| Computers, Materials & Continua DOI:10.32604/cmc.2020.012556 | ![]() |
| Article |
Prospect Theory Based Hesitant Fuzzy Multi-Criteria Decision Making for Low Sulphur Fuel of Maritime Transportation
1School of Economics and Management, Shanghai Maritime University, Shanghai, 201306, China
2School of Economics and Management, Pingdingshan University, Pingdingshan, 467000, China
3Department of Electrical Engineering, University of Engineering and Technology, Peshawar, Pakistan
4School of Telecommunication Engineering, Suranaree University of Technology, Nakhonratchasima, Thailand
*Corresponding Author: Peerapong Uthansakul. Email: uthansakul@sut.ac.th
Received: 04 July 2020; Accepted: 17 July 2020
Abstract: The environmental impact of maritime transport has now become a relevant issue in sustainable policy formulation and has attracted increasing interest from academia. For the sustainable development of maritime transport, International Maritime Organization stipulates that the sulfur content of ship emissions will reach 0.5 from 2020. With the approaching of the stipulated implementation date, shipowners need to adopt scientific methods to make decision on low sulfur fuel. In this study, we applied a prospect theory based hesitant fuzzy multi-criteria decision-making model to obtain the optimal decision of low Sulphur marine fuel. For this purpose, the hesitant fuzzy decision matrix is established to collect expert opinions, the maximizing deviation method is adopted to determine criteria weights. According to calculate the Euclidean distance from the reference points, we obtain the comprehensive prospect values of alternatives. Lastly, a case study is carried out to illustrate the significance and effectiveness of the proposed methodology. The innovation of this study is that it is the first-time adopting prospect theory and hesitate fuzzy sets to multi-criteria decision making for low Sulphur marine fuel, which provides an effective decision model for shipping companies under Low Sulphur regulations, and can also be extended to other industries.
Keywords: Maritime transport; prospect theory; hesitant fuzzy sets; multi-criteria decision making; maximizing deviation method; euclidean distance
Marine transportation is one of the major contributors of Sulphur dioxide emissions in the world [1,2]. Currently heavy Sulphur fuel oil (HSFO) have been widely used in seagoing ships except emission control areas, the Sulphur content of the exhaust gas burning from HSFO is up to 3.5%. Increased Sulphur dioxide emissions from the burning of HSFO by marine machinery have a major impact on ecosystems, climate and human health [3]. It has caused concerns from various stakeholders in the maritime industry, including governments, international organizations, ports, shipowners, environmental professionals and others take effective actions to reduce emissions of Sulphur dioxide from ships. In September 1997, the International Maritime Organization (IMO) adopted MARPOL Annex VI to prevent the pollution of air by ship exhaust [4], and formally entered into force in May 2005. MARPOL Annex VI limits
emission from ship exhaust, sets a global upper limit for Sulphur content in fuel, and sets a Sulphur emission control area. In October 2008, the Marine Environment Protection Committee adopted amendment of MARPOL Annex VI, which aims is to further reduce Sulphur emissions from ships. According to the IMO regulations announced at the 70th session of Marine environmental protection committee in October 2016, the Sulphur content of ships will be capped reduce to 0.5% on January 2020 globally, which aims to significantly reduce the Sulphur content of ships, and IMO’s 71th Marine Environment Protection Committee Meeting (MEPC) in July 2017 has confirmed that the regulations will be implemented as planned [5].The process of Low Sulphur resolution of MEPC can be shown in Fig. 1. Although the implementation of the IMO 2020 regulation will have some challenges, IMO and the governments of Member States have taken various measures to ensure the smooth implementation of the regulations, new technology such as satellite remote sensing will be used to verify whether the ship is using low Sulphur fuel during navigation, not just at the port [6]. In addition, plans to promote the deployment of these technologies have be actively considered, including the sharing of costs by Member States or port authorities, thereby greatly enhancing the credibility and effectiveness of IMO 2020 implementation policies. Therefore, a series of corresponding methods should be properly undertaken by shipowners to reduce Sulphur content as early as possible to deal with these regulations and strict enforcement guarantees.

