| Intelligent Automation & Soft Computing DOI:10.32604/iasc.2022.024815 | ![]() |
| Article |
Ant-based Energy Efficient Routing Algorithm for Mobile Ad hoc Networks
1Department of ECE, Government College of Engineering, Tirunelveli, 627007, Tamilnadu, India
2Government College of Engineering, Bargur, Krishnagiri, 635104, Tamilnadu, India
*Corresponding Author: P. E. Irin Dorathy. Email: irindorathy@gcetly.ac.in
Received: 01 November 2021; Accepted: 22 December 2021
Abstract: In this paper, an Ant Colony Optimization (ACO) based Energy Efficient Shortest Path Routing (AESR) algorithm is developed for Mobile Ad hoc Network (MANET). The Mobile Ad hoc Network consists of a group of mobile nodes that can communicate with each other without any predefined infrastructure. The routing process is critical for this type of network due to its dynamic topology, limited resources and wireless channel. The technique incorporated in this paper for optimizing the routing in a Mobile ad hoc network is Ant Colony Optimization. The ACO algorithm is used to solve network problems related to routing, security, etc. in wired and wireless networks. This proposed work is used for selecting the energy efficient shortest route between the source and the destination of the network. This routing technique uses important parameters such as residual energy of the nodes, minimum residual energy of the path, the distance between the nodes, trip time and hop count to select the optimal route for communication to extend the lifetime of the network by reducing the energy consumption. The proposed routing protocol is compared with other conventional routing protocols. The experimental results demonstrate that the proposed AESR routing protocol outperforms the existing protocols in terms of performance metrics such as Packet Delivery Ratio, Average Path Length, Network Lifetime, Number of Dead nodes and Average Energy Consumption in high mobility networks.
Keywords: Mobile ad hoc network; ant colony optimization; energy efficient; pheromone
Mobile Ad hoc Network (MANET) is a complex distributed system formed by mobile nodes that can move freely and can be self-organized for creating temporary networks [1]. Routing is one of the important and challenging research areas in the MANET because of its characteristics such as limited power, limited bandwidth, wireless channel and dynamic topology [2]. Several routing protocols were developed by the researchers for the Mobile Ad hoc Network. The routing protocols in MANET are broadly classified into three: proactive or table driven routing protocol, reactive or on-demand routing protocol and hybrid routing protocol [3,4]. In proactive or table driven routing protocol, the routing information is maintained in the routing table by each node in the network and it is updated periodically. Wireless Routing Protocol (WRP), Destination Sequence Distance Vector (DSDV) routing [5] and Optimized Link State Routing (OLSR) [6] are some of the proactive routing protocols. The second group of routing protocols is reactive or on-demand routing protocol in which routes are discovered and maintained only on demand. Ad hoc On-demand Distance Vector (AODV) routing [7], Temporally Ordered Routing Algorithm (TORA) and Dynamic Source Routing (DSR) [8] are examples for reactive routing protocols. Ad hoc On-demand Multipath Distance Vector (AOMDV) [9] routing is also an on-demand routing protocol that discovers multiple paths for Mobile Ad hoc Networks. Hybrid routing is the third group of routing protocols that combines the features of proactive and reactive routing protocols. Common hybrid routing protocols are Zone based Hierarchical Link State (ZHLS) routing and Zone Routing Protocol (ZRP).
Energy conservation is one of the important parameters that can influence to a greater extent for improving the performance of Mobile hoc Ad Networks. Normally, energy can be conserved in any network in two ways: by reducing the communication range of the node and by controlling the transmission and the reception power. Generally, the mobile nodes have limited power, since they operate on battery power. Moreover, the mobile nodes can function as a router by forwarding the data packets to other nodes. This in turn results in more power consumption in Mobile Ad hoc Networks which may reduce the Network Lifetime. To overcome this problem, a new energy efficient routing protocol was suggested which is mainly based on the concept of the ACO algorithm. ACO refers to Ant Colony Optimization which solves many problems in networking applications [10]. The ACO is based on the concept of ants searching for food. The ant deposits a chemical called pheromone while moving from one place to another. This pheromone is sensed by other ants on their way to find the food. The same concept can be introduced in the Ad hoc networks to find the destination of the data packet, where the routing packets are assumed as smart ants which move from one node to another node in search of a destination. The artificial ants can lay pheromone along with the link between the nodes and they can collect information regarding the distance between the nodes, trip time, residual energy of the nodes etc. The information collected by the ants can be used by the nodes to find the energy efficient shortest path between the source and the destination. The selected path can be used for transmitting the data packet which increases the lifetime of the network.
