| BIOCELL DOI:10.32604/biocell.2021.015954 | ![]() |
| Article |
Effects of lead (Pb)-induced oxidative stress on morphological and physio-biochemical properties of rice
1Laboratory of Plant Functional Genomics, School of Applied Biosciences, Kyungpook National University, Daegu, 41566, South Korea
2Ministry of Agriculture State Company for Agriculture Supplies, Baghdad, 10064, Iraq
3Laboratory of Crop Physiology, School of Applied Biosciences, Kyungpook National University, Daegu, 41566, South Korea
4Department of Entomology, Abdul Wali Khan University Mardan, Khyber Pakhtunkhwa, 23200, Pakistan
*Address correspondence to: Byung-Wook Yun, bwyun@knu.ac.kr; Murtaza Khan, murtazakhan.bio@gmail.com
Received: 26 January 2021; Accepted: 15 April 2021
Abstract: In rice, high concentration of lead (Pb) can cause phyto-toxicity affecting several physiological functions. Cultivation of rice varieties that are resistant to Pb-induced oxidative stress is an important management strategy in Pb-contaminated soils. In the current study, we evaluated four different rice cultivars for their response to Pb-induced stress. Three japonica type cultivars X-Jigna, Ediget, and Furat, and one Indica type cultivar Amber 33 were grown in soil containing different Pb concentrations (0 mM, 0.6 mM, and 1.2 mM). The soil was treated with 0 mM or 0.6 mM or 1.2 mM Pb solution one month prior to rice seedling transplantation. Thereafter, four-week-old rice seedlings were transplanted into the treated soil and their responses were observed until maturity. The data revealed that a highest concentration of Pb (1.2 mM) induced significant reduction in agronomic traits such as plant height, number of tillers per plant, number of panicles per plant, and number of spikelets per panicle in all the rice cultivars. However, least reduction in the agronomic traits was observed in X-Jigna, whereas the highest reduction in the agronomic traits was observed in Ediget. Antioxidant activity of catalase (CAT), peroxidase (POD), polyphenol oxidase (PPO), and superoxide dismutase (SOD), was evaluated along with the accumulation of superoxide ions (O2.-), protein, proline, chlorophyll, sucrose, glucose, and fructose contents in all the rice cultivars. A significant increase in antioxidant activity and in the accumulation of proline and sucrose contents with the least reduction in the chlorophyll and protein contents was observed in X-Jigna suggesting that X-Jigna is the most tolerant among all the rice cultivars tested against Pb-stress. On the other hand, non-significant and slightly significant increase in the antioxidant activity, less accumulation of proline and sucrose contents, and higher reduction in the chlorophyll and protein contents was observed in Ediget, which further suggest that Ediget is the most susceptible rice cultivar to Pb-stress. In addition, the other rice cultivars Furat and Amber 33, were found to be moderately tolerant to Pb-induced oxidative stress. In summary, our results suggest that tolerance to Pb-induced oxidative stress would be a result of a synergetic action of both enzymatic and non-enzymatic antioxidant systems, leading to a balanced redox status in rice.
Keywords: Lead (Pb) toxicity; Oxidative stress; Morphological and physio-biochemical properties of rice
Anthropogenic activities, industrialization, excessive use of fertilizers in agriculture, and inappropriate disposal of wastes have polluted the agriculture soil with heavy metals (HMs) resulting in serious problems to agriculture globally (Yu et al., 2006). The highly toxic HMs are lead (Pb), cadmium (Cd), arsenic (As), and mercury (Hg) (Hu et al., 2007; Yu et al., 2008). Based on the highest risk of inducing toxicity, Pb stands second after arsenic, (Gaya and Ikechukwu, 2016). Globally, it can be found abundantly and is vital at lower concentrations, but at higher concentrations it is a toxic environmental pollutant (Mahaffey, 1990). Lead is a useful metal owing to its mechanical properties; however, its non-biodegradable nature and excessive use are the reasons for its rising to toxic levels (Nas and Ali, 2018). In case of plants, at low levels, lead can increase the biomass and yield of the plants (Wang and Wu, 1997) while it is toxic to plant at higher concentrations (Zulfiqar et al., 2019). However, lead present in the soil can be taken up quickly by the plants which has created alarming situation globally, especially in the industrial regions (Mishra et al., 2020). Pb has the potential to cause impairment in the growth and development of plants by altering various aspects of plant’s metabolism (Islam et al., 2007; Uzu et al., 2009). Moreover, it also affects, cell division, seed germination, seedling growth, growth of the cell wall, photosynthesis, protein synthesis, redox-balance, respiration, cell membrane permeability, and ultra-structural changes (Dogan et al., 2009; Gupta et al., 2009; Kanwal et al., 2020; Maestri et al., 2010; Zulfiqar et al., 2019). Furthermore, exposure of plants to Pb stress can cause phenotypic changes, including reduction in the root length, plant growth retardation, blackening of roots, yellowing of leaves, disturbance of water balance, and alteration of enzymatic activities (Sharma and Dubey, 2005). Overall, these changes affect the physiological activity of plants and may cause cell death at higher concentrations (Seregin and Ivanov, 2001).
Generally, plants exposed to Pb stress over-produce reactive oxygen species (ROS), causing oxidation of various biomolecules eventually leading to cell death (Vinocur and Altman, 2005). Therefore, plants have evolved an efficient antioxidant system to control the level of ROS during Pb-toxicity (Ali et al., 2014b; Zhang et al., 2018). In response to Pb-toxicity, previous results report a variation in the activities of antioxidants (Ali et al., 2014b) and rice cultivars having high level of these antioxidants are considered to be tolerant to Pb stress (Verma and Dubey, 2003). Similar to other environmental stimuli, plants exposed to HMs use their intrinsic sophisticated strategies for metal uptake, storage, transportation, detoxification, elimination, and compartmentalization (Jiang and Liu, 2010). In addition, previous results show that different plant species or varieties of the same species can show variations in their ability to take-up, translocate, and accumulate Pb, and there are several plant species which show high tolerance to HM stress (Najeeb et al., 2017; Prasad, 2017; Zhang et al., 2006).
Uptake of Pb from the contaminated soil, and its accumulation in different parts of the rice especially in grains and its subsequent lethal effects on human health has been studied by different scientists previously (Liu et al., 2013). Roots, the first exposed organ of the plants to Pb stress, either act as a storage part (in tolerant plants) or an intermediate organ (in susceptible plants) to transfer Pb from the soil to the aerial parts of the plants (Chen et al., 2006). The maximum permissible amount (MPA), in the soil for Pb is 55 mg/kg (Crommentuijn et al., 2000; Vodyanitskii, 2016). The European Chemicals Agency (ECHA), and Food Safety Security (FSS) has ranked Pb in the group of chemicals of great concern for the environment (Cheema et al., 2020; Pourrut et al., 2011). Therefore, it is necessary to identify those rice cultivars which are tolerant to Pb stress (Ashraf et al., 2015a). In the present study we evaluated those rice cultivars which are tolerant to higher concentration of Pb-induced oxidative stress. For this purpose, four rice cultivars including, X-Jigna, Ediget, Furat and Amber 33 were exposed to different Pb treatments (0 mM, 0.6 mM, and 1.2 mM). The evaluation of rice cultivars in response to Pb-induced oxidative stress was done in terms of the changes in their agronomic traits, along with the activity of antioxidants, variation in the contents of protein, proline, chlorophyll, sucrose, glucose, and fructose were also observed in all rice cultivars.
