| Computer Systems Science & Engineering DOI:10.32604/csse.2022.021935 | ![]() |
| Article |
Deep Learning Convolutional Neural Network for ECG Signal Classification Aggregated Using IoT
Department of Information Technology, Thiagarajar College of Engineering, 625015, Tamil Nadu, India
*Corresponding Author: S. Karthiga. Email: skait@tce.edu
Received: 20 July 2021; Accepted: 18 September 2021
Abstract: Much attention has been given to the Internet of Things (IoT) by citizens, industries, governments, and universities for applications like smart buildings, environmental monitoring, health care and so on. With IoT, network connectivity is facilitated between smart devices from anyplace and anytime. IoT-based health monitoring systems are gaining popularity and acceptance for continuous monitoring and detect health abnormalities from the data collected. Electrocardiographic (ECG) signals are widely used for heart diseases detection. A novel method has been proposed in this work for ECG monitoring using IoT techniques. In this work, a two-stage approach is employed. In the first stage, a routing protocol based on Dynamic Source Routing (DSR) and Routing by Energy and Link quality (REL) for IoT healthcare platform is proposed for efficient data collection, and in the second stage, classification of ECG for Arrhythmia. Furthermore, this work has evaluated Support Vector Machine (SVM), Artificial Neural Network (ANN), and Convolution Neural Networks (CNNs)-based approach for ECG signals classification. Deep-ECG will use a deep CNN to extract critical features and then compare through evaluation of simple and fast distance functions in order to obtain an efficient classification of heart abnormalities. For the identification of abnormal data, this work has proposed techniques for the classification of ECG data, which has been obtained from mobile watch users. For experimental verification of the proposed methods, the Beth Israel Hospital (MIT/BIH) Arrhythmia and Massachusetts Institute of Technology (MIT) Database was used for evaluation. Results confirm the presented method’s superior performance with regards to the accuracy of classification. The CNN achieved an accuracy of 91.92% and has a higher accuracy of 4.98% for the SVM and 2.68% for the ANN.
Keywords: Internet of things; electrocardiographic signals; dynamic source routing; routing by energy and link quality; convolution neural networks
The Internet of Things (IoT) is defined as the inter-communication between an extensive range of smart devices like Personal Digital Assistants (PDAs), laptops, mobile phones, sensors devices, etc. According to a recent UK-based report, by 20220, the number of Internet-connected devices will presumably increase from 20 billion to 100 billion; of late, network technologies have seen a marked improvement [1]. Among the IoT’s various areas of application, the most engaging ones are medical care and health care. The IoT’s potentiality had led to the emergence of numerous medical applications like fitness programs, remote health monitoring, elderly care, and chronic diseases. Yet another significant potential application was conformity with therapy and medication at home as well as by health care personnel. Hence, numerous medical equipment, sensors, imaging and diagnostic devices were regarded as smart devices that constituted the IoT’s core. It was possible to minimize costs, enhance the user experience and quality of life with IoT-based health care services. From the health care personnel’s viewpoint, the IoT could employ remote provisions to decrease device downtime [2]. The Cartesian representation of the heart's electrical potentialis referred to as an Electrocardiograph (ECG). ECG has been utilized to measure the heartbeats’ regularity and rate, the chambers’ position and size. It has also been utilized to detect any heart damage and examine the effects of heart regulatory devices or drugs. ECG devices with a varying number of electrodes (3-12) were employed [3] for the signal’s acquisition. The ECG signal has a non-stationary nature. Due to this, a cardiologist or a medical expert may fail to analyze the heart’s condition. As per the World Health Organisation (WHO) [4], Cardiovascular Diseases (CVDs) were the chief reason behind deaths worldwide. Out of all these deaths, Cardiac Arrhythmias are chief among CVDs. An occurrence of a disturbance in the heart rate because of irregular electrical conduction or impulse formation in the heart has been called an ‘Arrhythmia’.
The regular heartbeat would get disrupted, and also the normal heartbeat’s morphology could get affected by this improper functioning of the heart. An arrhythmia’s [5] two key consequences are Ectopic Beats (EB) and Bundle Branch Block Beats (BBBB). As the overall system’s foundation, the ECG sensing network is required for the collection of physiological data from the user as well as this data’s transmission via a wireless medium to the IoT cloud. The IoT-based ECG monitoring network architecture is shown in Fig. 1; it primarily contains an ECG sensing system, the IoT cloud, and the GUI. Wearable ECG sensors are often employed for continual monitoring, and these sensors have minimal impact on the everyday life of a user. With these sensors, it is possible to record ECG data for a long period of time. Afterward, the ECG signals would get analyzed through a series of processes like amplification, filtering, and so on, for the signal quality’s improvement as well as for the fulfillment of the wireless transmission’s [6] requisites.

