| Computers, Materials & Continua DOI:10.32604/cmc.2020.012060 | ![]() |
| Article |
Qualitative Analysis of a Fractional Pandemic Spread Model of the Novel Coronavirus (COVID-19)
1Department of Mathematics, Kuwait College of Science and Technology, 27235, Kuwait
2Department of Mathematics, Erciyes University, Kayseri, 38039, Turkey
3Department of Mathematics and General Sciences, Prince Sultan University, Riyadh, 11586, Saudi Arabia
4Department of Medical Research, China Medical University, Taichung, 40402, Taiwan
5Department of Computer Science and Information Engineering, Asia University, Taichung, Taiwan
*Corresponding Author: Ali Yousef. Email: a.yousef@kcst.edu.kw
Received: 12 June 2020; Accepted: 03 September 2020
Abstract: In this study, we classify the genera of COVID-19 and provide brief information about the root of the spread and the transmission from animal (natural host) to humans. We establish a model of fractional-order differential equations to discuss the spread of the infection from the natural host to the intermediate one, and from the intermediate one to the human host. At the same time, we focus on the potential spillover of bat-borne coronaviruses. We consider the local stability of the co-existing critical point of the model by using the Routh–Hurwitz Criteria. Moreover, we analyze the existence and uniqueness of the constructed initial value problem. We focus on the control parameters to decrease the outbreak from pandemic form to the epidemic by using both strong and weak Allee Effect at time t. Furthermore, the discretization process shows that the system undergoes Neimark–Sacker Bifurcation under specific conditions. Finally, we conduct a series of numerical simulations to enhance the theoretical findings.
Keywords: Allee Effect; coronavirus; fractional-order differential equations; local stability; Neimark–Sacker bifurcation
In the last few months, nature has showed its laws in establishing the environment of the 21st century. It is out of our primary objective whether the coronavirus (COVID-19) is used as a biological weapon or not. The main point is now that humans are fighting against something to survive that has a genome size of 27 to 34 kilobases. Coronaviruses are members of the sub-family coronavirinae in the family coronaviridae and the order Nidovirales [1,2]. They show four genera, which are given in Tab. 1.
Table 1: Genera of COVID-19 and the pathogenic class

