![]() | Energy Engineering | ![]() |
DOI: 10.32604/EE.2021.015439
ARTICLE
Aging Characteristics of XLPE Insulation of 110 kV Cables in the Initial Stage of Operation
1State Grid Jiangsu Electric Power Co., Ltd., Research Institute, Nanjing, 211103, China
2Hohai University, Nanjing, 211100, China
*Corresponding Author: Man Ding. Email: ding.m@hhu.edu.cn
Received: 18 December 2020; Accepted: 22 March 2021
Abstract: The aging characteristics of the XLPE insulation of 110 kV power cables in the initial stage of operation are studied in this paper. The XLPE insulation from cables with different running time was tested by using electrical and physicochemical methods, from which the degradation state of XLPE under multiple stresses during operation was derived. The broadband dielectric spectrum test taken from 10–1 to 106 Hz showed that the dielectric constant and dielectric loss of the XLPE insulation first decrease and then increase with the increase of cable running time, which show obvious variation until 10 years of operation. The AC breakdown strengths of the XLPE insulation of operated cables with the service year no longer than 10 years were higher than that of new cables. The mechanical properties of the XLPE insulation showed no dependence with the cable running time. The crystallinity and perfection of the crystallization area were found to be enhanced during operation and the polar functional groups inside the XLPE insulation were found to be determined not only by the cross-linking by-products but also by the oxidation process during cable operation. The experimental results in this paper are important for improving the operation reliability and reducing the maintenance costs of the cables.
Keywords: XLPE power cable; aging; dielectric property; aggregation structure
Crosslinked polyethylene (XLPE) power cables are widely used in power transmission networks owing to their excellent thermal and mechanical properties, electrical properties and low dielectric loss as well as its’ easy installation and maintenance feature [1]. During the operation of the cable, the insulation performance will deteriorate due to various factors such as electrical stress, thermal stress and mechanical stress as well as moisture in the environment, which will lead to discharge accidents of the cable and then affect the reliability of power supply [2–4]. Therefore, studying the degradation process of XLPE insulation in operation has theoretical significance and practical value for ensuring the safe operation of power system.
For now, most of the researches on XLPE insulation aging are to simulate the actual operation state through artificial accelerated electrical aging, thermal aging and electro-thermal aging in the laboratory. However, the artificial accelerated aging under the electrical and thermal factors cannot perfectly reflect the real aging process of cable insulation, which is also affected by the operation life, load and environment [5,6]. Therefore, the aging test and statistical analysis of operating high voltage cable insulation have practical significance for evaluating the insulation state of power cables in service.
At present, the research on the insulation degradation of old decommissioned cables running in actual environment is mainly aimed at the decommissioned cables running for more than 10 years, and the researches show that the crystal structure integrity of the cable running for more than 10 years is obviously decreased, and the insulation performance begins to decrease [7–14]. Luo et al. studied the aggregation state and mechanical properties of insulation material from 110 and 220 kV XLPE cables out of service in Beijing China, and the DSC (Differential Scanning Calorimeter) analysis results showed that the left limit temperature of melting peak for cables operated for more than 10 years extended about 10°C to the lower temperature direction, implying that the crystallinity, crystal size and crystal size distribution were changed and the crystallization rate of operated sample increased with operation year resulting from the broken of chemical bonds. Ren et. al. studied the crystallization property and thermal stability of high voltage XLPE cables out of service, and the results showed that the melting range of the XLPE broadened if the cables were in live operation and there were no obvious relationships between the operating time and crystallinity of the materials. Xu et al. investigated the insulation material morphological structure of 110 and 220 kV XLPE retired cables by using FTIR (Fourier Transform Infrared Spectroscopy), DSC, DMA (Dynamic thermomechanical analysis) measurements, and the results showed that the irreversible chemical change of cables had obvious time dependence characteristic, and the crystallinity, melting range and crystallization rate increased slightly with service years. But there are few researches on the degradation process of XLPE cable with short running time.
The aging characteristics of the XLPE insulation from several 110 kV power cables with the running time no longer than 10 years are studied in this paper. The physical and chemical structures of the XLPE insulation were studied by using X-ray Diffraction (XRD), Differential Scanning Calorimetry (DSC) and Fourier Transform Infrared spectroscopy (FTIR) methods, from which the aggregation structure and functional groups of the XLPE insulation and their dependence on the cable service time were obtained. The electrical characteristics of the XLPE insulation were measured by using broadband dielectric spectrum and AC breakdown method, from which the dielectric constant and dielectric loss properties as well as the breakdown strength of the XLPE insulation were derived. Moreover, the mechanical properties including the tensile strength and the elongation at break value of the XLPE insulation from cables with different service time were also studied. The aging characteristics of the XLPE insulation during the initial stage of operation of power cables were concluded based on the experimental results, which is important for enhancing the operation reliability and reducing the maintenance cost of the power cables.
2 Sample Preparation and Characterization
Eight 110 kV commercial power cables that have not reached the end of life were used in this paper, and the service time of the cables is shown in Tab. 1. The main insulation of the cable was sliced along the axial direction into XLPE film samples with different thicknesses by JQB-11 cross-linked cable slicer, among which the 0.2 mm thick films were used for broadband dielectric spectroscopy test and breakdown experiment, and the 0.5 mm thick films were prepared for XRD measurement, and all the XLPE samples were taken from the middle part of the cable insulation. Before test, all the samples were cleaned with anhydrous ethanol and dried in vacuum drying oven under 70oC for 8 h to avoid the error of performance test results caused by mechanical stress in the slicing process.

