| Computer Systems Science & Engineering DOI:10.32604/csse.2021.015146 | ![]() |
| Article |
A New Generalized Weibull Model: Classical and Bayesian Estimation
1School of Statistics, Shanxi University of Finance and Economics, Taiyuan, China
2Department of Statistics, Yazd University, Yazd, Iran
3Department of Statistics, Faculty of Sciences, Vali-e-Asr University of Rafsanjan, Rafsanjan, Iran
*Corresponding Author: Zubair Ahmad. Email: z.ferry21@gmail.com
Received: 08 November 2020; Accepted: 27 December 2020
Abstract: Statistical distributions play a prominent role in applied sciences, particularly in biomedical sciences. The medical data sets are generally skewed to the right, and skewed distributions can be used quite effectively to model such kind of data sets. In the present study, therefore, we propose a new family of distributions suitable for modeling right-skewed medical data sets. The proposed family may be called a new generalized-X family. A special sub-model of the proposed family called a new generalized-Weibull distribution is discussed in detail. The maximum likelihood estimators of the model parameters are obtained. A brief Monte Carlo simulation study is conducted to evaluate the performance of these estimators. Finally, the proposed model is applied to the remission times of the stomach cancer patient’s data. The comparison of the goodness of fit results of the proposed model is made with the other competing models such as Weibull, Kumaraswamy Weibull, and exponentiated Weibull distributions. Certain analytical measures such as Akaike information criterion, Bayesian information criterion, Anderson Darling statistic, and Kolmogorov–Smirnov test statistic are considered to show which distribution provides the best fit to data. Based on these measures, it is showed that the proposed distribution is a reasonable candidate for modeling data in medical sciences and other related fields.
Keywords: Weibull distribution; stomach cancer; hazard function; statistical modeling; akaike information criterion
In medical situations, for example, neck cancer, bladder cancer, stomach cancer, and breast cancer, etc., the hazard rate is shown to have unimodal or modified unimodal shape. The hazard rate for neck, bladder, and breast cancer recurrence after surgical removal has been observed to have unimodal shape. In the very initial phase, the hazard rate for cancer recurrence begins with a low level and then increases gradually after a finite period of time after the surgical removal until reaching a peak before decreasing. Another example of the unimodal shape is the hazard of infection with some new viruses, where it increases in the early stages from a low level till it reaches a peak and then decreases; see Liao et al. [1].
The parametric methods such as the exponential, Rayleigh, Weibull, lognormal and gamma distributions have been extensively used in fitting bio-medical data; see Zhu et al. [2]. The researchers in medical sciences have shown a great interest in studying the survival of patients, particularly, patients with cancer [3]. An appropriate parametric model is always of interest in survival analysis, as it provides a concise description of the characteristics of failure times as well as hazard function that may not be available with non-parametric methods [4]. The parametric Weibull is a more flexible distribution than the Cox semi-parametric model, since; the associated hazard rate is not constant over time.
No doubt, that the parametric models stated above are used frequently in survival analysis. However, unfortunately, still, these models are subject to some sort of deficiencies; see Ahmad et al. [5]. For more information, we refer to [6–11]. The next section offers a brief description of the deficiencies associated with the former parametric models.
2 Problems Associated with the Former Models
As we mentioned earlier, that the exponential, Rayleigh, and Weibull are the most frequently used distributions among the parametric models. These distributions, however, are not flexible enough to counter complex forms of the data. For example, the exponential distribution is capable of modeling data with a constant hazard rate function (hrf), only. The hrf of the exponential distribution is given by
which is constant.
On the other hand, the Rayleigh distribution offers data modeling with only increasing hrf. Let
From Eq. (2), we can see that the Rayleigh distribution is capable of modeling real-life data with increasing hrf, only.
Among the parametric models, the Weibull distribution is one of the most commonly used family for modeling such data offering the characteristics of both the exponential and Rayleigh distributions is given by
From Eq. (3), we can easily observe that the Weibull distribution is capable of modeling lifetime data with monotonically increasing, constant, and decreasing hazard functions, depending on the shape parameter

