![]() | Fluid Dynamics & Materials Processing | ![]() |
DOI: 10.32604/fdmp.2021.017572
ARTICLE
Using Image Processing Technology and General Fluid Mechanics Principles to Model Smoke Diffusion in Forest Fires
Institute of Civil Engineering, Huanghe S&T University, Zhengzhou, 450063, China
*Corresponding Author: Liying Zhu. Email: w10cp4@163.com
Received: 20 May 2021; Accepted: 26 July 2021
Abstract: In the present study, the laws of smoke diffusion during forest fires are determined using the general principles of fluid mechanics and dedicated data obtained experimentally using an “ad hoc” imaging technology. Experimental images mimicking smoke in a real scenario are used to extract some “statistics”. These in turn are used to obtain the “divergence” of the flow (this fluid-dynamic parameter describing the amount of air that converges to a certain place from the surroundings or vice versa). The results show that the divergence of the smoke depends on the outside airflow and finally tends to zero as time passes. Most remarkably, compared with clouds and fog, smoke has a unique dynamic time-evolution curve. The present study demonstrates that as long as image processing technology and intelligent monitoring technology are used to monitor the gas flow in a forest, the occurrence of forest fires can be quickly diagnosed.
Keywords: Fluid mechanics; image processing; smoke diffusion; forest fire
With the rapid development of science and technology and the continuous improvement of productivity, the consumption of natural resources is rising sharply, and environmental pollution is becoming more and more serious. Besides, the greenhouse effect further deteriorates the environment that people depend on for survival. In this case, environmental protection attracts more and more people’s attention. The exploration of various renewable energy sources and the use and research of clean energy sources become research topics in related fields. As the lungs of the earth, forests are precious resources for human survival and play a very important role in human development [1]. However, industrial development and human activities are destroying forest resources. The global forest coverage rate was as high as 70% 1,000 years ago, while it is only about 25% now, which makes the number of many species in the forest is decreasing or even on the verge of extinction [2]. This makes people gradually realize the importance of protecting forest resources. In addition, a forest fire is also one of the main factors destroying forest resources. Therefore, monitoring and preventing forest fires is important in protecting forest resources.
The occurrence of forest fires is uncontrollable, and almost all forest fires happen suddenly and randomly. When the temperature reaches the combustion coefficient, forest fires will occur. Forest fires cause huge damage to forest resources in a short period, and they have the characteristics of continuity and destructiveness. Also, there are other factors causing forest fires, which include the woody conditions of the forest, weather (wind, lightning, and thunder), cigarette butts, and firecrackers [3]. Since the trees in the forest are dense, a small spark may cause a huge fire, resulting in big losses and air pollution. Therefore, a system used for monitoring and preventing forest fires is needed, and the work in the monitoring and prevention of forest fires needs to be strengthened urgently, that is, the risk of forest fires should be reduced and the specific measures should be worked out [4]. Therefore, monitoring forest fires is the top priority of forest fire prevention.
First, the grayscale of the collected image is expanded and stretched based on image processing technology and fluid mechanics. Second, image segmentation and smoke extraction are conducted. The image of the smoke area is extracted to ensure the accuracy of the data before the smoke pixel statistics are carried out. Then, the divergence and dynamic characteristics are obtained by analyzing the smoke and clouds in the simulated scene. Finally, on the time axis, the number of smoke pixels is statistically recorded, and the divergence and dynamics image curves are drawn. The mechanical nature of smoke diffusion in forest fires is analyzed.
As a branch of fluid mechanics, aerodynamics is often used to analyze the dynamic characteristics of gas fluids. Based on the principles of aerodynamics, the smoke and clouds in the forest fire site are analyzed. The dynamic characteristics of smoke in forest fires are the basis for fire detection. The innovations of the study are: 1. the smoke characteristics of forest fires are extracted and identified, the video of the forest fire is extracted from the image, the grayscale is conducted on color images, and then the smoke images are extracted to analyze the dynamic characteristics of the smoke in forest fires. This not only provides the basis for flame simulation and smoke diffusion but also simplifies the process of data calculation and extraction. 2. The mathematical vector is used to represent the smoke image, which can make the smoke characteristics expressed accurately in the quantitative form and the research results more precise.
