| Computers, Materials & Continua DOI:10.32604/cmc.2021.014590 | ![]() |
| Article |
Energy Management Control Strategy for Renewable Energy System Based on Spotted Hyena Optimizer
1College of Engineering at Wadi Addawaser, Prince Sattam Bin Abdulaziz University, Wadi Addawaser, 11991, Saudi Arabia
2Electrical Engineering Department, Faculty of Engineering, Minia University, Minia, 61111, Egypt
3Electrical Engineering Department, Faculty of Engineering, Jouf University, Sakaka, Saudi Arabia
4Electrical Power and Machine Department, Faculty of Engineering, Zagazig University, Zagazig, Egypt
5Department of Electrical Engineering, Aswan University, Aswan, 81542, Egypt
6Electronics Engineering Department, Universidad Tecnica Federico Santa Maria, Valparaiso, 2390123, Chile
7Department of Electromechanical, Systems and Metal Engineering, Ghent University, Ghent, 9000, Belgium
8FlandersMake@UGent–corelab EEDT-MP, 3001, Leuven, Belgium
9Electrical Engineering Department, Kafrelshiekh University, Kafr el-Sheikh, 33511, Egypt
*Corresponding Author: Hegazy Rezk. Email: hr.hussien@psau.edu.sa
Received: 01 October 2020; Accepted: 21 November 2020
Abstract: Hydrocarbons, carbon monoxide and other pollutants from the transportation sector harm human health in many ways. Fuel cell (FC) has been evolving rapidly over the past two decades due to its efficient mechanism to transform the chemical energy in hydrogen-rich compounds into electrical energy. The main drawback of the standalone FC is its slow dynamic response and its inability to supply rapid variations in the load demand. Therefore, adding energy storage systems is necessary. However, to manage and distribute the power-sharing among the hybrid proton exchange membrane (PEM) fuel cell (FC), battery storage (BS), and supercapacitor (SC), an energy management strategy (EMS) is essential. In this research work, an optimal EMS based on a spotted hyena optimizer (SHO) for hybrid PEM fuel cell/BS/SC is proposed. The main goal of an EMS is to improve the performance of hybrid FC/BS/SC and to reduce the amount of hydrogen consumption. To prove the superiority of the SHO method, the obtained results are compared with the chimp optimizer (CO), the artificial ecosystem-based optimizer (AEO), the seagull optimization algorithm (SOA), the sooty tern optimization algorithm (STOA), and the coyote optimization algorithm (COA). Two main metrics are used as a benchmark for the comparison: the minimum consumed hydrogen and the efficiency of the system. The main findings confirm that the minimum amount of hydrogen consumption and maximum efficiency are achieved by the proposed SHO based EMS.
Keywords: Modelling; optimization; energy management; fuel cell; supercapacitor; hybrid system
Fossil fuel, which is the main source of energy in all sectors, is not only limited in resources and fluctuated in price, but also it has a serious environmental impact that results in climate change. Renewable energy sources are considered the best candidate to replace fossil fuel in several applications. The sector of transportation is mostly depending on fossil fuel as the main source and it produces greenhouse gases. Consequently, big efforts are made to increase the utilization of fuel cells (FCs) in the sector of transportation as green energy sources. This leads to having no emission and pollution, low maintenance, and quiet operation. The main advantages of FC are the low operating temperature, and the high energy conversion efficiency [1]. Proton exchange membrane (PEM) fuel cell (FC) is the most common type of fuel cells, thanks to its benefits of fast fueling time and low operating pressure [2]. The main disadvantage of standalone PEM fuel cell is the slow dynamic response. Therefore, standalone PEM fuel cell cannot follow the rapid change of the demanded load. Moreover, the flow of electricity of the PEM fuel cell is unidirectional. Accordingly, the PEM fuel cell is employed to meet the main and steady-state load demand, and an energy storage system is commonly used to supply the fast-changing load and recover braking energy [1].
