| Computers, Materials & Continua DOI:10.32604/cmc.2022.031976 | ![]() |
| Article |
Metaheuristic with Deep Learning Enabled Biomedical Bone Age Assessment and Classification Model
1Department of Computer Science, College of Sciences and Humanities-Aflaj, Prince Sattam bin Abdulaziz University, Saudi Arabia
2Department of Industrial and Systems Engineering, College of Engineering, Princess Nourah bint Abdulrahman University, P.O. Box 84428, Riyadh, 11671, Saudi Arabia
3Department of Biomedical Engineering, College of Engineering, Princess Nourah bint Abdulrahman University, P.O. Box 84428, Riyadh, 11671, Saudi Arabia
4Department of Computer Sciences, College of Computing and Information System, Umm Al-Qura University, Saudi Arabia
5Department of Electrical Engineering, Faculty of Engineering & Technology, Future University in Egypt, New Cairo, 11845, Egypt
6Department of Information System, College of Computer Engineering and Sciences, Prince Sattam bin Abdulaziz University, AlKharj, Saudi Arabia
7Department of Computer and Self Development, Preparatory Year Deanship, Prince Sattam bin Abdulaziz University, AlKharj, Saudi Arabia
*Corresponding Author: Mesfer Al Duhayyim. Email: m.alduhayyim@psau.edu.sa
Received: 02 May 2022; Accepted: 06 June 2022
Abstract: The skeletal bone age assessment (BAA) was extremely implemented in development prediction and auxiliary analysis of medicinal issues. X-ray images of hands were detected from the estimation of bone age, whereas the ossification centers of epiphysis and carpal bones are important regions. The typical skeletal BAA approaches remove these regions for predicting the bone age, however, few of them attain suitable efficacy or accuracy. Automatic BAA techniques with deep learning (DL) methods are reached the leading efficiency on manual and typical approaches. Therefore, this study introduces an intellectual skeletal bone age assessment and classification with the use of metaheuristic with deep learning (ISBAAC-MDL) model. The presented ISBAAC-MDL technique majorly focuses on the identification of bone age prediction and classification process. To attain this, the presented ISBAAC-MDL model derives a mask Region-related Convolutional Neural Network (Mask-RCNN) with MobileNet as baseline model to extract features. Followed by, the whale optimization algorithm (WOA) is implemented for hyperparameter tuning of the MobileNet method. At last, Deep Feed-Forward Module (DFFM) based age prediction and Radial Basis Function Neural Network (RBFNN) based stage classification approach is utilized. The experimental evaluation of the ISBAAC-MDL model is tested using benchmark dataset and the outcomes are assessed over distinct factors. The experimental outcomes reported the better performances of the ISBAAC-MDL model over recent approaches with maximum accuracy of 0.9920.
Keywords: Biomedical images; bone age assessment; age prediction; computer vision; deep learning; image classification
The progression in healthcare technologies presents highly effective e-health care structures to the healthcare sector benefitting the medical specialists for good medications for patients. E-health care structures has been helpful in numerous medicinal fields [1]. But many computer visualization related biomedical imaging applications obtained high significance due to such applications offering detectable info to the radiotherapists for superior medication. Skeletal bone age assessment (BAA) is an algorithm which can be utilized for therapeutic inquiry and analytic of endocrinology difficulties like children’s growth and genetic disorders, in the domain of pediatric radiology [2]. The BAA methodology is usually accomplished by radiological scrutiny of the left hand, because the peculiar character of bone ossification levels of the non-dominant hand, and after which comparison done with chronological ages. In reality, the radiotherapists usually adjust the bone age through witnessing the X-ray pictures of the non-dominant hand of subject [3,4]. They get more interest in the adulthood extent of the wrist bones, metacarpal bones, and the lowest termination of the ulna for predicting skeletal bone age which has been extensively termed as the regions of interest (RoIs) in BAA methods. Even though labor-intensive methodologies were widely implied in medical training, these old methodologies mostly depend on the radiologist’s experience, that leads to the truth that the proficiency could not be ensured and the analysis outcome differs every time among distinct radiotherapists [5].