Figure 1: The process of Low sulphur resolution of MEPC
The existing technical conditions allow shipowners to have three main options to obey the new low Sulphur regulations [6]. They can employ an exhaust gas cleaning system, the equipment which is commonly called “scrubber” which can switch from heavy Sulphur fuel oil to lower Sulphur fuel oil by using seawater to wash out the Sulphur so that shipowners can use HSFO continually. They can switch from HSFO to low Sulphur fuel to compliance with the regulations of IMO, however, it means an increase in fuel costs, whether low Sulphur fuel can be adequately supplied is also the problem that shipowners needs to consider. Or they can run on liquefied natural gas (LNG) which is an efficient way to meet upcoming requirements for the Sulphur emissions, and the price of LNG can be competitive with distillate fuels, nevertheless, it also have some disadvantages such as higher upfront investment costs.
This paper proposes a fuzzy MCDM model based on prospect theory to help shipowners choose the most suitable low Sulphur fuel. Firstly, on the basis of literature analysis, a comprehensive evaluation criteria system for low Sulphur fuel selection consisting of multiple indicators was constructed. Then, the hesitation fuzzy number (HFS) is used to express the performance of each scheme relative to each criterion. On this basis, the maximum deviation method is used to obtain the weight of each criterion. Finally, prospect theory is used to consider the shipowner’s risk appetite, sort the low Sulphur fuel alternatives. The innovation of this paper is to apply the hesitant fuzzy set theory and prospect theory to the field of shipping low Sulphur fuel selection for the first time.
The selection of the most appropriate fuel solutions by shipowners plays an important role for sustainability of maritime development and has attracted increasing interest from academia. Liping Jiang [7] examines the costs and benefits of reduction measures for the shipping industry under the perspective of shipowner’s personal cost and environmental benefit, the results showed that the price discrimination is a decisive factor in decision-making, and pointed out that new ships are more suitable for a scrubber installation. Irina Panasiuk [8] considered the technologies to reduce Sulphur emission as investments due to the additional costs of capital, equipment and operating, the model of cash flow is used to evaluate investments efficiency of technology, the prime selection of investment applicable to the particular ship identified by determining the dynamics of the financial effects. Elizabeth Lindstad et al. [9] assess fuel consumption, costs and emissions based on ship operations, indicating that distillate is an attractive option for small vessels, and scrubber will be an attractive option for large vessels. Jan Eise Fokkema et al. [10] analyzed fuel costs and overall mining costs by simulating fuel planning decisions at random fuel prices, the presence of emissions control zones, and the length of the route. Through numerical experiments, they determined that the mining cost of LNG fuel ships is lower than that of traditional ships. Winebrake et al. [11] introduced the life cycle emission analysis of conventional and natural gas ocean transportation in the United States. A total fuel cycle analysis is used to assess emissions from fuel production and transportation, including extraction, processing, distribution and use of raw materials. These results indicate the importance of controlling methane leakage in natural gas production process and the important role of renewable natural gas in shipping industry. Fuzzy set theory developed by Zadeh [12] provides the simplicity of dealing with the uncertainty of multi-criteria decision-making problems, the criteria of decision problems are usually represented by fuzzy numbers rather than real numbers. Nowadays, fuzzy sets have been extended to many forms such as intuitionistic fuzzy numbers [13–15], interval fuzzy numbers [16–18], hesitant fuzzy numbers [19–21] and so on. As the membership function of hesitant fuzzy set provide a set of possible values instead of individual, in this paper, we adopted HFS to represent the degree of experts’ hesitant.
As the market unpredictability and regulatory uncertainty, the selection of the best low Sulphur fuel proposal is a complex problem involving many aspects including economic, environmental, social, technical. Traditional single criterion decision-making is difficult to solve this problem. Therefore, a flexible measure is needed under such complex situation. Multi-criteria decision making (MCDM) methods, which Provide solutions to problems involving multiple criteria, are the most commonly used as decision support appropriate for shipping fuel selection. Isaac Animah et al. [22] used MCDM method combining analytic hierarchy process (AHP) and technique for order preference by similarity to ideal solution (TOPSIS) to rank the obstacles to effective compliance by Gulf of Guinea ships. Hristos Karahalios [23] employs an essential part of the research methodology, the TOPSIS and the AHP are combined to evaluate ballast water treatment systems by ship operators. Classic MCDM methods typically assume that all criteria are expressed in clear values, however, due to the dynamics of the maritime market and the continuous innovation of fuel technology, it is difficult to accurately predict the standard performance in the next few years. Because of the inherent fuzziness of human thinking and human cognitive limitations, it is relatively difficult for experts to accurately evaluate the standards of decision.
Fuzzy MCDM method has been widely accepted as an appropriate technology in many areas, Karsak et al. [24] proposed a distance-based fuzzy MCDM framework based on the concepts of ideal solution and anti-ideal solution to select flexible manufacturing systems from a set of mutually exclusive alternatives. This method provides a combination of economic value figures and strategic performance variables. The multi-iteration decision-making method proposed in this paper can incorporate linguistic variables, triangular fuzzy numbers and fragile numbers into the evaluation process of FMS alternatives. Palanisamy et al. [25] proposed a hybrid approach integrated Quality Function Deployment and analytical network process technology to assist supplier ranking process from a strategic perspective. This method is based on three main indicators and eight sub-indicators, and its effectiveness is verified by a case study involving 20 suppliers of automotive parts manufacturers. Wen-Chin Chou et al. [26] established a hybrid method combining the fuzzy analytic network process and fuzzy VlseKriterijumska Optimizacija I Kompromisno Resenje (FVIKOR) to evaluate the website quality of Taiwan’s four major accounting firms, and provided valuable suggestions for improving website design and content. Lupo et al. [27] developed a method to deal with uncertainties in service performance analysis, and used the Fuzzy ELECTRE III program to point out the quality level of service options, and made a strategic analysis of the service quality evaluation of the three international airports in Sicily. Mardani et al. [28] combined the theory of fuzzy sets with qualitative and quantitative methods to evaluate the quality management practices of small and medium-sized hotels in Iran. The evaluation indexes were collected by literature survey and Fuzzy Delphi Method From the practical point of view, the environmental perspective is introduced as a new quality management system.
In the field of sustainability of maritime transportation, many scholars have also used the fuzzy MCDM method. Young Joon SEO et al. [29] aimed to assess the overall performance and ranking of ship management companies by using an integrated model of AHP and fuzzy techniques’ Soner et al. [30] proposed a hybrid approach integrates VIKOR and AHP method to solve hatch cover design selection problem of bulk carrier ships, they employed interval type-2 fuzzy set to deal with a large number of uncertainties in decision makers ‘language evaluation process. The purpose of this paper is not only to provide a mixed theoretical method for multi-attribute decision-making, but also to solve the practical problems of marine operation industry. Bal Beşikçi et al. [31] studied the application of Fuzzy-AHP method in fuel-saving measures of ship operation, the results of this study can provide decision makers with the most effective measures and strategies to provide fuel-saving solutions for the shipping industry, with the help of these decision-making tools, the shipping industry can evaluate the priority and efficiency of action fuel efficiency measures against possible future fuel price increases and carbon emissions. Erkan Celik et al. [32] proposed a comprehensive MCDM method based on the extension of interval type-2 fuzzy sets for the selection of suitable ship transport aircraft. This method uses sensitivity analysis method to study the impact of key performance indicators in many cases, overcomes the uncertainty of expert judgment and expression in the decision-making process, and provides realistic benefits for decision makers (port owners or port managers) who choose the appropriate ship type for investment decision-making in dry bulk cargo transportation.
The classic fuzzy MCDM technology is generally rational based on the expected utility theory of the decision maker. However, in real life, decisionmakers have different subjective risk preferences in different risk environments. The prospect theory is a decision under the risk condition of the descriptive model invented by Kahneman et al. [33], which proves that the mental behavior of decision makers shows a trend of risk aversion. Krohling et al. [34] propose a hybrid approach combining prospect theory and fuzzy numbers in MCDM problems and give a verification according to an example Case study of decision making in case oil spill in the sea. Xiaoli Tian et al. [35] used intuitionistic fuzzy prospect theory, which combines the advantages of prospect theory and intuitionistic fuzzy information, to help venture capitalists make better decisions in the real world, At the same time, by comparing the ranking results obtained by TOPSIS with this method, they found that prospect theory was superior to TOPSIS in selecting promising enterprises based on the subsequent funding results of enterprises. Tiantian Bao et al. [36] proposed an intuitionistic fuzzy decision method based on prospect theory and the evidential reasoning approach, analyzed multi-attribute decision making problems in which the criteria values are intuitionistic fuzzy numbers and the information of criteria weights is unknown. Yunna Wu et al. [37] proposed a fuzzy MCDM technology based on the cumulative prospect theory for the selection of the most suitable renewable fuel sources in China,a case study was conducted to illustrate the rationality and feasibility of this method. Chengpeng Wan et al. [38] proposed a novel model consists of the evidential reasoning approach for evaluating the development level of LNG fueled ships in a particular region or country for self-assessment or comparative studies.
In this paper, the main contributions to existing research are as follows: (1) We adopted a improved MCDM method combined with prospect theory and hesitant fuzzy set to solve the problem of low Sulphur fuel. (2) The prospects theory which improving the symmetrical gain and loss in utility function is adopted in MCDM, and the psychological factors of aversion to loss are considered. (3) We propose a hesitant fuzzy prospect value function, loss and gains based on reference points are determined by Euclidean distance of hesitant fuzzy elements. (4) An objective algorithm for determining the weights of criteria based on the maximum deviation method is applied to decision-making.
Hesitant fuzzy set developed by Torra (2010) [39] has been regarded as an efficient method for experts to represent the degree of hesitant, the membership function of which provide a set of possible values instead of individual. This approach is aimed to cope with the problem of determining the membership of an element to a set when experts have a doubt between different values. We have noticed that a hesitant fuzzy element (0.2,0.5,0.6) is more comprehensive and accurate than the intuitionistic fuzzy element (0.2,0.5) and interval-valued fuzzy element [0.2,0.6], by using HFS, we can obtain the reasonable results and more objective definitions in group decision-making.
Definition 1. (Torra) [39]. Let X be a fixed set, then the hesitation fuzzy set is a function that maps each element of X to a subset [0,1].
Xia et al. [40] express the mathematical symbol of the hesitant fuzzy set for the first time:

where
is a set of some values in [0,1], denoting the possible membership degrees of the element
to the set
. For convenience, we call
a hesitant fuzzy element (HFE) and H the set of all HFEs.Given a hesitant fuzzy element, (Torra,2010) defined the complement algorithm of HFE:

Definition 2. (Xia et al.) [40]. Let
be hesitation fuzzy element,
be the possible membership degrees of h in [0,1], the value of HFE
is given as follow:

is the number of the elements in
. For two HFEs
and
, if
, then
; if
, then 
Definition 3. (Xu et al.) [41] For two HFEs
and
, the distance between
and
, denoted as
, should satisfy the following properties:
(1)
(2)
if and only if 
(3)
.
then the Euclidean distance between them is shown as follows:

These distance measures are the extensions of Euclidean distance under hesitant fuzzy environment,
indicates the qth largest element.
Prospect theory was firstly proposed by Kahneman et al. [33], and evolved into Cumulative Prospect Theory in 1992 [42], it takes assurance of reliability of evaluation through building a model of actual decision behavior under risk. The decision-making process of prospect theory is divided into two main stages: the first stage of evaluation of the collection and arrangement of objects, or the value of evaluation schemes under different criteria. The second stage is to synthesize information according to a certain method based on the collected data (decision matrix), so as to make decisions and evaluate. Compared with the theory of expected utility, prospects theory combines psychology and economics research together, focusing on decision-making issues under uncertain conditions.
In cumulative prospect theory, prospect value V is calculated by the value function
and the weight function
the cumulative prospect value function is a power function as follows:

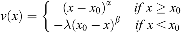
The value function represents the risk preference are determined by Eq. (6)

When
,
denotes the gain values. And when
,
represents the losse values.
and
are exponential parameters related to gains and loss respectively,
is the risk aversion parameter, which represents the characteristic of steeper for loss than for gains. In this study, we adopt the values of these parameters as
=
= 0.88, λ = 2.25, which are determined by Tversky and Kahneman’s empirical research [33].