Battery storage (BS) is considered a high energy density, whereas the supercapacitor (SC) is a high power density. Therefore, hybrid FC/BS/SC is the best option to supply any variation of the load demand. The use of BS and SC also supports reducing the size of the PEM fuel cell. To enhance system stability, an energy management strategy (EMS) represents a highly needed element to accurately manage the energy sharing among FC, BS, and SC. The main target of the EMS in the hybrid FC/BS/SC is to provide the fuel economy, increase lifespan, improve the dynamic performance, and increase efficiency. To date, the EMSs for hybrid FC/BS/SC have been examined by a lot of investigators. Commonly, they can be divided into two main sections; rule-based type, and optimization-based type of energy management strategies [3]. Rule-based EMSs are difficult to reach the best power sharing. Kamel et al. [4] proposed an EMS of a DC microgrid, which is composed of photovoltaic/FC/BS/SC, based on classical proportional-integral (PI) controller, fuzzy logic controller (FLC), frequency decoupling, and state machine control. Jin et al. [5] suggested an EMS based on FLC to distribute the load demand of electric vehicle. The suggested strategy succeeded to decrease the degradation of battery by 17%. The optimization-based EMSs include the global optimization EMSs and real-time optimization EMSs. To decrease the total consumption of hydrogen in FC-based hybrid electric city buses, Li et al. [2] has suggested an equivalent consumption minimum strategy (ECMS). Optimal EMS based on sequential quadratic programming (SQP) algorithm has been proposed by Wang et al. [1] for hybrid PEM fuel cell and battery. The main finding confirmed that the suggested strategy improved both the performance and efficiency of the system. Chen et al. [6] suggested an EMS using a particle swarm optimization (PSO) algorithm. The PSO based EMS has been tested using hardware-in-the-loop. The obtained results proved that the fuel economy is enhanced.
Rullo et al. [7] presented an optimization problem with two levels for sizing and managing a hybrid system comprises wind turbine (WT) and PV. The authors considered the sizing process is the outer load, which is solved by a genetic algorithm (GA). Whereas, the inner one is for energy management strategy, which was achieved via a mixed integer linear program (MILP). Mellouk et al. [8] solved the problem of sizing and energy managing of the microgrid (MG) via a hybrid optimizer combining GA and particle swarm optimization (PSO). The considered targets were minimizing the cost of energy, maximizing the RESs penetration, covering load demand, and minimizing the system loss. Murty et al. [9] employed a multi-objective solution for energy management strategy for grid connected MG with PV, WT, FC, microturbine (MT), diesel generator (DG), and battery storage system. MILP was applied to solve this problem such that the operating cost is minimized. Rezk et al. [10] introduced a comparative study of different strategies employed in energy management of hybrid FC, battery, and supercapacitor (SC) based system. The presented strategies were the conventional and the metaheuristic-based approaches. The terms of comparison were the amount of hydrogen consumption and the approach efficiency. Fathy et al. [11] presented an emergency generating system of a hybrid system comprising FC, battery, and SC to supply an aircraft in landing state. Moreover, an energy management strategy based on a salp swarm optimizer has been presented. The considered target in that work was the hydrogen consumption minimization. Gharibeh et al. [12] presented a strategy employed in electric vehicles (EVs) to identify the consumed hydrogen, battery state of charge (SOC), and an optimal distribution of the storage system. Fathabadi [13] presented a hybrid system comprising FC, battery, and SC to supply hybrid EVs. A hybrid RESs based system for residential load has been introduced in [14], the presented system comprised PV, FC, and battery. Moreover, an energy management strategy based on the dynamic programming and the rule-base controller of the presented system has been introduced. Different evolutionary approaches like GA, PSO, and Fuzzy logic have been introduced in [15] to control and manage the energy between different RESs of a hybrid-based system. An energy management strategy based on the FLC system has been introduced in [16] to manage the power between PV, WT, and battery. Moreover, keeping the battery SOC within its acceptable limits under load variation was considered as the target. Mokhtara et al. [17] presented an approach based on the PSO for implementing the management between the demand and supply in a system comprising PV, solar, DG, and battery. Moreover, Homer software has been applied for minimizing the net present cost of the constructed system. Tawfik et al. [18] designed a hybrid power supply system comprising PV, WT, DG, and batteries with the aid of iHOGA software for water desalination purposes. Moreover, the performance of such a hybrid supply has been enhanced via incorporating an energy management strategy. Fuzzy based energy management strategy has been introduced to manage the power between PV, FC, and battery [19]. Al-Falahi et al. [20] reviewed the different methodologies that have been employed in sizing and managing the operation of a hybrid RESs based system. Recently, different hybrid metaheuristic approaches have been widely penetrated in many engineering applications with nonlinear optimization problem like the multiobjective allocating problem for reliability redundancy [21,22], GSA-GA [23], PSO-GA [24], and GA-GSA [25].
