P. (2008). Self-enhancement: Food for thought. Perspectives on Psychological Science, 3(2), 102–116. DOI 10.1111/j.1745-6916.2008.00068.x. [Google Scholar] [CrossRef]
5. Baumeister, R. F., Smart, L., Boden, J. M. (1996). Relation of threatened egotism to violence and aggression: The dark side of high self-esteem. Psychological Review, 103(1), 5–33. DOI 10.1037/0033-295X.103.1.5. [Google Scholar] [CrossRef]
6. Baumeister, R. F., Campbell, J. D., Krueger, J. I., Vohs, K. D. (2003). Does high self-esteem cause better performance, interpersonal success, happiness, or healthier lifestyles? Psychological Science in the Public Interest, 4(1), 1–44. DOI 10.1111/1529-1006.01431. [Google Scholar] [CrossRef]
7. Shrauger, J. S., Lund, A. K. (1975). Self-evaluation and reactions to evaluations from others. Journal of Personality, 43(1), 94–108. DOI 10.1111/j.1467-6494.1975.tb00574.x. [Google Scholar] [CrossRef]
8. Tesser, A. (2000). On the confluence of self-esteem maintenance mechanisms. Personality and Social Psychology Review, 4(4), 290–299. DOI 10.1207/S15327957PSPR0404_1. [Google Scholar] [CrossRef]
9. Hayes, A. M., Harris, M. S., Carver, C. S. (2004). Predictors of self-esteem variability. Cognitive Therapy and Research, 28(3), 369–385. DOI 10.1023/B:COTR.0000031807.64718.b9. [Google Scholar] [CrossRef]
10. Zeigler-Hill, V. (2006). Discrepancies between implicit and explicit self-esteem: Implications for narcissism and self-esteem instability. Journal of Personality, 74(1), 119–144. DOI 10.1111/j.1467-6494.2005.00371.x. [Google Scholar] [CrossRef]
11. Conley, J. J. (1984). The hierarchy of consistency: A review and model of longitudinal findings on adult individual differences in intelligence, personality and self-opinion. Personality and Individual Differences, 5(1), 11–25. DOI 10.1016/0191-8869(84)90133-8. [Google Scholar] [CrossRef]
12. Greenier, K. D., Kernis, M. H., Waschull, S. B. (1995). Not all high (or low) self-esteem people are the same: Theory and research on stability of self-esteem. In: Kernis, M. H. (Eds.Efficacy, agency, and self-esteem, pp. 51–71. Boston: Springer. [Google Scholar]
13. Roberts, J. E., Monroe, S. M. (1992). Vulnerable self-esteem and depressive symptoms: Prospective findings comparing three alternative conceptualizations. Journal of Personality and Social Psychology, 62(5), 804–812. DOI 10.1037/0022-3514.62.5.804. [Google Scholar] [CrossRef]
14. Jordan, C. H., Zeigler-Hill, V. (2013). Fragile self-esteem: The perils and pitfalls of (some) high self-esteem. In: V. Zeigler-Hill (Ed.Self-esteem, pp. 80–98. New York: Psychology Press. [Google Scholar]
15. Noser, A., Zeigler-Hill, V. (2014). Self-esteem instability and the desire for fame. Self and Identity, 13(6), 701–713. DOI 10.1080/15298868.2014.927394. [Google Scholar] [CrossRef]
16. Kernis, M. H. (2005). Measuring self-esteem in context: The importance of stability of self-esteem in psychological functioning. Journal of Personality, 73(6), 1569–1605. DOI 10.1111/j.1467-6494.2005.00359.x. [Google Scholar] [CrossRef]
17. Kernis, M. H., Cornell, D. P., Sun, C. R., Berry, A., Harlow, T. (1993). There’s more to self-esteem than whether it is high or low: The importance of stability of self-esteem. Journal of Personality and Social Psychology, 65(6), 1190–1204. DOI 10.1037/0022-3514.65.6.1190. [Google Scholar] [CrossRef]