The remainder of this paper is structured as follows: Section 2 deals with the existing techniques related to the proposed work. The merits and demerits of the existing methods are also discussed. Then, Section 3 describes the model of Mobile Ad hoc Network. Section 4 describes the proposed Ant Colony Optimization based Energy Efficient Shortest Path Routing (AESR) algorithm. Section 5 presents the performance metrics used to analyze the performance of the proposed method. Section 6 discusses the results obtained from the simulation conducted to analyze the performance of the AESR and the last section deals with the conclusion and future scope.
Several ant-based routing protocols are developed for wired and wireless networks [11]. Some of the antbased routing algorithms are ABC (AntBased Control), AntNet (AntBased Network Routing Algorithm), ARA (Ant Colony Based Routing Algorithm) and AntHocNet (Ant Agents for Hybrid Multipath Routing in Mobile Ad hoc Network). The ABC is an ACO based proactive routing protocol used in wired networks and it is used as a load balancing protocol in the circuit switched networks. To determine the optimal route for transmission between the source and the destination nodes, the heuristic parameter considered in ABC is the distance between the nodes. The AntNet is the proactive routing protocol based on ACO, but it is used only for wired networks [12]. In this technique, routing is done based on the goodness parameter called pheromone value that is stored in the routing table of the nodes in the network.
The ARA is a highly adaptive and scalable ant colony-based routing algorithm that is efficient and reactive in nature [13]. In this protocol, new routes are discovered using forward ants and backward ants. The three parameters in the routing table are destination node address, next hop address and pheromone value. The important advantage of this technique is that the routing information is not exchanged between the nodes frequently which in turn reduce the overhead. The AntHocNet is an ACO based hybrid routing protocol that uses both proactive and reactive ants for routing [14]. Multiple routes between two nodes are discovered using reactive ants where as proactive ants are used for creating new paths and maintaining the existing path during the transmission of data. The pheromone is determined by the number of hops and travelling time of the ants for moving from the source node to the destination node.
The Improved Energy and Mobility Ant Colony Optimization (IEMACO) routing algorithm select the good quality path based on the remaining lifetime of the nodes and the link [15]. This technique reduces the route discovery frequency and increases the lifetime of the network, even there is a change in the network topology. Moreover, the end to end delay and the packet loss rate is reduced in this method. But the main disadvantage of this protocol is that it has certain local optimal effects in the route maintenance process. The Ant Colony based Energy Control Routing (ACECR) protocol uses the positive feedback character of the ants for finding the optimal path between two nodes [16]. It depends on the average energy and the minimum energy of the nodes which provides balanced energy consumption and extends the lifetime of the network. But the problem with this algorithm is that it produces high routing overhead due to the generation of a large number of routing packets.
Mohajerani et al. [17] suggested an Ant Colony Optimization based routing algorithm for extending the lifetime of the network. The location of the mobile node and the energy information is used for routing the data from one node to another. The lifetime of the network can be increased by reducing energy consumption. In this technique, it is assumed that the total dissipated energy is equally distributed among all the nodes in the network but this is not applicable for all the cases. Malik et al. [18] adopted an antbased QoS (Quality of Service) aware routing protocol in which the QoS requirement of the nodes for generating heterogeneous traffic is met by the application of bio-inspired routing technique. The minimum residual energy is improved in this approach which in turn increases the lifetime of the network. The residual bandwidth, end to end delay and residual energy of the nodes are considered to provide QoS aware routing.