Similarly, the values of χ and
in the weight function
are also determined as 0.61 and 0.69 respective through experiments [42].
4.1 Specification of Committed Steps
The decision-making framework combines Hesitant fuzzy sets and cumulative perspective theory in a very systematic framework. The proposed framework composes of three committed steps: Firstly, collecting experts’ opinions in order to constructing the hesitant fuzzy decision matrix. Secondly, calculating criteria weights using the maximizing deviation method, ensure the weight of criteria using an objective approach. And then, determining the reference point so as to calculating the prospect value. Detailed descriptions of three committed steps are given as below.
4.1.1 Hesitant Fuzzy Decision Matrix
A MCDM problem can be described by a decision matrix whose elements represent the evaluation values of all the criteria for each alternative. Since the membership of an alternative under a given criterion hesitates among several different values, we construct a hesitant fuzzy decision matrix whose elements are hesitant fuzzy elements.
For a multi-criteria problem,
is the set of programs and
is the set of criteria. Xia et al. [40] gives a hesitant fuzzy set of the alternative
under the criterion
can be defined by

expresse the membership of the alternative
under the criterion
, the mathematical expression is

can be represented by
, so the hesitant fuzzy matrix can be expressed as follows

Determination of criteria weight is a committed step in MCDM, under some circumstances, the information about criteria weights is completely unknown. The maximizing deviation method proposed Wang [43] is s an objective method to calculate the criteria weights of MCDM problems. According to this theory, criteria with large deviations should be given larger weights, on the contrary, criteria with small deviations should be given smaller weights. If the performance values of all alternatives are significantly different under a criterion, it means that this criterion plays a very significant role in evaluating alternatives. In an extreme case, if all alternatives score equally for a given criterion, that criterion is considered less important.
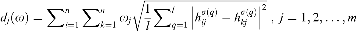
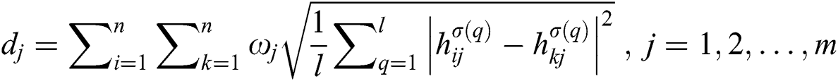
Based on the maximum deviation method, Xu et al. [44] constructed an optimization model to determine the relative optimal weight of criteria in hesitant fuzzy environment. Under criteria
, the deviation of alternative
from all others can be expressed by the hesitant Euclidean distance between hesitant fuzzy elements


represents the deviations value of all alternatives to others under criterion 

By constructing a non-linear programming model to maximize the deviation of all criteria, Xu et al. [44] calculated the final weight vector 

Of which

Its normalization formula is as follows

4.1.3 Reference Points of Prospect Theory
In decision making and evaluation, the benefits and lost loss are relative to the reference point, so the reference point plays a crucial role in decision making under the prospect theory, the reference point is usually determined by the method: expected value, mean value, zero-point, maximum value and minimum value. In this study, the maximum value
and minimum value
is used as the reference point under hesitant fuzzy environment. According to calculating the Euclidean distance by Eq. (4), the value function
shows the characteristic of decreasing sensitivity in terms of both return and loss. Above the minimum value reference point, the return is concave and the performance is profit. Under the maximum value reference point, the loss is convex and the loss is expressed, which means that the decision maker is a loss aversion, the utility of reducing the deviation of the negative direction of the reference point is greater than the effect of increasing the deviation of the positive direction.

where

The prospect value of
can be represented by
as below:

Based on the above analysis, the framework of decision-making includes two main stages: the preparatory stage and the decision-making stage as shown in Fig. 2. At the preparatory stage the, low Sulphur alternatives are defined, according the evaluation criteria system, exports’ opinion are collected in the form of hesitant fuzzy set. Then decision stages under hesitant fuzzy environment are given as follows:

Figure 2: Low Sulphur fuel MCDM process
Step 1: Firstly, the evaluation information of decision-making problems under hesitant environment from experts are obtained by Eq. (1). Then, the evaluation values of all the criteria for each alternative are described by a decision matrix according to Eq. (9).
Step 2: Standardize the decision matrices by converting cost-based criterion into benefit-based criterion using the complement algorithm of HFE by Eq. (2), construct a standardized hesitant fuzzy decision matrices of sample data.
Step 3: If the number of hesitant fuzzy elements is unequally, the hesitant fuzzy sets with fewer elements should be extended to the same length with others. When the decision-maker is optimist or pessimist, the maximum or minimum value should be added to ensure the number of hesitant fuzzy elements is equal.
Step 4: Estimate the original weight of each criterion using the maximum deviation method, it can be calculated by Eq. (13). The deviations value of all alternatives to others can be calculated by Eq. (12). According to Eq. (14), the normalized weights of all criteria are determined.
Step 5: According to Eqs. (3) and (16), we can obtain maximum values and minimum value of all alternatives under each criterion as the reference points of prospect theory. Then, we can calculate the gain and loss values of criteria which can be represented by the Euclidean distance between alternative and maximum/minimum values using Eq. (4) separately.
Step 6: According to calculating the loss value
and the gain value
by Eq. (4),the value function of each alternatives
and
are determined by Eq. (15). And then based on Eq. (7) and the obtained original weights of criteria in Step 3, the prospect weights
can be calculated.
Step 7: Calculate the comprehensive prospect value of each alternative using Eq. (17), make a ranking of the prospect values.
5 Model Applications: A Case Study
In line with the regulations of the International Maritime Organization, the Ministry of Transport of the People’s Republic of China has promulgated the “Implementation Plan for the Marine Air Pollutant Emission Control Area”, which mainly includes the type of fuel, safety impact and control measures, and ship Sulphur oxide (
) emissions. Control solutions and regulatory systems, technical implementation of low Sulphur fuel standards. International and domestic strict Sulphur restriction policies force Chinese shipowners to make low Sulphur fuel program decisions as soon as possible. As mentioned in the first section, scrubber and LNG are the three low Sulphur alternatives available to shipowners, more and more domestic and foreign companies such as Mobil Oil, Shell Petroleum and Sinopec have begun to deploy in the low Sulphur industry in order to provide better low Sulphur solutions and fuel supplies. For shipowner, it is necessary to have a detailed understanding of the characteristics of various low Sulphur alternatives.
5.1 Evaluation Criteria System
Sustainability of shipping development requires consideration of all three dimensions: environment, economy, society and technology [38]. Based on the current status of mainstream research on low Sulphur fuel ships in different countries and comprehensive analysis, a comprehensive evaluation criteria system for low Sulphur fuel selection has been established, which consists of three aspects: political economy and culture, it contains nine evaluation indicators.
5.1.1 Social and Environment Aspect
Supports of policy (c1) [45,46]. It includes financial subsidies and tax exemptions, as well as government-sponsored low Sulphur implementations. The planned actions of management authorities will greatly affect the cost and effectiveness of the shipowners, so the government’s support policy is of great significance.
Status of related Industries (c2) [45]. It refers to the scale and development status of related industries, including the low sulpur equipment design, manufacturing and services. In particular, the number of enterprises in the industry, the degree of innovation and the level of service system determine the level of development status of related industries.
Impact on ecosystem (c3) [22]. The purpose of complying with the low Sulphur regulations is to reduce pollution and protect the environment. The impact of different programs on the ecological environment is also different. Therefore, based on social responsibility and sustainable development, the impact on the ecological environment is also a problem that shipowners should consider.
Costs for equipment modification (c4) [45–47]. It mainly refers to the cost of equipment purchase, modification and renewal, especially for LNG and scrubber, the modification of the equipment should take into account the ship’s own condition and modification complexity, so it needs a technical service provider with strong technical capabilities. If the remaining life of the ship is short, the shipowner is also considering replacing the new ship with the new low Sulphur equipment installed.
Costs for facilities maintenance and fuel (c5) [45–47]. It consists of daily operating costs including spare parts costs, labor costs, for regular maintenance. Since the compatibility and stability of the new equipment is unknown, it is necessary to provide effective maintenance for the operation of the new equipment. In addition, when the regulation of IMO is implemented officially, the prices of high-Sulphur oil, low Sulphur oil and LNG fuels will fluctuate greatly, which is also a large cost for the operation of the ship.
Payback period (c6) [22,45]. It refers to the total amount of revenue earned after the project is put into production. After the implementation of the low Sulphur regulation, the transportation price of the international shipping market will also rise to compensate for the increase in costs caused by the adoption of new technologies. However, since the price of various fuels is difficult to estimate, the payback period cannot be expressed by an exact value, so the use of fuzzy numbers is suitable.
Stability of fuel supply(c7) [45,46]. Limited by the production process and technical level, the fuel industry has little experience in producing low Sulphur oils and LNG fuel, which will make the stability of its supply difficult to guarantee. In addition, due to the uncertainty of shipowners’ demand, the supply of low Sulphur oil and LNG fuel is also difficult to predict accurately.
Maturity and Reliability of new technology (c8) [22]. The blended and processed low Sulphur oil may not meet the fuel standards of existing ships, which may lead to the failure of the ship’s main engine. Scrubber and LNG equipment technology is not yet mature, so whether it can maintain stability is also an important issue for shipowners to consider.
Crew training of new technology(c9) [45]. Ships using new technology require rigorous training of the crew to ensure the maintenance of fuel on board, the operation of the equipment and the handling of emergency situations. Such crew members are required to be trained in accordance with strict standards and to obtain an operating permit. Whether there are enough well-trained crew members is also an important basis for shipowners to make decisions.
5.2 Characteristics of Alternatives
Scrubber is a post-treatment method for exhaust gas. By installing an exhaust gas treatment device, the
in the exhaust gas is removed to achieve the same emission reduction effect as using low Sulphur fuel. The exhaust gas cleaning system can be divided into three types according to its working mode: Open, closed, hybrid. Its advantages are that high Sulphur HFO can be used, so fuel operation costs are low. Its disadvantages are the difficulty in retrofitting existing ships, the high cost of new equipment and systems, the lack of sufficient residue receiving facilities in the port, and the large footprint of the washing tower.
Marine low Sulphur fuels that can be selected and used in general ships include marine distillates produced by distillation processes, mixed fuels prepared by heavy oil, and biodiesel. The direct use of fuels with Sulphur content in compliance with regulations avoids the modification of equipment on board, but there are also risks. In order to produce such low Sulphur distillates, refineries often need special processes and procedures to deSulphurize the fuel, resulting in low Sulphur. Many characteristics of distillate oil have changed significantly. The ship’s fuel system and machinery are generally designed based on heavy oil/marine diesel. The experience of low Sulphur distillate is not much. When using low Sulphur distillate, it may cause fuel system and equipment failure.
LNG is an alternative fuel, and since the natural gas fuel has a low Sulphur content, the
emissions after combustion are also low. The advantage of LNG is cleanliness and low fuel operating costs. However, there are also high safety requirements, LNG fuel tanks occupy a large space for cargo, difficult to rebuild existing ships, and imperfect fuel filling facilities. Whether it is to build or renovate a ship, the investment in the early stage of LNG is relatively high and requires long-term operation to recover.
5.3 Decision Process Application
In order to verify the effectiveness of the method, a comprehensive medium-sized shipping company based on container liner services in Shanghai was selected as the research object. The company mainly operates international liner shipping routes in Northeast Asia and Southeast Asia, as well as coastal inner liner shipping services.
Five decision makers including academics and industry experts in the maritime and fuel management fields, have been appointed to provide evaluations for low Sulphur fuel decisions. The academics are consisting of university professors who have significant research on maritime affairs. In addition, experts include general managers at senior management levels in shipping companies and ports, which have an important place in the industry. The original evaluation information of the expert in the hesitant fuzzy environment are related to the scale of the language value. It is obvious that c1, c2, c3, c6, c7, c8 and c9 belong to the benefit type criteria and can be expressed by the linguistic values “absolutely poor-(0.1)”, “very poor-(0.2)”, “poor-(0.3)”, “slightly poor-(0.4)”, “middle-(0.5)”, “slightly good-(0.6)”, “good-(0.7)”, “very good-(0.8)”, “absolutely good-(0.9)” and c3, c4, c5 are the cost type criteria, linguistic and fuzzy scales are defined as “absolutely low-(0.1)”, “very low-(0.2)”, “low-(0.3)”, “slightly low-(0.4)”, “middle-(0.5)”, “slightly high-(0.6)”, “high-(0.7)”, “very high-(0.8)”, “absolutely high-(0.9)”. The hesitant fuzzy assessment information of nine criteria from expert’s data are collected and shown in Tab. 1.
Table 1: Hesitant fuzzy assessment information from experts