Additional methods have been reported in the field of energy management strategy of hybrid RESs. However, the diversity of employing modern metaheuristic approaches is still very limited. Moreover, most researchers employed analytical strategies that consume a large time and require excessive effort. Therefore, this work presents a recent approach of spotted hyena optimizer (SHO) as an energy management strategy for a hybrid RESs based system comprising FC, battery, and SC. Minimizing the hydrogen consumption and increasing the efficiency of the hybrid FC/BS/SC power system are the targets with considering the highly fluctuated load demands. The SHO is selected due to its ability to solve complicated nonlinear problems as a direct result of its explorative strength. Moreover, it has a simple construction and consumes less time. The obtained results are compared to the external energy maximization strategy (EEMS) and particle swarm optimization (PSO). The remaining of the paper is organized as follows: The description of the system components and different EMSs is presented in Section 2. Whereas, the results are discussed in Section 3. Lastly, the main findings and perspectives of the paper are presented in Section 4.
The considered hybrid system contains FC, BS, SC, DC converter, inverter, EMS, and load demand. Fig. 1 presents the block diagram of the hybrid FC/BS/SC system. The operation of fuel cell is achieved by converting the chemical potential energy, which is stored in the molecular bonds, into electrical energy. Fuel cell has several advantages, such as it has higher efficiency compared with diesel and gas engines that is used for transportation purposes, and it can efficiently eliminate pollution resulted from burning fossil fuels. For the hydrogen-supplied fuel cells, the water represents the only used element by the product. The hybrid FC/BS/SC has been designed to power a load demand of aircraft using the load profile as shown in Fig. 1. It includes a PEM fuel cell (PEMFC) with 10 kW electrical power. The rated voltage and current of the PEMFC are 41.15 V and 250 A, respectively. The number of cells in the FC stack is 50. The type of BS is Li-ion with rated voltage and capacity of 48 V and 40 Ah, respectively. The rated discharge current of BS is 17.4 A. The rated capacity and voltage of the SC are 15.6 F and 48.6 V, respectively. The stack of SCs contains 6 capacitors in series with a total voltage of 291.6 V. In addition, DC/DC boost converter rated at 12.5 kW electrical power is used to regulate the output voltage of the fuel cell. Also, two DC converters are utilized with BS; the first one is a 4 kW DC step-up converter, and the second one is a 1.2 kW DC step-down converter, to control the procedures of charging and discharging. To perform the DC power conversion into AC power, an inverter rated at 15 kVA, 240 V/200 V, and 400 Hz frequency is used to feed the AC load demand.

Figure 1: Block diagram of the hybrid FC/BS/SC power system
The essential role of EMS is managing and distributing the load demand among FC, BS, and SC in a certain way to reduce the consumption of hydrogen by keeping the SOC of both BS and SC inside their suitable bounds. The EEMS operation is achieved by minimizing the hydrogen consumption via maximizing the demanded share of BS and SC. The inputs to the EEMS are the SOC of BS and the voltage of the DC bus. The output includes the reference power for BS and SC charge/discharge voltage (
V). During the optimization process of EEMS, two variables have to be assessed; the BS power in addition to the charging/discharging voltage for the SC. The fitness function has to be maximized through the supplied energy by BS and SC throughout a defined period. It can be represented as follows [26]:


The following constraints must be considered:

where, PBS denotes to the power of BS, Cr denotes to the capacitance of SC,
and
are the maximum and minimum limits of the DC bus voltage, VBS denotes to the voltage of BS, and Q denotes to the rating of BS.