Sarkar et al. [19] presented an enhanced ant AODV for optimal route selection in MANET in which the route for data transmission is selected based on the parameters like end-to-end reliability of the path, residual path, congestion and the number of hops. Similar work was carried out by Papanna et al. [20], where the efficient node selection was made with an emphasis on QoS. It has better performance when compared to the traditional routing protocols such as DSR and AODV. The limitation of this technique is that the routing overhead is not analyzed which may be high for this protocol. Ren et al. [21] discussed a routing technique based on the combination of reactive route setup and proactive neighbor maintenance that uses the local and global information of the mobile nodes such as pheromone values, congestion metric, link quality and remaining information of the nodes. This routing technique performs well in heavy load traffic and in large networks. Malar et al. [22] proposed the multi constraints applied energy efficient routing technique based on Ant Colony Optimization that can be used for disaster resilient location detection in MANET. This method selects the next hop node based on the residual energy, number of packets on the path and dynamic movement of topology.
The purpose of this work is to develop an energy efficient routing for Mobile Ad hoc Network. The nodes in the Mobile Ad hoc Network have limited battery capacity. So it is important to consider the energy efficient routing in Mobile Ad hoc Network so that the available energy can be used efficiently by reducing the energy consumption which in turn increases the lifetime of the network. Several energy efficient routing algorithms have been proposed for Mobile Ad hoc Network. The swarm intelligence based energy efficient routing performs well compared to the traditional routing protocols. In the proposed routing protocol, for selecting the energy efficient optimal path the parameters consider both the residual energy of the nodes and the distance of the path which leads to the selection of energy efficient shortest path for data transmission.
Any Mobile Ad hoc Network (MANET) can be represented in the form of a graph G(N, E) where N denotes the number of nodes and E is the number of links in the network. Let us consider a network with six nodes {N1, N2, N3, N4, N5, N6} that are connected in a symmetric manner with undirected links as shown in Fig. 1. The lifetime of the network is enhanced by reducing energy consumption. Moreover, the routing decision must consider the important parameters such as residual energy of each node, average residual energy of the path, minimum residual energy of the path, hop count, trip time and the distance between the nodes in the network.

Figure 1: Mobile Ad hoc network model
In this section, the proposed Ant Colony Optimization based Energy Efficient Shortest Path Routing (AESR) algorithm for Mobile Ad hoc Network is presented in detail. The methodology consists of two different phases of routing protocol namely:
1. Path discovery
2. Data transmission and Route maintenance
The path discovery gives the optimal path between the source and the destination nodes of the network. The optimal path is identified using Ant Colony Optimization based Energy efficient Shortest path Routing (AESR) algorithm. It is a reactive routing protocol based on the ACO algorithm. In the path discovery phase, two control ants such as REQUEST Ant

Figure 2: Flow diagram for the path discovery

Figure 3: AESR Algorithm
When a source node (s) has to send data to a destination node (d), it initially verifies its routing table for the availability of the path between the source node and the destination node. If the path is available, then the source will forward the data through that path. If the path information is not present in the routing table, then the source node will broadcast a REQUEST Ant
Structure of
The different fields present in the

Figure 4: Structure of
Step 1: Initialization and Broadcasting of
Initially the hop count, distance and trip time fields of the REQ_ANT are set to zero. Moreover, the residual energy field, minimum residual energy field and the total residual energy field of the
Step 2: Reception of
In this step, first, the source node (s) sends
Now, the hop count field (hc) in the
In addition to that, the first intermediate node (j) replaces the residual energy of the source node (er(s)) present in the
In the above equation,
Step 3: Reception of First
When the destination node (d) receives the first

Figure 5: Structure of
Step 4: Reception of Second
When the second
In the above equation,
Step 5: When Intermediate Node Receives
When an intermediate node receives the
Step 6: When Source Node Receives
When the source node receives the
4.2 Data Transmission and Route Maintenance
Once the
where σ is the pheromone evaporation constant that lies between 0 and 1.
The random parameters employed in this algorithm include pheromone updation constant (ρ), pheromone evaporation constant (σ), weight for the hop count (α), trip time (β) and distance (γ) of the path. After repeated simulation analysis, it is found that the best results are obtained for the following values of the random parameters:
The performance of the proposed routing protocol is evaluated by considering five performance metrics such as Packet Delivery Ratio (PDR), Average Path Length (APL), Network Lifetime (NL), Number of Dead nodes (ND) and Average Energy Consumption (AEC) [25,26]. These performance metrics are defined as follows.
5.1 Packet Delivery Ratio (PDR)
Packet Delivery Ratio refers to the total number of packets received by the destination to the total number of packets transmitted by the source. The Packet Delivery Ratio must be high for a good routing protocol. In other words, it is desirable that the maximum number of data packets has to be reached to the destination.