As the criterion C3, C4, C5 are the cost-based criterion, the decision matrices should be standardized by converting cost-based criterion into benefit-based criterion. The original data can be standardized by the complement algorithm of hesitant fuzzy numbers as Tab. 2, and the conversion formula can be referred to Eq. (2).
Table 2: Standardized decision matrix by converting cost-based criterion into benefit-based criterion

Obviously, the number of values contained in different hesitant fuzzy elements is different. In order to calculate the distance between two hesitant fuzzy sets more accurately, hesitant fuzzy elements with fewer elements should be extended to the same length. In the low Sulphur fuel decision, due to the greater degree of environmental uncertainty, it can be assumed that the decision maker is pessimist, so the minimum value is added to the hesitant fuzzy element to obtain a normalized hesitation fuzzy matrix as Tab. 3.
Table 3: Normalized decision matrix

The sum of deviations of all the alternatives with respect to the jth criterion can be calculated by Eq. (13), according to Eqs. (12) and (14), the optimal weight vector
and the optimal weight vector with normalized formula
are calculated as Tab. 4.
Table 4: The expression results of the weighting values

Then, maximum values H and minimum value L using Eq. (3) of all alternatives under each criterion are determined as follows:


According to calculate the Euclidean distance between
and the maximum/minimum value of each alternatives
by Eq. (4), the loss value
and the gain value
are obtained .Then the value function of each alternatives
and
are calculated by Eq. (15), the weights function
and
are determined by Eq. (7). The values of these functions are shown in Tabs. 5 and 6.
Table 5: The loss value
, value function
, weights function
of each alternative

Table 6: The gain value
, value function
, weights function
of each alternative

Ultimately, the cumulative Comprehensive prospect value of various alternatives
are determined according to Eq. (17)