Plant materials, growth conditions, and Pb application
Four rice cultivars, 2 from Ethiopia namely, japonica ssp. cv. X-Jigna and Ediget and 2 from Iraq namely, japonica ssp. cv. Furat and indica ssp. cv. Amber 33, were used as experimental materials. Seeds of all rice cultivars were surface sterilized in Prochloraz 62.5 µL/125 mL (v/v) for about 2 h and rinsed three times in rotary shaker for 3 h after every 1 h interval, followed by incubation for 72 h at 28°C under dark conditions for germination (Al Azzawi et al., 2020). The germinated seeds were sown in 50-well trays supplemented with nutrient enriched soil, until 3–4 leaf stage (for about 4 week). To induce lead (Pb) stress, Lead (II) nitrate (Pb(NO3)2) was used as the Pb donor. The big pots containing soil (obtained from Doobaena Plus, Nong Kyung Ltd., Yeongcheon-si, Korea), was treated with different concentrations (0 mM (control), 0.6 mM and 1.2 mM) of Pb solution, one month before transplantation of rice seedlings. The treatment was repeated two times per week until transplantation. Four-weeks-old healthy seedlings with uniform height were transplanted into the pots containing lead treated soil. Thereafter, plants were routinely irrigated to maintain the required soil moisture for an optimal plant growth until harvest. The experiment was performed in greenhouse during May–August 2020 at Kyungpook National University, Daegu, Korea.
Sampling and phenotypic evaluation under Pb stress
Samples for physio-biochemical analysis were collected 30 days after Pb-induced oxidative stress. However, samples for phenotypic evaluation, including, plant height, number of tillers per plant, panicle length, number of panicles per plant, and number of spikelets per panicle, were measured after maturation of the rice plants. Furthermore, samples for biomass dry weight (above-ground parts) were collected immediately after harvesting and expressed in gram through the following calculation: (fresh weight-dry weight)/fresh weight × 100. Weighing of the samples collected was done using a digital electrical balance (BSA323S-CW Sartorius, Japan) and noted as plant above-ground dry biomass.
Determination of chlorophyll content and measurement of panicle length
The chlorophyll content of leaf samples was measured using a SPAD meter (SPAD-502, Minolta Co., Ltd., Japan) following the method described earlier (Khan et al., 2019b). The panicle length was measured using a ruler.
Measurement of electrolyte leakage
Electrolyte leakage (EL) was determined, according to the procedure described earlier (Khan et al., 2019a) with slight modifications. In brief, 200 mg fresh leaf samples were collected from control and Pb-treated plants, rinsed with de-ionized water to remove any surface electrolytes, and placed in test tubes containing 10 mL de-ionized water for 6 h at room temperature. After 6 h, electrical conductivity 1 (EC1) was determined using a portable conductivity meter (HURIBA Twin Cond B-173, Japan). For the determination of electrical conductivity 2 (EC2), the samples were autoclaved and cooled at room temperature. EL was measured in percentage as the ratio between EC1/EC2 × 100.
Proline quantification was done using the method described earlier (Bates et al., 1973). Absorbance of the reaction mixture containing toluene was measured at 520 nm wavelength, and proline concentration was calculated on a fresh weight basis and expressed as µg/g DW.
Enzymatic antioxidant assay, protein, and soluble sugars contents measurement
Activity of antioxidant enzymes, such as catalase (CAT), peroxidase (POD), polyphenol oxidase (PPO), and superoxide dismutase (SOD), as well as the accumulation of superoxide ions (O2.−), were analyzed as described earlier (Khan et al., 2017). In brief, 400 mg leaf samples were crushed using a chilled mortar and pestle. Afterward, the samples were homogenized with 0.1 M potassium phosphate buffer (pH 6.8) and centrifuged at 4°C for 15 min at 5000 rpm. The supernatant was used as crude enzyme source for CAT, POD, SOD and PPO activities, as well as for total protein content.
The CAT activity was analyzed as described previously (Rolly et al., 2020). In brief, 50 µL of H2O2 (50 mM) (CAS No. 7722-84-1, Sigma-Aldrich, Korea) was added to the crude enzyme extract and absorbance of the reaction was measured at 240 nm after 1 min. Activity of CAT was expressed as µg/mg of samples dry weight as described previously (Sirhindi et al., 2016).
Activity of PPO and POD was measured following the method described earlier (Khan et al., 2017). The reaction mixture for POD, which consisted of 50 µL crude enzyme extract, 50 µL of pyrogallol (50 µM) (CAS No. 87-66-1, Sigma-Aldrich, USA), 25 µL of H2O2 (50 mM), and 10 µL of phosphate buffer (0.1 mM, pH 6.8), was incubated at room temperature for 5 min under dark conditions. Afterward, 25 µL of H2SO4 (50 w/v) (CAS No. 7664-93-9, DUKSAN PURE CHEMICALS, Korea) was added to the reaction mixture, followed by measurement of absorbance at 420 nm. For PPO activity analysis, the reaction mixture consisted of 50 µL crude enzyme extract, 50 µL pyrogallol (50 µM), and 100 µL of phosphate buffer (0.1 M). Absorbance was measured at 420 nm. Calculations were done as described earlier (Chance and Maehly, 1955).
Furthermore, SOD activity was analyzed as described earlier (Sirhindi et al., 2016), which follows the photo reduction of nitro blue tetrazolium (NBT). Absorbance of the reaction mixture was measured at 540 nm wavelength using a spectrophotometer (T60 UV-Visible Spectrophotometer, pg Instruments, Leicestershire, UK). A unit of SOD is the quantity of enzyme that hampers 50% photo reduction of NBT and is expressed as U/mg of sample.
To quantify the accumulation of superoxide ion (O2.−), a previously describe method followed (de Sousa et al., 2017). In brief, 1 g of fresh shoot plants was ground to fin powder and immersed in 0.01 M sodium phosphate buffer (pH 7.0) containing 0.05% (w/v) NBT (CAS No. 298-83-9, Sigma-Aldrich, Korea) and 10 mM sodium azide (NaN3) (CAS No. 26628-22-8, Sigma-Aldrich, Korea) and the mixture was incubated at room temperature for 1 h. Afterward, 5 mL of the mixture was transferred into fresh tubes and incubated at 85°C for 15 min in a water bath. The solution was immediately cooled on ice and vacuum filtered. Absorbance of the samples was measured at 580 nm wavelength using a spectrophotometer. Superoxide ion scavenging activity was calculated using the formula: O2.-scavanging % = [(A580 of control – A580 of treated samples)/A580 of control)] × 100. Total protein content was quantified according to the method described earlier (Bradford, 1976), and absorbance of the reaction mixture was measured at 595 nm wavelength.