Many image processing systems were utilized for BAA [6]. Separation is the first and foremost stage in image processing application areas which abstract the ROIs from diverse image modes namely MRI, X-rays, and CT scans [7]. Segmentation of ROIs is regarded as significant job for BAA. X-ray and MRI has different characteristics which have been employed for BAA which adds structure tensor eigenvalues, local histograms, and image textures [8]. Deep learning (DL) has grabbed more interest in medical imaging difficulties. Lately, encouraged by the triumph of deep convolutional neural network system (DCNN) in image categorization [9], research works in medical imaging were exploring these approaches. DL-related methodologies permit neglecting feature engineering through mechanically studying the order of discriminate features right from a set of drill information. DCNN was effectively used in the BAA [10]. These methodologies suggest an endwise learning architectures to guesstimate bone age by employing DCNN.
In [11], the researchers presented a DL based technique to BAA with integration of Tanner-Whitehouse (TW3) approaches and deep convolutional network system dependent upon extracting regions of interest (ROI) recognition and classifier employing Faster-RCNN and Inception-v4 network correspondingly. The presented approach permits the investigation of expert data in the TW3 and feature engineering in deep convolutional network for enhancing the accuracy of BAA. Son et al. [12] presented a whole end-to-end BAA technique for automating the total procedure of TW3 approach, beginning from localization of epiphysis metaphysis development areas in 13 distinct bones and finishing with estimate of equivalent BA. The particular alterations to CNNs and other phases were presented for improving outcomes. Also, the annotated databases of 3300 X-ray images was constructed for training and evaluating the method.
Tong et al. [13] progress a deep automated skeletal BAA method dependent upon CNNs and support vector regression (SVR) utilizing multiple kernel learning (MKL) technique for processing heterogeneous structures. In [14], the authors assumed that important region and present a novel deep automated skeletal BAA technique using region-related CNN (R-CNN). The Faster R-CNN (Faster R-CNN) technique was executed in object detection for bone age regression to identify the ossification centers of epiphysis and carpal bone and estimate bone age. The presented technique overcomes the restriction of other CNN related techniques, obtaining large-scale original X-ray images as input. In [15–19], the authors presented a novel DL based techniques for improving the BAA trained from both training and pre-training structures. In the pre training structure, it can be presented a structure utilizing a novel distance metric of cosine distance from the structure of optimum carrying for data augmentation (CNN-GAN-OTD). During the training structure, it can be discovered the procedure of bone age and gender label data, semi-supervised and supervised training.
This article introduces an intellectual skeletal bone age assessment and classification with the help of metaheuristic with deep learning (ISBAAC-MDL) approach. The presented ISBAAC-MDL technique derives a mask Region-related Convolutional Neural Network (Mask-RCNN) with MobileNet as baseline model to extract features. Followed by, the whale optimization algorithm (WOA) was implemented for hyperparameter tuning of the MobileNet model. At last, Deep Feed-Forward Module (DFFM) based age prediction and Radial Basis Function Neural Network (RBFNN) based stage classification technique is utilized. The experimental evaluation of the ISBAAC-MDL model is tested using benchmark dataset and the outcomes are assessed over distinct prospects.
The rest of the paper is organized as follows. Section 2 offers the proposed model and the Section 3 provides the experimental validation. Lastly, Section 4 concludes the work.
In this article, a novel ISBAAC-MDL method was enhanced for the effective bone age prediction and classification process. Initially, the Mask-RCNN with MobileNet as baseline model is utilized to extract features. Then, the WOA was implemented for hyperparameter tuning of the MobileNet technique. Next, the DFFM based age prediction and RBFNN based stage classification model is utilized.