Figure 1: Internet of things based electrocardiogram monitoring systems [6]
The IoT cloud is made up of three distinct functional modules, namely, collection and transmission of data, ECG analysis, and disease warning.
• Data collection: For the diagnosis of heart diseases, a substantial role is served by the ECG data. It is collected using portable devices and transmitted to the cloud. Routing protocol plays an important role in the efficient transmission of data.
• ECG analysis: For the detection of potential heart diseases, critical features are extracted from ECG signals. Despite that, the ECG signal may experience noise introduction during data collection and transmission procedures. This, in turn, has an adverse impact on the diagnosis accuracy. One of the IoT cloud’s most critical functions is the capitalization of data. As a result, the IoT cloud usually offers a data analysis platform to extract suitable data from the ECG signal.
• Disease warning: It is crucial for safeguarding patients from any injuries and provide a warning system to facilitate medical attention.
The GUI’s responsibilities involve data management, easy access to the data and visualization [7]. Webpages and mobile apps are the two typical kinds of GUIs available to users for ECG data visualization. Webpages are more convenient with regards to maintenance as well as upgrade, whereas a mobile app is able to offer an immediate response to the user input. Feature extraction, feature selection, and classification are the major phases in the ECG heartbeat classification framework. The raw ECG signals’ pre-processing is essential for the minimization of various noises. Feature extraction is the initial step where the ECG is processed to get features that can be used to identify Arrhythmia. Feature selection is the second stage. Its objective is to select a relevant feature subset of ECG data that achieves better classification accuracy performance and offers a substantial contribution to diagnosing numerous cardiac diseases. For solving problems, one must translate the patterns into features that turn into the patterns’ condensed representations with just the critical information [8]. An optimization problem is identified as optimizing the feature set to maximize classification accuracy. Nowadays, research efforts have employed optimization techniques on feature selection to optimize or reduce the number of features and eliminate irrelevant, noisy, or redundant features.
Moreover, the inclusion of only key properties or features to the pattern will simplify and, thus, usually makes the classification more accurate. For the classification of ECG data under the extracted features, diverse types of classification techniques have been employed with the aid of Swarm Optimisation Algorithms (SOAs). There is a re-sampling of the ECG beats after segmentation. ECG signals, which represent the heartbeats, get classified into either abnormal beats (representing cardiac Arrhythmia) or normal beats in the final classification step. This work has put forward the DSR and REL routing, the wavelet feature extraction, the SVM, ANN, and CNN classifiers for IoT-based ECG signal classification.
The contributions of this work are:
• Proposed a deep learning method for efficient Arrhythmia classification.
• Framework for transmitting ECG signals efficiently and classifying ECG in an IoT-based platform.
• MIT-BIH dataset was experimentally used and obtained 91.92% accuracy.
The remainder of the investigation has been organized into the following sections. Section Two has detailed the associated literary works. Section Three has elaborated on the multiple techniques employed in work. Section Four has discussed the experimental outcomes, and Section Five has offered this work’s conclusions.
Kulkarni et al. [9] had proposed a wireless wearable ECG monitoring process on an IoT platform. This proposed system was able to offer a high-quality ECG signal, long battery life, and integrate the heterogeneous nodes of ECG sensors and applications. With this system, it was possible to monitor one or many patients in a comparatively large covered area (like nursing homes, buildings, homes, and so on). The system was made up of a careful choice set at algorithms, circuit solutions, and components. The overall sensor performance is dependent on the whole sensor’s optimization. In contrast to other systems proposed on the basis of a purposely designed front-end chip, the proposed ECG sensor could offer much better performance with regard to noise and power usage.
Satija et al. [10] presented continuous cardiac health monitoring with signal quality-aware IoT-enabled ECG telemetry system. This work’s key objectives were inclusive of a light-weight ECG SQA design as well as development for automatic classification of the acquired ECG signal into either the abnormal class or the normal class, and also a real-time implementation with the cloud server, Bluetooth, Android phone, Arduino, and ECG sensors. The proposed framework was tested with both real-time ECG signals and the MIT-BIH arrhythmia database, which had been recorded under various physical activities and the Physionet challenge database. The proposed method has the potentiality for assessing the ECG signals’ clinical acceptability to improve an unsupervised diagnosis system’s reliability and accuracy.
Thilagavathy et al. [11] had presented a Discrete Wavelet Transform (DWT) and SVM combination for ECG analysis. This methodology had three steps: pre-processing, feature selection, and the ECG beats’ category identification. The DWT would be employed for signal pre-processing, de-noising as well as the extraction of wavelet coefficients. Each ECG beats’ features were offered as the classifier’s inputs. Among the various classifiers, the SVM could classify the input ECG into six different classes. The SVM classifier had attained an average accuracy of 98.67% when it used the MIT-BIH database’s ECG signals. HealthyPi V3 Kit was used to record the real-time ECG signals. These signals had accomplished an average accuracy of 98.61% when tested with the classifier model.