It is the average length of the path traveled by the packet between the source node and the destination node. The data packets must take the shortest path to reach the destination node from the source node. The Average Path Length taken by the data must be less for an energy efficient routing protocol.
Network Lifetime is the time when the first node in the network dies. In other words, it is the time when the first node’s battery power is exhausted. The Network Lifetime is an essential parameter for representing the performance of the energy efficient routing protocol for MANET. It depends on the battery power of the mobile node in the network. The energy efficient routing protocol must prolong the Network Lifetime by reducing the Average Energy Consumption.
A Dead node is one whose residual energy is zero or battery power is completely exhausted.
where Ni represents the nodes in the network and er represents the residual energy of node Ni.
5.5 Average Energy Consumption
It is the ratio of the total amount of energy consumed for transmission and reception of packets from source to destination to the total number of nodes in the network. The energy efficient routing protocol must reduce the Average Energy Consumption and enhance the overall lifetime of the network.
This section explains the details of the simulation results attained for the proposed methodology. In this work, the Network Simulator NS2 (Version 2) is used for constructing the network and computing the performance metrics of the network. It is the commonly used simulation tool for the research in the networking field. The two languages used in NS2 are C++ and OTcl. The C++ language is efficient for the implementation of a design but visualization is difficult. At the same time, OTcl is an object-oriented extension of Tcl script language where visualization is easy. Two cases of Mobile Ad hoc Network is constructed for simulation purpose. In the first case, the Mobile Ad hoc Network is constructed with 50 nodes and in the second case, Mobile Ad hoc Network is constructed with the variable number of nodes (20, 40, 60, 80 and 100 nodes).
The nodes are distributed in a random manner within the simulation area. The random waypoint mobility model is considered for node movement in which the nodes move with a constant velocity of 20 m/s. The pause time of the nodes is varied from 0 to 300 s. The initial energy of the mobile node is taken as 20 J. The power required for transmission is set to 0.3 mW and power for the reception of a packet is set to 0.2 mW. In this work, each experiment runs for about 300 s. The performance of the proposed technique is analyzed by comparing it with three different algorithms (AOMDV, ARA and ACECR). The performance metrics are computed for different networks and the results are discussed in the subsequent sections. Tab. 1 summarizes the parameters used for the simulation of the proposed work.

6.2 Case 1: Performance Analysis of the MANET with 50 Nodes
First, the Mobile Ad hoc network is created with the interconnection of 50 nodes which are distributed randomly within the area 1500 m × 300 m. Moreover, the constructed network is analyzed by considering two distinct scenarios. In the first scenario, the performance of the network is evaluated by varying the pause time of the mobile nodes and in the second scenario, the performance is evaluated by varying the mobility of the nodes.
Scenario I: Results by Varying the Pause Time of the Mobile Nodes
The impact of the pause time of the nodes in the network is analyzed by varying the pause time. The pause time of the nodes is varied from 0 to 300 s. The mobile nodes move with a constant speed of about 20 m/s. Fig. 6 shows the variation of different performance metrics such as Packet Delivery Ratio (PDR), Average Path Length (APL), Network Lifetime (NL), Number of Dead nodes and Average Energy Consumption (AEC) with respect to the pause time of the nodes. The performance of the proposed AESR routing algorithm is compared with other algorithms such as ACER, AOMDV and ARA and the results are depicted in the figure shown below.

Figure 6: Variation of different performance metrics with respect to pause time. (a) Packet delivery ratio (PDR) (b) Average path length (APL) (c) Network lifetime (NL) (d) No. of dead nodes (ND) (e) Average energy consumption (AEC)
The performance result demonstrates that the proposed AESR method provides better performance than ACECR, AOMDV and ARA at all the different pause times considered in this simulation. Fig. 6a reveals the comparison of ACECR, AOMDV, ARA and proposed AESR for Packet Delivery Ratio against varying the pause time of the nodes When the pause time is low, there is an increase in the mobility of nodes which results in a frequent change in the topology of the network. So, the PDR is less at low pause times. As the pause time increases, the node mobility decreases which in turn increases the Packet Delivery Ratio. The Packet Delivery Ratio of the AESR method is nearly 5% more than the Packet Delivery Ratio of the ACECR algorithm. Similarly, the Packet Delivery Ratio of AESR is about 20% to 30% greater than the AOMDV and ARA.