2.1 Module I: Feature Extraction Process
Primarily, the Mask-RCNN with MobileNet as baseline model is utilized to extract features. In the Mask R-CNN is an effectual DL framework that combines the semantic segmentation and object detection procedure. It mostly contains 2 levels of functions such as generating region proposals and categorizing every generated proposal [20]. An input X-ray image was primarily got into a convolutional networks termed a backbone networks and its influence obtain varies dependent upon the needed trade-off amongst the efficiency, trained speed, and restricted due to the computation power. During the Mask R-CNN method, the MobileNet structure was utilized as the baseline method. MobileNet is a CNN based methodology that can be extensively used for the classification mechanism. The great benefits of the use of MobileNet model are that they need lower computation power compared to the standard CNN technique, making them fit to operate with mobile gadgets and the computer that operates with less computation capability. The MobileNet was considered as a fundamental architecture that incorporates convolution layers that are applied in discriminating the information on the basis of two controllable characteristics that switches among the parameter’s latency and accuracy. The MobileNet architecture is benefited in minimizing the size of the network [21]. MobileNet architecture is effective correspondingly with an insignificant quantity of features, namely Palmprint Detection. The difficulty of

Figure 1: Process of Mask RCNN Model
Where filter is of size is represented as
The value of resolution multipliers known as
The proposed methodology combines the pointwise and depthwise convolution are constrained by the reduction variable represented as
The two hyper features, such as the resolution and width multipliers help to modify the optimal size window for predicting accurately. The third values recommend that it has three input networks. The given architecture comprises the filter size is
The principle under the MobileNet framework replaces complex convolutional layer in which every single layer involves a convolutional layers of size
2.2 Module II: Hyperparameter Optimization
At this stage, the WOA was implemented for hyperparameter tuning [22–24] of the MobileNet system. The WOA has been executed. Firstly, an initialization process takes place. In the neighboring prey method, the humpback whales are distinguished that the position of prey and surrounded them [25]. For uncertain locations in the searching region, the present optimal outcome was considered by prey. When tan optimal search agent was defined, another searching space revives the criteria in the optimal searching region.
In Eq. (4),
According to the fitness value of the abovementioned iterations, the “
In Eq. (5),
The spiral process was implemented among the location of whale and prey to imitate the helix-framed growth of humpback whale that is represented by following equation:
It has been noted that the humpback whale swims through the prey in the contracting circle and winding molded methodology.
In order to illustrate the synchronous efficacy, the probability of fifty percentage has forecasted for choosing the constricting spiral and enclosed system for refreshing the whale condition. It can be mathematically formulated in the subsequent equation:
In which
Therefore, the uninformed distributed random number was applied essentially on 1 or under
2.3 Module III: DFFM Based Age Prediction
In this study, the DFFM model receives the features and performs effective age prediction process [26]. In fully connected (FC) model, the neuron receives certain input, implements dot products, and utilizes non-linear functions namely ReLU, Tanh, Parametric ReLU, Sigmoid, Leaky ReLU, etc., allowing a model to create complex mapping among input and output of the networks. This is significant for datasets with higher dimensionality. All the neurons make use of a non-linear activation and the final layer makes use of softmax layer. During forward pass, a series of processes which convert input to output is implemented. Activation function is utilized for presenting nonlinear into the network and learning complex functions. The backward pass is utilized when a wrong output is obtained. In backpropagation, error gradient concerns neuron weight and bias are evaluated. Cross-entropy or
The
DFFM could be trained fast when compared to SRBMM. Thus, a deep network having twelve hidden layer is utilized. We utilize BN with batch size of 10000 rather than a dropout method for getting accurate outcomes and the gradient of complete data would have a stable estimation. The batch size changes the learning speed and doesn’t affect the quality of learning. Also, In order to prevent this algorithm from memorizing the attack, earlier stopping is utilized. We employ the 0.01 value as the learning rate; selecting a small value might result in long training time and high value makes the training not stable. Adam optimization algorithm was regarded as an extension of stochastic gradient descent utilized to update the network weight, this model is very efficient when compared to RMSProp or AdaGrad. Cross entropy is utilized in multiple class scenarios. Fig. 2 illustrates the framework of DFFM.