18. Kernis, M. H., Lakey, C. E., Heppner, W. L. (2008). Secure versus fragile high self-esteem as a predictor of verbal defensiveness: Converging findings across three different markers. Journal of Personality, 76(3), 477–512. DOI 10.1111/j.1467-6494.2008.00493.x. [Google Scholar] [CrossRef]
19. Waschull, S. B., Kernis, M. H. (1996). Level and stability of self-esteem as predictors of children’s intrinsic motivation and reasons for anger. Personality and Social Psychology Bulletin, 22(1), 4–13. DOI 10.1177/0146167296221001. [Google Scholar] [CrossRef]
20. Campbell, J. D., Trapnell, P. D., Heine, S. J., Katz, I. M., Lavallee, L. F. et al. (1996). Self-concept clarity: Measurement, personality correlates, and cultural boundaries. Journal of Personality and Social Psychology, 70(1), 141–156. DOI 10.1037/0022-3514.70.1.141. [Google Scholar] [CrossRef]
21. Polak, K. A., Puttler, L. I., Ilgen, M. A. (2012). The relationship between structural aspects of self-concept and psychosocial adjustment in adolescents from alcoholic families. Substance Use & Misuse, 47(7), 827–836. DOI 10.3109/10826084.2012.672536. [Google Scholar] [CrossRef]
22. Kernis, M. H., Paradise, A. W., Whitaker, D. J., Wheatman, S. R., Goldman, B. N. (2000). Master of one’s psychological domain? Not likely if one’s self-esteem is unstable. Personality and Social Psychology Bulletin, 26(10), 1297–1305. DOI 10.1177/0146167200262010. [Google Scholar] [CrossRef]
23. Myers, E. M., Zeigler-Hill, V. (2008). No shades of gray: Splitting and self-esteem instability. Personality and Individual Differences, 45(2), 139–145. DOI 10.1016/j.paid.2008.03.012. [Google Scholar] [CrossRef]
24. Zeigler-Hill, V., Enjaian, B., Holden, C. J., Southard, A. C. (2014). Using self-esteem instability to disentangle the connection between self-esteem level and perceived aggression. Journal of Research in Personality, 49, 47–51. DOI 10.1016/j.jrp.2014.01.003. [Google Scholar] [CrossRef]
25. Crocker, J. (2002). The costs of seeking self-esteem. Journal of Social Issues, 58(3), 597–615. DOI 10.1111/1540-4560.00279. [Google Scholar] [CrossRef]
26. Roberts, J. E., Gotlib, I. H. (1997). Temporal variability in global self-esteem and specific self-evaluation as prospective predictors of emotional distress: Specificity in predictors and outcome. Journal of Abnormal Psychology, 106(4), 521–529. DOI 10.1037/0021-843X.106.4.521. [Google Scholar] [CrossRef]
27. Rasmussen, P. R., Willingham, J. K., Glover, T. L. (1996). Self-esteem stability, cynical hostility, and cardiovascular reactivity to challenge. Personality and Individual Differences, 21(5), 711–718. DOI 10.1016/0191-8869(96)00131-6. [Google Scholar] [CrossRef]
28. Altmann, T., Roth, M. (2018). The Self-esteem Stability Scale (SESS) for cross-sectional direct assessment of self-esteem stability. Frontiers in Psychology, 9, 91. DOI 10.3389/fpsyg.2018.00091. [Google Scholar] [CrossRef]
29. Greenglass, E., Fiksenbaum, L. (2009). Proactive coping, positive affect, and well-being: Testing for mediation using path analysis. European Psychologist, 14(1), 29–39. DOI 10.1027/1016-9040.14.1.29. [Google Scholar] [CrossRef]
30. Aspinwall, L. G., Taylor, S. E. (1997). A stitch in time: Self-regulation and proactive coping. Psychological Bulletin, 121(3), 417–436. DOI 10.1037/0033-2909.121.3.417. [Google Scholar] [CrossRef]
31. Schwarzer, R., Taubert, S. (2002). Tenacious goal pursuits and striving toward personal growth: Proactive coping. In: Frydenberg, E. (Ed.Beyond coping: Meeting goals, visions and challenges, pp. 19–35. London: Oxford University Press. [Google Scholar]