Fig. 6b reveals the comparison of ACECR, AOMDV, ARA and proposed AESR for Average Paths Length against varying the pause time of the nodes. The AESR selects the optimal path not only based on the residual energy but also based on the distance, trip time and hop count. So, the path used for data transmission is an energy efficient shortest path in which the data packets travel along the path whose length is short but at the same time, the total residual energy of the path is high. But in ACECR, distance and trip time are not considered in the optimal path selection and so the data packets travel through the path that is energy efficient but at the same time, the length of the path is long.
Fig. 6c indicates the variation of the lifetime of the network with respect to the changing pause time of the nodes. In AESR, the lifetime of the network is 215, 227, 266, 295, 248, 293, 263 s respectively and it is found that these values are high when compared to the Network Lifetime of ACECR, AOMDV and ARA for varying pause times. The lifetime of the network in AESR is extended by 10, 100 and 50 s when compared to ACECR, AOMDV and ARA. It is clear that AESR prolongs the lifetime of the network by conserving energy. This is because the proposed routing technique selects the energy efficient shortest path for data transmission between two nodes.
Fig. 6d compare the number of dead nodes in the ACECR and AESR routing techniques. It is clearly identified that the number of dead nodes decreases initially as the pause time of the nodes increases. In AESR, the REP_ANT selects the route with higher minimum residual energy among the available routes which in turn results in the reduction of dead nodes. But in ACECR, the REP_ANT follows the same path traveled by the REQ_ANT and the goodness probability of the path is calculated only at the source node. Similarly in AOMDV and ARA, the residual energy of the nodes is not considered for optimal route selection. So, the energy consumption is more in ACECR, AOMDV and ARA which in turn increases the number of dead nodes.
Fig. 6e shows the variation of Average Energy Consumption by varying the pause time from 0 to 300 s. As the pause time increases, the average energy consumed by the nodes in the network decreases. Since AESR considers the minimum residual energy of the nodes as well as the distance between the nodes for the selection of the path, it selects the path with higher minimum residual energy and shortest path and so energy consumption is less than that of AECER, AOMDV and ARA.
Scenario II: Simulation Results for Varying the Mobility of the Nodes
The performance of the proposed protocol is also evaluated under different node mobility, i.e., the speed of the network nodes is changed from 10 to 300 m/s. The pause time of the nodes is kept constant as 20 s. The effect of the performance metrics due to the varying speed of the mobile node is shown below. Fig. 7 shows the variation of the performance metrics with respect to the moving speed of the nodes.

Figure 7: Variation of different performance metrics with respect to speed. (a) Packet delivery ratio (PDR) (b) Average path length (APL) (c) Network lifetime (NL) (d) No. of dead nodes (ND) (e) Average energy consumption (AEC)
Fig. 7a shows the change in Packet Delivery Ratio at different mobility of the nodes. We know that as the speed of the node increases, the Packet Delivery Ratio decreases. This is due to the fact that the high mobility of the nodes causes link failure in the network and results in packet loss. However, AESR selects the energy efficient shortest path for data transmission and successfully delivers more number of packets when compared to ACECR, AOMDV and ARA. The Packet Delivery Ratio of AESR is 2% to 9% more than the ACECR routing technique. Similarly, the Packet Delivery Ratio of AESR is 25% and 20% more than the AOMDV protocol and ARA algorithm.
Fig. 7b shows the change in Average Path Length at different mobility of the nodes. The AESR combines the distance, trip time and minimum residual energy of the nodes to calculate the goodness probability of the path. Based on this goodness probability, the REP_ANT selects the optimal path for routing the packets that is the shortest energy efficient path is used for data transmission. But ACECR considers only the metrics related to residual energy without using the distance or trip time. The AOMDV and ARA technique selects the optimal path based on the hop count without considering the distance between the nodes and the residual energy of the nodes. So, the average length of the path covered by the data packets in the proposed algorithm is less when compared to ACECR, AOMDV and ARA. This reveals that the proposed AESR technique selects the shortest path for data transmission.