The original EEMS contains “fmin” function inside Matlab software. Consequently, to improve the performance of EEMS, the function “fmin” is substituted by a spotted hyena optimizer (SHO). Throughout the optimization procedure, the decision parameters are the FC power, PFC, the BS power, PBS, and the SOC of BS. The minimum and maximum boundaries of the decision parameters are nominated as,
W,
W,
W,
W, SOCmin = 60; SOCmax = 90. Fig. 2 presents the proposed optimization configuration. The SHO optimizer is fed by two inputs, which are battery SOC and the DC bus voltage (Vdc). Whereas, the outputs are the reference battery power (
) and the BS and SC charge/discharge voltage (
). The reference battery power is compared to the load demand, whereas
is compared to Vdc and its reference value. The error in the voltage is fed to the proportional-integral (PI) controller that gives the reference current for the battery converter while the error in power is converted to the reference current for the FC. The main objective of the proposed SHO is to minimize the amount of hydrogen consumption and enhance the system performance.

Figure 2: The proposed optimization configuration
The core idea of SHO is extracted from the behavior of the spotted hyenas. It simulates the relationship among the spotted hyenas, and their collaborative behavior. More information about the physical meaning and the mathematical modelling of the SHO can be found in [27]. The obtained results by SHO based EMS are compared with the original EEMS and PSO methods. The PSO represents one of the widely-employed stochastic, population-based optimization algorithms in the literature of heuristics and metaheuristics. All details about PSO are presented in [28]. Two main metrics are used as a benchmark for the comparison; the hydrogen consumption in addition to the efficiency.
The proposed SHO method differs from the other conventional and metaheuristic methodologies in its exploration phase. It has strong explorative phase, which makes it able to solve nonlinear problems with high efficiency. Moreover, it has a simple construction and consumes less time. However, SHO is still requiring some modifications to enhance its exploitation phase.
The proposed system shown in Fig. 1 is constructed in Matlab/Simulink. The specifications of the system components are given in Tab. 1. The system comprises 10 kW FC, 48 V, 40 Ah Li-ion battery bank, and six 15.6 F cells of SC with 291.6 V. The FC terminals are connected to a 12.5 kW boost converter. The battery bank terminals are connected to two converters (4 kW boost converter for charging purpose and 1.2 kW buck converter for discharging purpose). Moreover, an inverter of 15 kVA, 270/200 V, 400 Hz is used to convert DC power to AC. Furthermore, a 15 kW protecting resistor is used to prevent overcharging of storage devices. To confirm the validity of the proposed EMS based SHO, other approaches are used and compared to SHO. These approaches are the chimp optimizer (CO) [29], artificial ecosystem-based optimizer (AEO) [30], seagull optimization algorithm (SOA) [31], sooty tern optimization algorithm (STOA) [32], and coyote optimization algorithm (COA) [33]. Tab. 2 tabulates the optimal hydrogen consumption in gm obtained via the proposed SHO compared to the other methods.
Table 1: The proposed hybrid FC, battery, SC specifications

Table 2: Optimal hydrogen consumption obtained via the proposed SHO and the other methods

Referring to the results given in Tab. 2, it can be seen that the best H2 consumption is 19.2493 g, which is obtained via the proposed SHO. Whereas the COA-EMS [33] comes in the second-order with achieving 19.3778 g while the worst one is the CO with 19.6615 g.