Ihsanto et al. [12] had proposed Depthwise Separable Convolutional (DSC) NNs for the cardiac arrhythmia categorization. The ECG classification generally had four stages: QRS detection, pre-processing, feature extraction, and classification. The ECG classification was reduced to just two stages with this proposed method: QRS detection and classification. While there was no requirement for the pre-processing, feature extraction got incorporated into classification. To minimize the computational cost as well as maintain the accuracy, there was the implementation of numerous methods like ensemble CNNs, Batch Normalisation (BN), and All Convolutional Network (ACN). The MIT-BIH arrhythmia database was utilized for the assessment of the proposed ensemble CNNs’ performance. The proposed algorithm could classify the data into sixteen classes. In addition to that, the sensitivity was 99.03%, specificity was 99.94%, positive predictivity was 99.03%, and accuracy was 99.88%.
Using the Hilbert transform-based feature, Sahoo et al. [13] had made a presentation of five types of arrhythmia beat. During pre-processing, wavelet transform was employed for the removal of the recorded signal’s noise interference, while the Hilbert transform method was employed for the identification of precise R-peaks. These features were fed to the SVM classifier for automatic classification of arrhythmia beats. The proposed technique’s effectiveness was better compared to the published results; it could be efficiently utilized in the ECG analysis.
Shaker et al. [14] had propounded a data-augmentation method that used Generative Adversarial Networks (GANs) for the restoration of the balance in the dataset. Experimental outcomes demonstrated that the imbalance in the original dataset augmentation with heartbeats produced by these proposed techniques was more effective in the ECG classification’s performance improvement instead of the utilization of the same techniques, which were only trained with the original dataset. In addition to that, augmentation of the heartbeats with GANs surpassed the performance of other well-known data augmentation techniques. These experimental outcomes also surpassed many other ECG classification techniques’ performances.
Li et al. [15] presented a deep learning method for cardiac arrhythmia classification in accordance with deep Residual Network (ResNet). In this work, there was a 31-layer one-dimensional (1D) residual CNN’s development. Furthermore, this work had proposed the usage of a combination of 2-lead ECG signals as well as deep learning methods for automatic identification of the five different heartbeat types. For single-lead ECG heartbeats, the average accuracy was 99.06%, sensitivity was 93.21%, and positive predictivity was 96.76%.
Atal et al. [16] used the optimization-based deep CNN to propose an automatic arrhythmia classification strategy. The newly devised Bat-Rider optimization algorithm (BaROA) utilized the Multi-Objective Bat Algorithm (MOBA) as well as the Rider Optimisation Algorithm (ROA). Initially, wavelet and Gabor features were extracted. Eventually, the signals were fed to the BaROA-based DCNN classifier for identification of the patient’s conditions as Arrhythmia and non-arrhythmia.
Li et al. [17] presented a method of fusing the heartbeats into a two-dimensional feature vector which is processed by CNNs. The experiments proved that the proposed CNN was efficient in detecting arrhythmias via automatic feature extraction. A framework of e-home health monitoring of cardiovascular disease was presented.
Naz et al. [18] proposed deep learning approaches for detecting Arrhythmias. The ECG signals are converted into images and fed as input to deep learning models(VGG-16,AlexNet and Inception-v3). Deep features are extracted from different layers; transfer learning is performed to train the models. The obtained features are concatenated, and the best are chosen using a heuristic entropy.
Survey-based on ECG monitoring process on IoT platform, feature extraction methods, optimization methods and classification methods with ECG signals are presented. It is observed that works are available for ECG classification, e-health frameworks are presented, but transmitting data is not considered. In e-health applications, it is essential to have seamless communication. In this work, both aspects that are ECG classification and transmitting of ECG data efficiently through a novel routing, are presented.
In this framework, DSR and REL routing were used for transmitting data. Wavelet feature extraction and classifiers for classification of ECG. This section has discussions about the DSR as well as REL routing, the wavelet feature extraction, and classifiers, which use methods like SVM, ANN, and CNN for IoT-based ECG signal classification.
The MIT–BIH Arrhythmia Database has been utilized in this work. Since 1980, this dataset of standard test material has been employed in numerous researches works for the assessment of arrhythmia detection as well as classifiers. Its compilation was based on the collection of ECG recordings from 47 subjects (22 women and 25 men) aged between 23 to 89 years for 24 h [19]. A Del Mar Avionics model was used for the ECG recordings’ acquisition. Afterward, a Del Mar Avionics model 660 playback unit was utilized for each signal’s digitization. There was the selection of a digitization rate of 360 samples per second per channel to utilize simple digital notch filters to remove the main frequency interference at 60 Hz. The entire database is a total of 84,615 items, excluding every record’s (subject’s) first five minutes. Since it is impossible to evaluate the global average RR interval, there is an exclusion of every subject’s first five minutes.