2.1 Concepts of Engineering Fluid Mechanics and Related Research
Based on image processing technology and engineering fluid mechanics, the dynamic characteristics of the smoke and clouds during the forest fire are analyzed, including the application of the principles of fluid mechanics and related technologies. Engineering Fluid Mechanics is a branch of mechanics and mainly studies the static state and motion state of the fluid and the interaction and law between the fluid and the solid boundary wall under the action of various forces. As a research branch of fluid mechanics, aerodynamics originates from aircraft. The aviation industry is expected to reveal the pressure distribution around the aircraft, the stress state, and the resistance of the aircraft, which promotes the development of fluid mechanics in practice and theories. Abderrahmane et al. carried out numerical studies on the flow of thin compressible nitrogen in the microchannel, and the low values of Reynolds number and Mach number. The two-dimensional control equation is solved by the finite element method with first-order sliding boundary conditions (Comsol Multiphysics software) to accurately predict the pressure-driven flow in microchannel [5]. This study involves the knowledge of aerodynamics. After that, fluid mechanics begin to develop and interact with other disciplines to form new interdisciplinary or marginal disciplines, such as physical-chemical fluid dynamics and magnetohydrodynamics. Ou et al. used rheometer, DSC (Differential Scanning Calorimetry), infrared spectroscopy, DMA (Dynamic Mechanical Analyzer), TGA (Thermogravimetric Analyzer), and mechanical properties analyzer to study the properties of the cyanate ester of RTM (Resin Transfer Molding) and its T800 carbon fiber composites [6]. The study also involves the study of fluid mechanics and materials. With the continuous development of fluid mechanics, the interdisciplinary with other disciplines gradually becomes the research direction of the current research hotspot. Based on the principle of fluid mechanics and aerodynamics, this study conducts a dynamic analysis of the flowing gas in the fire scene.
2.2 Current Situation of Forest Fire Detection and Prevention
Moon et al. studied the factors affecting wind speed in forest fires to control forest fires [7]. Lyu et al. integrated BIM into Pyrosim software, and BIM-based forest fire simulation was realized. Then the fire simulation information and available safe evacuation time at key locations were obtained. In view of this, a set of fire simulation methods based on BIM subway stations are established [8]. Janardhan et al. proposed a simulation method of the forest fire spread based on CFD. This method uses the ignition temperature model to perform pyrolysis and introduces a grid-dependent correction of the fuel surface area [9]. Dumke et al. studied the effect of the venous helmet on heat stress during field firefighter simulation [10]. Combined with computer technology, all these studies adopt the simulation method to study forest fire. And the fire scene is also simulated. Many studies use satellite reconnaissance hormones and image recognition technology to study forest fires. In short, forest fires have received more and more attention.
Since forest resources are closely related to human life and production, there are more and more studies on the detection of forest fires, which are mainly based on image recognition technology. The types of forest fire detection technologies can be summarized into two categories. One is flame detection technology, and the other is fire smoke recognition technology. Because smoke comes out before the flame during a forest fire, the research direction transfers from the flame to smoke, which can monitor and prevent the occurrence of forest fires fundamentally.
Although they are diversified and rich, the existing research methods of forest fires still have some shortcomings. Whether the satellite image is used to detect forest fires or the dynamic study is used to detect fire scenes, it is necessary to analyze the dynamic and static characteristics of flames or smoke. However, the identification of moving objects is easily affected due to the complex conditions at the fire scene. Therefore, the innovation of the study lies in the extraction and recognition of the smoke characteristics of forest fires based on image recognition. The videos of forest fires are extracted by images, and the grayscale of color images is calculated. Then only the smoke images are extracted to analyze the dynamic characteristics of smoke. This not only provides a basis for judge the characteristics accurately but also simplifies the process of data calculation and extraction.
2.4 Research on Smoke Diffusion Based on Image Recognition
According to the research results of fire simulation and the related literature, the simulation experiment is carried out. The occurrence of forest fires is simulated and the videos are recorded. The image processing technology is used to extract the smoke area in the fire scene. Based on the principle of aerodynamics, the smoke and clouds in the area are analyzed dynamically. The curve of the dynamic characteristics of smoke in the fire scene is drawn, which is the basis for fire detection. But in the smoke video of forest fires, the image of the cloud is similar to the smoke in the fire scene. And the image characteristics of clouds and fog are analyzed to eliminate interference items.