Figure 1: Plots of hazard rate function of the Weibull distribution
Among the available literature, the frequently used Kaplan–Meier product-limit estimator is one of the flexible methods to model survival data. But, as observed in Miller [12], this method is often inefficient. Other semi-parameter approaches such as proportional hazards modeling need many assumptions that may not feasible; see Cox et al. [13]. Meanwhile, a number of parametric approaches have been introduced to incorporate a wide variety of patterns in survival data. Some proposed parametric models have incorporated a shape parameter into the classic Weibull distribution to account for additional possible hazard shapes. Among them, one such method is proposed by Kalbfleisch et al. [14], this model may be impractical in the presence of censored data, as it often requires the evaluation of an incomplete gamma integral or beta ratio. In the premises of the above, the medical researchers are always in search of introducing new distributions capable of modeling lifetime data with unimodal hazard function. In this regard, a serious attempt has been made and still growing rapidly; see Ahmad et al. [15].
Under these premises, we are motivated to propose new families of distributions. Therefore, in this article, an attempt has been made to propose a new family of distributions to provide the best fit to data in medical sciences and other related fields.
The paper is outlined as follows: the proposed method is presented in Section 3. In Section 4, we define a special sub-model of the proposed family. The maximum likelihood estimation of the model parameters is addressed in Section 5. The source and nature of the data are discussed in Section 6. Model selection criteria are presented in Section 7. In Section 8, we provide a real-life application from medical sciences to illustrate the importance of the new family. Section 9 is devoted to the Bayesian analysis of the data. Finally, some concluding remarks are presented in Section 10.
3 Development of the Proposed Method
Let
•
•
•
The cdf of the T-X family of distributions; see Alzaatreh et al. [16] is defined by
where,
Using the T-X family idea, several new classes of distributions have been introduced in the literature. Now, we introduce the proposed family. Let
The density function corresponding to Eq. (5) is
If
The density function corresponding to Eq. (7) is
The key motivations for using the NG-X distributions in practice are the following:
• A very simple and convenient method to modify the existing distributions.
• To improve the characteristics and flexibility of the existing distributions.
• To introduce the extended version of the baseline distribution having closed form of distribution function.
• To provide the best fit to data in the medical sciences and other related fields.
• Another most important motivation of the proposed approach is to introduce new distributions by adding only one additional parameter rather than adding two or more parameters.
In this section, we introduce a special sub-model of the proposed family, called a new generalized Weibull (NG-W) distribution. Let
The pdf and hrf of the NG-W model are given, respectively, by
and
For different values of the model parameters, plots of the density function of the NG-W distribution are sketched in Fig. 2.

Figure 2: Different plots for the density function of the NG-W distribution
The plots for the hrf of the NG-W distribution are presented in Figs. 3 and 4.