Fig. 3 presents the time-domain response of load, FC power, battery power, and SC power using SHO based EMS. At a time of 5 s, the FC starts to recharge the BS. The main electrical source is lost at the time of 40 s. Whereas, the hybrid FC/BS/SC takes over the load demand. At this moment, the load demand is immediately fed using SC thanks to its fast dynamics, whereas the output of FC power gradually increases. When the SC is discharged below the nominal voltage of the DC bus, the BS provides the power for regulating the DC voltage and then gradually reduces its power to zero. At this moment, the FC performs the supply of the load demand and simultaneously the recharge operation of the SC. At a time of 60 s, a sudden step change is performed in the demanded load, and the SC meets the additional transient load demands, whereas the output from the FC power is gradually increased. Then, the BS discharges to control the DC voltage in addition to supporting the FC in the supply of the demanded load. When the FC gives its full rating, the additional load is supplied by the BS. If the BS gives its full rating, the SC will provide the additional load demand. At a time of 125 s, the load demand decreases under the FC rating. Due to having relatively slow responses in the FC system, the extra FC throughout the transient period is used to recharge the SC.

Figure 3: Time-domain response of the load, FC power, battery power and SC power
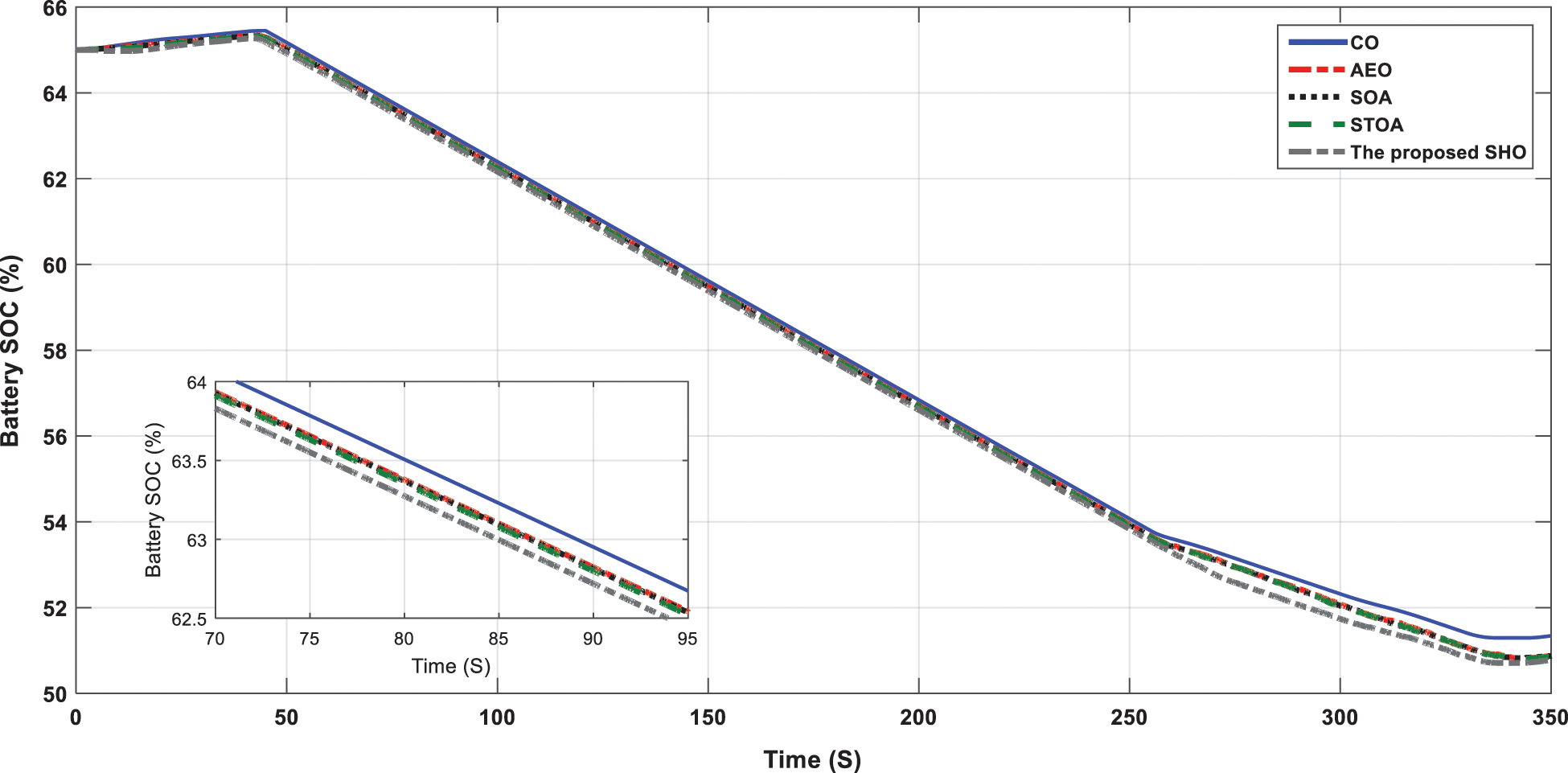
Fig. 4 presents a comparison between SHO and the other employed approaches based on the minimum consumed hydrogen. Considering this figure, it is very clear that the minimum consumed hydrogen of 19.29 g is achieved by the proposed SHO based EMS followed by the COA method (19.3778 g), while the worst value is 19.6615 g obtained via the CO method. The corresponding time-domain SOC of the battery is shown in Fig. 5. It is clear that all methods start the operation with a battery initial SOC of 65%. Whereas, at the end of operation, the minimum battery SOC of 51% is achieved by SHO based EMS. This confirms that the proposed strategy maximizes the energy consumption from battery and supercapacitor and it simultaneously minimizes the total consumed hydrogen.