Soluble sugars (glucose, sucrose, and fructose) were extracted and quantified according to a method described previously (Kang et al., 2014; Shahzad et al., 2019) using HPLC Waters system (Millipore Corp., Waters Chromatography, Milford, MA, USA), comprising a sugar-peak column (300 mm, a model 600 controller), and the sugar signals were detected using Waters 410 refractive index detector. A Ca-EDTA solution (50 mg/L) was used as the mobile phase, and the flow rate was maintained at 0.5 mL/min. Glucose, sucrose, and fructose were quantified by comparing their peak areas with those of specific standards.
The collected data was statistically analysed in the Microsoft Excel program. All the mean values, standard deviation, standard error, and Student’s t-tests were performed in the Microsoft Excel program. The data was then visualized using GraphPad Prism software (version 6.0, San Diego, CA, USA). Heatmaps for correlation analysis were created using an online tool (Metsalu and Vilo, 2015).
Pb stress inhibited growth and biomass accumulation in rice
Different rice cultivars were exposed to Pb stress from vegetative growth to maturity in order to examine the effects of Pb stress on their phenotypic and biochemical responses. Our results indicated that, a high concentration of Pb (1.2 mM) significantly inhibited most of the plant growth-related characteristics in all the rice cultivars, except for the cultivar X-Jigna (Figs. 1A and 1I). Similar negative effects of Pb stress on physio-biochemical and morphological features of the plants have been reported earlier (Arce and Yllano, 2008; Ashraf et al., 2017; Lamhamdi et al., 2011; Sebastian et al., 2016). Our results revealed a significant reduction in the plant height in X-Jigna (5.42 and 12.97%), Ediget (6.87 and 12.18%), and Furat (9.19 and 11.02%) in response to 0.6 and 1.2 mM Pb treatment, respectively. On the other hand, this reduction was insignificant in case of Amber 33 (0.65 and 1.31%) as compared to their respective controls (Fig. 1A). Furthermore, under 1.2 mM Pb treatment, a significant reduction was recorded in the number of tillers per plant in Ediget (18.18%), while on the other hand, Amber 33 (4.76%), X-Jigna (4.34%), and Furat (0%) showed non-significant change to both Pb treatments, respectively (Fig. 1B). In addition, exposure to 0.6 and 1.2 mM Pb resulted in a significant reduction of 27.77 and 38.88 % panicles per plant in Ediget, 33.33 and 33.33 % in Amber 33, and 20.83 and 25% respectively in Furat. However, the X-Jigna variety was least affected at 0.6 mM Pb but showed a reduction of up to 13.83% panicles per plant at 1.2 mM (Fig. 1C). Besides, the number of spikelets per panicle were also significantly inhibited in Ediget (10.60 and 27.27%), Amber 33 (11.11 and 12.98%), Furat (9.09 and 12.2%), and X-Jigna (7.97 and 9.12%), under 0.6 and 1.2 mM Pb exposure, respectively (Fig. 1D). Moreover, Pb application significantly reduced the biomass (dry weight) of Ediget (43.8 and 48.58%), followed by Amber 33 (15.67 and 20.13%), and Furat (11.88 and 18.54%), whereas no significant effects on the biomass were observed in X-Jigna (5.17 and 8.27% reduction), under 0.6 and 1.2 mM Pb exposure, respectively (Fig. 1E).

Figure 1: Variations in the agronomic traits of the tested rice cultivars (X-Jigna, Ediget, Furat and Amber 33) to different Pb treatments (0.6 mM and 1.2 mM). (A) Plant height, (B) Number of tillers per plant, (C) Number of panicles per plant, (D) Number of spikelets per panicle, and (E) Biomass (dry weight). The four rice cultivars are (F) X-Jigna, (G) Ediget, (H) Furat and (I) Amber 33. Bars are mean values ± SE. The bars are of control (0 mM), 0.6 mM and, 1.2 mM Pb treatments, respectively. Data are compared with their respective controls (untreated plants 0 mM Pb). *P < 0.05, **P < 0.01, ***P < 0.001, ns: non-significant.
Pb stress induced the activation of antioxidants and electrolyte leakage in rice cultivars
Upon exposure to harsh conditions, plants activate their adaptive response mechanism that includes non-enzymatic and enzymatic antioxidants, such as, CAT, SOD, POD, and PPO. For instance, in response to Pb application, an increase in the activity of CAT and SOD was observed in maize (Zhang et al., 2018), and similar different increasing trend in the CAT, SOD, POD and PPO, was also observed in different rice cultivars under different Pb treatments (Ashraf et al., 2017). Our results also showed a significant increase in the activity of antioxidants and electrolyte leakage in different rice cultivars following different Pb treatments (0.6 and 1.2 mM), as shown in Figs. 2A–2E. A significant increase in the activity of CAT was recorded in X-Jigna (33.95 and 45.43%), followed by Amber 33 (23.79 and 36.04%), Ediget (27.25 and 30.69%), whereas, Furat (21.54 and 11.63%) showed the lowest increase in the activity of CAT, in response to 0.6 and 1.2 mM Pb application, respectively (Fig. 2A). In addition, a significant increase in the activity of POD was observed in Furat (294.98 and 295.21%), and X-Jigna (76.98 and 201.24%), whereas both Amber 33 (30.35 and 34.55%), and Ediget (55 and 43.33%), showed the lowest increase in the activity of POD, under both treatments (Fig. 2B). Maximum significant increase in PPO activity was recorded in Furat (170.24 and 98.33%), whereas the other cultivars showed a minimal increase in PPO activity for Ediget (67.76 and 88.16%), Amber 33 (58.55 and 55.31 %), and X-Jigna (33.89 and 26.49%), following 0.6 and 1.2 mM Pb application, respectively (Fig. 2C). In addition, the activity of SOD enzyme was significantly increased in X-Jigna (7.24 and 70.05%), and Ediget (62.58 and 10.92%), whereas Furat (15.94 and 23.32 %), and Amber 33 (31.68 and 9.67%), showed the lowest but significant increase in SOD activity, under 0.6 and 1.2 mM Pb stress respectively (Fig. 2D). Furthermore, the highest increase in the activity of superoxide ion (O2.−), was recoded in X-Jigna (416.47 and 574.82%), followed by Furat (161.42 and 242. 58), Amber 33 (183.60 and 172.43%), while Ediget (112.39 and 131.49%), showed the lowest increase in the accumulation of superoxide ion (O2.−), under both treatments of Pb, respectively (Fig. 2E). The highest significant increase in the electrolyte leakage was recoded in Ediget (40.79 and 70.20%), and Furat (17.11 and 70.15%), while the other two cultivars X-Jigna (6.52 and 9.67 %), and Amber 33 (18.52 and 22.66%), showed the lowest electrolyte leakage, under both treatments respectively (Fig. 2F).