Figure 3: Increasing and decreasing hazard functions of the NG-W distribution

Figure 4: Unimodal hrf of the NG-W distribution
5 Maximum Likelihood Estimation
Here, we obtain the maximum likelihood estimators (MLEs) of the model parameters of the
The log-likelihood function can be maximized either directly or by solving the nonlinear likelihood function obtained by differentiating Eq. (11). We used the goodness of fit function in R with “Nelder-Mead” algorithm to obtain the MLEs. The first order partial derivatives of Eq. (11) with respect to the parameters are given, respectively, by
and
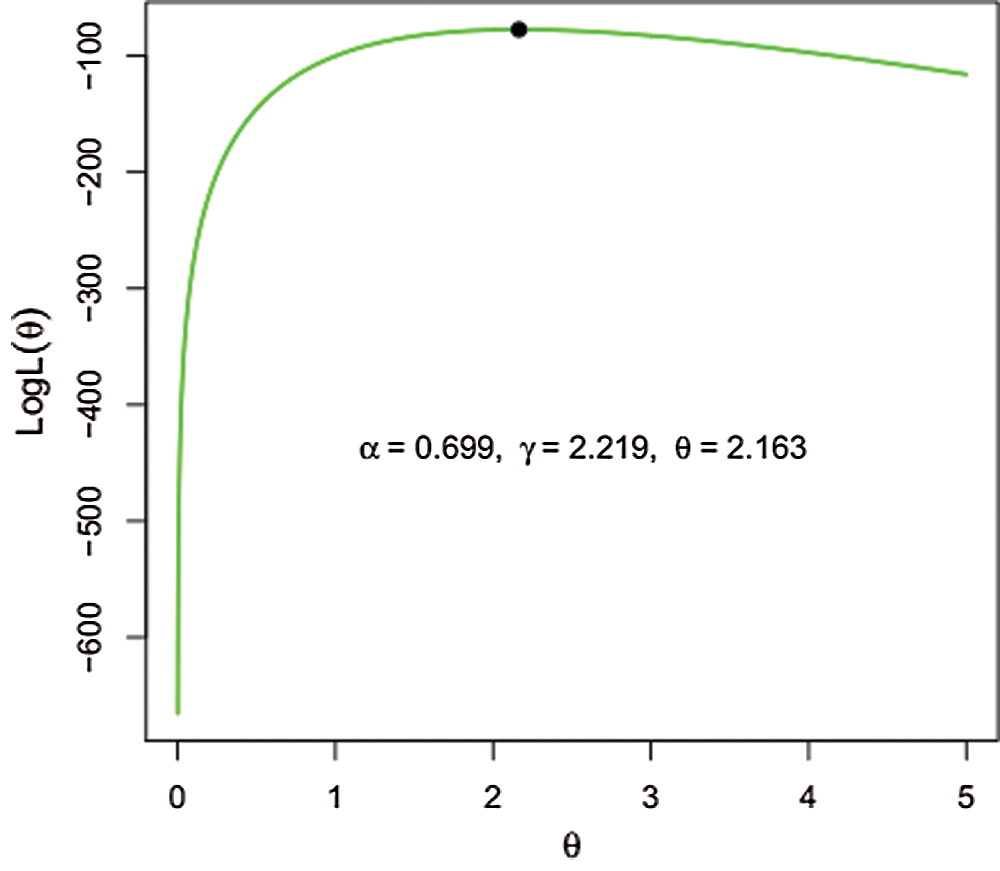
Setting
With the objective of showing the likelihood equations have a unique solution in the parameters; we sketched the profile log-likelihood functions of the parameters of NG-W distribution for the stomach cancer data. Figs. 5 and 6, confirm the uniqueness in the support of the parameters of the proposed model.

Figure 5: The log-likelihood as a function of

Figure 6: The log-likelihood as a function of
6 Data Source and its Graphical Representation
The data set used in this study is representing the remission times of stomach cancer patients released by Cancer Research Foundation. These remission times and are used here only for illustrative purposes. The descriptive measures of the data are presented in Tab. 1.
Table 1: Descriptive measures of the stomach cancer patient’s data

The Kaplan–Meier survival plot of the data is sketched in Fig. 7.

Figure 7: The Kaplan–Meier survival plot of the stomach cancer patient’s data
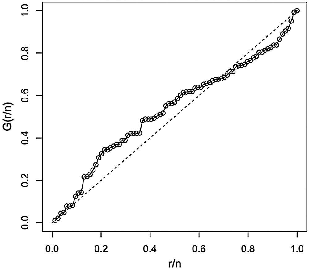
From Fig. 7, it is clear, that the more time passes the more chance of survival decreases. The total time test (TTT) plot is an important graphical approach to check whether the data can be applied to a particular distribution or not. The TTT plot is used to check the behavior of the data to see whether the data has a monotonic or non-monotonic failure rate function. The hrf is said to be
• Constant, if the TTT plot is graphically presented as a straight diagonal.
• Increasing, if the TTT plot is concave.
• Decreasing, if the TTT plot is convex.
• U-shaped if the TTT plot is convex and then concave,
• Unimodal, if the TTT plot is concave and then convex.
For further detail, we refer the interested readers to Aarset [17]. The TTT plot presented in Fig. 8, indicating that the bladder cancer data has a unimodal shaped failure rate.