Fig. 7c represents the variation of the Network Lifetime for varying the speed of the nodes. When compared to ACECR, the AESR extends the lifetime of the network within the range of 4 to 16 s for the change in the mobility of nodes from 10 to 300 m/s. The lifetime of the network in the proposed method is improved on an average of 113 s when compared to AOMDV, 72 s when compared to ARA and 9 s when compared to ACECR. The improvement in the Network Lifetime in AESR is due to the fact that the proposed routing technique selects the route with higher minimum residual energy and shorter distance for sending the data packets from one node to another. The energy consumption is less in AESR that allows the network to live longer than ACECR, AODV and ARA.
Fig. 7d highlights the effect of the speed of the nodes in the number of dead nodes in the network during the total simulation time of 300 s. In general, as the speed of the node increases it exhaust the energy of many nodes completely and create many dead nodes. Fig. 7e depicts the Average Energy Consumption of the nodes for different node mobility speeds. The Average Energy Consumption is an important metric to analyze the performance of an energy efficient routing protocol. At low mobility, the Average Energy Consumption is low for both ACECR and AESR. However, as the mobility increases, the average energy consumed by the nodes is less in AESR than ACECR, AOMDV and ARA. When compared to ACECR, AOMDV and ARA the average energy saving in AESR range from 0.4 to 1.2, 1.6 to 2.8 joules and 1 to1.5 joules respectively as the speed of the node varies from 10 to 300 m/s.
From the simulation results discussed in the above two cases, it is concluded that the AESR routing technique has performed well in all aspects. Compared to the ACECR, AOMDV and ARA in all the investigated cases, the experimental results reveal that the proposed ACO based energy efficient shortest path routing technique provides the best performance in terms of Packet Delivery Ratio, Average Path Length, Network Life time, Dead nodes and Average Energy Consumption.
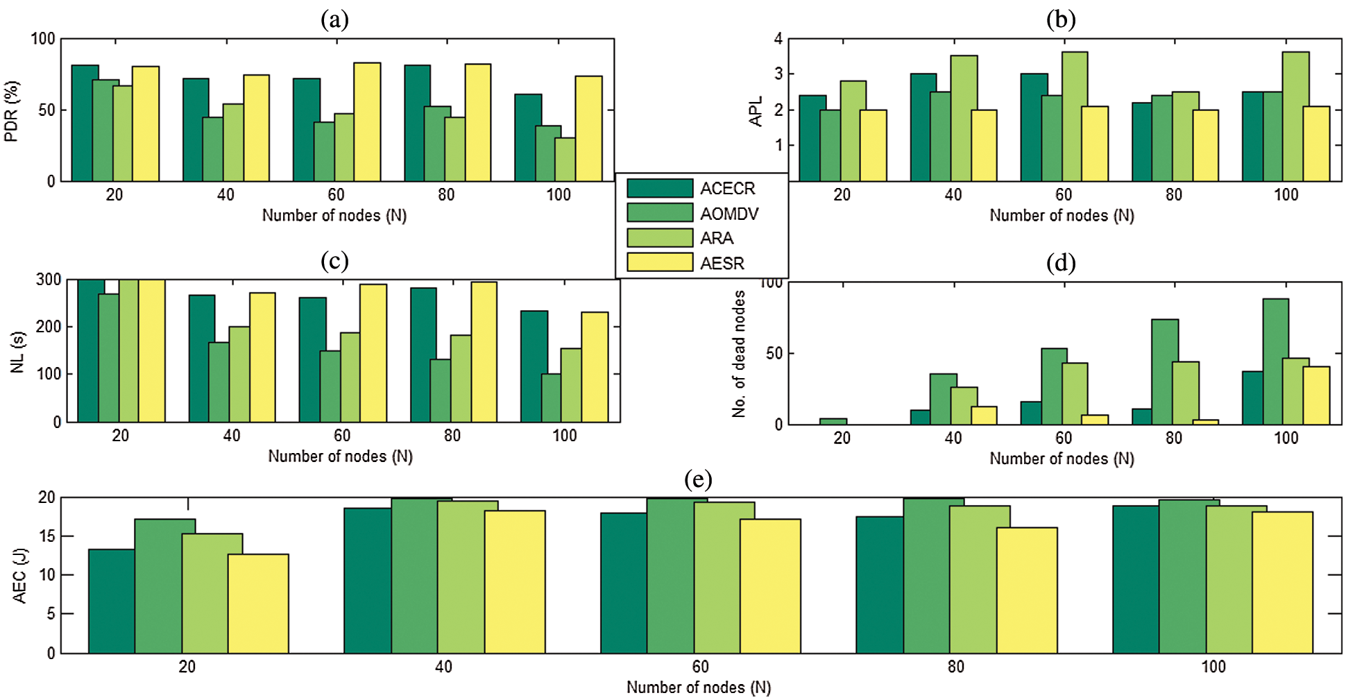
6.3 Case 2: Performance Analysis of the MANET with Variable Number of Nodes
The performance evaluations are also carried out for the networks with different nodes (20, 40, 60, 80 and 100 nodes). The performance of the proposed protocol is compared with the existing protocol ACECR, AOMDV and ARA by varying the size of the network, i.e., the number of nodes in the network is varied as 20, 40, 60, 80 and 100. Fig. 8a shows the variation of Packet Delivery Ratio as a function of the number of nodes. The proposed AESR shows a better Packet Delivery Ratio over other algorithms such as ACECR, AOMDV and ARA. The main reason for this is that the proposed method uses the energy efficient path for the delivery of the data packets. It is also observed that AODV and ARA show lower Packet Delivery Ratio compared to other algorithms. Fig. 8b shows the impact of number of number of nodes in the Average Path Length. The Average Path Length of the proposed technique is less when compared to ACECR, AOMDV and ARA. This is because, in addition to the residual energy, the proposed AESR algorithm considers the hop count, distance and trip time for the selection of the optimal path for transmitting the data packets.