Fig. 1 shows the specific process of the research.

Figure 1: Experimental process
As shown in Fig. 1, a forest fire is simulated and the video is recorded as the experimental material first.
According to the relevant laws and regulations, open flames are prohibited in the forests. Under this condition, the research data are the smoke data of images based on aerodynamics which are obtained by simulating the smoke image close to the actual situation [11]. The experimental data are as follows: first, a camera is used to take the videos and the record of smoke and forest fires, and the smoke image is extracted from the video. In the experiment, the smoke cake that has the same burning effect as forest fires is selected as the raw material; a farm in the woods is chosen as the fire scene; the smoke movement produced by the burning of the smoke cake is used to simulate a real forest fire. Second, an appropriate shooting point is placed, and the camera is used to take long-distance photos and record the entire burning process of the smoke cake. During the burning process of the smoke cake, pictures are taken every ten seconds. Finally, based on image processing technology, the collected smoke images are analyzed and the dynamic and static characteristics of the smoke are extracted. Digital image processing technology is most important in forest fire detection. If the image processing data are accurate, a convincing conclusion will be obtained, which makes the smoke sensed vividly. The camera used in the experiment is an HDR-AX2000E professional camera, which meets the needs of the experiment.
After the video is obtained, it is too difficult to directly extract features from the video. Therefore, the video needs to be divided into frames for images.
According to the types of pixels, images are divided into four categories: binary images, grayscale images, RGB images, and indexed images.
A binary image refers to an image in which each pixel on the image has only two possible values. The color of the binary image is determined by the set of pixel values of the binary image [12]. In a binary image, there are only two gray levels. In other words, the gray values of any pixel in the image are 0 or 255, and they are black and white respectively.
A grayscale image is an image with only one sampled color of each pixel. Grayscale images can be graded into colors. The grayscale image is usually stored with a non-linear scale of 8 bits per sampled pixel so that there are 256 levels of grayscale. The black and white photos in life are grayscale [13].
An R (Red) G (Green) B (Blue) image refers to a color image, which is shown by different ratios of RGB which includes almost all the colors that humans can perceive. The RGB image is one of the most widely used color systems, and it follows the RGB color standard. On the display, an electron gun is used to hit the red, green, and blue light-emitting poles of the screen to produce colors. Computers can display 32-bit colors, with more than ten million colors [14].
An indexed image is an image in which the pixel is directly used as the subscript of the RGB palette. The indexed images can save a lot of space when the quality of the image is ensured.
Since too many colors affect the recognition and extraction of smoke, color images need to be converted to grayscale images. Fig. 2 shows the contrast effect before and after gradation processing.

Figure 2: Contrast of gray-scale image before and after gradation processing
Since the vector method is used for dynamic feature extraction, the gray image is represented by a vector.
The image collected from the video is a color image and needs to be converted into a grayscale image for processing. The converted grayscale image
In Eq. (1),
After the image is converted to the grayscale image, the grayscale must be stretched. The stretching equation is as follows:
In Eq. (2),
After the image is processed, the smoke image needs to be extracted by using the background difference method [17]. It is also represented by a vector.
Eq. (3) can be used to obtain the image after the difference operation.
In Eq. (4),
The smoke area calculated by using the background difference method is expressed as follows:
In Eq. (4),
The calculation equation of the smoke area by using the background difference method is:
The foreground smoke area can be calculated by using Eq. (6):
2.5 Analysis of the Meteorological Divergence in Forest Fire
Open flames and the combustibility of forest vegetation are two important factors that affect the spread of forest fires. The two factors are difficult to be controlled artificially but are easy to be affected by climate [18]. Open flames and natural factors are the important causes of forest fires. For example, in some mountainous areas with high-altitude, lightning can easily cause forest fires. Forest fires caused by human factors mainly occur in winter because the weather in winters is dry and it rarely rains and snows, while the forest fires caused by natural factors mainly occur in springs, summers, and autumns because it is often raining with lightning and thunder in springs and autumns. In long-term dry and rainless areas, small oversights may cause huge forest fires. Thus, it is very important to know about the relationship between meteorological conditions and forest fires, thereby monitoring the risk and controlling fires in time [19].