3.2 Dynamic Source Routing (DSR) Protocol
Source routing forms the basis of the DSR protocol. There must be the cooperation of the network nodes for packet forwarding. This, in turn, will facilitate the transmission of data packets between nodes over multiple hops outside the transmission range. Each packet’s originator will determine an ordered list of nodes for transmitting the data packets will traverse for arrival at the destination. Route discovery and maintenance constitute the DSR protocol’s main key mechanisms [20].
When a new packet is originated by the source node, it assigns a “source route” in the header. The data packet will traverse along this route to arrive at the destination. When commencing data transmission, the source node will search its cache to find a route or commence a Route discovery. For the route discovery’s initiation, a local broadcast packet with route request is transmitted from the source node. All existing nodes within this particular node’s wireless transmission range will be in receipt of the route request. A route reply is transmitted by these nodes if it finds a route in its cache. Upon the route reply packet’s receipt, the source node will record the new source route in its cache. This newly discovered route to send its packet is used.
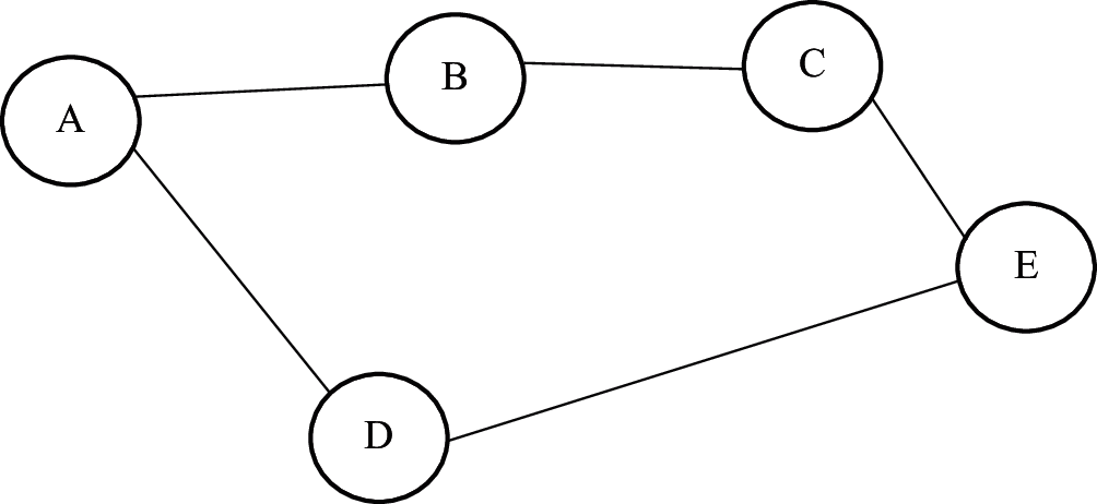
Route maintenance [21] is the process that has the ability to identify any network topology variations in such a way that it would not be able to deliver a data packet via a path due to a broken link along the path. In DSR, all packet-transmitting node’s responsibility is to confirm that the data cantransmit over the link to the next hop. In DSR, the routing decision is made on the basis of the minimum hop. Depiction of the minimum hop-based routing decision is given in Fig. 2. While Node A will be the source, Node E will be the destination. Through the mechanism of route discovery, the source will discover two paths: A−B−C–E and A−D−E. The source node A will opt for path A−D−E due to its lesser number of hops. When a routing decision is taken, the source node will begin packet transmission to the next hop’s position. Node D will also transmit at full transmit power when it sends the packet towards the destination Node E.

Figure 2: Routing in dynamic source routing
3.3 A Routing Protocol Based on Energy and Link Quality (REL)
REL is popularly used for WSNs/IoT applications like smart cities, environmental monitoring, health care as well as comfortable offices and homes. REL will employ the residual energy and link quality for finding routes for enhancingthe system’s QoS support and reliability. In addition, it will include an event-driven mechanism for the provision of load balancing and the avoidance of the early death of nodes [22].In WSN communication, the links are generally erratic and frequently suffer from weak connectivity as well as quality fluctuations. The links’ unreliability is partly because of the usage of low-powered radios, which are quite susceptible to interference, noise, and multipath distortion. Thus, the efficiency of a route selection procedure is dependent on the correctness of the Link Quality to enhance its reliability. In general, a single value of the link quality is assessed like LQI or RSSI. Though a single Link Quality Estimator (LQE) value is just a representation of the value at a specific time and is unable to offer any extra information with regards to the end-to-end link quality, hop count, as well as residual energy.