The descending order of low Sulphur fuel alternatives is as follows:
. This means that LSFO is the best solution, followed by scrubber, and finally LNG.
With the expansion of emission control zones in various countries and the imminent implementation of IMO 2020 regulation, it is urgent for shipowners to make investment decisions on shipping low Sulphur fuel. As it is closely related to cost control and management strategy, scientific and effective decision-making methods play an important role in low Sulphur fuel decision-making. Firstly, the hesitant fuzzy set is applied to the traditional multi-attribute decision-making, so that the expert’s opinions can be expressed more accurately. On this basis, the hesitant fuzzy decision-making matrix is established. Based on the high risk and uncertainty of low Sulphur fuel selection, the pessimistic criterion is adopted to standardize the decision-making. Secondly, in order to ensure objectivity, this study adopts the maximum deviation method instead of subjective methods such as AHP or DEMANTEL to determine the attribute weight. The results show that the criteria with larger weight are C4, C5 and C6, which shows that cost and payback period are the most important criteria of decision makers, which is also consistent with the reality. Finally, this study employs Prospect Theory to analyze the optimal decision-making of shipowners by calculating the Prospect Value of each scheme. Compared with traditional utility theory, Prospect Theory considers more psychological factors of decision-makers, which reflects the impact of risk aversion on decision-making results, and has strong applicability to the decision-making of low Sulphur fuel selection.
From the final result, the optimal decision is LSFO. There is no doubt that LSFO avoids a large amount of investment in the early stage. Scrubber and LNG equipment are more expensive and the refitting time is longer, so it will bring greater cost pressure to the shipping company in the short term. Moreover, some shipping companies are doubtful about whether IMO 2020 can be implemented, so they prefer to just sit on the fence, and convert to LSFO when the IMO regulation are fully implemented. Of course, as the foregoing analysis shows, whether LSFO will be adequately supplied in the future, whether the price will rise faster, and how much risk it will cause to the engine are the important issues that shipowners need to consider. Scrubber, as a device that can continue to use HSFO, is also accepted by some shipping companies. Compared with the continuous purchase of low Sulphur fuel, the advantage of installing scrubber equipment lies in the lower operation and maintenance costs in the later period. However, the impact of scrubber on the environment is also controversial. The detergent is discharged under the seemingly standard condition, but the wastewater still contains a large number of acidic substances, which will pose a threat to the environment. In addition, it is unpredictable whether scrubber can be perfectly integrated with the ship and run steadily. As a clean fuel source, LNG can greatly reduce the emissions of nitrogen oxides, carbon oxides and particulate matter. It is considered as an important fuel to fundamentally solve ship pollution. Therefore, governments of various countries have issued relevant policies and no measures to encourage the development of LNG ships. However, from the analysis results, the willingness of shipowners to build and renovate LNG ships is not strong. The main reason is that the number of LNG filling stations is small and the construction cycle is long, which leads to the inadequate supply. As a result, the development of LNG power ships is slow and the number of LNG ships is lower than expected.
In further research, some limitations of this paper should be discussed. First, the value of parameters
and λ are determined through previous literature, as the risk aversion degree of different decision makers is different, the corresponding parameter values should also be evaluated effectively according to the characteristics of decision makers and the diversity of the environment. Second, although the maximum deviation method guarantees the objectivity of criteria weights, it does not fully consider the correlation between criteria and the preference relationship of experts for decision criteria. In future research, a combination of subjective and objective methods can be adopted to make the determination of criteria weights more reasonable. Last, as fuzzy set has been widely used in decision-making science, future research can be conducted using various fuzzy sets such as hesitant fuzzy linguistic sets, interval hesitant fuzzy sets, intuitive fuzzy sets. In addition, the decision-making model based on hesitant fuzzy set prospect theory proposed in this study can also be used in other industries.
Funding Statement: This work is supported by the SUT research and development fund.
Conflicts of Interest: The authors declare that they have no conflicts of interest to report regarding the present study.
1. M. Á. López-Navarro. (2014). “Environmental factors and intermodal freight transportation: Analysis of the decision bases in the case of Spanish motorways of the Sea,” Sustainability, vol. 6, pp. 1544–1566. [Google Scholar]
2. V. Matthias, I. Bewersdorff, A. Aulinger and M. T. Quante. (2010). “The contribution of ship emissions to air pollution in the North Sea regions,” Environmental Pollution, vol. 158, no. 6, pp. 2241–2250. [Google Scholar]
3. N. Berg, J. Mellqvist, J. P. Jalkanen and J. Balzani. (2012). “Ship emissions of SO2 and NO2: DOAS measurements from airborne platforms,” Atmospheric Measurement Techniques, vol. 5, pp. 1085–1098. [Google Scholar]
4. H. Lindstad, G. S. Eskeland, H. Psaraftis, I. Sandaas and A. H. Strømman. (2015). “Maritime shipping and emissions: A three-layered, damage-based approach,” Ocean Engineering, vol. 110, pp. 94–101. [Google Scholar]
5. L. Kattner, B. Mathieu-üffing and J. P. Burrows. (2015). “Monitoring compliance with Sulphur content regulations of shipping fuel by in situ measurements of ship emissions,” Atmospheric Chemistry and Physics, vol. 15, no. 17, pp. 10087–10092. [Google Scholar]
6. A. Halff, L. Younes and T. Boersma. (2019). “The likely implications of the new IMO standards on the shipping industry,” Fuel Policy, vol. 126, pp. 277–286. [Google Scholar]
7. L. Jiang, J. Kronbak and L. P. Christensen. (2014). “Effect of rotation on the propagation of waves in hollow poroelastic circular cylinder with magnetic field,” Transportation Research Part D: Transport and Environment, vol. 28, pp. 19–27. [Google Scholar]
8. I. Panasiuk, S. Lebedevas and J. Čerka. (2016). “The assessment algorithm of technological feasibility of SOx scrubber installation,” Transport, vol. 33, pp. 197–207. [Google Scholar]
9. H. E. Lindstad, C. F. Rehn and G. S. Eskeland. (2017). “Sulphur abatement globally in maritime shipping,” Transportation Research Part D: Transport and Environment, vol. 57, pp. 303–313. [Google Scholar]
10. J. Eise Fokkema, P. Buijs and I. F. A. Vis. (2017). “An investment appraisal method to compare LNG-fueled and conventional vessels,” Transportation Research Part D: Transport and Environment, vol. 56, pp. 229–240. [Google Scholar]
11. J. J. Winebrake, J. J. Corbett, F. Umar and D. Yuska. (2019). “Pollution tradeoffs for conventional and natural gas-based marine fuels,” Sustainability, vol. 11, no. 8, pp. 2235–2253. [Google Scholar]