The natural host of SARS-CoV, MERS-CoV, HCoV-NL63, and HCoV-229e are bats, while HCoV-OC43 and HKU1 have originated from rodents [3,4]. In the spread of transmission, domestic animals have only intermediate host role from the natural host to the human one. Covid-19 was not considered as highly pathogenic, until the outbreak of SARS-CoV in 2002 and MERS-CoV in 2012. The spread of SARS-CoV in China (Guangdong) showed a COVID-19 that was transmitted from bats to an intermediate host, like market civets from which the transmission spreads to the human host. At the same time, the outbreak of MERS-CoV in the Middle East Countries also came from bats to dromedary camels as an intermediate host, and from the dromedary camels to humans [5–8]. These viruses cause respiratory and intestinal infections, with symptoms including fever, dizziness, and cough. In December 2019, a novel Coronaviridae was reported in China (Wuhan). The outbreak was associated again with intermediate hosts like reptilians, while the natural host was assumed as bats. This virus was designated later as Covid-19 by the WHO.
Covid-19 was characterized by two members of β-coronavirus; the human-origin coronavirus (SARS-CoV Tor2) and bat-origin coronavirus (bat-SL-CoVZC45). Intensive studies show that it was most closely related to the bat-origin coronavirus [9]. Thus, the primary assumption formed was that the natural host of Covid-19 spreads by infected bats of genus Rhinolophus that are mainly in the area of Shatan River Valley.
Domestic animals, like snakes in that area, were hunted for the food market in Wuhan, which played an intermediate host role in the transmission. Finally, this virus spillover from the intermediate hosts to cause several diseases in human. A virus that started with an endemic pathogenic behavior in China (Wuhan) reaches somehow to a pandemic point worldwide with the infection from human-to-human.
It has been realized that the dynamics of many biological and medical phenomena can be characterized via mathematical models. Over the years, many models are formulated mathematically to analyze events in biological and medicine such as infections, treatments, or environmental phenomena [10–13]. The study of these phenomena has been restricted to models of integer-order differential equations (IDEs). However, it is seen that many problems in biology, as well as in other fields like engineering, finance, and economics, can be successfully formulated by the so-called fractional-order differential equations (FDEs); see, for instance, the papers [14–20]. The nonlocal property of models of FDEs is not only depending on the current state but also provides an adequate description for the historical ones. It is evidenced that FDEs can model certain phenomena that cannot be modeled by IDEs. Thus, FDEs are mainly used on biological models since they are relevant to systems with memory and hereditary [21–27].
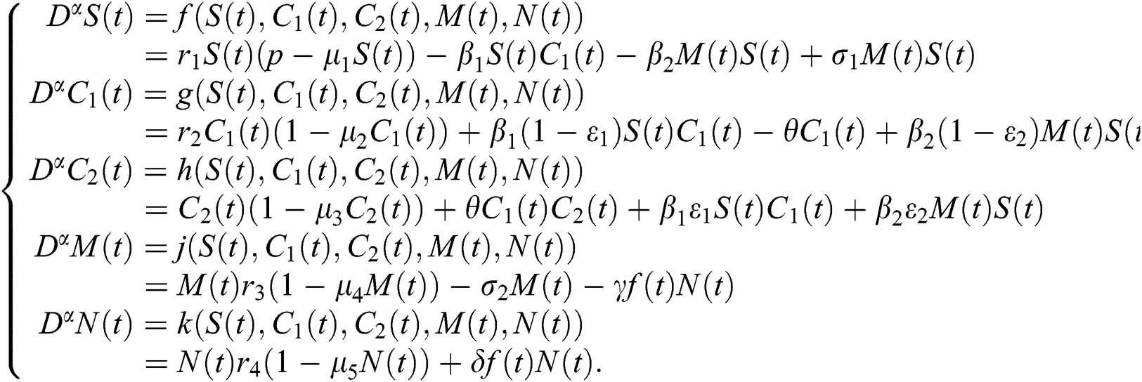
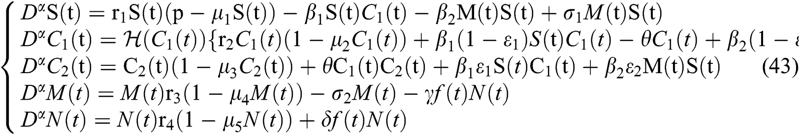
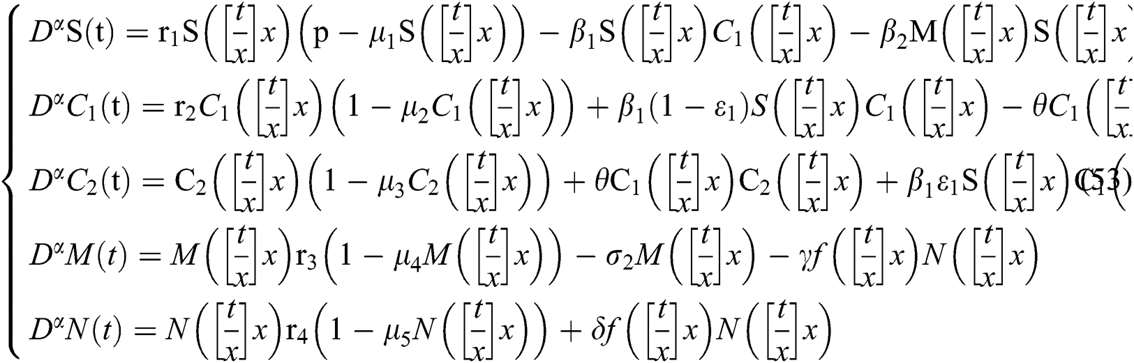
In this paper, we establish a model that describes the pandemic infection, which occurs when the virus is transmitted from the human body to the intermediate host and continues to spread from human-to-human. The model consists of five fractional differential equations. The first three equations show an SI (susceptible-infected) model to explain the transmission from human-to-human, where
is the susceptible class,
is the infected type that does not know they are infected because of the late occurred symptoms of COVID-19 and
shows the infected class that knows they are infected. The spillover from the intermediate infected class
to the human host
denotes a predator-prey mathematical model, while for the transmission from the natural host
, which is the bat population, to intermediate host
is a host-parasite model of Holling Type II.
Indeed, the mathematical model of this biological phenomena has the form:

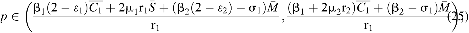
where

represents the Holling type II function and all the parameters of the model (1) belong to
and
.
The susceptible
is composed of individuals that have not contacted the infection but can get infected through contacts from the human that does not know they are infected and from the intermediate hosts. The parameter
is the population growth rate of the susceptible population and
denotes the logistic rate.
is a rate of the susceptible population per year. The susceptible lost their class following contacts with infectives
and the intermediate host
at a rate
and
, respectively.
links the parameter of the interaction between the hunted
class and the predator
population.
The
class does not know that they have COVID-19. In this equation,
is the population growth rate of the class, while
is the logistic rate. The population of this class decreases after screening at a rate
and be aware of the infection. Another possibility is that after the S-
contact, the symptoms occur in early stages so that both classes noticed that they are infected, which is given with the rate
. The intermediate host infected group could also show early symptoms to be aware of the infection, which is provided by a rate of
The logistic rate of
is denoted as
.
is the domestic animal as an intermediate class in the corona transmission spread.
is the intrinsic growth rate of the population, while
is the logistic rate.
shows the effect on the hunted
during the interaction between the intermediate host and susceptible class.
denotes the predation rate in the host-parasite scheme.
represents the natural host (bat population) of COVID-19 in this dynamic system.
is the intrinsic growth rate and
is the logistic rate of the population.
shows the conversion factor of the natural host.
is the attack rate of the bat population to infect the
, while
represents the fraction of the potential infectivity of the natural host.
is the rate of average time spend on infecting the domestic intermediate class, which is also known as the handling time.
Tab. 2 shows description of the parameters that are given in system (1).
Table 2: Description of the parameters