Figure 8: Variation of the performance metrics with respect to the number of nodes. (a) Packet delivery ratio (PDR) (b) Average path length (APL) (c) Network lifetime (NL) (d) No. of dead nodes (ND) (e) Average energy consumption (AEC)
Fig. 8c shows the improvement in the Network Lifetime as a function of the number of nodes. When compared to ACECR, the improvement in the lifetime is varied between 0 to 28 s and when compared with AOMDV varied between 30 to 160 s and compared with ARA varied between 0 to 120 s. Fig. 8d presents the variation of the number of dead nodes with respect to the number of nodes in the network. The AESR protocol presents a significant reduction in the number of dead nodes for the same simulation scenario. Fig. 8e shows the impact of varying the number of nodes over Average Energy Consumption. In general, as the number of nodes in the network increases, the amount of energy consumed is also increases which in turn drain the energy of the nodes at faster rate. The Average Energy Consumption of the proposed AESR is comparatively lower than the ACECR, AOMDV and ARA. The results of AESR and ACECR are very similar in all the simulation scenarios because both these techniques are energy aware algorithms. However, the performance of the AESR technique is better than ACECR in terms of all the performance metrics. The proposed AESR protocol extends the lifetime of the network by reducing energy consumption and at the same time, it delivers more packets to the destination by selecting the optimal path for data transmission. On the other hand, the traditional protocol AOMDV and the antbased routing protocol ARA presents the worst results for all the performance metrics in the three scenarios because they are not energy aware protocol.
In this paper, an ACO based Energy efficient Shortest path Routing method is presented. From the simulation results, we found that the proposed routing technique has a high Packet Delivery Ratio and low Average Path Length. In addition to that, the proposed technique extends the lifetime of the network by reducing energy consumption which in turn reduces the number of dead nodes in the network. In the future, the proposed approach can be analyzed by modifying the ACO algorithm by applying different types of pheromone update and pheromone evaporation methods. The technique proposed in this paper can also be analyzed by varying the mobility model and data rate. In addition to this, the proposed ACO based Energy efficient Shortest path Routing algorithm can be analyzed by using other optimization algorithms such as Bee Colony Optimization, Bat Algorithm etc instead of ACO. Though they have different dimensions, they are suited for Mobile Ad hoc Networks due to their dynamic characteristics. The foraging behavior of honey bees and the echolocation behavior of bats can be used for finding the energy efficient route for Mobile Ad hoc Networks.
Funding Statement: The authors received no specific funding for this study.