In the process of route discovery, the LQE representing cross-layer information is reliant. The nodes should have the ability to recognize network environments, assess end-to-end link quality, and also have some information of their neighbouring node’s residual energy. Moreover, prior to arrival at the destination node, these nodes should assess the required number of hops for every potential route. In accordance with this approach, the nodes should dynamically plan as well as adapt the routing selection procedure and also execute appropriate decisions in order to ensure IoT applications’ energy efficiency as well as QoS. In addition to that, since REL utilizes all the received packets for the LQI value’s continuous analysis, it will have an opportunistic behaviour. Therefore, this solution will offer a more accurate measurement of the link quality’s frequent updates for a given route. Unlike other schemes, the proposal will evaluate routes using a given destination’s average of the LQI value. REL will store n values of LQI for every destination and will evaluate the average LQI values instead of the individual LQI values. There is a risk that the constant switching between available routes can result in an additional delay as well as overhead. With the utilization of the LQI’s average values, it is possible to mitigate this risk. Hence, upon utilization of WeakLinks, REL has less susceptibility to extensive variations in link quality.
The constraints of node hardware, as well as the quality difference of wireless links, pose a huge trial to the provision of high service availability, particularly in WSN/IoT applications. In such applications, methods to detect as well as minimize or resolve the problem of energy hole (a route’s congestion or overutilization), which in turn results in the nodes’ premature deaths is essential. Therefore, routing solutions should utilize load balancing mechanisms capable of diverting traffic in order to minimize energy usage and also increase the QoS (low delay rate as well as packet loss).Utilization of multiple paths for dividing/controlling traffic along different routes is the chief tactic for load balancing as well as fault tolerance in WSNs/IoT applications. With the multiple routes’ utilization, nodes can achieve balanced energy usage and improve throughput and reliability for data transmission.
REL will exploit a reactive method to identify routes on demand in order to minimize the overhead and to enhance the scalability. The RREQ, as well as the RREP messages, are broadcasted during the route discovery procedure. These messages will search for the available routes and also will aid in selecting the route procedure by gathering information related to link quality as well as residual energy. Every received RREP will represent an active route to the destination node. As per the REL design, storage of n possible routes to a given destination node is possible.
3.4 Wavelet Transform Feature Extraction
Definition of the WT [23] of a signal f(x) is given below as Eq. (1):
In this equation, s will denote the scale factor.
These equations
3.5 Support Vector Machine (SVM) Classifier
The SVM is a popularly adopted classifier algorithm [24]. For data in the d-dimensional feature space X with two classes of training vectors
Due to the vector w’s probable high dimensionality. Lagrange functional is used to reformulate the above problem in order to resolve the below equivalent dual problem Eqs. (6) & (7):
Wherein
This work has employed the Gaussian Radial Basis Function (RBF), defined as
3.6 Artificial Neural Networks (ANN) Classifier
ANNisan interconnected set of artificial neurons that are the constituents of a neural network. Interconnection of an input layer, a hidden layer as well as an output layer by modifiable weights will constitute a simple three-layer neural network [26]. Popular ANN’s are the Multi-Layer Perceptron (MLP). In general, for the classification of static patterns, a universal pattern classifier has been the MLP with two hidden layers. To put it in another way, as per the input data clusters’ requirements, the discriminant functions are able to take any shape. Furthermore, upon the weights’ proper normalization as well as the output classes’ 0/1 normalization, the MLP can accomplish the maximum a posteriori receiver’s performance [27].
In general, the ANNs are trained using the Back Propagation (BP) algorithm. The BP rule will propagate the errors through the network and also will permit the hidden Processing Elements (PEs) to adapt. The ANN’s two key characteristics are its non-linear PEs that have a non-linearity which should be smooth (the most extensively utilized ones being the hyperbolic tangent, the linear Tanh function, and the logistic function); and its interconnectivity (neurons of layer connected to the subsequent layer). As the ANN has been trained with error-correction learning, it would imply that there is a known desired system response. This is usually the case in pattern recognition, as it has the input as well as the desired data labeled. The process of error correction learning is based on the system response
With the utilization of the gradient descent learning theory, there is an adaptation of every weight in the network through correction of the weight’s existing value with a term which is in proportion to the weight’s existing input as well as error, that is, as per below Eq. (10):
As a gradient descent procedure, this algorithm is only able to utilize the local information and hence, can get stuck in the local minima. In addition to that, this algorithm is inherently noisy as it uses a poor estimate of the gradient and this, result in slow convergence. Momentum learning can improve the straight gradient descent in such a way that a memory term is utilized to speed up as well as stabilize the convergence [28].