12. L. A. Zadeh. (1965). “Fuzzy sets,” Information and Control, vol. 8, pp. 338–353. [Google Scholar]
13. Z. Xu and R. Yager. (2006). “Some geometric aggregation operators based on intuitionistic fuzzy sets,” International Journal of General Systems, vol. 35, pp. 417–433. [Google Scholar]
14. Z. Xu and X. Cai. (2010). “Nonlinear optimization models for multiple attribute group decision making with intuitionistic fuzzy information,” International Journal of General Systems, vol. 25, pp. 489–513.
15. Z. Xu. (2012). “Intuitionistic fuzzy multi attribute decision making: An interactive method,” IEEE Transactions on Fuzzy Systems, vol. 20, pp. 514–525. [Google Scholar]
16. Z. Xu. (2004). “On compatibility of interval fuzzy preference relations. fuzzy optimization and decision making,” Fuzzy Optimization and Decision Making, vol. 3, pp. 217–225. [Google Scholar]
17. Q. Cao and J. Wu. (2011). “The extended COWG operators and their application to multiple attributive group decision making problems with interval numbers,” Applied Mathematical Modelling, vol. 35, pp. 2075–2986.
18. Z. Yue. (2011). “An extended TOPSIS for determining weights of decision makers with interval numbers,” Knowledge-based Systems, vol. 24, pp. 146–153. [Google Scholar]
19. M. Xia and Z. Xu. (2015). “Some studies on properties of hesitant fuzzy sets,” International Journal of Machine Learning and Cybernetics, vol. 8, pp. 1–7. [Google Scholar]
20. N. Chen, Z. Xu and M. Xia. (2013). “Correlation coefficients of hesitant Sets and their applications to clustering analysis,” Applied Mathematical Modelling, vol. 37, pp. 2197–2211.
21. F. Meng and X. Chen. (2015). “Correlation coefficients of hesitant fuzzy sets and their application based on fuzzy measures,” Cognitive Computation, vol. 7, pp. 445–463. [Google Scholar]
22. I. Animah, A. Addy-Lamptey, F. Korsah and J. S. Sackey. (2018). “Compliance with MARPOL Annex VI regulation 14 by ships in the gulf of guinea sub-region: Issues, challenges and opportunities,” Transportation Research Part D: Transport and Environment, vol. 62, pp. 441–455. [Google Scholar]
23. H. Karahalios. (2017). “The application of the AHP-TOPSIS for evaluating ballast water treatment systems by ship operators,” Transportation Research Part D: Transport and Environment, vol. 52, pp. 172–184. [Google Scholar]
24. E. E. Karsak. (2002). “Distance-based fuzzy MCDM approach for evaluating flexible manufacturing system alternatives,” International Journal of Production Research, vol. 40, no. 13, pp. 3167–3181. [Google Scholar]
25. P. Palanisamy and H. A. Zubar. (2013). “Hybrid MCDM approach for vendor ranking,” Journal of Manufacturing Technology Management, vol. 24, no. 6, pp. 905–928. [Google Scholar]
26. W. C. Chou and Y. P. Cheng. (2012). “A hybrid fuzzy MCDM approach for evaluating website quality of professional accounting firms,” Expert Systems with Applications, vol. 39, no. 3, pp. 2783–2793. [Google Scholar]
27. T. Lupo. (2015). “Fuzzy ServPerf model combined with ELECTRE III to comparatively evaluate service quality of international airports in Sicily,” Journal of Air Transport Management, vol. 42, pp. 249–259. [Google Scholar]
28. A. Mardani, A. Jusoh and E. K. Zavadskas. (2016). “Proposing a new hierarchical framework for the evaluation of quality management practices: A new combined fuzzy hybrid MCDM approach,” Journal of Business Economics and Management, vol. 17, pp. 1–16. [Google Scholar]
29. Y. J. Seo, M. H. Ha, Z. Yang and S. Bhattacharya. (2018). “The ship management firm selection: The case of South Korea,” The Asian Journal of Shipping and Logistics, vol. 34, no. 3, pp. 256–265. [Google Scholar]
30. O. Soner, E. Celik and E. Akyuz. (2018). “A MPTCP scheduler for web transfer,” Computers, Materials & Continua, vol. 57, no. 2, pp. 205–222. [Google Scholar]
31. E. B. Besikci, T. Kececi, O. Arslan and O. Turan. (2016). “An application of fuzzy-AHP to ship operational energy efficiency measures,” Ocean Engineering, vol. 121, pp. 392–402. [Google Scholar]
32. E. Celik. and E. Akyuz. (2018). “An interval type-2 fuzzy AHP and TOPSIS methods for decision-making problems in maritime transportation engineering: The case of ship loader,” Ocean Engineering, vol. 155, pp. 371–381. [Google Scholar]
33. D. Kahneman and A. Tversky. (1979). “Prospect theory: An analysis of decision under risk,” Econometrica, vol. 47, pp. 263–292. [Google Scholar]
34. R. A. Krohling and T. T. M. D. Souza. (2012). “Combining prospect theory and fuzzy numbers to multi-criteria decision making,” Expert Systems with Applications, vol. 39, no. 13, pp. 11487–11439. [Google Scholar]
35. X. Tian, Z. Xu, J. Gu and E. Herrera-Viedma. (2018). “How to select a promising enterprise for venture capitalists with prospect theory under intuitionistic fuzzy circumstance?,” Applied Soft Computing, vol. 61, pp. 756–763. [Google Scholar]
36. T. Bao, X. Xie, P. Long and Z. Wei. (2017). “MADM method based on prospect theory and evidential reasoning approach with unknown attribute weights under intuitionistic fuzzy environment,” Expert Systems with Applications, vol. 88, pp. 305–317. [Google Scholar]
37. Y. Wu, C. Xu and T. Zhang. (2018). “Evaluation of renewable power sources using a fuzzy MCDM based on cumulative prospect theory: A case in China,” Energy, vol. 147, pp. 1227–1239. [Google Scholar]
38. C. Wang, X. Yan, D. Zhang and Z. Yang. (2019). “A novel policy making aid model for the development of LNG fueled ships,” Transportation Research Part A: Policy and Practice, vol. 119, pp. 29–44. [Google Scholar]
39. V. Torra. (2010). “Hesitant fuzzy sets,” International Journal of Intelligent Systems, vol. 25, pp. 529–539. [Google Scholar]
40. M. Xia and Z. Xu. (2011). “Hesitant fuzzy information aggregation in decision making,” International Journal of Approximate Reasoning, vol. 52, no. 3, pp. 395–407. [Google Scholar]
41. Z. Xu and M. Xia. (2011). “On distance and correlation measures of hesitant fuzzy information,” International Journal of Intelligent Systems, vol. 26, no. 5, pp. 410–425. [Google Scholar]
42. A. Tversky and D. Kahneman. (1992). “Advances in prospect theory: Cumulative representation of uncertainty,” Journal of Risk and Uncertainty, vol. 5, no. 4, pp. 297–323. [Google Scholar]
43. Y. Wang. (1997). “Using the method of maximizing deviation to make decision for multiindices,” Journal of Systems Engineering and Electronics, vol. 8, pp. 21–26. [Google Scholar]
44. Z. Xu and X. Zhang. (2013). “Hesitant fuzzy multi-attribute decision making based on TOPSIS with incomplete weight information,” Knowledge-Based Systems, vol. 52, pp. 53–64. [Google Scholar]
45. I. Panasiuk and L. Turkina. (2015). “The evaluation of investments efficiency of SOx scrubber installation,” Transportation Research Part D: Transport and Environment, vol. 40, pp. 87–96. [Google Scholar]
46. J. Chen, T. Zheng, A. Garg, L. Xu, S. Li et al. (2019). , “Alternative Maritime Power application as a green port strategy: Barriers in China,” Journal of Cleaner Production, vol. 213, pp. 825–837. [Google Scholar]
47. S. H. Shin, O. K. Kwon, X. Ruan, P. Chhetri, P. T. W. Lee et al. (2018). , “Analyzing sustainability literature in maritime studies with text mining,” Sustainability, vol. 10, no. 10, pp. 3522–3540. [Google Scholar]
![]() | This work is licensed under a Creative Commons Attribution 4.0 International License, which permits unrestricted use, distribution, and reproduction in any medium, provided the original work is properly cited. |