Dielectric Property: The dielectric constant and dielectric loss factor of XLPE samples were tested by using Concept 80 broadband dielectric spectrum test system, with the frequency ranging from 10–1 Hz to 106 Hz. Gold electrodes on the upper and lower surfaces of the samples were formed by using sputtering method, and the electrode diameter were 30 and 40 cm, respectively.
Thermal Property: The melting process of XLPE samples was measured by using differential scanning calorimeter with the temperature ranging from 20oC to 140oC at the temperature rate of 5 oC/min in nitrogen.
Crystal Structure: The Crystal structure of the XLPE film sample was measured by X-ray diffraction method by using Bruker D8 ADVANCE equipment, with the scanning angle ranging from 10o−30o at the scan rate of 10 o/min.
Fourier transform infrared spectroscopy (FTIR) characteristic: the chemical structure of XLPE insulation was measured by using FTIR method with the wave number ranging from 500–4000 cm−1, from which the typical functional groups inside XLPE insulation and their dependence on the cable running time can be derived.
The Breakdown Characteristic: The AC breakdown strengths of the XLPE samples were obtained under fast boost mode using 25 mm diameter parallel plate electrodes, and the voltage rate was 2 kV/s.
3 Experimental Results and Discussion
3.1 Crystal Structure of XLPE Samples
The XRD results of the XLPE samples from cables with the service time of 3.5 and 9.5 years and a new cable are shown in Fig. 1. The two diffraction peaks on the spectrum at ∼21o and ∼23o correspond to the (110) and (220) crystal faces in the crystallization zone. With the increase of the cable service time, the intensities of the diffraction peaks increase and the diffraction angles shift to the low angle direction as shown in Fig. 1, and both the interplanar spacing value (d space) and the full width half maximum value (FWHM) of the diffraction peak change with the cable service year as shown in Tab. 2. The interplanar spacing value of the running cable is a little larger than new cables except for cable 04, which might be resulted from the melting of a small number of whiskers or defects in the crystal structure of XLPE insulation during operation [11]. Moreover, the average grain size of (110) lattice can be calculated by using Scherrer Formula in Eq. (1) and the result is shown in Tab. 2. We can see that the average grain size is around 17 nm, and it changes little with the increase of the service time of cables, as shown in Fig. 2.

Figure 1: XRD result of the XLPE samples from cables with different service years

Figure 2: The average grain size of the XLPE insulation with different cable service years

Scherrer formula:
where, D is the average grain size in the unit of nm, K is the Scherrer constant which is 0.89, λ is the wavelength of X-ray with the value of 1.54 × 10–10m, B is the FWHM of the diffraction peak, and θ is the Bragg angle at peak position.
3.2 Melting Characteristics of XLPE Insulation of Cables
DSC tests were performed on the XLPE insulation from operating cables and new cables to observe the change of melting property of XLPE insulation of cables under different service life, and the result is shown in Fig. 3.