Figure 2: Structure of DFFM
2.4 Module IV: RBFNN Based Stage Classification
At the same time, the RBFNN model is utilized for effective stage classification process. The RBFNN [27] is a multiple layer forward network that can able to approximate non-linear operation and avoid plunging into local minimal. Typically, the RBFNN comprises input and hidden layers with a linear output layer, and nonlinear RBF activation function. The input of RBFNN is a traffic vector dataset that is modeled by:
In Eq. (12),
In Eq. (13)
In Eq. (14),
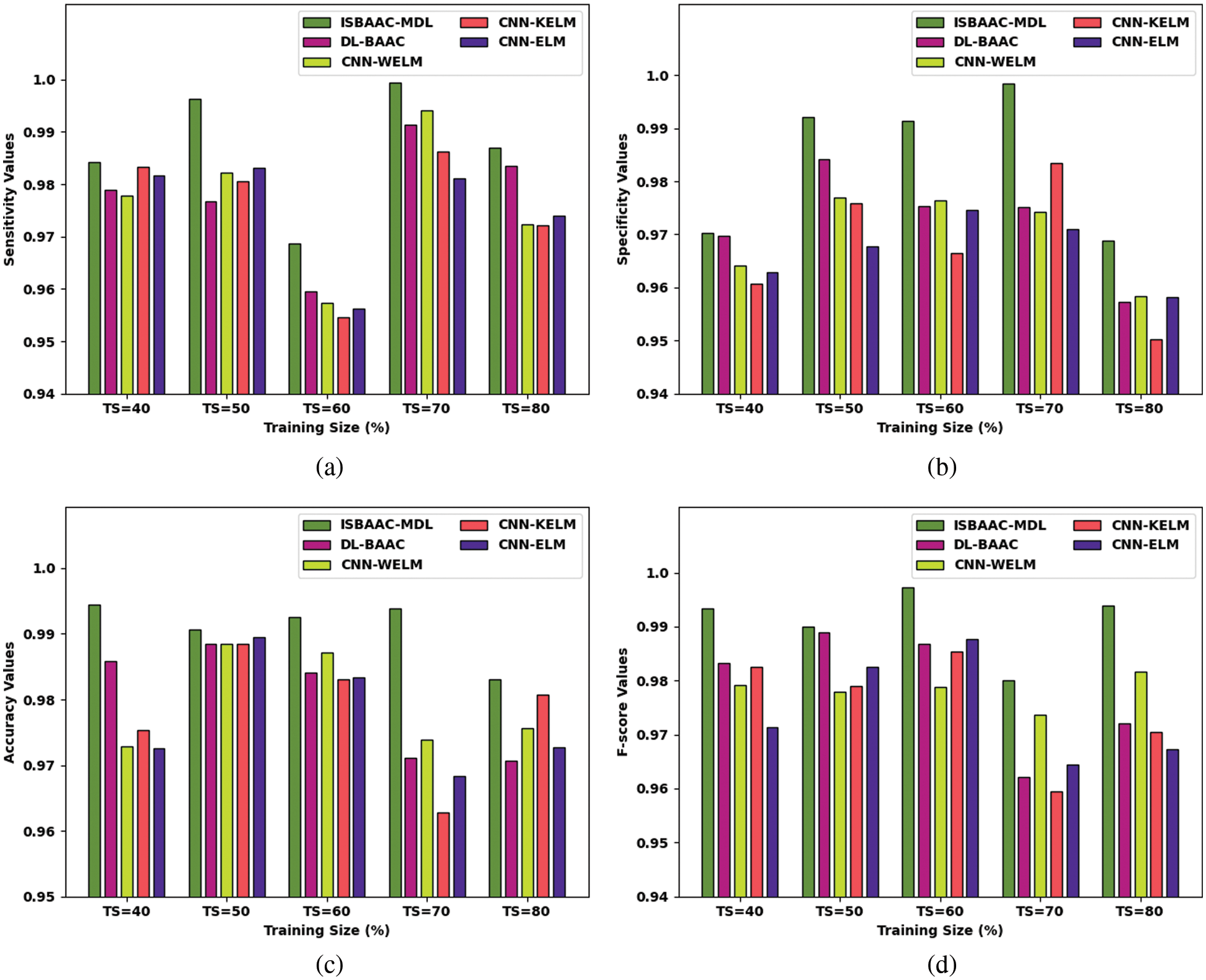
The performance validation of the ISBAAC-MDL technique is tested with existing models under distinct sizes of training size (TS) data and cross-validation (CV). A few sample images are illustrated in Fig. 3, Tab. 1 and Fig. 4 provide detailed maturity stage classification outcomes of the ISBAAC-MDL model with recent models under varying sizes of TS. The results indicated that the ISBAAC-MDL model has obtained effectual outcomes with maximum classification results under all TSs. For instance, with TS = 40%, the ISBAAC-MDL model has accomplished higher

Figure 3: Sample bone images


Figure 4: Result analysis of ISBAAC-MDL technique under distinct TS (a)
Fig. 5 reports an average classifier outcome of the ISBAAC-MDL model with recent models. The figure inferred the enhanced performance of the ISBAAC-MDL model over other models. Concerning

Figure 5: Average analysis of ISBAAC-MDL technique under distinct TS (a)
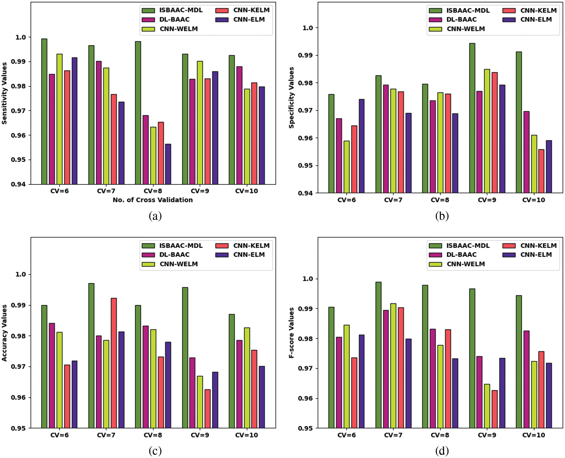
Tab. 2 and Fig. 6 present detailed maturity stage classification results of the ISBAAC-MDL model with current methods under varying sizes of CV. The outcomes indicated that the ISBAAC-MDL model has gained effectual outcomes with maximum classification results under all CVs. For example, with CV = 6, the ISBAAC-MDL model has accomplished higher


Figure 6: Result analysis of ISBAAC-MDL technique under distinct CV (a)
Fig. 7 reports average classifier outcomes of the ISBAAC-MDL method with recent models. The figure inferred the enhanced performance of the ISBAAC-MDL model over other models. In relation