32. Beehr, T. A., McGrath, J. E. (1996). The methodology of research on coping: Conceptual, strategic, and operational-level issues. In: Zeidner, M., Endler, N. S. (Eds.Handbook of coping-theory, research, applications, pp. 65–82. New York: Wiley. [Google Scholar]
33. Billings, A. G., Moos, R. H. (1983). Comparisons of depressed and nondepressed parents: A social-environmental perspective. Journal of Abnormal Child Psychology, 11(4), 463–485. DOI 10.1007/BF00917076. [Google Scholar] [CrossRef]
34. Greenglass, E., Schwarzer, R., Jakubiec, D., Fiksenbaum, L., Taubert, S. (1999). The proactive coping inventory (PCIA multidimensional research instrument. The 20th International Conference of the Stress and Anxiety Research Society, Cracow, Poland. [Google Scholar]
35. Hobfoll, S. E. (2001). The influence of culture, community, and the nested-self in the stress process: Advancing conservation of resources theory. Applied Psychology, 50(3), 337–421. DOI 10.1111/1464-0597.00062. [Google Scholar] [CrossRef]
36. Uskul, A. K., Greenglass, E. (2005). Psychological wellbeing in a Turkish-Canadian sample. Anxiety, Stress & Coping, 18(3), 269–278. DOI 10.1080/10615800500205983. [Google Scholar] [CrossRef]
37. Carlander, A., Johansson, L. O. (2020). Should trust be stressed? General trust and proactive coping as buffers to perceived stress. Frontiers in Psychology, 11, 554962. DOI 10.3389/fpsyg.2020.554962. [Google Scholar] [CrossRef]
38. Schwartz, J. E., Neale, J., Marco, C., Shiffman, S. S., Stone, A. A. (1999). Does trait coping exist? A momentary assessment approach to the evaluation of traits. Journal of Personality and Social Psychology, 77(2), 360–369. DOI 10.1037/0022-3514.77.2.360. [Google Scholar] [CrossRef]
39. Greenglass, E., Fiksenbaum, L., Eaton, J. (2006). The relationship between coping, social support, functional disability and depression in the elderly. Anxiety, Stress & Coping, 19(1), 15–31. DOI 10.1080/14659890500436430. [Google Scholar] [CrossRef]
40. Prenda, K. M., Lachman, M. E. (2001). Planning for the future. Psychology and Aging, 16(2), 206–216. DOI 10.1037/0882-7974.16.2.206. [Google Scholar] [CrossRef]
41. Kumanova, M., Karastoyanov, G. (2013). Perceived stress and coping strategies. The 3rd Annual Conference “Education, Science, Innovation”. Pernik, Bulgaria. [Google Scholar]
42. Straud, C. L., McNaughton-Cassill, M. (2019). Self-blame and stress in undergraduate college students: The mediating role of proactive coping. Journal of American College Health, 67(4), 367–373. DOI 10.1080/07448481.2018.1484360. [Google Scholar] [CrossRef]
43. Dwivedi, A., Rastogi, R. (2017). Proactive coping, time perspective and life satisfaction: A study on emerging adulthood. Journal of Health Management, 19(2), 264–274. DOI 10.1177/0972063417699689. [Google Scholar] [CrossRef]
44. Stanojević, D., Krstić, M., Jaredić, B., Dimitrijević, B. (2014). Proactive coping as a mediator between resources and outcomes: A structural equations modeling analysis. Applied Research in Quality of Life, 9(4), 871–885. DOI 10.1007/s11482-013-9274-2. [Google Scholar] [CrossRef]
45. Seery, M. D., Blascovich, J., Weisbuch, M., Vick, S. B. (2004). The relationship between self-esteem level, self-esteem stability, and cardiovascular reactions to performance feedback. Journal of Personality and Social Psychology, 87(1), 133–145. DOI 10.1037/0022-3514.87.1.133. [Google Scholar] [CrossRef]
46. Naseem, Z., Khalid, R. (2010). Positive thinking and coping with stress and health outcomes: Literature review. Journal of Research and Reflections in Education, 4, 42–61. DOI 10.1155/2021/7814159. [Google Scholar] [CrossRef]