Figure 3: DSC curve of the XLPE samples with different cable service time
The melting temperature is between 104°C∼107°C. Moreover, the surface energy and crystallinity per unit area of the crystal can be calculated by Eqs. (2) and (3) and the results are shown in Tab. 3 and Fig. 4.
where, σe is the surface energy per unit area of the XLPE crystal with the unit of 10–3 J⋅m−2, Tm is the melting temperature of XLPE sample in the unit of Kelvin, Tm0 is equilibrium melting temperature of infinite thick crystal, and Tm0 = 414.6 K; ΔHm0 is the melting enthalpy per unit volume of XLPE crystal, and ΔHm0 = 2.88 × 108 J⋅m−3; LB is the lamella thickness, the XLPE molecular chains are arranged into the lattice in a folded form without the chain length and bond angle change in order to reduce the surface energy of the molecules, thus forming a sheet crystal, the lamella shape is different in different polymers, but their thickness is almost the same and it is about 10 nm.
where, ΔH0 is the melting enthalpy of fully crystallized XLPE structure, and ΔH0 = 287.3 J⋅g−1 [12].

Figure 4: The surface energy of per unit area and the crystallinity of XLPE samples with different cable service life

In the crystallization process of polymers, the regular arrangement of macromolecular tends to reduce the surface energy of the crystal so that σe reflects the perfection of crystallization, and small σe corresponds to better crystallization perfection, higher stability and higher melting temperature of the crystal structure and vice versa.
From Tab. 3 and Fig. 4, the surface energy σe increases slightly first and then decreases slowly with the increase of cable service life, implying that the crystal perfection of the XLPE crystal structure in running cables is higher than that in new cables, which can be attributed to the recrystallization process that can enhance the arrangement regularity of molecular chains in the lamellar. Furthermore, the recrystallization process can also reduce the lamellar spacing in spherulites thus improve the crystallization perfection in crystal regions, and this is verified by the change of d space value of (220) crystal plane with the cable service life shown in Fig. 5. On the other hand, the recrystallization process would also promote the transformation of amorphous region into crystal region thus enhance the crystallinity of the XLPE insulation, which is in accordance with the crystallinity that derived from the DSC test result. The insulation material of cables in service (with the service life no longer than 10 years) would endure physical aging under electrical, mechanical and thermal stresses, and the operating temperature of the cables is between 60–70°C (the temperature would exceed the melting temperature of the insulation in a short time if there has been a short circuit fault), so the XLPE insulation has enough time to be recrystallized, and the crystal perfection and the crystallinity are both improved correspondingly.

Figure 5: The interplanar spacing of (220) crystal plane of XLPE samples of different cables
3.3 Dielectric Characteristic of XLPE Insulation of Cables with Different Services Life
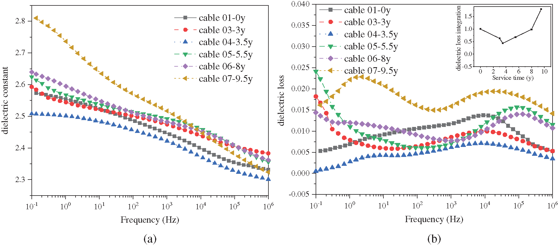
Fig. 6 shows the dielectric property of the XLPE samples from cables with different service life, which was taken under the frequency ranging from 10–1 to 106 Hz. Fig. 6(a) shows the dielectric constant of the XLPE insulation, and Fig. 6(b) shows the dielectric loss of the XLPE insulation with the inset shows the relation curve of dielectric loss integration from 10–1 to 102 Hz with the cable service time.