Figure 7: Average analysis of ISBAAC-MDL technique under distinct CV (a)
Fig. 8 highlights an extensive mean absolute error (MAE) inspection of the ISBAAC-MDL model on the bone age estimation process [28]. The figure shows that the CNN-ELM, BONet, Fine-Tuned GoogLeNet, Fine-Tuned OxfordNet, and CNN-GP models have obtained poor performance with MAE of 0.826, 0.859, 0.886, 0.892, and 0.806 respectively. Followed by, the CNN-KELM and CNN-TW3 approaches have reached slightly reduced MAE of 0.759 and 0.659 respectively. Though the DL-BAAC model has accomplished reasonable MAE of 0.348, the presented ISBAAC-MDL model has gained effectual outcome with minimal MAE of 0.311. Thus, the presented ISBAAC-MDL model has shown superior results over the other models.

Figure 8: MAE analysis of ISBAAC-MDL technique with existing algorithms
In this article, a new ISBAAC-MDL method was advanced for the effective bone age prediction and classification process. Initially, the Mask-RCNN with MobileNet as baseline model is utilized to extract features. Then, the WOA was implemented for hyperparameter tuning of the MobileNet model. Next, the DFFM based age prediction and RBFNN based stage classification model is utilized. The experimental evaluation of the ISBAAC-MDL model is tested using benchmark dataset and the outcomes are assessed over distinct prospects. The experimental outcomes reported the better performances of the ISBAAC-MDL model over recent approaches. Thus, the ISBAAC-MDL model can be exploited for effective BAA in real time. In future, deep instance segmentation models might be involved to foster the overall efficiency of the ISBAAC-MDL model.
Funding Statement: Princess Nourah bint Abdulrahman University Researchers Supporting Project number (PNURSP2022R151), Princess Nourah bint Abdulrahman University, Riyadh, Saudi Arabia. The authors would like to thank the Deanship of Scientific Research at Umm Al-Qura University for supporting this work by Grant Code: (22UQU4310373DSR17).