Figure 2: Changes in the antioxidant enzymes activity and electrolyte leakage in the tested rice cultivars (X-Jigna, Ediget, Furat and Amber 33) to Pb stress (0.6 mM and 1.2 mM). (A) Catalase, (B) Peroxidase, (C) Polyphenol oxidase, (D) Superoxide dismutase, (E) Superoxide anion, and (F) Electrolyte leakage. Bars are mean values ± SE. The bars are of control (0 mM), 0.6 mM and, 1.2 mM Pb treatments, respectively. Data are compared with their respective controls (untreated plants 0 mM Pb). *P < 0.05, **P < 0.01, ***P < 0.001, ns: non-significant
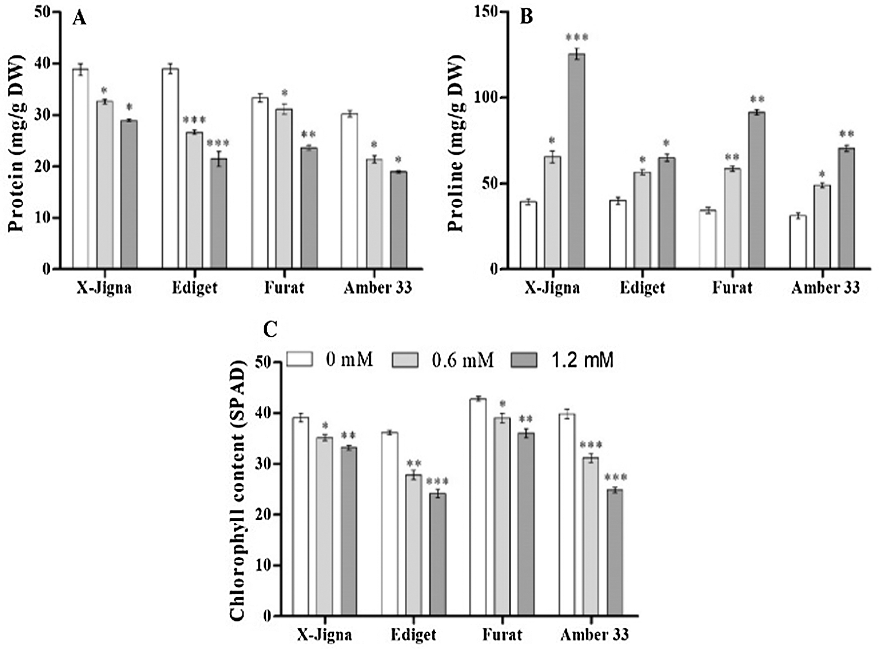
Pb stress reduced protein and chlorophyll contents and increased the proline content in rice
Different rice cultivars showed different level of protein, proline and chlorophyll contents to Pb stress (Ashraf et al., 2017; Rasool et al., 2020). Similarly, we also observed different responses in the production of protein, proline, and chlorophyll contents in the tested rice cultivars to Pb exposure as shown (Fig. 3). A significant reduction was recorded in the total protein content of Ediget (31.67 and 44.93%), and Amber 33 (29.19 and 37.34%). On the other hand, the lowest but significant decrease in the protein content was found in X-Jigna (16.06 and 25.43%), and Furat (6.73 and 29.28%), in response to Pb treatments (0.6 and 1.2 mM), respectively (Fig. 3A). Proline, a multifunctional amino acid, significantly increases during abiotic stress conditions and is well known for its role in the adaptive response mechanism toward abiotic stress tolerance (Chun et al., 2018; Kumchai et al., 2013; Liang et al., 2013). Our data showed a significant increase in the activity of proline in response to Pb stress in X-Jigna (66.79 and 219.02%), followed by Furat (70.56 and 166.53%), and Amber 33 (56.48 and 125.34%), while Ediget showed the lowest level (41.62 and 62.45%), under 0.6 mM and 1.2 mM Pb treatments, respectively (Fig. 3B). In case of chlorophyll content, a significant reduction was observed in Amber 33 (21.75 and 37.65%), and Ediget (23.04 and 33.17%), while X-Jigna (10.09 and 15.21%), and Furat (8.94 and 15.95%), showed the least reduction under both treatments, respectively (Fig. 3C).

Figure 3: Changes in the protein, proline, and chlorophyll contents under Pb treatments (0.6 mM and 1.2 mM). (A) Protein content, (B) Proline content, and (C) Chlorophyll contents. Bars are mean values ± SE. The bars are of control (0 mM), 0.6 mM, and 1.2 mM Pb treatments, respectively. Data are compared with their respective controls (untreated plants). *P < 0.05, **P < 0.01, ***P < 0.001.
Pb stress differentially affected soluble sugars level in rice
A change in the metabolism of plants is expected when they are exposed to harsh conditions. Under these conditions, plants channel their resources, including energy use, to the adaptive response mechanism for stress tolerance, while maintaining a balanced oxidation-reduction status. Plant sugars are crucial players in the oxidative challenge during abiotic stress conditions. Our results showed a significant increase in sucrose content in Furat (135.50 and 165.91 %), and X-Jigna (58.63 and 63.87%), while Ediget (17.84 and 71.70%), and Amber 33 (22.49 and 49.73%), showed the lowest increase in the sucrose contents, under 0.6 mM and 1.2 mM Pb treatments, respectively (Fig. 4A). However, a significant decrease in the glucose contents of Amber 33 (50.36 and 75.59%), followed by X-Jigna (65.70 and 62.65%), Furat (32.19 and 52.45%) and Ediget (12.3 and 44.8%), under both Pb treatments respectively (Fig. 4B). Similar decreasing trend was also observed in the fructose contents under both Pb treatments. The results revealed, a significant decrease in the fructose contents of Ediget (77.90 and 86.20%), Amber 33 (72.27 and 77.01%), followed by X-Jigna (52.14 and 55.57%), and Furat (37.17 and 44.02%), under 0.6 and 1.2 mM Pb application, respectively (Fig. 4C).

Figure 4: Changes in the sucrose, glucose and, fructose contents of the tested rice cultivars (X-Jigna, Ediget, Furat and Amber 33), in Pb (0.6 mM and 1.2 mM) treated soils. (A) Sucrose, (B) Glucose, and (C) Fructose content. Bars are mean values ± SE. The bars are of control (0 mM), 0.6 mM, and 1.2 mM Pb treatments, respectively. Data are compared with their respective controls (untreated plants). *P < 0.05, **P < 0.01, ***P < 0.001.