Definition 2.1 Podlubny [25] The fractional integral of order
of a function
is given by

defined on 
Definition 2.2. Podlubny [25] Let
be a continuous function. The Caputo fractional derivative of order
is given by

Definition 2.3. Podlubny [25] The function

with
being the set of complex numbers is called the Mittag–Leffler function of one parameter.
3 Stability Analysis of the Co-Existing Critical Point
Consider the model

To analyze the stability of model (6), we perturb the equilibrium point by adding
that is,

Thus, we have
and
Thus, we obtain a linearized system about the equilibrium point of the form

where
. Moreover, J is the Jacobian matrix at the equilibrium:

where the co-existing equilibrium point is
. Then, we have
, where C is given by

and
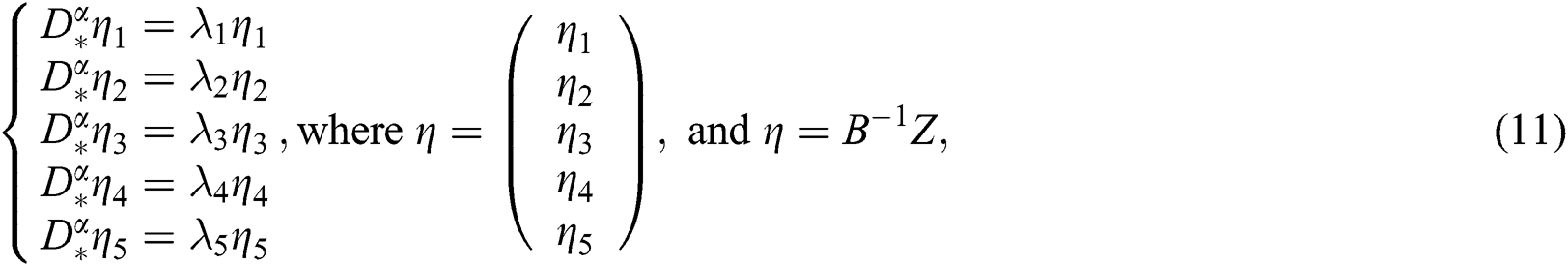
are the eigenvalues and B the eigenvectors of J. Therefore, we get

whose solutions are given by Mittag–Leffler functions




and

By using the result of [28], if
then
are decreasing and therefore we conclude that
are decreasing. Let
be the solution of Eq. (8). If the solution of Eq. (8) is increasing, then
is unstable and if
is decreasing, then
is locally asymptotically stable.
Evaluating the Jacobian matrix (9) for the co-existing equilibrium point
we obtain

where
,
,
,
,
,
,
, 
,
,
and
,
.
The characteristic equation of the matrix (17) is given as

and

if

From Eq. (18), we have two quadratic equations, which are
or

and
or

where
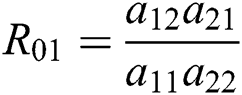
and
is the basic reproduction number, which represents the transmission potential of
class, while
shows the transmission potential of the intermediate-natural host classes
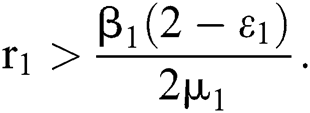
For the following theorems in this section, we consider the case, where both
and
which hold for the following statements:
(i)
,
(ii)
,
(iii) 
(iv)
and 
(v)
and
.
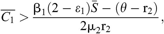
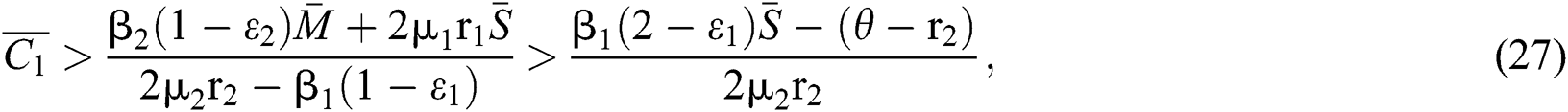
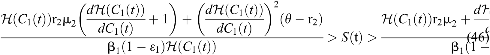
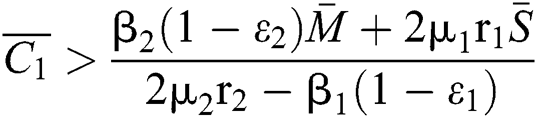
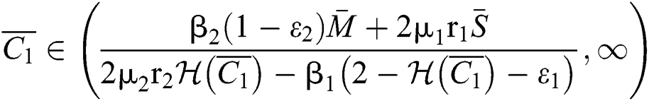
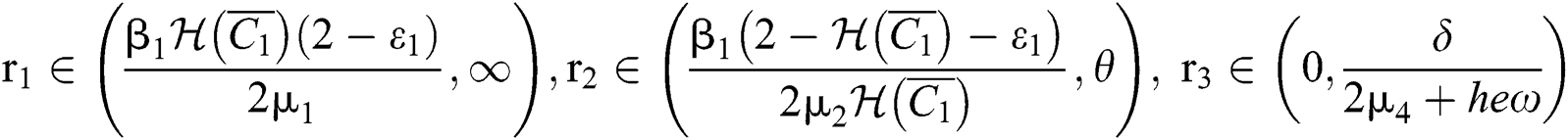
Theorem 3.1. Let
be the co-existing critical point of system (6) and assume that (i)–(iv) hold such that
and
Moreover, let
and
. If
and
,
where
,
then all roots of Eq. (18) are real or complex conjugates with negative real parts and
is equivalent to the Routh–Hurwitz criteria. This implies that
is locally asymptotically stable.
Proof. Let us consider the case for
to have eigenvalues with negative real parts. Thus, we have