Divergence refers to the amount of air that converges to a certain place from surroundings or flows away from a certain place. In the prediction of forest fires, the spread of smoke is studied by monitoring the spreading conditions of forest fires. In the monitoring of forest fires, it is necessary to distinguish the divergence of clouds and that of smoke [20].
2.6 Analysis of the Aerodynamic Properties of Smoke
Forest fires are great obstacles to the protection of forest resources. A sporadic fire may destroy a forest that has grown for hundreds of years [21]. In the past forest disaster prevention, fires are considered as the most destructive and influential factors destroying forest resources. Therefore, protecting and monitoring measures should be taken to minimize the probability of forest fires. Even if a forest fire occurs, it can be controlled at an early stage to reduce the loss. Some related studies show that forest fires have a close correlation with natural conditions, so it is necessary to study the internal connection between the two. Aerodynamics is helpful to finding better forest fire prediction methods. Aerodynamics is a subunit of fluid mechanics and it mainly analyzes the force of the gas and studies the force when the movement of gas and related air changes.
It is widely known that a large amount of smoke will produce when a fire occurs. As discussed in the last section, the movement of smog changes with weather conditions, and the smog diffusion path is also various. These diffusion paths are shown mathematically in the diffusion curve of smoke. The dynamic state of smoke is ultimately a manifestation of aerodynamics, and a dynamic curve of smoke is drawn according to the diffusion curve of smoke [22]. As the combustion continues, the smoke produced is also increasing. At this time, the pixel statistics are conducted and the smoke dynamics curve is drawn according to the combustion time.
3 Result Analysis and Discussion based on Smoke Diffusion Dynamics
3.1 Result Analysis of the Diffusion of Smoke and Clouds
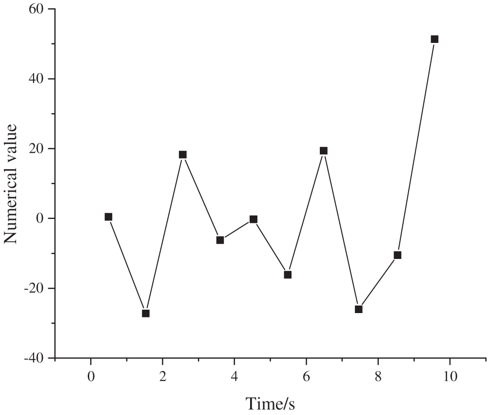
After the image is processed and analyzed, a line graph of the diffusion of smoke and clouds is drawn. Fig. 3 shows the diffusion of smoke.

Figure 3: The diffusion of smoke
Fig. 3 shows that the area of smoke is changing constantly, and it increases first, then decreases, and increases again after a while. This is due to the changes in the weather conditions. When the weather changes, the air on the smoke exerts a new force, which causes a change in the area of the smoke. In the initial stage of a fire, the smoke is less, and the air force affects the change of the smoke area greatly. As the smoke becomes more and more, the influence of the air force on the change of the smoke area decreases, and gradually tends to zero.
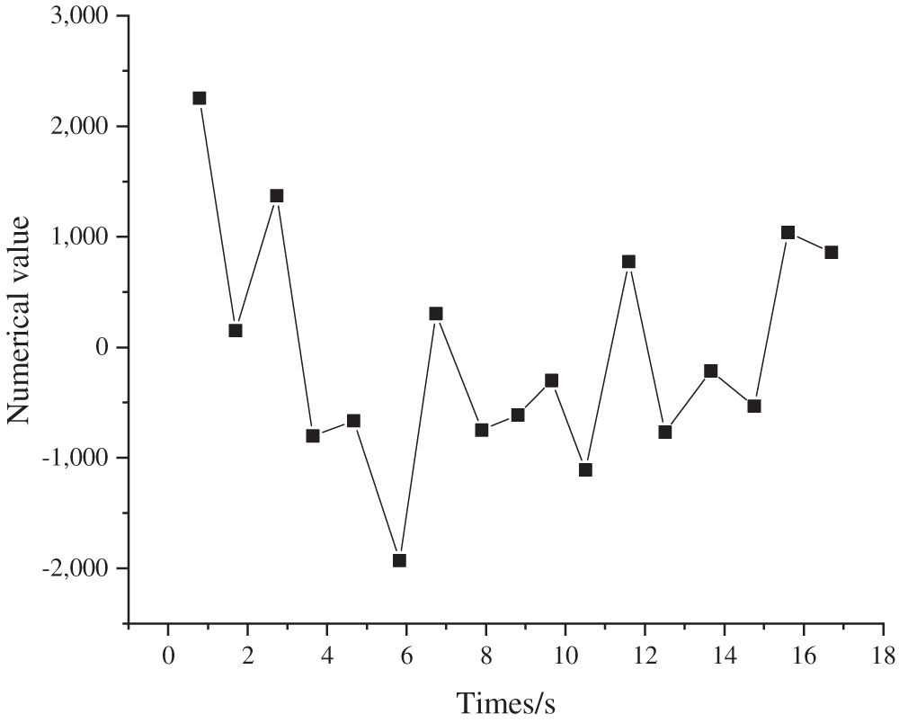
Fig. 4 shows the diffusion of the cloud.