Heatmap analysis to understand the correlation between various parameters studied in X-Jigna, Ediget, Furat and Amber33
The data on all the studied parameters are represented in the form of heatmaps to understand their correlation. According to the heatmap analysis, treatment with higher concentration of Lead (1.2 mM) showed positive correlation with proline, sucrose, electrolyte leakage, superoxide anion and activity of antioxidantive enzymes like polyphenol oxidase, peroxidase, superoxide dismutase and catalase in all the cultivars (Fig. 5). The same treatment negetively correlated with agronomic parameters, protein and chlorophyll content. These results indicate that higher concentration of Pb in soil has adverse effect on the agronomic and biochemical growth parameters of each cultivar. However, activation of their antioxidative defence system allows them to cope with Pb stress. Our results indicate that the higher antioxidative potential of X-Jigna makes it a tolerant cultivar among others.

Figure 5: Heatmaps showing the correlation between lead treatment and its effect on various parameters studied in different rice cultivars used in the study.
Pb stress inhibits growth and productivity of rice
Due to their non-motile nature, plants are exposed to several biotic and abiotic stress conditions, causing severe damages and loss of productivity. Heavy metals, for instance Pb, are major environmental pollutants and adversely affect all living organisms including plants (Ashraf et al., 2018; Bargagli et al., 2019; Islam et al., 2007). The key factor in Pb-induced toxicity in plants is its transportation to various parts of the plants via vascular bundles (Ashraf et al., 2017). However, the adverse effects of Pb depend on the exposure time, concentration and intensity, plant stage, and its availability in different parts of the plant (Ashraf et al., 2015b). The previous findings suggest that HMs including Pb, have toxic effects on various physio-biochemical processes at different stages of rice growth and development (Maestri et al., 2010; Xie et al., 2018), and the responses of different plant species are different to Pb-induced oxidative stress (Rout et al., 2001; Yoon et al., 2006). The toxic effects on different growth parameters of the plants could be attributed in part to the obstruction in nutrient uptake from the roots due to Pb contamination (Singh et al., 2016). Similarly, our findings also reveal negative effects of Pb-induced oxidative stress on the growth and development of all rice cultivars, and the degree of effects was varied among all four rice cultivars and Pb concentrations as shown in the Figs. 1A–1I. Though, Pb-induced oxidative stress showed negative effects on the growth and development of all the rice cultivars yet the least affected rice cultivar was X-Jigna, and the most affected rice cultivar was Ediget (Figs. 1A–1I). Therefore, our present findings suggest that under Pb-induced oxidative stress the most tolerant rice cultivar is X-Jigna while, the most susceptible rice cultivar is Ediget (Figs. 1A–1I).
Pb stress alters the physiological and biochemical properties of rice
After the perception of biotic or abiotic stress, plants undergo a complex physiological and biochemical reprogramming, as well as redistribution of resources to combat stress, which in our case, is in response to Pb-mediated oxidative stress. Previous studies suggest that Pb-induced oxidative stress inhibits plant growth and development, and also interferes in the regulation of reactive oxygen species (ROS) (Kaur et al., 2015; Kumar et al., 2012; Zhou et al., 2018). In response to HMs, plants regulate the over produced ROS via a well-sophisticated anti-oxidant system (Pirzadah et al., 2020; Pirzadah et al., 2018; Su et al., 2017), and the plants with increased antioxidant activities are considered to be the most tolerant (Ashraf et al., 2017; Ashraf et al., 2020; Wang et al., 2020). Similarly, in the current investigation, an increase in the activation of antioxidants (CAT, POD, PPO, SOD, and O2.−), was observed in all rice cultivars (Fig. 2A–2E). Interestingly, the rice cultivar X-Jigna, which exhibited a balanced phenotypic growth and improved tolerance for Pb stress, recorded a significant increase in the activity of CAT, POD, PPO, SOD, and the accumulation of O2.− (Figs. 2A–2E). While on the other hand, no significant increase was recorded in the activity of POD and the accumulation of O2.− in Ediget rice cultivar (Figs 2B and 2D), which exhibited an imbalanced phenotypic growth and sensitive response to Pb stress. Our present findings suggest that the rice cultivars with more coordination in the activity of antioxidant system are considered more tolerant to Pb stress. These results suggest that lead stress tolerance in X-Jigna can be attributed to its strong antioxidative potential (Figs. 2A–2E). While other rice cultivars like Furat and Amber 33 were found to be moderately tolerant to Pb stress, the cultivar Ediget is most susceptible to lead stress owing to its weak antioxidant potential (Figs. 2A–2E).
Proteins are the building blocks of life and have several key functions in to their nutritional role, have other functions in living organisms. The physiological responses and cellular conditions of plants under stress depend upon the magnitude and severity of stress and the level of resistance and susceptibility of the plants. Stress can result in an overall decrease in total biomass, the total protein would also be reduced. However, the concentration of specific proteins such as those encoding the antioxidant enzymes that respond to stress increases drastically. The accumulation of HMs such as Pb prominently cause a reduction in the protein and chlorophyll contents of plants (Ali et al., 2014a; Ali et al., 2015; Chatterjee et al., 2004; Kopyra and Gwóźdź, 2003; Kurtyka et al., 2018). In the current study, a similar trend in the reduction of protein and chlorophyll contents to Pb-induced oxidative stress was observed in all the rice cultivars (Figs. 3A and 3C). However, the highest reduction was recorded in Ediget, and the lowest in X-Jigna, which indicate that these are the most susceptible and tolerant rice cultivar (Figs. 3A and 3C). While the other two cultivars Furat, and Amber 33 seem to be moderately tolerant to Pb-induced stress (Figs. 3A and 3C). Furthermore, in response to HMs such as Pb and copper (Cu), rice cultivars increase the production of proline (Ashraf et al., 2017; Chen et al., 2001; Hayat et al., 2012). Similarly, in response to Pb stress, we also observed an increase in the proline content in all rice cultivars (Fig. 3B). However, X-Jigna showed the highest increase, while Ediget showed the lowest increase in proline contents (Fig. 3B). These results further support the strong stress tolerance potential of the rice cultivar, X-Jigna as compared to the other varieties tested.
The previous investigations reveal a variation in the production of carbohydrates, sugar metabolism and aggregation of various osmolytes to HMs stress (Devi et al., 2013; Kumar et al., 2015; Rodríguez-Serrano et al., 2009). We also noticed a variation in the contents of sucrose, glucose, and fructose as shown in Figs. 4A–4C. For instance, we recorded a significant increase in sucrose content in all rice cultivars under both 0.6 mM and 1.2 mM Pb treatment (Fig. 4A). However, glucose and fructose content were shown to be significantly reduced under both 0.6 mM and 1.2 mM Pb treatments as compared to their respective controls (Figs. 3B–3C). Sucrose, is an energy source for the plants and therefore its production increases during stress conditions (Ogawa and Yamauchi, 2006a, 2006b). The reason for the decrease in glucose and fructose may be due to their direct involvement in many pathways and also these monosaccharides are the components of sucrose.