and

From (ii) and Eq. (24), we obtain

if

where
.
In considering both (iii) and Eq. (26), we get

where
Moreover, the discriminant of Eq. (21) is, in this case, positive.
Let us consider now the case for
to have eigenvalues with negative real parts. Thus, from

we obtain

and

From (v) and Eqs. (28)–(29), we obtain
for 
and
for 
Since the discriminant of Eq. (22) is positive, the proof is complete.
Remark 3.1. Theorem 3.1. shows that among the human hosts, those who do not know they are infected, are the control class in the spread. In contrast, between the animal hosts, the intermediate class plays a dominant role, since that one has the essential role in transmitting from animal to human. The transmission potential for both
and
are
and
. Moreover, the susceptible class and the
class is stable based on two parameters, which are the awareness of the symptoms and the screening rate.
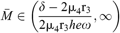
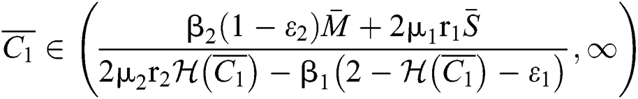
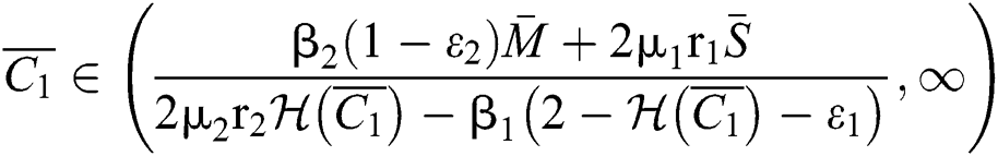
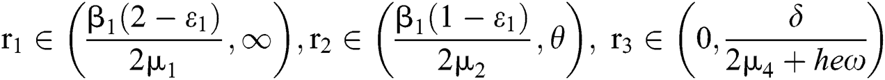
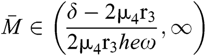
Theorem 3.2. Let
be the co-existing critical point of system (6) and assume that (i)–(iv) hold such that
and
Furthermore, let
and
If
and
and the ratio between the susceptible and intermediate host is given by
, where
and
Then all roots of Eq. (18) are complex conjugates with positive real parts, which implies that
is locally asymptotically stable.
Proof. Let us consider the case for
to have eigenvalues with positive real parts. This holds if

and

From (ii) and Eq. (32) we obtain

if

where
. In considering both (iii) and Eq. (34), we obtain
,
where

Additionally, we get
since
where
Similarly, let us consider the case for
to have eigenvalues with positive real parts. From

we obtain

and

From (v) and Eqs. (37)–(38) we have
for 
and
for 
Moreover, we get
since
where

This completes the proof.
Remark 3.2. In Theorem 3.2., we emphasize that class
should be more aware of the symptoms that might become from the susceptible class as well as from the intermediate class, than the
class to stop the outbreak. For the susceptible class, it is more important to keep the population rate per year non-infected. The transmission of the virus to the offspring would reach an uncontrollable phenomenon worldwide.
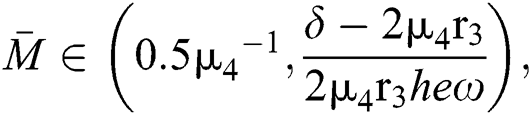
Theorem 3.3. Let
be the co-existing critical point of system (6) and assume that (i)–(iv) hold such that
and
(i) Let
,
,
and
.
If
and 
where
then the
class represents real or complex conjugates with negative real parts, while the
class shows complex conjugates with positive real parts.
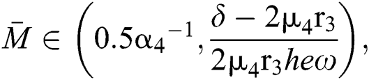
(ii) Let
,
and
.
If
,
and the ratio between the susceptible and intermediate host is given by
where
then the
class represents complex conjugates with positive real parts, while the
class shows real or complex conjugates with negative real parts.
Example. In this part, we present numerical simulations that are in good agreement with our theoretical results. We assume the initial conditions of the system (1) as
and
.
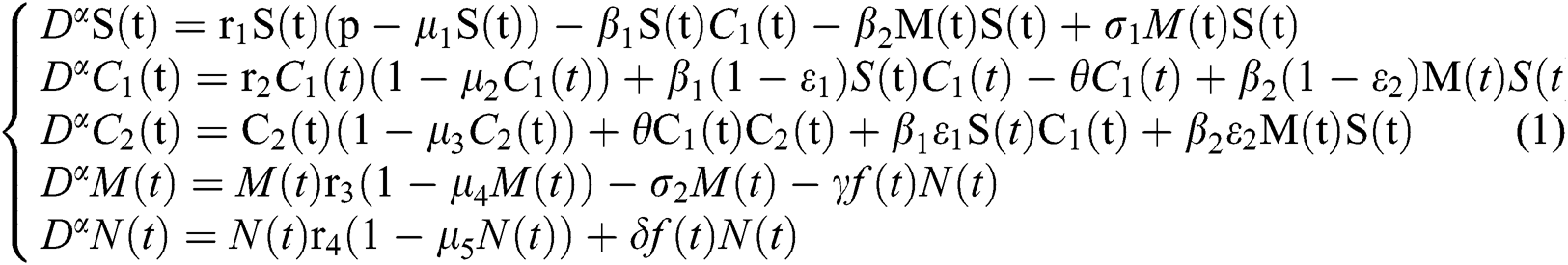
In Fig. 1 the blue graph denotes the susceptible class
and the red graph shows
who does not know they are infected. Fig. 1 represents the transmission of the infection that occurs as an epidemic case in some areas, but it spreads intensively to a pandemic case and covers almost the susceptible class. Here we want to emphasize the point of screening, where we assume that about
do testing in the hospitals before the symptoms appear. Additionally, we consider that the symptoms appear late, and thus the awareness of the infection is also at
. This changes the endemic spread from epidemic to an uncontrolled pandemic form.