Figure 4: Time-domain response for hydrogen consumption obtained via SHO and the other methods

Figure 5: Time-domain response for SOC of the battery for SHO and the other methods
Finally, the obtained results confirm the superiority and competence of the proposed SHO-based EMS in achieving the minimum H2 consumption compared to the other methods.
In this paper, a new energy management strategy based on a spotted hyena optimizer (SHO) is proposed to optimally share the demanded load among the sources of a hybrid fuel cell (FC), batteries storage (BS), and supercapacitor (SC) system. The main goal of adding BS and SC is to overcome the slow dynamic response in FC systems during the fast step changes in the load demand. To prove the superiority of SHO based EMS, the obtained results are compared with chimp optimizer (CO), artificial ecosystem-based optimizer (AEO), seagull optimization algorithm (SOA), sooty tern optimization algorithm (STOA), and coyote optimization algorithm (COA) methods. The comparison is based on the minimum hydrogen consumption and maximum efficiency. The results of the comparison proved the superiority of the proposed SHO-based EMS method. Using the proposed SHO-based EMS method decreases the hydrogen consumption by 2.096% compared with CO. The superiority and competence of the proposed SHO-EMS is confirmed via the presented analysis.
Funding Statement: This project was supported by the Deanship of Scientific Research at Prince Sattam Bin Abdulaziz University under the research project No. 2020/01/11742.
Conflicts of Interest: The authors declare that they have no conflicts of interest to report regarding the present study.