An increase in the concentration of soil Pb, negatively affects the growth and development of different rice cultivars. In the current investigation, the collected data recorded from the agronomic traits, antioxidants, protein, proline, chlorophyll, sucrose, glucose, and fructose contents, collectively suggest that X-Jigna is the most tolerant cultivar whereas, Ediget is the most susceptible rice cultivar to Pb-induced oxidative stress. Our results indicate that among the tested rice cultivars, X-Jigna could be one of the candidates for developing Pb-tolerant rice cultivars and may be used for further understanding the redox signaling under heavy metal stress owing to its strong antioxidative potential. However, further detailed investigation is required to unravel the Pb-tolerant capabilities of X-Jigna cultivar which could be used to mitigate Pb-induced yield reduction in plants.
Availability of Data and Materials: Raw data were generated at the laboratory of Plant Functional Genomics, School of Applied Biosciences, Kyungpook National University, Daegu, 41566, South Korea. Derived data supporting the findings of this study are available from the corresponding author MK or BWY on request.
Author Contribution: The authors confirm contribution to the paper as follows: study conceptualization, methodology and validation: MK, BWY; formal analysis, investigation and data curation: MK, MI; writing-original draft preparation, MK; review, revisions and editing: AH, AP, TNIAA; project administration: BGM; supervision: BWY. All authors have read and agreed to the published version of the manuscript.
Funding Statement: This research was supported by a grant from the Next-Generation BioGreen 21 Program (SSAC, Grant No. PJ01342501), Rural Development Administration, Republic of Korea.
Conflicts of Interest: The authors declare that they have no conflicts of interest to report regarding the present study
Al Azzawi TNI, Khan M, Hussain A, Shahid M, Imran QM et al. (2020). Evaluation of Iraqi rice cultivars for their tolerance to drought stress. Agronomy 10: 1782. [Google Scholar]
Ali B, Mwamba TM, Gill RA, Yang C, Ali S et al. (2014a). Improvement of element uptake and antioxidative defense in Brassica napus under lead stress by application of hydrogen sulfide. Plant Growth Regulation 74: 261–273. [Google Scholar]
Ali B, Qian P, Sun R, Farooq MA, Gill RA et al. (2015). Hydrogen sulfide alleviates the aluminum-induced changes in Brassica napus as revealed by physiochemical and ultrastructural study of plant. Environmental Science and Pollution Research 22: 3068–3081. [Google Scholar]
Ali B, Xu X, Gill RA, Yang S, Ali S et al. (2014b). Promotive role of 5-aminolevulinic acid on mineral nutrients and antioxidative defense system under lead toxicity in Brassica napus. Industrial Crops and Products 52: 617–626. [Google Scholar]
Arce D, Yllano O (2008). Sensitivity and tolerance of pokkali and IRRI-112 rice (Oryza sativa) varieties to lead (Pb) stress. University Research Journal. [Google Scholar]
Ashraf U, Hussain S, Akbar N, Anjum SA, Hassan W, Tang X (2018). Water management regimes alter Pb uptake and translocation in fragrant rice. Ecotoxicology and Environmental Safety 149: 128–134. [Google Scholar]
Ashraf U, Kanu AS, Deng Q, Mo Z, Pan S et al. (2017). Lead (Pb) toxicity; physio-biochemical mechanisms, grain yield, quality, and Pb distribution proportions in scented rice. Frontiers in Plant Science 8: 259. [Google Scholar]
Ashraf U, Kanu AS, Mo ZW, Hussain S, Anjum SA et al. (2015a). Lead toxicity in rice: Effects, mechanisms, and mitigation strategies—A mini review. Environmental Science and Pollution Research 22: 18318–18332. [Google Scholar]
Ashraf U, Kanu AS, Mo ZW, Hussain S, Anjum SA et al. (2015b). Lead toxicity in rice: Effects, mechanisms, and mitigation strategies—A mini review. Environmental Science and Pollution Research 22: 18318–18332. [Google Scholar]
Ashraf U, Mahmood MHUR, Hussain S, Abbas F, Anjum SA, Tang X (2020). Lead (Pb) distribution and accumulation in different plant parts and its associations with grain Pb contents in fragrant rice. Chemosphere 248: 126003. [Google Scholar]
Bargagli R, Ancora S, Bianchi N, Rota E (2019). Deposition, abatement and environmental fate of pollutants in urban green ecosystems: Suggestions from long-term studies in Siena (Central Italy). Urban Forestry & Urban Greening 46: 126483. [Google Scholar]
Bates LS, Waldren RP, Teare I (1973). Rapid determination of free proline for water-stress studies. Plant and Soil 39: 205–207. [Google Scholar]
Bradford MM (1976). A rapid and sensitive method for the quantitation of microgram quantities of protein utilizing the principle of protein-dye binding. Analytical Biochemistry 72: 248–254. [Google Scholar]
Crommentuijn T, Sijm D, De Bruijn J, van Den Hoop M, van Leeuwen K, van de Plassche E (2000). Maximum permissible and negligible concentrations for metals and metalloids in the Netherlands, taking into account background concentrations. Journal of Environmental Management 60: 121–143. [Google Scholar]
Chance B, Maehly A (1955). [136] Assay of catalases and peroxidases. Methods in Enzymology 2: 764–775. [Google Scholar]
Chatterjee C, Dube BK, Sinha P, Srivastava P (2004). Detrimental effects of lead phytotoxicity on growth, yield, and metabolism of rice. Communications in Soil Science and Plant Analysis 35: 255–265. [Google Scholar]
Cheema AI, Liu G, Yousaf B, Abbas Q, Zhou H (2020). A comprehensive review of biogeochemical distribution and fractionation of lead isotopes for source tracing in distinct interactive environmental compartments. Science of the Total Environment 719: 135658. [Google Scholar]
Chen CT, Chen LM, Lin CC, Kao CH (2001). Regulation of proline accumulation in detached rice leaves exposed to excess copper. Plant Science 160: 283–290. [Google Scholar]
Cheng FM, Zhao NC, Xu HM, Li Y, Zhang WF, Zhu ZW, Chen MX (2006). Cadmium and lead contamination in japonica rice grains and its variation among the different locations in southeast China. Science of the Total Environment 359: 156–166. [Google Scholar]
Chun SC, Paramasivan M, Chandrasekaran M (2018). Proline accumulation influenced by osmotic stress in arbuscular mycorrhizal symbiotic plants. Frontiers in Microbiology 9: 2525. [Google Scholar]