Conflicts of Interest: The authors declare that they have no conflicts of interest to report regarding the present study.
1. M. W. Nadeem, H. G. Goh, A. Ali, M. Hussain, M. A. Khan et al., “Bone age assessment empowered with deep learning: A survey, open research challenges and future directions,” Diagnostics, vol. 10, no. 10, pp. 781, 2020. [Google Scholar]
2. S. Deshmukh and A. Khaparde, “Faster region-convolutional neural network oriented feature learning with optimal trained recurrent neural network for bone age assessment for pediatrics,” Biomedical Signal Processing and Control, vol. 71, no. 12, pp. 103016, 2022. [Google Scholar]
3. V. I. Iglovikov, A. Rakhlin, A. A. Kalinin and A. A. Shvets, “Paediatric bone age assessment using deep convolutional neural networks,” in Int. Workshop on Deep Learning in Medical Image Analysis, Int. Workshop on Multimodal Learning for Clinical Decision Support, DLMIA 2018, ML-CDS 2018: Deep Learning in Medical Image Analysis and Multimodal Learning for Clinical Decision Support, Lecture Notes in Computer Science book series, Springer, Cham, vol. 11045, pp. 300–308, 2018. [Google Scholar]
4. J. H. Lee and K. G. Kim, “Applying deep learning in medical images: The case of bone age estimation,” Healthcare Informatics Research, vol. 24, no. 1, pp. 86, 2018. [Google Scholar]
5. S. Wang, Y. Shen, D. Zeng and Y. Hu, “Bone age assessment using convolutional neural networks,” in 2018 Int. Conf. on Artificial Intelligence and Big Data (ICAIBD), Chengdu, China, pp. 175–178, 2018. [Google Scholar]
6. S. Deshmukh and A. Khaparde, “Multi-objective segmentation approach for bone age assessment using parameter tuning-based U-net architecture,” Multimedia Tools and Applications, vol. 81, no. 5, pp. 6755–6800, 2022. [Google Scholar]
7. C. Zhao, J. Han, Y. Jia, L. Fan and F. Gou, “Versatile framework for medical image processing and analysis with application to automatic bone age assessment,” Journal of Electrical and Computer Engineering, vol. 2018, pp. 1–13, 2018. [Google Scholar]
8. K. Mao, W. Lu, K. Wu, J. Mao and G. Dai, “Bone age assessment method based on fine-grained image classification using multiple regions of interest,” Systems Science & Control Engineering, vol. 10, no. 1, pp. 15–23, 2022. [Google Scholar]
9. S. Mutasa, P. D. Chang, C. R. Shapiro and R. Ayyala, “MABAL: A novel deep-learning architecture for machine-assisted bone age labeling,” Journal of Digital Imaging, vol. 31, no. 4, pp. 513–519, 2018. [Google Scholar]
10. B. D. Lee and M. S. Lee, “Automated bone age assessment using artificial intelligence: The future of bone age assessment,” Korean Journal of Radiology, vol. 22, no. 5, pp. 792, 2021. [Google Scholar]
11. T. D. Bui, J. J. Lee and J. Shin, “Incorporated region detection and classification using deep convolutional networks for bone age assessment,” Artificial Intelligence in Medicine, vol. 97, no. 1, pp. 1–8, 2019. [Google Scholar]
12. S. J. Son, Y. Song, N. Kim, Y. Do, N. Kwak et al., “TW3-based fully automated bone age assessment system using deep neural networks,” IEEE Access, vol. 7, pp. 33346–33358, 2019. [Google Scholar]
13. C. Tong, B. Liang, J. Li and Z. Zheng, “A deep automated skeletal bone age assessment model with heterogeneous features learning,” Journal of Medical Systems, vol. 42, no. 12, pp. 249, 2018. [Google Scholar]
14. B. Liang, Y. Zhai, C. Tong, J. Zhao, J. Li et al., “A deep automated skeletal bone age assessment model via region-based convolutional neural network,” Future Generation Computer Systems, vol. 98, no. 3, pp. 54–59, 2019. [Google Scholar]