3.7 Convolutional Neural Networks (CNN) Classifier
The CNN’s architecture is made up of convolution layers, max-pooling layers, Local Response Normalization (LRN) layers, a fully connected layer as well, as a Soft-max layer. LRN allows for the detection of high-frequency features with large activations in relation to their neighbourhood, and also minimizes the large responses’ impact in a local neighbourhood. Hence, it can imitate the beneficial neurobiological concept of lateral inhibition. Moreover, it will utilize dropout regularisation, which allows for improvements in generalization as well as avoidance of co-adaptation through the random setting of the activations’ fraction to zero. The network’s final layer is a Soft-max layer, which is employed for CNN training as well as carrying out closed-set identifications. This layer’s output is an integer label that is associated with the user’s identifier. When there is a training dataset that has instances relating to nu users, the CNN’s output will be an integer value
The input signal x is processed by the convolutional layers by its convolution with a bank of K filters f, through the use of biases b. Therefore, an output signal y will be obtained in Eq. (11) as below:
wherein H will indicate the height, W will indicate the weight, and D will indicate the depth. In the convolutional layer’s fundamental configuration, Eq. (12) will evaluate the output for every coordinate (i, j, d) as:
For certain layers, it is essential to execute padding of the input signal x or a subsampling stride of the output. To be specific, it will take into account top-bottom-left-right paddings (
For the feature space’s reduction, the pooling layers will employ a max-pooling operator. The below Eq. (14) is used by this operator to evaluate the maximum response in a H′ × W′ patch for every feature channel:
In Eq. (15), the LRN layers will employ the below operator:
Here, for every output channel
A non-saturating activation function yi = max (0, xi) is utilised by the ReLu layers. The output of the Softmax classifier will be evaluated as
In this section, DSR, REL, SVM, ANN, and CNN methods are used. Experiments are carried out using 500 to 3000 nodes and 3150 Left Bunch Bundle Block (L), 9200 Normal (N), and 2950 Right Bunch Bundle Block (R). The results for IoT routing for average Packet Delivery Ratio (PDR) and average end-to-end delay as shown in Tabs. 1 & 2 and Figs. 3 & 4. The ECG classification for accuracy, sensitivity, specificity, and f measure is shown in Tabs. 3–6 and Figs. 5–8.


Figure 3: Average packet delivery ratio for REL for varying number of devices
From Fig. 3, it can be observed that the REL has a higher average PDR of 8.09% for 500 nodes, by 11.89% for 1000 nodes, by 8.04% for 1500 nodes, by 12.47% for 2000 number of nodes, by 8.31% for 2500 number of nodes and by 9.88% for 3000 number of nodes when compared with DSR respectively. As the link quality is considered during the selection of the routes, the REL has a higher packet delivery ratio.


Figure 4: Average end to end delay for REL for varying number of devices
From Fig. 4, it can be observed that the REL has a lower average end to end delay by 10.65% for 500 nodes, by 9.8% for 1000 number nodes, by 5.53% for 1500 number nodes, by 6.19% for 2000 number of nodes, by 3.56% for 2500 number of nodes and by 7.79% for 3000 number of nodes when compared with DSR respectively. If the link quality is poor or if the energy is lower, the REL ignores these paths and transmits data through optimal paths leading to lower end-to-end delay.


Figure 5: Accuracy for CNN
From Fig. 5, it can be seen that the CNN has higher accuracy by 4.98% for SVM and by 2.68% for ANN, respectively. The effectiveness of the CNN is due to its capability of feature engineering; this is an added advantage in improving classification accuracy.


Figure 6: Sensitivity for CNN in classifying arrhythmia
From Fig. 6, it can be seen that the CNN has higher sensitivity by 4.75% & 3.27% for L beats, by 3.72% & 1.68% for N beats, and by 9.59% & 5.38% for R beats when compared with SVM and ANN respectively.


Figure 7: Specificity for CNN in classifying arrhythmia
From Fig. 7, it can be seen that the CNN has higher specificity by 3.88% & 1.89% for L beats, by 2.89% & 1.74% for N beats, and by 1.28% & 0.78% for R beats when compared with SVM and ANN respectively.


Figure 8: F measure for CNN in classifying arrhythmia
From Fig. 8, it can be seen that the CNN has a higher f measure by 9.07% & 5.02% for L beats, by 2.68% & 1.33% for N beats, and by 7.87% & 4.54% for R beats when compared with SVM and ANN respectively.