De Sousa A, Abdelgawad H, Asard H, Pinto A, Soares C et al. (2017). Metalaxyl effects on antioxidant defenses in leaves and roots of Solanum nigrum L. Frontiers in Plant Science 8: 1967. [Google Scholar]
Devi R, Munjral N, Gupta AK, Kaur N (2013). Effect of exogenous lead on growth and carbon metabolism of pea (Pisum sativum L) seedlings. Physiology and Molecular Biology of Plants 19: 81–89. [Google Scholar]
Dogan M, Saygideger SD, Colak U (2009). Effect of lead toxicity on aquatic macrophyte Elodea canadensis Michx. Bulletin of Environmental Contamination and Toxicology 83: 249–254. [Google Scholar]
Gaya U, Ikechukwu S (2016). Heavy metal contamination of selected spices obtained from Nigeria. Journal of Applied Sciences and Environmental Management 20: 681–688. [Google Scholar]
Gupta D, Nicoloso F, Schetinger M, Rossato L, Pereira L et al. (2009). Antioxidant defense mechanism in hydroponically grown Zea mays seedlings under moderate lead stress. Journal of Hazardous Materials 172: 479–484. [Google Scholar]
Hayat S, Hayat Q, Alyemeni MN, Wani AS, Pichtel J, Ahmad A (2012). Role of proline under changing environments: A review. Plant Signaling & Behavior 7: 1456–1466. [Google Scholar]
Hu J, Shi G, Xu Q, Wang X, Yuan Q, Du K (2007). Effects of Pb2+ on the active oxygen-scavenging enzyme activities and ultrastructure in Potamogeton crispus leaves. Russian Journal of Plant Physiology 54: 414–419. [Google Scholar]
Islam E, Yang X, Li T, Liu D, Jin X, Meng F (2007). Effect of Pb toxicity on root morphology, physiology and ultrastructure in the two ecotypes of Elsholtzia argyi. Journal of Hazardous Materials 147: 806–816. [Google Scholar]
Jiang W, Liu D (2010). Pb-induced cellular defense system in the root meristematic cells of Allium sativum L. BMC Plant Biology 10: 40. [Google Scholar]
Kang SM, Radhakrishnan R, You YH, Joo GJ, Lee IJ et al. (2014). Phosphate solubilizing Bacillus megaterium mj1212 regulates endogenous plant carbohydrates and amino acids contents to promote mustard plant growth. Indian Journal of Microbiology 54: 427–433. [Google Scholar]
Kanwal A, Farhan M, Sharif F, Hayyat MU, Shahzad L, Ghafoor GZ (2020). Effect of industrial wastewater on wheat germination, growth, yield, nutrients and bioaccumulation of lead. Scientific Reports 10: 11361. [Google Scholar]
Kaur G, Kaur S, Singh HP, Batish DR, Kohli RK, Rishi V (2015). Biochemical adaptations in Zea mays roots to short-term Pb2+ exposure: ROS generation and metabolism. Bulletin of Environmental Contamination and Toxicology 95: 246–253. [Google Scholar]
Khan AR, Ullah I, Waqas M, Park GS, Khan AL et al. (2017). Host plant growth promotion and cadmium detoxification in Solanum nigrum, mediated by endophytic fungi. Ecotoxicology and Environmental Safety 136: 180–188. [Google Scholar]
Khan M, Imran QM, Shahid M, Mun BG, Lee SU et al. (2019a). Nitric oxide-induced AtAO3 differentially regulates plant defense and drought tolerance in Arabidopsis thaliana. BMC Plant Biology 19: 602. [Google Scholar]
Khan MA, Asaf S, Khan AL, Adhikari A, Jan R et al. (2019b). Halotolerant rhizobacterial strains mitigate the adverse effects of NaCl stress in soybean seedlings. BioMed Research International 2019: 9530963. [Google Scholar]
Kopyra M, Gwóźdź EA (2003). Nitric oxide stimulates seed germination and counteracts the inhibitory effect of heavy metals and salinity on root growth of Lupinus luteus. Plant Physiology and Biochemistry 41: 1011–1017. [Google Scholar]
Kumar A, Prasad M, Sytar O (2012). Lead toxicity, defense strategies and associated indicative biomarkers in Talinum triangulare grown hydroponically. Chemosphere 89: 1056–1065. [Google Scholar]
Kumar S, Dubey RS, Tripathi RD, Chakrabarty D, Trivedi PK (2015). Omics and biotechnology of arsenic stress and detoxification in plants: Current updates and prospective. Environment International 74: 221–230. [Google Scholar]
Kumchai J, Huang J, Lee C, Chen F, Chin S (2013). Proline partially overcomes excess molybdenum toxicity in cabbage seedlings grown in vitro. Genetics and Molecular Research 12: 5589–5601. [Google Scholar]
Kurtyka R, Burdach Z, Siemieniuk A, Karcz W (2018). Single and combined effects of Cd and Pb on the growth, medium pH, membrane potential and metal contents in maize (Zea mays L.) coleoptile segments. Ecotoxicology and Environmental Safety 161: 8–16. [Google Scholar]
Lamhamdi M, Bakrim A, Aarab A, Lafont R, Sayah F (2011). Lead phytotoxicity on wheat (Triticum aestivum L.) seed germination and seedlings growth. Comptes Rendus Biologies 334: 118–126. [Google Scholar]
Liang X, Zhang L, Natarajan SK, Becker DF (2013). Proline mechanisms of stress survival. Antioxidants & Redox Signaling 19: 998–1011. [Google Scholar]
Liu J, Ma X, Wang M, Sun X (2013). Genotypic differences among rice cultivars in lead accumulation and translocation and the relation with grain Pb levels. Ecotoxicology and Environmental Safety 90: 35–40. [Google Scholar]
Maestri E, Marmiroli M, Visioli G, Marmiroli N (2010). Metal tolerance and hyperaccumulation: Costs and trade-offs between traits and environment. Environmental and Experimental Botany 68: 1–13. [Google Scholar]
Mahaffey KR (1990). Environmental lead toxicity: Nutrition as a component of intervention. Environmental Health Perspectives 89: 75–78. [Google Scholar]
Metsalu T, Vilo J (2015). ClustVis: A web tool for visualizing clustering of multivariate data using Principal Component Analysis and heatmap. Nucleic Acids Research 43: W566–W570. [Google Scholar]
Mishra AK, Singh J, Mishra PP (2020). Toxic Metals in Crops: A Burgeoning Problem, Sustainable Solutions for Elemental Deficiency and Excess in Crop Plants, pp. 273–301. Singapore: Springer. [Google Scholar]
Najeeb U, Ahmad W, Zia MH, Zaffar M, Zhou W (2017). Enhancing the lead phytostabilization in wetland plant Juncus effusus L. through somaclonal manipulation and EDTA enrichment. Arabian Journal of Chemistry 10: S3310–S3317. [Google Scholar]
Nas F, Ali M (2018). The effect of lead on plants in terms of growing and biochemical parameters: A review. MOJ Ecology & Environmental Sciences 3: 265–268. [Google Scholar]
Ogawa A, Yamauchi A (2006a). Root osmotic adjustment under osmotic stress in maize seedlings 1. Transient change of growth and water relations in roots in response to osmotic stress. Plant Production Science 9: 27–38. [Google Scholar]