47. Chrorpita, B. F., Barlow, D. H. (1998). The development of anxiety: The role of control in the early development. Psychological Bulletin, 124(1), 3–21. DOI 10.1037/0033-2909.124.1.3. [Google Scholar] [CrossRef]
48. Ionescu, T. (2012). Exploring the nature of cognitive flexibility. New Ideas in Psychology, 30(2), 190–200. DOI 10.1016/j.newideapsych.2011.11.001. [Google Scholar] [CrossRef]
49. Gibbons, F. X., Buunk, B. P. (1999). Individual differences in social comparison: Development of a scale of social comparison orientation. Journal of Personality and Social Psychology, 76(1), 129–142. DOI 10.1037/0022-3514.76.1.129. [Google Scholar] [CrossRef]
50. Johnson, M. (1998). Self-esteem stability: The importance of basic self-esteem and competence strivings for the stability of global self-esteem. European Journal of Personality, 12(2), 103–116. DOI 10.1002/(ISSN)1099-0984. [Google Scholar] [CrossRef]
51. Bagana, E., Negovan, V., Vanea, M. (2011). Proactive coping and vulnerability to depression in university environment-gender, age and learning context differences. Procedia-Social and Behavioral Sciences, 12, 30–39. DOI 10.1016/j.sbspro.2011.02.007. [Google Scholar] [CrossRef]
52. Greenglass, E. R. (2002). Proactive coping and quality of life management. In: Frydenberg, E. (Ed.Beyond coping: Meeting goals, visions, and challenges, pp. 37–62. London: Oxford University Press. [Google Scholar]
53. Rosenberg, M. (1979). Conceiving the self. New York: Basic Books. [Google Scholar]
54. Paradise, A. W., Kernis, M. H. (1999). Development of the contingent self-esteem scale (Unpublished manuscript). Athens: University of Georgia. [Google Scholar]
55. Marsh, H. W. (1993). Self-esteem stability and responses to the stability of self scale. Journal of Research in Personality, 27(3), 253–269. DOI 10.1006/jrpe.1993.1018. [Google Scholar] [CrossRef]
56. Cohen, S., Kamarck, T., Mermelstein, R. (1983). A global measure of perceived stress. Journal of Health and Social Behavior, 24(4), 385–396. DOI 10.2307/2136404. [Google Scholar] [CrossRef]
57. Diener, E. D., Emmons, R. A., Larsen, R. J., Griffin, S. (1985). The satisfaction with life scale. Journal of Personality Assessment, 49(1), 71–75. DOI 10.1207/s15327752jpa4901_13. [Google Scholar] [CrossRef]
58. Park, Y. R., Lee, J. L. (2011). Relationship of stability and level of self-esteem with aggression among Korean adolescents [In Korean]. Journal of Korean Child Care and Education, 7(2), 61–79. [Google Scholar]
59. Jung, S. J., Song, Y. J. (2020). Differences in SNS users’ motivation and SNS addiction tendencies via their self-esteem and contingent self-esteem. Journal of Human Understanding and Counseling, 41(2), 65–84 (in Korean). DOI 10.30593/JHUC.41.2.4. [Google Scholar] [CrossRef]
60. Nam, S. Y., Lee, H. K. (2021). The relationship of anxiety and proactive coping: The moderated mediation effect of intentional rumination through emotional clarity [In Korean]. Korean Journal of Youth Studies, 28(3), 367–391. DOI 10.21509/KJYS.2021.03.28.3.367. [Google Scholar] [CrossRef]
61. Park, S. H., Shin, Y., Park, D. (2020). The mediating effect of adolescents’ perceived stress on the relationship between stress mindset and somatization: A short-term longitudinal study. Korean Journal of Youth Studies, 27(1), 167–189 (in Korean). DOI 10.21509/KJYS.2020.01.27.01.167. [Google Scholar] [CrossRef]