Classification is a well-known topic in healthcare and bioinformatics, specifically with regards to the detection of Arrhythmia. Hence, abnormal heartbeats’ automatic recognition from a huge amount of ECG data is a significant and crucial task. Wavelet transform has been utilized for signal pre-processing, denoising, and extraction of the transform’s coefficients as features of every ECG beat used as the classifier’s inputs. This work has used the DSR and REL protocols for routing. It is evident from the experimental outcomes that, in comparison with the DSR, the REL has a higher average PDR by 8.09% for 500 number nodes, by 11.89% for 1000 number nodes, by 8.04% for 1500 number of nodes, by 12.47% for 2000 number of nodes, by 8.31% for 2500 number of nodes, and by 9.88% for 3000 number of nodes. For the classification of ECGs, this work has evaluated the SVM, the ANN, and the CNN methods. The basic concept of SVMs is the identification of the optimal hyperplanes between different classes’ data points. Deep-ECG will analyze sets of features extracted from ECG signals. A deep CNN is used for the generation of a set of extracted features. The proposed deep-ECG system significantly improves detection. The CNN has a higher accuracy of 4.98% for the SVM and 2.68% for the ANN.
The proposed method is evaluated using only the MIT-BIH dataset; it is required to evaluate the algorithms using different datasets. The proposed IoT-enabled Arrhythmia monitoring system needs to be implemented in real-time. An automatic alert system in real-time through IoT and mobile devices can be designed. Though the proposed methods are efficient in classifying Arrhythmia using the MIT–BIH Arrhythmia Database, it is required to explore the efficacy of the proposed methods with real-time data. Investigations on noise removal, pre-processing of ECG need to be explored.
Acknowledgement: We show gratitude to anonymous referees for their useful ideas.
Funding Statement: The authors received no specific funding for this study.
Conflicts of Interest: The authors declare that they have no conflicts of interest to report regarding the present study.
1. R. Sundarasekar, M. Thanjaivadivel, G. Manogaran, P. M. Kumar, R. Varatharajan et al., “Internet of things with maximal overlap discrete wavelet transform for remote health monitoring of abnormal ECG signals,” Journal of Medical Systems, vol. 42, no. 11, pp. 1–13, 2018. [Google Scholar]
2. S. R. Islam, D. Kwak, M. H. Kabir, M. Hossain and K. S. Kwak, “The internet of things for health care: A comprehensive survey,” IEEE Access, vol. 3, no. 6, pp. 678–708, 2015. [Google Scholar]
3. G. K. Jaiswal and R. Paul, “Artificial neural network for ECG classification,” Recent Research in Science and Technology, vol. 6, no. 1, pp. 36–38, 2014. [Google Scholar]
4. S. Liu, J. Shao, T. Kong and R. Malekian, “ECG arrhythmia classification using high order spectrum and 2D graph fourier transform,” Applied Sciences, vol. 10, no. 14, pp. 1–23, 2020. [Google Scholar]
5. G. Ramesh, D. Satyanarayana and M. Sailaja, “Composite feature vector based cardiac arrhythmia classification using convolutional neural networks,” Journal of Ambient Intelligence and Humanized Computing, vol. 12, no. 6, pp. 6465–6478, 2020. [Google Scholar]
6. Z. Yang, Q. Zhou, L. Lei, K. Zheng and W. Xiang, “An IoT-cloud based wearable ECG monitoring system for smart healthcare,” Journal of Medical Systems, vol. 40, no. 12, pp. 1–11, 2016. [Google Scholar]
7. U. U. Deshpande and M. A. Kulkarni, “IoT based real time ECG monitoring system using cypress WICED,” International Journal of Advanced Research in Electrical, Electronics and Instrumentation Engineering, vol. 6, no. 2, pp. 710–720, 2017. [Google Scholar]
8. E. H. Houssein, M. Kilany and A. E. Hassanien, “ECG signals classification: A review,” International Journal of Intelligent Engineering Informatics, vol. 5, no. 4, pp. 376–396, 2017. [Google Scholar]
9. A. S. Kulkarni, M. Suchetha and N. Kumaravel, “IoT based low power wearable ECG monitoring system,” Current Signal Transduction Therapy, vol. 14, no. 1, pp. 68–74, 2019. [Google Scholar]
10. U. Satija, B. Ramkumar and M. S. Manikandan, “Real-time signal quality-aware ECG telemetry system for IoT-based health care monitoring,” IEEE Internet of Things Journal, vol. 4, no. 3, pp. 815–823, 2017. [Google Scholar]