Figure 4: The diffusion of the cloud
Fig. 4 shows that the area of the cloud also changes with the force of air, and it shows a positive state and then a negative one. Compared with the diffusion curve of smoke, the change range of the diffusion curve of clouds is quite greater, and the changing trend of the diffusion of the cloud increases. Under the influence of the air force, the cloud area changes more frequently. This is due to the different compositions of clouds and smoke. Clouds are mainly composed of small water droplets, while smoke is composed of water droplets and a lot of particles produced during combustion.
The comprehensive analysis of cloud and smoke diffusion shows that the changing trend of the two is different during the fire. The overall change trend of smoke is decreasing, while that of clouds and fog is increasing. As time passes, the overall diffusion trend of smoke is gradually approaching zero. The clouds and fog gradually spread. The time nodes of the diffusion of the two are also very different, and they are the key points to explore the diffusion difference between clouds and smoke. The results show that when the trend of the diffusion continues to decrease with time and tends to zero, smoke will be produced, indicating that there will be a forest in the forest.
3.2 Analysis of the Dynamics Curve
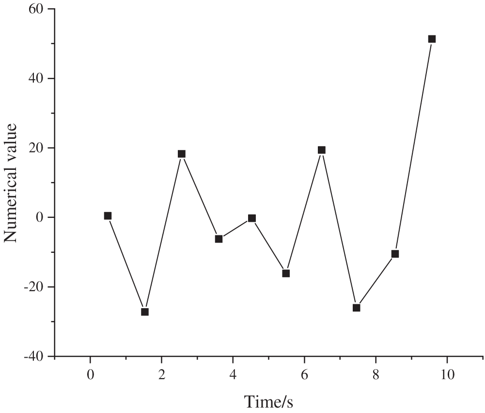
According to the dynamic state and the combustion time of smoke, the dynamics curve of smoke is drawn, as shown in Fig. 3.
Fig. 5 shows that during the production of smoke, the speed of the movement of smoke increases fast. The range change of the movement is the highest, showing a nearly straight upward trend. During the combustion process, the movement of smoke is fluctuating. This is because the state of the airflow changes when a forest fire occurs. Airflow has different effects on smoke, which results in different dynamic states of smoke. At the end of the combustion period, the speed of the movement of smoke drops sharply and eventually approaches zero. The dynamics curve of the smoke during forest fires smoke is shown in Fig. 5.

Figure 5: Dynamic curve of the smoke of forest fires
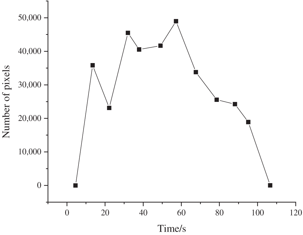
Fig. 6 shows the dynamic curve of the cloud.

Figure 6: Dynamic states of the cloud of forest fires
Fig. 6 shows that the dynamic states of the cloud change with the airflow. The dynamics curve shows that the dynamic state of clouds is very stable, and it only fluctuates between 55 w–60 w. This is because the total number of clouds is stable and does not suddenly increase or decrease with the change of airflow. This shows that although clouds and smoke are very similar in physical appearance, they have qualitative differences in dynamic states. And the pixels of the cloud is about 10 times denser than the smoke.