Figure 1: Spread of the
class and effect on the susceptible
class, where
and
= 
In Fig. 2, we keep the screening parameter as
, while we consider the case that the people become aware of the virus and the symptoms of it through media and health organizations. An organized and constant information flood from media might increase the awareness up to
=
.

Figure 2: Spread of the
class and effect on the susceptible
class, where
and
= 
This awareness of the people through media and health organizations let them go to hospitals for screening so that the class who does not know they are infected decreases. Fig. 3 shows the effect of the testing when it reaches to %5. The spread is under control and returns to an epidemic form.

Figure 3: Spread of the
class and effect on the susceptible
class, where
and
= 
We considered in these examples the infection from human-to-human since the pandemic case reaches from the human transmission. We want to emphasize the strong coordination between health organizations and the media which is an essential tool for two critical parameters, which are
and
(
)
The design of nature keeps the natural host and intermediate host in a stable dynamical system in the habitat. The intermediate host had only a transmission role from animal to human, while the main spread happens through human to human from the
class who does not know they are infected.
4 Existence and Uniqueness of the Initial Value Fractional-Order Problem
Considering system (6) with the initial conditions
and
, the initial value problem can be written in matrix form as

for
where
and
.
Let us assume that
and
,
,
when
In this case, the following definitions can be adopted to the main theorems in this section.
Definition 4.1. Let
be the class of continuous column vector
whose components
are the class of continuous functions on the interval
The norm of
is given by

when
we write
and
.
Definition 4.2. Let the initial value problem Eq. (39) has a solution given by
. If
(i)
where
and

(ii)
satisfies Eq. (39).
Theorem 4.1. The initial value problem Eq. (39) has a unique solution 
Proof. Because of Eq. (39), we have

Operating
on Eq. (40), we obtain

Define the operator
by

It follows that



This implies that
If we choose W such that
then we obtain
. Therefore, using the Banach fixed point theorem, we conclude that the operator
given by Eq. (42) has a unique fixed point. Consequently, Eq. (41) has a unique solution
From Eq. (41), we have
and
which implies
from which we can deduce that
Thus, we have
It follows that

which implies

and thus
Therefore, this IVP is equivalent to Eq. (39), which completes the proof.
5 The Case of Extinction via Strong Allee Effect
In 1838, Pierre Verhulst [29] considered the logistic growth function to explain mono-species growth. Later on, it is demonstrated that the logistic equation needs modifications to explain the growth of the population in low density-size, which is known as the Allee effect.
The Allee effect can be divided into two main types:
(i) strong Allee effect and
(ii) weak Allee effect.
A population with a strong Allee effect will have a critical population size, which is the threshold of the population, and any size that is less than the threshold will go to extinction without any further aid. However, a population with a weak Allee effect will reduce the per capita growth rate at lower population density or size [30–34].
Let us incorporate an Allee function to the
class at time t such as

where

is a function of Holling Type II and
is an Allee function at time 
Let

where we obtain
, if

and

where

Remark 5.1 The susceptible class and the classes who do not know they are infected are the main populations that affect the Allee function in stabilizing the spread of transmission. While it is essential to keep human non-infected, the other essential aim is to detect the infected class before the symptoms occur.
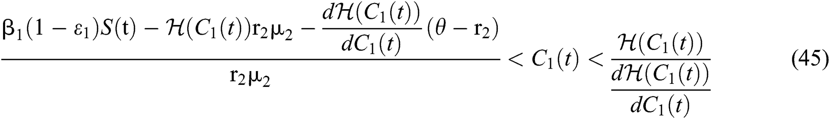
The characteristic equation of system (43) is given by

and

where
, 
From Eq. (48), we have two quadratic equations, which are

and

where
and
is the basic reproduction number, which represents the transmission potential of the
class in the case of early detection, while
shows the transmission potential of the intermediate-natural host classes. This indicates that the reproduction numbers are not dependent on the Allee function.
For a strong Allee effect, let us assume that the Allee function is given by

where
represents the Allee threshold of the infected class, that do not know they are infected.
The following Theorem is given without proof since it is similar to the stability analysis of Section 3.
Theorem 5.1. Let
be the co-existing critical point of system (43) and assume that (i)–(iv) hold with Eqs. (45)–(47) such that
and 
(i) Let
,
and
If
and
,
where
,
then all the roots of the system are real or complex conjugates with negative real parts.
(ii) Let
,
and