Figure 8: The TTT plot of the stomach cancer patient’s data
Model selection is one of the fundamental tasks of scientific inquiry to choose a statistical model from a group of candidate models. A number of statistical procedures are available to decide about the goodness of fit among the competing distributions. The most commonly used criteria are the (i) Akaike information criterion (AIC), (ii) Bayesian information criterion (BIC), (iii) Anderson Darling (AD) test statistic and (iv) Kolmogorov Simonrove (KS) test statistic with the corresponding p-value. A model with the lowest values for these statistics could be chosen as the best model to fit the data.
8 Application of the NG-W Model to the Stomach Cancer Data
In this section, we provide data analysis of the stomach cancer patient’s data to illustrate the NG-W model. We fit the proposed model to this data, and the comparison is made with the Weibull, Kumaraswamy–Weibull (Ku-W), and exponentiated Weibull (EW) models.
For the stomach cancer data, the MLEs with standard errors of the competing models are provided in Tab. 2. Whereas, values of the AIC, BIC, AD and KS statistics with p-values are presented in Tab. 3. From the results provided in Tab. 3, it is clear that the NG-W model could be chosen as the best model among the fitted models since the proposed model has the lowest values of the AIC, BIC, AD and KS. The analysis is performed via the optim() R-function with the argument method = “BFGS”.
Table 2: Estimated values with standard error (in parentheses) of the competing models

Table 3: Goodness of fit measures of the competing models

The plot of the distribution function of the NG-W distribution is displayed in Fig. 9. The plot sketched in Fig. 9, reveal that the NG-W model closely fits the stomach cancer patient’s data.

Figure 9: The fitted cdf for the stomach cancer data
Bayesian inference procedures have been taken into consideration by many statistical re- searchers, especially researchers in the field of survival analysis and reliability engineering. In this section, a complete sample data is analyzed through Bayesian point of view. We assume that the parameters α, γ and θ of NG-W distribution have independent prior distributions as
where
In the Bayesian estimation, the actual value of the parameter may be adversely affected by the loss when choosing an estimator. This loss can be measured by a function of the parameter and the corresponding estimator. Five well-known loss functions and associated Bayesian estimators and corresponding posterior risk are presented in Tab. 4.
Table 4: Bayes estimator and posterior risk under different loss functions

Next, we provide the posterior probability distribution for a complete data set. We define the function
The joint posterior distribution in terms of a given likelihood function L(data) and joint prior distribution
Hence, we get the joint posterior density of parameters
where K is given as
It is clear from Eq. (17) that there is no closed form for the Bayesian estimators under the five loss functions described in Tab. 4, so we suggest using a MCMC procedure based on 10000 replicates to compute Bayesian estimators. The corresponding Bayesian estimates and posterior risk are provided in Tab. 5. The 95% credible and HPD intervals for each parameter of the NG-W distribution are provided in Tab. 6. The posterior samples extracted by using the Gibbs sampling technique. Moreover, we provide the posterior summary plots in Figs. 10 and 11. These plots confirm that the sampling process is of the prime quality and the convergence does occur.
Table 5: Bayesian estimates and their posterior risks of the parameters under different loss functions based on the stomach cancer patient’s data

Table 6: Credible and HPD intervals of the parameters


Figure 10: Plots of Bayesian analysis and performance of Gibbs sampling for the stomach cancer patient’s data set. Trace plots of each parameter of NG-W distribution