1. T. Wang, Q. Li, X. Wang, Y. Qiu, M. Liu et al. (2020). , “An optimized energy management strategy for fuel cell hybrid power system based on maximum efficiency range identification,” Journal of Power Sources, vol. 445, pp. 227333. [Google Scholar]
2. X. Li, L. Xu, J. Hua, X. Lin, J. Li et al. (2009). , “Power management strategy for vehicular-applied hybrid fuel cell/battery power system,” Journal of Power Sources, vol. 191, no. 2, pp. 542–549. [Google Scholar]
3. Y. Liu, J. Liu, Y. Zhang, Y. Wu, Z. Chen et al. (2020). , “Rule learning based energy management strategy of fuel cell hybrid vehicles considering multi-objective optimization,” Energy, vol. 207, pp. 118212. [Google Scholar]
4. A. A. Kamel, H. Rezk, N. Shehata and J. Thomas. (2019). “Energy management of a DC microgrid composed of photovoltaic/fuel cell/battery/supercapacitor systems,” Batteries, vol. 5, no. 3, pp. 63. [Google Scholar]
5. F. Jin, M. Wang and C. Hu. (2016). “A fuzzy logic based power management strategy for hybrid energy storage system in hybrid electric vehicles considering battery degradation,” in 2016 IEEE Transportation Electrification Conference and Expo, Dearborn, Michigan, USA, pp. 1–7. [Google Scholar]
6. S. Y. Chen, C. H. Wu, Y. H. Hung and C. T. Chung. (2018). “Optimal strategies of energy management integrated with transmission control for a hybrid electric vehicle using dynamic particle swarm optimization,” Energy, vol. 160, pp. 154–170. [Google Scholar]
7. P. Rullo, L. Braccia, P. Luppi, D. Zumoffen and D. Feroldi. (2019). “Integration of sizing and energy management based on economic predictive control for standalone hybrid renewable energy systems,” Renewable Energy, vol. 140, pp. 436–451. [Google Scholar]
8. L. Mellouk, M. Ghazi, A. Aaroud, M. Boulmalf, D. Benhaddou et al. (2019). , “Design and energy management optimization for hybrid renewable energy system-case study: Laayoune region,” Renewable Energy, vol. 139, pp. 621–634. [Google Scholar]
9. V. V. S. N. Murty and A. Kumar. (2020). “Multi-objective energy management in microgrids with hybrid energy sources and battery energy storage systems,” Protection and Control of Modern Power Systems, vol. 5, no. 1, pp. 1–20. [Google Scholar]
10. H. Rezk, A. M. Nassef, M. A. Abdelkareem, A. H. Alami and A. Fathy. (2019). “Comparison among various energy management strategies for reducing hydrogen consumption in a hybrid fuel cell/supercapacitor/battery system,” International Journal of Hydrogen Energy, [Google Scholar]
11. A. Fathy, H. Rezk and A. M. Nassef. (2019). “Robust hydrogen-consumption-minimization strategy based salp swarm algorithm for energy management of fuel cell/supercapacitor/batteries in highly fluctuated load condition,” Renewable Energy, vol. 139, pp. 147–160. [Google Scholar]
12. H. F. Gharibeh, A. S. Yazdankhah and M. R. Azizian. (2020). “Energy management of fuel cell electric vehicles based on working condition identification of energy storage systems, vehicle driving performance, and dynamic power factor,” Journal of Energy Storage, vol. 31, pp. 101760. [Google Scholar]
13. H. Fathabadi. (2018). “Novel fuel cell/battery/supercapacitor hybrid power source for fuel cell hybrid electric vehicles,” Energy, vol. 143, pp. 467–477. [Google Scholar]
14. M. Jafari and Z. Malekjamshidi. (2020). “Optimal energy management of a residential-based hybrid renewable energy system using rule-based real-time control and 2D dynamic programming optimization method,” Renewable Energy, vol. 146, pp. 254–266. [Google Scholar]
15. B. Jyoti Saharia, H. Brahma and N. Sarmah. (2018). “A review of algorithms for control and optimization for energy management of hybrid renewable energy systems,” Journal of Renewable and Sustainable Energy, vol. 10, no. 5, pp. 53502. [Google Scholar]
16. S. Das and A. K. Akella. (2018). “Power flow control of PV-wind-battery hybrid renewable energy systems for stand-alone application,” International Journal of Renewable Energy Research, vol. 8, no. 1, pp. 36–43. [Google Scholar]