11. R. Thilagavathy, R. Srivatsan, S. Sreekarun, D. Sudeshna, P. L. Priya et al., “Real-time ECG signal feature extraction and classification using support vector machine,” in Int. Conf. on Contemporary Computing and Applications (IC3ALucknow, India, pp. 44–48, 2020. [Google Scholar]
12. E. Ihsanto, K. Ramli, D. Sudiana and T. S. Gunawan, “An efficient algorithm for cardiac arrhythmia classification using ensemble of depthwise separable convolutional neural networks,” Applied Sciences, vol. 10, no. 2, pp. 1–16, 2020. [Google Scholar]
13. S. Sahoo, M. Mohanty and S. Sabut, “Automated ECG beat classification using DWT and hilbert transform-based PCA-SVM classifier,” International Journal of Biomedical Engineering and Technology, vol. 32, no. 3, pp. 287–303, 2020. [Google Scholar]
14. A. M. Shaker, M. Tantawi, H. A. Shedeed and M. F. Tolba, “Generalization of convolutional neural networks for ECG classification using generative adversarial networks,” IEEE Access, vol. 8, no. 2, pp. 35592–35605, 2020. [Google Scholar]
15. Z. Li, D. Zhou, L. Wan, J. Li and W. Mou, “Heartbeat classification using deep residual convolutional neural network from 2-lead electrocardiogram,” Journal of Electrocardiology, vol. 58, no. 4, pp. 105–112, 2020. [Google Scholar]
16. D. K. Atal and M. Singh, “Arrhythmia classification with ECG signals based on the optimization-enabled deep convolutional neural network,” Computer Methods and Programs in Biomedicine, vol. 196, no. 6, pp. 1–29, 2020. [Google Scholar]
17. J. Li, Y. Si, T. Xu and S. Jiang, “Deep convolutional neural network based ECG classification system using information fusion and one-hot encoding techniques,” Mathematical Problems in Engineering, vol. 2018, no. 12, pp. 1–10, 2018. [Google Scholar]
18. M. Naz, J. H. Shah, M. A. Khan, M. Sharif, M. Raza et al., “From ECG signals to images: A transformation based approach for deep learning,” PeerJ Computer Science, vol. 7, no. 2, pp. 1–18, 2021. [Google Scholar]
19. G. Sannino and G. De Pietro, “A deep learning approach for ECG-based heartbeat classification for arrhythmia detection,” Future Generation Computer Systems, vol. 86, no. 4, pp. 446–455, 2018. [Google Scholar]
20. D. B. Johnson, D. A. Maltz and J. Broch, “DSR: The dynamic source routing protocol for multi-hop wireless ad hoc networks,” Ad Hoc Networking, vol. 5, no. 1, pp. 139–172, 2001. [Google Scholar]
21. M. Tarique, K. E. Tepe and M. Naserian, “Energy saving dynamic source routing for ad hoc wireless networks,” in Third Int. Symp. on Modeling and Optimization in Mobile, Ad Hoc, and Wireless Networks (WiOpt’05Trentino, Italy, pp. 305–310, 2005. [Google Scholar]
22. K. Machado, D. Rosário, E. Cerqueira, A. A. Loureiro, A. Neto et al., “A routing protocol based on energy and link quality for internet of things applications,” Sensors, vol. 13, no. 2, pp. 1942–1964, 2013. [Google Scholar]
23. Q. Zhao and L. Zhang, “ECG feature extraction and classification using wavelet transform and support vector machines,” in Int. Conf. on Neural Networks and Brain, Beijing, China, pp. 1089–1092, 2005. [Google Scholar]
24. Y. Wu and L. Zhang, “ECG classification using ICA features and support vector machines,” in Int. Conf. on Neural Information Processing, Shanghai, China, pp. 146–154, 2011. [Google Scholar]
25. A. Rabee and I. Barhumi, “ECG signal classification using support vector machine based on wavelet multiresolution analysis,” in 11th Int. Conf. on Information Science, Signal Processing and their Applications (ISSPAMontreal, QC, Canada, pp. 1319–1323, 2012. [Google Scholar]
26. H. M. Rai, A. Trivedi and S. Shukla, “ECG signal processing for abnormalities detection using multi-resolution wavelet transform and artificial neural network classifier,” Measurement, vol. 46, no. 9, pp. 3238–3246, 2013. [Google Scholar]
27. S. M. Jadhav, S. L. Nalbalwar and A. Ghatol, “Artificial neural network based cardiac arrhythmia classification using ECG signal data,” in Int. Conf. on Electronics and Information Engineering, Kyoto, Japan, pp. 228–231, 2010. [Google Scholar]
28. E. Al-Masri, “Detecting ECG heartbeat abnormalities using artificial neural networks,” in IEEE Int. Conf. on Big Data (Big Data),Seattle, WA, USA, pp. 5279–5281, 2018. [Google Scholar]
![]() | This work is licensed under a Creative Commons Attribution 4.0 International License, which permits unrestricted use, distribution, and reproduction in any medium, provided the original work is properly cited. |