If
and 
and the ratio between the susceptible and intermediate host is given by
, where
and
Thus, all roots of the system are complex conjugates with positive real parts.
(iii) Let
,
,
and
.
If
and 
where
then the
class represents real or complex conjugates with negative real parts, while the
class shows complex conjugates with positive real parts.
(iv) Let
,
,
and
.
If
,
and the ratio between the susceptible and intermediate host is given by
where
then the
class represents complex conjugates with positive real parts, while the
class shows real or complex conjugates with negative real parts.□ 
6 Neimark–Sacker Bifurcation of the Dynamical Behavior with Discretization
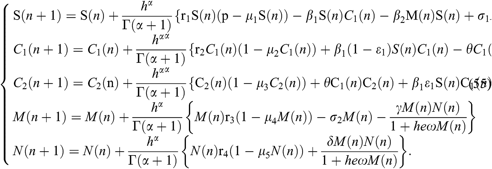
In this section, we consider the discretization process to analyze Neimark–Sacker bifurcation. We will modify our system in (1) in considering the discrete-time effect on the model. The discretization of system (1) is as follows:

where

The solution of system (53) for
is given by
If we repeat the discretization process n times, we get
For
and
, while
, we have

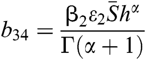
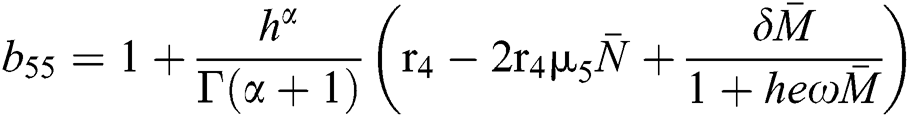
The Jacobian matrix of (55) around the co-existing equilibrium point
is

where
,
, 
,
, 
,
, 
,
, 
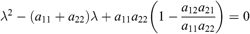
We obtain the characteristic equation of the matrix such as

and

where (i)-(v) hold and

To analyze the conditions for Neimark-Sacker Bifurcation, we use the following Theorem.
Theorem 6.1. [35] For a quadratic polynomial
such as

a pair of complex conjugate roots of (1) lie on the unit circle if and only if
(a) 
(b) 
(c) 
(d) 
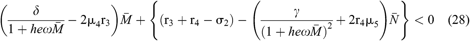
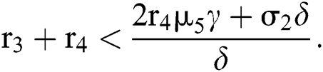
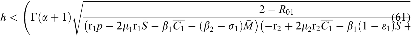
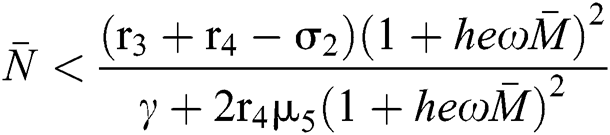
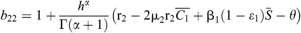
Theorem 6.2. Let
be the co-existing critical point of system (55) and assume that (i)–(v) hold. If
where
, then the
class undergoes a Neimark-Sacker bifurcation. Additionally, if
where
and
72for
and
then the
classes shows also a dynamical behavior of Neimark–Sacker bifurcation.
Proof. Let us first consider the statements in Theorem 6.1 for Eq. (57). Thus, from (a)-(c) together with (i) we have
which holds for

where
.
Finally, from (d) we obtain
which gives

where
In considering both Eqs. (61) and (62), we get
which completes the proof of the
class.
The characteristic equation Eq. (58) holds for Theorem 5.1./(a)–(c), if
then