In summary, when a forest fire occurs, the changes in the external airflow exert forces on both smoke and clouds. Since the total number of clouds is stable and does not change, the dynamic state of clouds is also very stable. More smoke is continuously produced as time passes. In the initial stage of a fire, the speed of the dynamic changes rapidly and shows an upward trend. In the mid-term, large fluctuations appear with the change of airflow, and then the fire fades away. In the end, the movements reduce sharply and stop. Compared with clouds, the smoke has a unique movement curve. Therefore, image processing technology and intelligent monitoring technology are used to monitor the gas flow in the forest daily, and its movement curve is revealed and the occurrence of forest fires is monitored and prevented.
Environmental protection and the use of forest resources are hot topics nowadays. Based on fluid mechanics, the movement of smoke is analyzed during forest fires, and the occurrence of forest fires is monitored and prevented. First, the smoke is simulated to the actual situation of the smoke during forest fires, and the experimental images and data are obtained. The collected images are segmented and processed by using imaging technology. The image of the smoke area is extracted to ensure the accuracy of the data before the smoke pixel statistics are conducted. Second, the diffusion and dynamic characteristics of smoke and clouds in the simulation are analyzed. It is found that the diffusion of the smoke changes greatly with the force of airflow, and the overall trend is close to zero. The overall trend of the diffusion of clouds is increasing, which is caused by the difference in the physical composition of the two. The dynamic curve of the smoke changes greatly with the changes of weather, and it produces various fluctuations and has its dynamic characteristics. The dynamic curve of the cloud is relatively stable and changes a little in a long time. Compared with clouds, the curve of the dynamic characteristics is unique. Therefore, image processing technology and intelligent monitoring technology are used to monitor the gas flow in the forest daily. The curve of dynamic characteristics is observed to monitor and prevent the occurrence of forest fires. Based on imaging technology and fluid mechanics, the dynamic characteristics of smoke are explored, and the law of the dynamic characteristics of smoke and clouds is studied, this provided a reference for the related research in the future.
The study of smoke diffusion in fire scenes is based on image recognition, and enough data are collected by an experiment. A large number of video detection and communication devices and equipment are needed to monitor the occurrence of forest fires. If video detection and communication equipment devices are put into use in a large area, the infrastructure construction needs to be carried out, which is the shortcoming of the research. Nowadays, various cutting-edge technologies like edge computing and big data are applied to various industries one after another. They will be applied to the monitoring and prevention of forest fires in the future.
Funding Statement: This work was supported by Civil Engineering Specialty of Brand Construction Point of Private Colleges and Universities in Henan Province (No. ZLG201702).
Conflicts of Interest: The authors declare that they have no conflicts of interest to report regarding the present study.
1. Li, L., Chen, W., Li, H., Shi, S. (2020). Numerical simulation of fire-smoke diffusion caused by vehicles in a tunnel. Fluid Dynamics & Materials Processing, 16(5), 837–856. [Google Scholar]
2. Feng, W., Wang, Y., Tang, B., Zhang, S., Gu, X. (2020). Suppression on heat and smoke diffusion by zirconium nitride (ZrN) in intumescent flame retardant epoxy coatings. Progress in Organic Coatings, 146, 35–37. [Google Scholar]
3. Zhou, D., Tan, Z. (2020). On the Application of the lattice boltzmann method to predict soil meso seepage characteristics. Fluid Dynamics & Materials Processing, 16(5), 903–917. [Google Scholar]
4. Miao, H., Zhang, Y., Xu, M., Li, J. (2020). A multiphase wellbore flow model for sour gas kicks. Fluid Dynamics & Materials Processing, 16(5), 1031–1046. [Google Scholar]