Figure 11: Plots of Bayesian analysis and performance of Gibbs sampling for the stomach cancer patients data set. Autocorrelation plots of each parameter of NG-W distribution
In this article, we have introduced a new extension of the Weibull distribution, called a new generalized Weibull distribution. The classical two-parameter Weibull model produced simple monotone hazard shapes, as expected, that did not reect pattern of the unimodal hazard shape which is very important in biomedical research. On the other hand, the new extension of the Weibull model is capable to capture the unimodal hazard pattern. The proposed model along with the two-parameter Weibull, three-parameter exponentiated Weibull and four-parameter Kumaraswamy Weibull were applied to the remission times of the stomach cancer patient’s data. We observe that, in terms of the statistical significance of the model adequacy, suggesting that the NG-W model could play a reasonable role as a good candidate for modeling the stomach cancer data.
Funding Statement: School of Statistics, Shanxi University of Finance and Economics, Taiyuan china. (i) The National Social Science Fund of China (17BTJ010) and (ii) The Fund for Shanxi “1331 Project” Key Innovative ResearchTeam.
Conflicts of Interest: The authors declare that they have no conflicts of interest to report regarding the present study.
1. Q. Liao, Z. Ahmad, E. Mahmoudi and G. G. Hamedani. (2020). “A new flexible bathtub-shaped modification of the Weibull model: Properties and applications,” Mathematical Problems in Engineering, vol. 2020, pp. 1–21. [Google Scholar]
2. H. P. Zhu, X. Xia, H. Y. Chuan, A. Adnan, S. F. Liu et al. (2011). , “Application of Weibull model for survival of patients with gastric cancer,” BMC Gastroenterology, vol. 11, no. 1, pp. 1–15. [Google Scholar]
3. H. Aghamolaey, A. R. Baghestani and F. Zayeri. (2017). “Application of the Weibull distribution with a non-constant shape parameter for identifying risk factors in pharyngeal cancer patients,” Asian Pacific Journal of Cancer Prevention, vol. 18, no. 6, pp. 15–37. [Google Scholar]
4. A. S. Wahed, T. M. Luong and J. H. Jeong. (2010). “A new generalization of Weibull distribution with application to a breast cancer data set,” Statistics in Medicine, vol. 28, no. 16, pp. 2077–2094. [Google Scholar]
5. Z. Ahmad, E. Mahmoudi, G. G. Hamedani and O. Kharazmi. (2020). “New methods to define heavy tailed distributions with applications to insurance data,” Journal of Taibah University for Science, vol. 14, no. 1, pp. 359–382. [Google Scholar]
6. M. A. U. Haq, M. Elgarhy and S. Hashmi. (2019). “The generalized odd burr family of distributions: Properties, applications and characterizations,” Journal of Taibah University for Science, vol. 13, no. 1, pp. 961–971. [Google Scholar]
7. R. Alshenawy. (2020). “A new one parameter distribution: Properties and estimation with applications to complete and type 2 censored data,” Journal of Taibah University for Science, vol. 14, no. 1, pp. 11–18. [Google Scholar]
8. A. Z. Afify, M. Nassar, G. M. Cordeiro and D. Kumar. (2020). “The Weibull Marshall–Olkin Lindley distribution: Properties and estimation,” Journal of Taibah University for Science, vol. 14, no. 1, pp. 192–204. [Google Scholar]
9. A. S. Hassan, H. F. Nagy, H. Z. Muhammed and M. S. Saad. (2020). “Estimation of multicomponent stress-strength reliability following Weibull distribution based on upper record values,” Journal of Taibah University for Science, vol. 14, no. 1, pp. 244–253. [Google Scholar]
10. M. Aslam, Z. Asghar, Z. Hussain and S. F. Shah. (2020). “A modified TX family of distributions: Classical and Bayesian analysis,” Journal of Taibah University for Science, vol. 14, no. 1, pp. 254–264. [Google Scholar]
11. M. S. Eliwa and M. El-Morshedy. (2020). “Bivariate odd Weibull-G family of distributions: Properties, Bayesian and non-Bayesian estimation with bootstrap confidence intervals and application,” Journal of Taibah University for Science, vol. 14, no. 1, pp. 331–345. [Google Scholar]
12. R. G. Miller. (1983). “What price Kaplan-Meier?,” Biometrics, vol. 39, no. 4, pp. 1077–1081. [Google Scholar]
13. D. R. Cox and D. Oakes. (1984). “Analysis of survival data,” in Monographs on statistics and applied probability, 1st edition, New York, USA: Chapman & Hall, pp. 1–128. [Google Scholar]
14. J. D. Kalbfleisch and R. L. Prentice. (1980). “The statistical analysis of failure time data,” in Wiley series in probability and statistics, 2ndedition, Hoboken, New Jersey, USA: John Wiley & Sons Inc., pp. 1–443. [Google Scholar]
15. Z. Ahmad, G. G. Hamedani and N. S. Butt. (2019). “Recent developments in distribution theory: A brief survey and some new generalized classes of distributions,” Pakistan Journal of Statistics and Operation Research, vol. 15, no. 1, pp. 87–110. [Google Scholar]
16. A. Alzaatreh, C. Lee and F. Famoye. (2013). “A new method for generating families of continuous distributions,” Metron, vol. 71, no. 1, pp. 63–79. [Google Scholar]
17. M. V. Aarset. (1987). “How to identify a bathtub hazard rate,” IEEE Transactions on Reliability, vol. 36, no. 1, pp. 106–108. [Google Scholar]
![]() | This work is licensed under a Creative Commons Attribution 4.0 International License, which permits unrestricted use, distribution, and reproduction in any medium, provided the original work is properly cited. |