17. C. Mokhtara, B. Negrou, A. Bouferrouk, Y. Yao, N. Settou et al. (2020). , “Integrated supply-demand energy management for optimal design of off-grid hybrid renewable energy systems for residential electrification in arid climates,” Energy Conversion and Management, vol. 221, pp. 113192. [Google Scholar]
18. T. M. Tawfik, M. A. Badr, E. Y. El-Kady and O. E. Abdellatif. (2018). “Optimization and energy management of hybrid standalone energy system: A case study,” Renewable Energy Focus, vol. 25, pp. 48–56. [Google Scholar]
19. K. Ameur, A. Hadjaissa, M. S. Ait Cheikh, A. Cheknane and N. Essounbouli. (2017). “Fuzzy energy management of hybrid renewable power system with the aim to extend component lifetime,” International Journal of Energy Research, vol. 41, no. 13, pp. 1867–1879. [Google Scholar]
20. M. D. A. Al-Falahi, S. D. G. Jayasinghe and H. Enshaei. (2017). “A review on recent size optimization methodologies for standalone solar and wind hybrid renewable energy system,” Energy Conversion and Management, vol. 143, pp. 252–274. [Google Scholar]
21. H. Garg and S. P. Sharma. (2013). “Multi-objective reliability-redundancy allocation problem using particle swarm optimization,” Computers & Industrial Engineering, vol. 64, no. 1, pp. 247–255. [Google Scholar]
22. H. Garg. (2015). “An efficient biogeography based optimization algorithm for solving reliability optimization problems,” Swarm and Evolutionary Computation, vol. 24, pp. 1–10. [Google Scholar]
23. H. Garg. (2019). “A hybrid GSA-GA algorithm for constrained optimization problems,” Information Sciences, vol. 478, pp. 499–523. [Google Scholar]
24. H. Garg. (2016). “A hybrid PSO-GA algorithm for constrained optimization problems,” Applied Mathematics and Computation, vol. 274, pp. 292–305. [Google Scholar]
25. H. Garg. (2015). “A hybrid GA-GSA algorithm for optimizing the performance of an industrial system by utilizing uncertain data,” in Handbook of Research on Artificial Intelligence Techniques and Algorithms, IGI Global, pp. 620–654. [Google Scholar]
26. S. N. Motapon, L. A. Dessaint and K. Al-Haddad. (2013). “A comparative study of energy management schemes for a fuel-cell hybrid emergency power system of more-electric aircraft,” IEEE Transactions on Industrial Electronics, vol. 61, no. 3, pp. 1320–1334. [Google Scholar]
27. G. Dhiman and V. Kumar. (2017). “Spotted hyena optimizer: A novel bio-inspired based metaheuristic technique for engineering applications,” Advances in Engineering Software, vol. 114, pp. 48–70. [Google Scholar]
28. B. S. G. de Almeida and V. C. Leite. (2019). “Particle swarm optimization: A powerful technique for solving engineering problems,” in Swarm Intelligence-Recent Advances, New Perspectives and Applications. IntechOpen. [Google Scholar]
29. M. Khishe and M. R. Mosavi. (2020). “Chimp optimization algorithm,” Expert Systems with Applications, vol. 2020, pp. 113338. [Google Scholar]
30. W. Zhao, L. Wang and Z. Zhang. (2019). “Artificial ecosystem-based optimization: A novel nature-inspired meta-heuristic algorithm,” Neural Computing and Applications, vol. 32, no. 13, pp. 9383–9425. [Google Scholar]
31. H. Jia, Z. Xing and W. Song. (2019). “A new hybrid seagull optimization algorithm for feature selection,” IEEE Access, vol. 7, pp. 49614–49631. [Google Scholar]
32. G. Dhiman and A. Kaur. (2019). “Stoa: A bio-inspired based optimization algorithm for industrial engineering problems,” Engineering Applications of Artificial Intelligence, vol. 82, pp. 148–174. [Google Scholar]
33. A. Fathy, M. Al-Dhaifallah and H. Rezk. (2019). “Recent coyote algorithm-based energy management strategy for enhancing fuel economy of hybrid FC/battery/SC system,” IEEE Access, vol. 7, pp. 179409–179419. [Google Scholar]
![]() | This work is licensed under a Creative Commons Attribution 4.0 International License, which permits unrestricted use, distribution, and reproduction in any medium, provided the original work is properly cited. |