Ogawa A, Yamauchi A (2006b). Root osmotic adjustment under osmotic stress in maize seedlings. 2. Mode of accumulation of several solutes for osmotic adjustment in the root. Plant Production Science 9: 39–46. [Google Scholar]
Pirzadah TB, Malik B, Tahir I, Hakeem KR, Alharby HF, Rehman RU (2020). Lead toxicity alters the antioxidant defense machinery and modulate the biomarkers in Tartary buckwheat plants. International Biodeterioration & Biodegradation 151: 104992. [Google Scholar]
Pirzadah TB, Malik B, Tahir I, Irfan QM, Rehman RU (2018). Characterization of mercury-induced stress biomarkers in Fagopyrum tataricum plants. International Journal of Phytoremediation 20: 225–236. [Google Scholar]
Pourrut B, Shahid M, Dumat C, Winterton P, Pinelli E (2011). Lead uptake, toxicity, and detoxification in plants, Reviews of Environmental Contamination and Toxicology 213: 113–136. Springer. [Google Scholar]
Prasad MNV (2017). Responses of Ricinus communis L. (castor bean, phytoremediation crop) seedlings to lead (Pb) toxicity in hydroponics. Selcuk Journal of Agriculture and Food Sciences 31: 73–80. [Google Scholar]
Rasool M, Anwar-Ul-Haq M, Jan M, Akhtar J, Ibrahim M, Iqbal J (2020). Phytoremedial potential of maize (Zea mays L.) hybrids against cadmium (Cd) and lead (Pb) toxicity. Pure and Applied Biology (PAB) 9: 1932–1945. [Google Scholar]
Rodríguez-Serrano M, Romero-Puertas MC, Pazmino DM, Testillano PS, Risueño MC et al. (2009). Cellular response of pea plants to cadmium toxicity: Cross talk between reactive oxygen species, nitric oxide, and calcium. Plant Physiology 150: 229–243. [Google Scholar]
Rolly NK, Imran QM, Shahid M, Imran M, Khan M et al. (2020). Drought-induced AtbZIP62 transcription factor regulates drought stress response in Arabidopsis. Plant Physiology and Biochemistry 156: 384–395. [Google Scholar]
Rout G, Samantaray S, Das P (2001). Differential lead tolerance of rice and black gram genotypes in hydroponic culture. Rostlinna Vyroba-UZPI (Czech Republic) 47: 541–548. [Google Scholar]
Sebastian A, Panitlertumpai N, Nakbanpote W (2016). Fate of trace elements in rice paddies. Trace Elements in Waterlogged Soils and Sediments, pp. 313–328. Boca Raton: CRC Press. [Google Scholar]
Seregin I, Ivanov V (2001). Physiological aspects of cadmium and lead toxic effects on higher plants. Russian Journal of Plant Physiology 48: 523–544. [Google Scholar]
Shahzad R, Bilal S, Imran M, Khan AL, Alosaimi AA et al. (2019). Amelioration of heavy metal stress by endophytic Bacillus amyloliquefaciens RWL-1 in rice by regulating metabolic changes: Potential for bacterial bioremediation. Biochemical Journal 476: 3385–3400. [Google Scholar]
Sharma P, Dubey RS (2005). Lead toxicity in plants. Brazilian Journal of Plant Physiology 17: 35–52. [Google Scholar]
Singh S, Parihar P, Singh R, Singh VP, Prasad SM (2016). Heavy metal tolerance in plants: Role of transcriptomics, proteomics, metabolomics, and ionomics. Frontiers in Plant Science 6: 1143. [Google Scholar]
Sirhindi G, Mir MA, Abd-Allah EF, Ahmad P, Gucel S (2016). Jasmonic acid modulates the physio-biochemical attributes, antioxidant enzyme activity, and gene expression in Glycine max under nickel toxicity. Frontiers in Plant Science 7: 591. [Google Scholar]
Su X, Wei F, Huo Y, Xia Z (2017). Comparative physiological and molecular analyses of two contrasting flue-cured tobacco genotypes under progressive drought stress. Frontiers in Plant Science 8: 827. [Google Scholar]
Uzu G, Sobanska S, Aliouane Y, Pradere P, Dumat C (2009). Study of lead phytoavailability for atmospheric industrial micronic and sub-micronic particles in relation with lead speciation. Environmental Pollution 157: 1178–1185. [Google Scholar]
Verma S, Dubey R (2003). Lead toxicity induces lipid peroxidation and alters the activities of antioxidant enzymes in growing rice plants. Plant Science 164: 645–655. [Google Scholar]
Vinocur B, Altman A (2005). Recent advances in engineering plant tolerance to abiotic stress: Achievements and limitations. Current Opinion in Biotechnology 16: 123–132. [Google Scholar]
Vodyanitskii YN (2016). Standards for the contents of heavy metals in soils of some states. Annals of Agrarian Science 14: 257–263. [Google Scholar]
Wang L, Zheng B, Yuan Y, Xu Q, Chen P (2020). Transcriptome profiling of Fagopyrum tataricum leaves in response to lead stress. BMC Plant Biology 20: 54. [Google Scholar]
Wang X, Wu Y (1997). Behaviour property of heavy metals in soil-rice system. Chinese Journal of Ecology 4: 10. [Google Scholar]
Xie L, Hao P, Cheng Y, Ahmed IM, Cao F (2018). Effect of combined application of lead, cadmium, chromium and copper on grain, leaf and stem heavy metal contents at different growth stages in rice. Ecotoxicology and Environmental Safety 162: 71–76. [Google Scholar]
Yoon J, Cao X, Zhou Q, Ma LQ (2006). Accumulation of Pb, Cu, and Zn in native plants growing on a contaminated Florida site. Science of the Total Environment 368: 456–464. [Google Scholar]
Yu H, Wang J, Fang W, Yuan J, Yang Z (2006). Cadmium accumulation in different rice cultivars and screening for pollution-safe cultivars of rice. Science of the Total Environment 370: 302–309. [Google Scholar]
Yu L, Xin G, Gang W, Zhang Q, Su Q, Xiao GJ, Guoju X (2008). Heavy metal contamination and source in arid agricultural soil in central Gansu Province. China Journal of Environmental Sciences 20: 607–612. [Google Scholar]
Zhang GP, Yao HG, Wu W, Xu M (2006). Genotypic and environmental variation in cadmium, chromium, arsenic, nickel, and lead concentrations in rice grains. Journal of Zhejiang University Science B 7: 565–571. [Google Scholar]
Zhang Y, Deng B, Li Z (2018). Inhibition of NADPH oxidase increases defense enzyme activities and improves maize seed germination under Pb stress. Ecotoxicology and Environmental Safety 158: 187–192. [Google Scholar]
Zhou J, Zhang Z, Zhang Y, Wei Y, Jiang Z (2018). Effects of lead stress on the growth, physiology, and cellular structure of privet seedlings. PLoS One 13: e0191139. [Google Scholar]
Zulfiqar U, Farooq M, Hussain S, Maqsood M, Hussain M et al. (2019). Lead toxicity in plants: Impacts and remediation. Journal of Environmental Management 250: 109557. [Google Scholar]
![]() | This work is licensed under a Creative Commons Attribution 4.0 International License, which permits unrestricted use, distribution, and reproduction in any medium, provided the original work is properly cited. |