Figure 6: Dielectric constant of XLPE samples from cables with different service life. (a) dielectric constant (b) dielectric loss
From Fig. 6, we can see that the dielectric constant decreases slowly with the increase of voltage frequency for the reason that the orientation polarization of polar groups inside the XLPE insulation cannot keep up with the voltage polarity reversal as the frequency increases. Moreover, the low frequency dielectric constant and dielectric loss first decrease and then increase slightly with the increase of cable running time although the increasement is obvious until the cable running for 9.5 years, which might be dependent on the polar group content in the XLPE insulation. Nowadays, peroxide is commonly used as cross-linking agent in high-voltage XLPE cables such as dicumyl peroxide (DCP), which would produce volatile cross-linking by-products during the cross-linking process. The cross-linking by-products, which are polar groups, would give rise to the dielectric constant of the XLPE insulation. Although cables have had been degassed before manufacturing, the degassing time is always not enough to release all the cross-linking by-products in the cables which can affect the dielectric characteristic of the XLPE insulation of cables.
3.4 Fourier Transform Infrared Spectroscopy of the XLPE Insulation
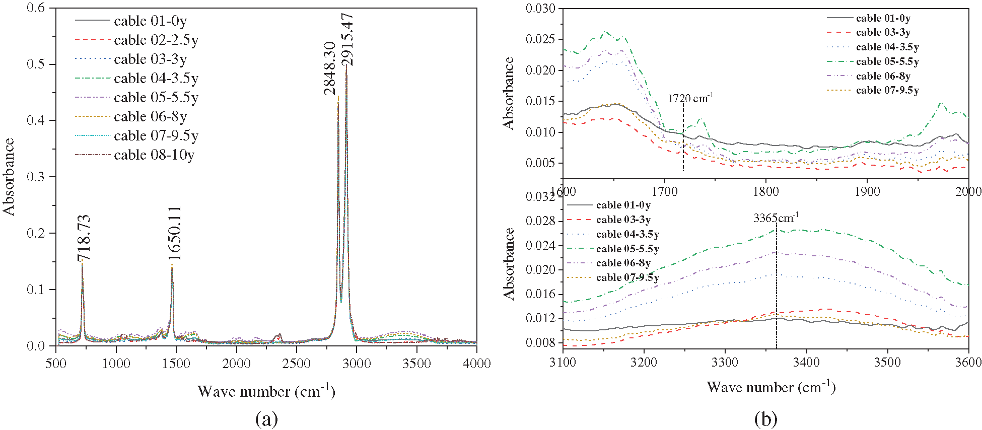
The FTIR characteristics were measured to investigate the functional groups inside XLPE insulation in cables with different service time and the result is shown in Fig. 7, including the full-spectrum from 500–4000 cm−1 in (a) and the detailed spectrum ranging from 1600–2000 cm−1 and 3100–3600 cm−1 in (b). Cross-linking by-products, including alpha methyl styrene, acetophenone and cumyl alcohol, which can be characterized by the functional groups of styrene at 1600 cm−1, -C=O at 1720 cm−1 and -OH at 3370 cm−1 on the FTIR spectrum, were generated during the decomposition of DCP in the manufacturing of power cables and would be released gradually during the operation of cables under high voltage. On the other hand, -C=O would also be generated after certain period of cable operation under electrical and thermal stresses, so -C=O peak in FTIR spectrum of the XLPE insulation would firstly decrease with during the releasing of cross-linking by-products and would then increase after certain running period.

Figure 7: The FTIR characteristic of XLPE samples from cables with different service years; (a) full-spectrum from 500–4000 cm−1, (b) detailed spectrum from 1600–2000 cm−1 and 3100–3600 cm−1
From Fig. 7, we can see that the -C=O peaks at 1720 cm−1 in the FTIR spectrums of the XLPE insulation of cable 01, cable 03 and cable 07 are obvious, and the -OH at 3365 cm−1 in the FTIR spectrums of the XLPE insulation of all the cables are all obvious and the peak area changes little in various cables. This indicates that the by-product acetophenone was gradually released and cumyl alcohol is hardly released during the cable operation process. By-products would introduce polar groups to the XLPE insulation which can influence the dielectric properties at low frequency of the XLPE insulation, more by-products corresponding to higher dielectric constant and dielectric loss at low frequency and vice versa. From Fig. 7, the -C=O polar group is obvious in 3-year and 9.5-year cables, in keeping with the by-product releasing process in the initial operation stage and then the oxidation stage after a certain running period. Furthermore, the variation of -C=O polar group is in accordance with the dielectric property shown in Fig. 6 that the dielectric constant and dielectric loss at low frequency both decrease first and then increase slightly and gradually after certain running time.
3.5 Mechanical Properties of the XLPE Insulation Samples
The tensile strength and elongation at break value of the XLPE samples were measured and the results are shown in Fig. 8. We can see that the mechanical property of the XLPE insulation has no obvious relationship with the cable running time under the combined effect of physical and chemical structure changes during cable operation process. On one hand, the cross-linking by-products which are chaotically distributed in the amorphous area of the XLPE insulation would impede the orientation of macromolecular chains along the stretch direction and then reduce the tensile strength. On the other hand, the perfection of the crystallization structure would improve the mechanical performance of the XLPE insulation.