and

Finally, from (d) we get

which holds for
where


This completes the proof.
In this paper, we classified the coronaviruses and their spread from the natural host to the human host. We proposed a model of the novel coronavirus, which is known as COVID-19, as a system of fractional-order differential equations. We divided the system into five sub-classes:
the susceptible class
the infected class
, that does not know they are infected since specific symptoms did not appear,
the infected class
that knows they are infected because of some symptoms such as respiratory and intestinal infections, including fever, dizziness, and cough, appeared.
the intermediate domestic host
that has a transmission role from the natural host to the human host
the natural host
that are bats of genus Rhinolophus.
We consider the pandemic infection case; animal to human and human to human. Therefore, the first three equations in the constructed model show human to human transmission. The spillover from the intermediate infected class to the human host denotes a predator-prey mathematical model, and the transmission from the natural host to intermediate host
is a host-parasite model of Holling Type II.
In Sections 3 and 4, we analyzed the local stability of the co-existing equilibrium point by using the Routh–Hurwitz Criteria. We proved the existence and the uniqueness of the initial value problem.
Theorem 3.1., shows that among the human hosts, those who do not know they are infected are the control class in the spread. While between the animal hosts, the intermediate class plays a dominant role in the spread since that class has an essential role in transmitting the virus from animal to human. The transmission potential for both
and
is
and
respectively. Also, the susceptible class and the
class is stable based on two parameters, which is the awareness of the symptoms and the screening rate.
In Theorem 3.2., we emphasized that
class should be more aware of the symptoms that might become from the susceptible class as well as from the intermediate class, than the
class to stop the outbreak. For the susceptible class, it is more important to keep the population rate per year non-infected. The transmission of the virus to the offspring would reach an uncontrollable phenomenon worldwide.
In Section 5, we incorporate the Allee function at time
. The strong Allee effect is analyzed so that the screening for possible inflectional cases is an essential control parameter to support the Allee function in stabilizing the effect of the spread.
In Section 6, we deduced that the system demonstrates a Neimark–Sacker bifurcation under specific conditions.
Availability of Data and Material: All data generated or analyzed during this study are included in this published article.
Authors’ Contributions: Yousef and Bozkurt conceived the study and was in charge of overall direction and planning. Bozkurt and Yousef designed the mathematical model and set up the main parts of the study. They proved the theorems. Bozkurt, Yousef, and Abdeljawad collected the data and analyzed them. All authors interpreted the data and carried out this implementation. Bozkurt and Yousef conducted the simulation results using MATLAB 2019. All the authors are involved in writing and editing the manuscript. There is no Ghost-writing.
Acknowledgement: F. B. acknowledges the support of Erciyes University for the research study.
Funding Statement: The author(s) received no specific funding for this study.
Conflict of Interest: The authors declare that they have no conflicts of interest to report regarding the present study.
References
1P. C. Woo, S. K. Lau, C. S. Lam, C. C. Lau, A. K. Tsang et al. (2012). , “Discovery of seven novels mammalian and avian coronaviruses in the genus delta coronavirus supports bat coronaviruses as the gene source of alphacoronavirus and beta coronavirus and avian coronavirus and delta coronavirus. ,” Journal of Viorolgy, vol. 86, no. (7), pp, 3995–4008, .
2P. C. Woo, S. K. Lau, Y. Huang and K. Y. Yuen. (2009), “Coronavirus diversity, phylogeny, and interspecies jumping. ,” Experimental Biology and Medicine, vol. 234, no. (10), pp, 1117–1127, . [Google Scholar]
3S. Su, G. Wang, W. Shi, J. Li, A. C. K. Lai et al. (2016). , “Epidemiology, genetic recombination, and pathogenesis of coronaviruses. ,” Trends in Microbiology, vol. 24, no. (6), pp, 490–502, . [Google Scholar]
4D. Forni, R. Cagliari, M. Clerici and M. Sironi. (2017), “Molecular evolution of human coronavirus genomes. ,” Trends in Microbiology, vol. 25, no. (1), pp, 35–48, . [Google Scholar]
5P. C. Masters and S. Perlman. (2013), “Fields of Virology,” in Lippincott Willimas & Wilkins. vol. 2, pp, 825–858, . [Google Scholar]
6N. S. Zhong, B. J. Zheng, Y. M. Li, Z. H. Xie, K. H. Chan et al. (2003). , “Epidemiology and cause of severe acute respiratory syndrome (SARS) in Guangdong, People’s Republic of China. ,” Lancet, vol. 362, no. (9393), pp, 1353–1358, .
7L. L. Ren, Y. Wang, Z. Q. Wu and Z. C. Xiang. (2020), “Identification of a novel coronavirus causing severe pneumonia in human: A descriptive study. ,” Chinese Medical Journal, vol. 133, no. (9), pp, 1015–1024, .
8A. M. Zaki, S. Van Boheemen, T. M. Bestebroer, A. D. Osterhaus and R. A. Fouchier. (2012), “Isolation of a novel coronavirus from a man with pneumonia in Saudi Arabia. ,” New England Journal of Medicine, vol. 367, no. (19), pp, 1814–1820, . [Google Scholar]