5. Abderrahmane, A., Slimani, M., Mebarek-Oudina, F., Fares, R., Ganaoui, M. (2020). Pressure-driven gas flows in micro channels with a slip boundary: A numerical investigation. Fluid Dynamics & Materials Processing, 16(2), 147–159. [Google Scholar]
6. Ou, Q., Ji, P., Xiao, J., Wu, L. (2019). Study on the properties of resin transfer molding cyanate ester and its T800 grade carbon fiber composites. Fluid Dynamics & Materials Processing, 15(1), 27–37. [Google Scholar]
7. Moon, A., Diff, A. (2019). Sub-canopy forest winds: Understanding wind profiles for fire behaviour simulation. Fire Safety Journal, 105, 320–329. [Google Scholar]
8. Lyu, X., Bai, J., Chen, Y. (2019). Metro station fire simulation based on bim and pyrosim software. Urban Mass Transit, 22(6), 33. [Google Scholar]
9. Janardhan, R. K., Hostikka, S. (2019). Predictive computational fluid dynamics simulation of fire spread on wood cribs. Fire Technology, 55(6), 2245–2268. [Google Scholar]
10. Dumke, C. L., Gurney, S. C., Christison, K. S. (2020). Effect of vented helmets on heat stress during wildland firefighter simulation: 1423 Board #17 May 28 9:30 AM–11:00 AM. Medicine & Science in Sports & Exercise, 52(7S), 370. [Google Scholar]
11. Panagiota, A., Panagiotis, N., Emmanuel, V., Maria, H., Assimina, A. (2021). Earth observation as a facilitator of climate change education in schools: The teachers’ perspectives. Remote Sensing, 13(8), 1587. [Google Scholar]
12. Cheng, X., Jiang, Y., Li, M., Zhang, S. (2020). Influence of the axial position of the guide vane on the fluctuations of pressure in a nuclear pump. College of Energy and Power Engineering, 16(5), 1047–1061. [Google Scholar]
13. Zong, X., Tian, X., Wang, X. (2021). An optimal firebreak design for the boreal forest of China. Science of the Total Environment, 781, 102–104. [Google Scholar]
14. David, S., Geoff, W., Andrea, D., Katherine, H., Alexandra, S. (2021). Where there is smoke there is mercury: Assessing boreal forest fire mercury emissions using aircraft and highlighting uncertainties associated with upscaling emissions estimates. Atmospheric Chemistry and Physics, 21(7), 5635–5653. [Google Scholar]
15. Grangeon, T., Vandromme, R., Cerdan, O., Maria, A., Girolamo, D. (2021). Modelling forest fire and firebreak scenarios in a mediterranean mountainous catchment: Impacts on sediment loads. Journal of Environmental Management, 289, 701. [Google Scholar]
16. Admilson, P., Silva, J., Miguel, A., Faria, H. (2021). Assessment of k-nearest neighbor and random forest classifiers for mapping forest fire areas in central portugal using landsat-8, sentinel-2, and terra imagery. Remote Sensing, 13(7), 1345–1435. [Google Scholar]
17. Hadisuwito, A., Hassan, H. (2021). Prediction of meteorological parameter time series data for the forest fire early warning system. Journal of Physics: Conference Series, 1807(1), 24–26. [Google Scholar]
18. Mateus, D., Alencastro, G., Miho, Y., Pacheco, R., Martin, F. (2021). Forest fires and deforestation in the central Amazon: Effects of landscape and climate on spatial and temporal dynamics. Journal of Environmental Management, 288, 112310. [Google Scholar]
19. Weng, Y., Yang, G., Zhang, L., Di, X., Yu, H. (2021). The potential effect of pests on forest fire: Flammability of mongolian pine bark with resinosis on boles. Forests, 12(3), 365. [Google Scholar]
20. Kim, Y., Jeong, M., Youm, M., Kim, J., Kim, J. (2021). Recovery of forest vegetation in a burnt area in the republic of korea: A perspective based on sentinel-2 data. Applied Sciences, 11(6), 2570. [Google Scholar]
21. Tomás, N., Paul, L., Alfredo, R. (2021). Open data repositories and geo small data for mapping the wildfire risk exposure in wildland urban interface (WUI) in Spain: A case study in the Valencian Region. Remote Sensing Applications: Society and Environment, 22, 100500. [Google Scholar]
22. Rémy, L., Sylvain, M., Laurent, M. (2021). The 2017 mega-fires in central chile: Impacts on regional atmospheric composition and meteorology assessed from satellite data and chemistry-transport modeling. Atmosphere, 12(3), 344. [Google Scholar]
![]() | This work is licensed under a Creative Commons Attribution 4.0 International License, which permits unrestricted use, distribution, and reproduction in any medium, provided the original work is properly cited. |