Figure 8: The mechanical properties of XLPE samples from cables with different service years
3.6 AC Breakdown Characteristic of XLPE Insulation
The breakdown characteristic of dielectrics determines the ability of the dielectric to maintain the insulation performance under electric field, which can be used to predict the service life of the insulating material. Large number of experiment results show that the breakdown voltage obeys Weibull distribution law, and the two-parameter Weibull distribution function is a convenient model to characterize the breakdown strength under the precondition of ensuring the accuracy. According to the Weibull distribution theory, the breakdown probability under voltage U can be calculated by Eq. (4) [15,16].
where, U is the breakdown voltage, kV; α is the Weibull scale parameter; β is the Weibull shape parameter.
As the value of Weibull distribution failure probability has great impact on the data processing result, we introduce the Ross distribution function to improve the accuracy of the analysis as shown in Eq. (5) [17].
where, i is the serial number of the samples, n is the total number of the samples. Arrange the experimental data in order from small to large and number them accordingly, and Eq. (5) gives the failure probability of the sample under the corresponding serial number. We use Ross distribution function to derive the failure probability in this paper, and the breakdown strength when F(t) = 0.632 is used as the breakdown field strength at 63.2% breakdown probability. The breakdown strength of the XLPE samples with different cable operating time is shown in Fig. 9.