9F. Wu, S. Zhao, B. Yu, Y. M. Chen, W.Wang et al. (2020). , “A new coronavirus associated with human respiratory disease in China. ,” Nature, vol. 579, pp, 1–10, . [Google Scholar]
10M. A. M. Abdelaziz, A. I. Ismail, F. A. Abdullah and M. H. Mohd. (2018), “Bifurcation and chaos in a discrete SI epidemic model with fractional order. ,” Advances in Difference Equations, vol. 44, no. (2018), pp, 1–19, . [Google Scholar]
11P. R. S. Rao and M. N. Kumar. (2015), “A dynamical model for infectious diseases: The role of vaccination and treatment. ,” Chaos Soliton and Fractals, vol. 75, no. (2015), pp, 34–49, .
12N. Sene. (2020), “SIR epidemic model with Mittag–Leffler fractional derivative. ,” Chaos Soliton and Fractals, vol. 137, no. (109833), pp, 1–9, .
13X. Liu and D. Xiao. (2007), “Complex dynamic behaviors of a discrete-time predator-prey system. ,” Chaos Solutions, and Fractals, vol. 32, no. (1), pp, 80–94, . [Google Scholar]
14F. Bozkurt, T. Abdeljawad and M. A. Hajji. (2015), “Stability analysis of a fractional-order differential equation model of a brain tumor growth depending on the density. ,” Applied and Computational Mathematics, vol. 14, no. (1), pp, 50–62, . [Google Scholar]
15A. Yousef and F. Bozkurt. (2019), “Bifurcation and stability analysis of a system of fractional-order differential equations for a plant-herbivore model with Allee Effect. ,” Mathematics, vol. 7, no. (5), pp, 1–18, .
16B. Acay, E. Bas and T. Abdeljawad. (2020), “Fractional economic models based on market equilibrium in the frame of different type kernels. ,” Chaos Soliton and Fractals, vol. 130, no. (109438), pp, 1–9, .
17F. Peng, D. L. Zhou, M. Long and X. M. Sun. (2017), “Discrimination of natural images and computer generated graphics based on multi-fractal and regression analysis. ,” AEU-International Journal of Electronics and Communications, vol. 71, pp, 72–81, .
18X. Jiang, M. Coffee, A. Bari, J. Wang and X. Jiang. (2020), “Towards an artificial intelligence framework for data-driven prediction of Coronavirus clinical severity. ,” Computers, Materials & Continua, vol. 63, no. (1), pp, 537–551, .
19S. A. Ebad and M. Ahmed. (2019), “Investigating the effect of software packaging on modular structure stability. ,” Computer Systems Science and Engineering, vol. 34, no. (5), pp, 283–296, .
20A. Atanga. (2020), “Modeling the spread of COVID-19 with new fractal-fractional operators: Can the lockdown save mankind before vaccination?. ,” Chaos Soliton and Fractals, vol. 136, no. (109860), pp, 1–38, . [Google Scholar]
21M. Yavuz and E. Bonyah. (2019), “New approaches to fractional dynamics of schistosomiasis disease model. ,” Physica A: Statistical Mechanics and Its Applications, vol. 525, no. (C), pp, 373–393, . [Google Scholar]
22Y. Wang and T. Li. (2014), “Stability analysis of fractional-order nonlinear systems with delay. ,” Mathematical Problems in Engineering, vol. 2014, no. (301235), pp, 1–8, .
23X. Zang. (2017), “Dynamics of a class of fractional-order non autonomous Lorenz-type systems. ,” Chaos AIP, vol. 27, (041104), pp, 1–7, .
24M. A. Khan, Z. Hammock and D. Baleanu. (2019), “Modeling the dynamics of hepatitis via the Caputo–Fabrizio derivative. ,” Mathematical Modelling of Natural Phenomena, vol. 14, no. (3), pp, 1–19, .
25I. Podlubny. (1999), Fractional Differential Equations. New York: Academic Press, . [Google Scholar]
26A. Khan, T. Abdeljawad, J. F. Gomez-Aguilar and H. Khan. (2020), “Dynamical study of fractional-order mutualism parasitism food web module. ,” Chaos Soliton and Fractals, vol. 134, no. (109685), pp. 1–15, .
27J. Singh, D. Kumar, Z. Hammock and A. Atangana. (2018), “A fractional epidemiological model for computer viruses pertaining to a new fractional derivative. ,” Applied Mathematics, and Computation, vol. 316, pp, 504–515, . [Google Scholar]
28D. Matignon. (1996), “Stability results for fractional differential equations with applications to control processing. ,” Computational Engineering in Systems Applications, vol. 2, (14017755), pp, 1–6, . [Google Scholar]
29P. F. Verhulst. (1838), “Notice Sur la loi que la population pousuit das son accroissement. ,” Correspondance Mathematique Et Physique, vol. 10, no. (1838), pp, 113–121, . [Google Scholar]
30F. Courchamp, L. Berec and J. Gascoigne. (2008), Allee Effects in Ecology and Conservation. Oxford: Oxford University Press, . [Google Scholar]
31A. R. Kanarek and C. T. Webb. (2010), “Allee effects, adaptive evolution, and invasion success. ,” Evolutionary Applications, vol. 3, no. (2), pp, 122–135, .
32W. C. Allee. (1931), Animal Aggregations: A Study in General Sociology. Chicago, IL: University of Chicago Press, .
33M. Sen, M. Banerjee and Y. Takeuchi. (2018), “Influence of Allee effect in prey populations on the dynamics of two prey one predator model. ,” Mathematical Bioscience and Engineering, vol. 15, no. (4), pp, 883–904, .
34G. Q. Sun. (2016), “Mathematical modeling of population dynamics with Allee effect. ,” Nonlinear Dynamics, vol. 85, no. (1), pp, 1–12, . [Google Scholar]
35X. Li, C. Mou, W. Niu and D. Wang. (2011), “Stability analysis for discrete biological models using algebraic methods. ,” Mathematics in Computer Sciences, vol. 5, no. (2011), pp, 247–262, . [Google Scholar]
![]() | This work is licensed under a Creative Commons Attribution 4.0 International License, which permits unrestricted use, distribution, and reproduction in any medium, provided the original work is properly cited. |