62. Park, M., Kim, E. (2016). The relationship between calling and life satisfaction among college student: The mediating effects of career identity and commitment a career choice. Korean Journal of Counseling, 17(1), 207–225 (in Korean). DOI 10.15703/kjc.17.1.201602.207. [Google Scholar] [CrossRef]
63. Schoemann, A. M., Boulton, A. J., Short, S. D. (2017). Determining power and sample size for simple and complex mediation models. Social Psychological and Personality Science, 8(4), 379–386. DOI 10.1177/1948550617715068. [Google Scholar] [CrossRef]
64. Hayes, A. F. (2013). Introduction to mediation, moderation, and conditional process analysis: A regression-based approach. New York: Guilford Press. [Google Scholar]
65. Alicke, M. D., Sedikides, C. (2009). Self-enhancement and self-protection: What they are and what they do. European Review of Social Psychology, 20(1), 1–48. DOI 10.1080/10463280802613866. [Google Scholar] [CrossRef]
66. Campbell, J. D., Assanand, S., Paula, A. D. (2003). The structure of the self-concept and its relation to psychological adjustment. Journal of Personality, 71(1), 115–140. DOI 10.1111/1467-6494.t01-1-00002. [Google Scholar] [CrossRef]
67. Jordan, A., Cole, D. A. (1996). Relation of depressive symptoms to the structure of self-knowledge in childhood. Journal of Abnormal Psychology, 105(4), 530–540. DOI 10.1037/0021-843X.105.4.530. [Google Scholar] [CrossRef]
68. Bosson, J. K., Brown, R. P., Zeigler-Hill, V., Swann, W. B. (2003). Self-enhancement tendencies among people with high explicit self-esteem: The moderating role of implicit self-esteem. Self and Identity, 2(3), 169–187. DOI 10.1080/15298860309029. [Google Scholar] [CrossRef]
69. Steele, C. M., Spencer, S. J., Lynch, M. (1993). Self-image resilience and dissonance: The role of affirmational resources. Journal of Personality and Social Psychology, 64(6), 885–896. DOI 10.1037/0022-3514.64.6.885. [Google Scholar] [CrossRef]
70. Roesch, S. C., Aldridge, A. A., Huff, T. L., Langner, K., Villodas, F. et al. (2009). On the dimensionality of the proactive coping inventory: 7, 5, 3 factors? Anxiety, Stress & Coping, 22(3), 327–339. DOI 10.1080/10615800802082304. [Google Scholar] [CrossRef]
71. Miao, M., Gan, Y. (2019). How does meaning in life predict proactive coping? The self-regulatory mechanism on emotion and cognition. Journal of Personality, 87(3), 579–592. DOI 10.1111/jopy.12416. [Google Scholar] [CrossRef]
72. Griva, F., Anagnostopoulos, F. (2010). Positive psychological states and anxiety: The mediating effect of proactive coping. Psychological Reports, 107(3), 795–804. DOI 10.2466/02.20.PR0.107.6.795-804. [Google Scholar] [CrossRef]
73. Kernis, M. H., Waschull, S. B. (1995). The interactive roles of stability and level of self-esteem: Research and theory. In: Zanna, M. P. (Ed.Advances in experimental social psychology, vol. 27, pp. 93–141. San Diego: Academic Press. [Google Scholar]
74. Bode, C., de Ridder, D. T., Kuijer, R. G., Bensing, J. M. (2007). Effects of an intervention promoting proactive coping competencies in middle and late adulthood. Gerontologist, 47(1), 42–51. DOI 10.1093/geront/47.1.42. [Google Scholar] [CrossRef]
75. Kroese, F. M., Adriaanse, M. A., Vinkers, C. D., van de Schoot, R., de Ridder, D. T. (2014). The effectiveness of a proactive coping intervention targeting self-management in diabetes patients. Psychology & Health, 29(1), 110–125. DOI 10.1080/08870446.2013.841911. [Google Scholar] [CrossRef]