Figure 9: The breakdown field of XLPE samples from cables with different operating time; (a) Weibull distribution of the breakdown field strength, (b) the breakdown field strength of XLPE insulation in cables with different service time
The breakdown field strengths of XLPE insulation in the running cables are larger than that of the new cable, which change very little for cables with the operating time no longer than 10 years. Considering the crystal structure, the XLPE macromolecular chains are tightly arranged in the crystalline region which makes it hard for carrier migration, while the loose arrangement of molecular chains in amorphous region is favorable for carrier migration under electric field, so the carrier migration is mainly in the amorphous region or on the surface of crystal region [16]. The XRD and DSC measurement results in 3.1 and 3.2 shows that the recrystallization process dominates the aging of XLPE cables with operating time no longer than 10 years, the crystallinity and the perfection of crystal structures of XLPE samples are both enhanced in operated cables, which can cut down the transportation channel for charge carriers and then improve the breakdown strength. In the aging process of the cables with the running time no longer than 10 years, the cross-linking by-products are released out slowly from the XLPE insulation with the increase of cable running time, so that the distortion of electric field is suppressed and the breakdown field strength increases in operated cables.
The physical and chemical properties and dielectric properties of the XLPE insulation of 110 kV cables are studied in this paper, and the changes of the insulation state of the cables during the initial live operation are concluded as following:
1. The crystallinity and perfection of crystal region of the XLPE insulation are both enhanced in operated cables with running time no longer than 10 years, which can be attributed to the recrystallization process in XLPE materials during cable operation. This can cut down the transportation channel for charge carriers and then improve the breakdown strength, which makes the breakdown field strengths of the XLPE insulation in running cables with the service time no longer than 10 years larger than that in the new cable.
2. Polar function groups can be reduced during the cross-linking by-products releasing process and can also be increased during the oxidation of XLPE material during cable operation, which makes the low frequency dielectric constant and dielectric loss first decrease and then increase slightly with the increase of cable running time, but the increasement is not so obvious until the service time reaches 9.5 years.
To sum up, the crystal structure as well as the dielectric properties of the XLPE insulation would be improved in the initial live operating stage of cables owing to the recrystallization process and the participation of cross-linking by-products, which is helpful for the operation reliability improvement and maintenance cost reduction of power cables.
Funding Statement: The authors received no specific funding for this study.
Conflicts of Interest: The authors declare that they have no conflicts of interest to report regarding the present study.
1. Li, Z. L., Du, B. X. (2016). Application and research status of high voltage direct current cross-linked polyethylene cable. Insulating Materials, 49(11), 9–14. DOI 10.16790/j.cnki.1009-9239.im.2016.11.002. [Google Scholar] [CrossRef]
2. Wang, H. X., Cheng, S. K., Wen, X. S., Chen, Y. P. (2005). AC insulation characteristics of XLPE in the course of aging. High Voltage Engineering, 31(3), 7–9. DOI 10.13336/j.1003-6520.hve.2005.03.003. [Google Scholar] [CrossRef]
3. Chen, G. H., Wang, A. N., Li, Y. Q., Wang, W. (2012). Review of research on space charge in XLPE insulation under AC electric field. Power System and Clean Energy, 28(7), 31–35. [Google Scholar]
4. Zhang, Y. Z., Feng, B., Li, M., Luo, P., Liao, Y. Q. et al. (2016). Analysis on aggregation structure of retired 110 kV XLPE cables insulation. Insulating Materials, 49(7), 20–26. DOI 10.16790/j.cnki.1009-9239.im.2016.07.004. [Google Scholar] [CrossRef]
5. Huang, X. W. (2016). Study on the insulation quality evaluation of 110 kV cross-linked polyethylene cable (Master Thesis). School of Electrical & Electronic Engineering, Beijing, China. [Google Scholar]
6. Cao, W., Zhang, M., Liu, Q., Tian,Y., Huang, X. B. et al. (2018). Influence of moisture on flashover performance of composite interface cable joint. High Voltage Engineering, 44(11), 3699–3706. DOI 10.13336/j.1003-6520.hve.20181031032. [Google Scholar] [CrossRef]
7. Luo, P., Ren, Z. G., Xu, Y., Feng, Y., Ye, K. et al. (2013). Aging condition analysis of high voltage XLPE cables out of service. Transactions of China Electrotechnical Society, 28(10), 41–46. DOI 10.19595/j.cnki.1000-6753.tces.2013.10.006. [Google Scholar] [CrossRef]
8. Ren, Z. G., Luo, P., Xu, Y., Ye, K., Feng, Y. et al. (2013). Crystallization property and thermal stability analysis of high voltage XLPE cables out of service. Insulating Materials, 46(1), 40–44+48. DOI 10.16790/j.cnki.1009-9239.im.2013.01.013. [Google Scholar] [CrossRef]
9. Liu, F., Huang, X., Wang, J., Jiang, P. (2012). Insulation ageing diagnosis of XLPE power cables under service conditions. Proceedings of 2012 IEEE International Conference on Condition Monitoring and Diagnosis, pp. 647–650, Bali, Indonesia. DOI 10.1109/cmd.2012.6416228. [Google Scholar] [CrossRef]
10. Wu, W. G., Ding, Y. Q., Huang, Q. M. (2003). A study on appraisal method of crystallite size for nanometre materials. Journal of Fuzhou University (Natural Science31(1), 49–51. [Google Scholar]
11. Zhao, W., Zhang, Z. P., Hu, L. X., Yang, X. Y., Wang, S. H. et al. (2019). Effects of 500 kV submarine cable factory joint insulation recovery on power frequency breakdown and crystalline morphology of XLPE. High Voltage Engineering, 45(11), 3437–3444. DOI 10.13336/j.1003-6520.hve.20181205017. [Google Scholar] [CrossRef]
12. Xu, Y., Luo, P., Xu, M., Sun, T. (2014). Investigation on insulation material morphological structure of 110 and 220 kV XLPE retired cables for reusing. IEEE Transactions on Dielectrics and Electrical Insulation, 21(4), 1687–1696. DOI 10.1109/TDEI.2014.004311. [Google Scholar] [CrossRef]
13. Li, H., Li, J. Y., Ma, Y. X., Yan, Q. M. (2017). Effects of thermal aging on the crystal structures of the XLPE cable insulating material at different temperatures. Proceedings of the CSEE, 37(22), 6740–6748+6787. DOI 10.13334/j.0258-8013.pcsee.1626407. [Google Scholar] [CrossRef]
14. Ouyang, B. H., Zhao, J. K., Li, H., Li, J. Y. (2015). Influence of crosslinking by-products on dielectric and mechanical properties of XLPE cable insulation. Insulating Materials, 48(5), 31–34+39. DOI 10.16790/j.cnki.1009-9239.im.2015.05.007. [Google Scholar] [CrossRef]
15. Liu, C. Y., Zheng, X. Q., Bie, C. L. (2016). Research of preparation and non-linear conductivity modification of doped ZnO/Epoxide resin material. Transactions of China Electrotechnical Society, 31(12), 24–30. DOI 10.19595/j.cnki.1000-6753.tces.2016.12.003. [Google Scholar] [CrossRef]
16. Zhan, W. P., Chu, X. L., Shen, Z. J., Luo, Z. Y., Chen, T. B. et al. (2016). Study on aggregation structure and dielectric strength of XLPE cable insulation in accelerated thermal-oxidative aging. Proceedings of the CSEE, 36(17), 4770–4778. DOI 10.13334/j.0258-8013.pcsee.152053. [Google Scholar] [CrossRef]
17. Guide for the statistical analysis of electrical insulation breakdown data. Beijing: Standards Press of China, 2013. [Google Scholar]
![]() | This work is licensed under a Creative Commons Attribution 4.0 International License, which permits unrestricted use, distribution, and reproduction in any medium, provided the original work is properly cited. |