15. L. Su, X. Fu and Q. Hu, “Generative adversarial network based data augmentation and gender-last training strategy with application to bone age assessment,” Computer Methods and Programs in Biomedicine, vol. 212, no. 5, pp. 106456, 2021. [Google Scholar]
16. A. S. Almasoud, S. B. H. Hassine, F. N. A. Wesabi, M. K. Nour, A. M. Hilal et al., “Automated multi-document biomedical text summarization using deep learning model,” Computers, Materials & Continua, vol. 71, no. 3, pp. 5799–5815, 2022. [Google Scholar]
17. R. Poonia, M. Gupta, I. Abunadi, A. Albraikan, F. Al-Wesabi et al., “Intelligent diagnostic prediction and classification models for detection of kidney disease,” Healthcare, vol. 10, no. 2, pp. 371, 2022. [Google Scholar]
18. A. A. Malibari, R. Alshahrani, F. N. Al-Wesabi, S. B. Haj Hassine, M. A. Alkhonaini et al., “Artificial intelligence based prostate cancer classification model using biomedical images,” Computers, Materials & Continua, vol. 72, no. 2, pp. 3799–3813, 2022. [Google Scholar]
19. A. A. Malibari, F. N. Al-Wesabi, M. Obayya, M. Alkhonaini, M. A. Hamza et al., “Arithmetic optimization with Retinanet model for motor imagery classification on brain computer interface,” Journal of Healthcare Engineering, vol. 2022, no. 1, pp. 1–11, 2022. [Google Scholar]
20. T. Palaniswamy, “Hyperparameter optimization based deep convolution neural network model for automated bone age assessment and classification,” Displays, vol. 73, no. 1, pp. 102206, 2022. [Google Scholar]
21. P. N. Srinivasu, J. G. SivaSai, M. F. Ijaz, A. K. Bhoi, W. Kim et al., “Classification of skin disease using deep learning neural networks with MobileNet V2 and LSTM,” Sensors, vol. 21, no. 8, pp. 2852, 2021. [Google Scholar]
22. K. Shankar, E. Perumal, M. Elhoseny, F. Taher, B. B. Gupta et al., “Synergic deep learning for smart health diagnosis of covid-19 for connected living and smart cities,” ACM Transactions on Internet Technology, vol. 22, no. 3, pp. 1–14, 2022. [Google Scholar]
23. R. Gopi, P. Muthusamy, P. Suresh, C. G. G. S. Kumar, I. V. Pustokhina et al., “Optimal confidential mechanisms in smart city healthcare,” Computers, Materials & Continua, vol. 70, no. 3, pp. 4883–4896, 2022. [Google Scholar]
24. D. A. Pustokhin, I. V. Pustokhina, P. Rani, V. Kansal, M. Elhoseny et al., “Optimal deep learning approaches and healthcare big data analytics for mobile networks toward 5G,” Computers & Electrical Engineering, vol. 95, no. 11, pp. 1–14, 2021. [Google Scholar]
25. S. Chakraborty, A. K. Saha, S. Sharma, S. Mirjalili and R. Chakraborty, “A novel enhanced whale optimization algorithm for global optimization,” Computers & Industrial Engineering, vol. 153, no. 5, pp. 107086, 2021. [Google Scholar]
26. R. Atefinia and M. Ahmadi, “Network intrusion detection using multi-architectural modular deep neural network,” The Journal of Supercomputing, vol. 77, no. 4, pp. 3571–3593, 2021. [Google Scholar]
27. C. She, Z. Wang, F. Sun, P. Liu and L. Zhang, “Battery aging assessment for real-world electric buses based on incremental capacity analysis and radial basis function neural network,” IEEE Transactions on Industrial Informatics, vol. 16, no. 5, pp. 3345–3354, 2020. [Google Scholar]
28. C. Spampinato, S. Palazzo, D. Giordano, M. Aldinucci and R. Leonardi, “Deep learning for automated skeletal bone age assessment in X-ray images,” Medical Image Analysis, vol. 36, pp. 41–51, 2017. [Google Scholar]
![]() | This work is licensed under a Creative Commons Attribution 4.0 International License, which permits unrestricted use, distribution, and reproduction in any medium, provided the original work is properly cited. |