76. Ślebarska, K., Soucek, R., Moser, K. (2019). Increasing proactive coping in organizational newcomers: Improving job adaptation or rocking the boat? Journal of Career Development, 46(3), 295–313. DOI 10.1177/0894845318763947. [Google Scholar] [CrossRef]
77. Thoolen, B. J., Ridder, D. D., Bensing, J., Gorter, K., Rutten, G. (2009). Beyond good intentions: The role of proactive coping in achieving sustained behavioural change in the context of diabetes management. Psychology & Health, 24(3), 237–254. DOI 10.1080/08870440701864504. [Google Scholar] [CrossRef]
78. Kernis, M. H., Whisenhunt, C. R., Waschull, S. B., Greenier, K. D., Berry, A. J. et al. (1998). Multiple facets of self-esteem and their relations to depressive symptoms. Personality and Social Psychology Bulletin, 24(6), 657–668. DOI 10.1177/0146167298246009. [Google Scholar] [CrossRef]
79. Kugle, C. L., Clements, R. O., Powell, P. M. (1983). Level and stability of self-esteem in relation to academic behavior of second graders. Journal of Personality and Social Psychology, 44(1), 201–207. DOI 10.1037/0022-3514.44.1.201. [Google Scholar] [CrossRef]
80. Ko, H. S., Min, K. H., Kim, M. H. (2012). Relationship of self-esteem, stability of self-esteem, self-concept clarity and psychological adjustment [In Korean]. Korean Journal of Psychology: General, 31(3), 825–846. [Google Scholar]
81. Franck, E., de Raedt, R. (2007). Self-esteem reconsidered: Unstable self-esteem outperforms level of self-esteem as vulnerability marker for depression. Behaviour Research and Therapy, 45(7), 1531–1541. DOI 10.1016/j.brat.2007.01.003. [Google Scholar] [CrossRef]
82. Roth, M., Altmann, T. (2020). A comparison of the predictive validity of self-esteem level and directly measured self-esteem stability in the temporal prediction of psychological distress. Frontiers in Psychology, 11, 1770. DOI 10.3389/fpsyg.2020.01770. [Google Scholar] [CrossRef]
83. Kernis, M. H. (2003). Toward a conceptualization of optimal self-esteem. Psychological Inquiry, 14(1), 1–26. DOI 10.1207/S15327965PLI1401_01. [Google Scholar] [CrossRef]
84. Jang, J. W., Shin, H. C. (2011). Development of self-esteem stability scale. Korean Journal of Counseling and Psychotherapy, 23(3), 635–654. [Google Scholar]
85. Wiese, S. L. (2010). The downside of self-esteem stability: Does stability impede flexibility? (Doctoral Thesis). Florida Atlantic University, Florida.https://www.proquest.com/openview/eb30f826a11d01e9b4cc3f11f2470349/1?pq-origsite=gscholar&cbl=18750 [Google Scholar]
86. Dumitrescu, A. L., Dogaru, B. C., Dogaru, C. D., Manolescu, B. (2011). The relationship between self-reported oral health, self-regulation, proactive coping, procrastination and proactive attitude. Community Dental Health, 28(2), 170–173. DOI 10.1922/CDH_2554Dumitrescu04. [Google Scholar] [CrossRef]
87. Schwarzer, R., Knoll, N. (2003). Positive coping: Mastering demand and searching for meaning. In: Lopez, S. J., Snyder, C. R. (Eds.Positive psychological assessment: A handbook of models and measures, pp. 393–409. Washington, DC: APA. [Google Scholar]
88. Showers, C. J., Limke, A., Zeigler-Hill, V. (2004). Self-structure and self-change: Applications to psychological treatment. Behavior Therapy, 35(1), 167–184. DOI 10.1016/S0005-7894(04)80010-8. [Google Scholar] [CrossRef]
![]() | This work is licensed under a Creative Commons Attribution 4.0 International License, which permits unrestricted use, distribution, and reproduction in any medium, provided the original work is properly cited. |