Conflicts of Interest: The authors declare that they have no conflicts of interest to report regarding the present study.
1. I. Chlamtac, M. Conti and J. N. N. Liu, “Mobile ad hoc networking: Imperatives and challenges,” Ad Hoc Networks, vol. 1, no. 1, pp. 13–64, 2003. [Google Scholar]
2. N. Raza, M. U. Aftab, M. Q. Akbar, O. Ashraf and M. Irfan, “Mobile ad-hoc networks applications and its challenges,” Communications and Network, vol. 8, no. 3, pp. 131–136, 2016. [Google Scholar]
3. M. Abolhasan, T. Wysocki and E. Dutkiewicz, “A review of routing protocols for mobile ad hoc networks,” Ad Hoc Networks, vol. 2, no. 1, pp. 1–22, 2004. [Google Scholar]
4. H. Xu, X. Wu, H. R. Sadjadpour and J. J. Garcia-Luna-Aceves, “A unified analysis of routing protocols in manets,” IEEE Transactions on Communications, vol. 58, no. 3, pp. 911–922, 2010. [Google Scholar]
5. C. E. Perkins and P. Bhagwat, “Highly dynamic destination-sequenced distance-vector routing (DSDV) for mobile computers,” in Proc. ACM SIGCOMM, vol. 24, no. 4, pp. 234–244, 1994. [Google Scholar]
6. P. Jacquet, P. Muhlethaler T. Clausen, A. Laouiti, A. Qayyum et al., “Optimized link state routing protocol for ad hoc networks,” in Proc. IEEE International Multi Topic Conference, IEEE, Lahore, Pakistan, pp. 62–68, 2001. [Google Scholar]
7. C. E. Perkins and E. M. Royer, “Ad-hoc on-demand distance vector routing,” in Proc. 2nd IEEE Workshop on Mobile Computer Systems and Applications, New Orleans, LA, USA, pp. 90–100, 1999. [Google Scholar]
8. D. B. Johnson and D. A. Maltz, “Dynamic sources routing in ad hoc wireless networks,” Mobile Computing, The Kluwer International Series in Engineering and Computer Science, Springer, vol. 353, pp. 153–181, 1996. [Google Scholar]
9. M. K. Mahesh and S. R. Das, “Ad hoc on-demand multipath distance vector routing,” Wireless Communications and Mobile Computing, vol. 6, no. 7, pp. 969–988, 2006. [Google Scholar]
10. M. Dorigo and G. Di Caro, “Ant colony optimization: A new meta-heuristic,” in Proc. Congress on Evolutionary Computation-CEC99, IEEE, Washington, DC, USA, vol. 2, pp. 1470–1477, 1999. [Google Scholar]
11. H. Zhang, X. Wang, P. Memarmoshrefi and D. Hogree, “A survey of ant colony optimization based routing protocols for mobile ad hoc networks,” IEEE Access, vol. 5, pp. 24139–24161, 2017. [Google Scholar]
12. G. Di Caro and M. Dorigo, “AntNet: Distributed stigmergetic control for communications networks,” Journal of Artificial Intelligence Research, vol. 9, pp. 317–365, 1998. [Google Scholar]
13. M. Gunes, U. Sorges and I. Bouazizi, “ARA-the ant colony based routing algorithm for manets,” in Proc. Int. Conf. on Parallel Processing Workshop, IEEE, Vancouver, BC, Canada, pp. 79–85, 2002. [Google Scholar]
14. G. Di Caro, F. Ducatelle and L. M. Gambardella, “Anthocnet: An ant-based hybrid routing algorithm for mobile ad hoc networks,” in Proc. Int. Conf. on Parallel Problem Solving from Nature, Springer, Berlin, Heidelberg, pp. 461–470, 2004. [Google Scholar]
15. D. Yang, H. Xia, E. Xu, D. Jing and H. Zhang, “Energy-balanced routing algorithm based on ant colony optimization for mobile ad hoc networks,” Sensors, vol. 18, no. 11, pp. 36–57, 2018. [Google Scholar]
16. J. Zhou, H. Tan, Y. Deng, L. Cui and D. Liu, “Ant colony-based energy control routing protocol for mobile ad hoc networks under different node mobility models,” EURASIP Journal on Wireless Communications and Networking, vol. 105, pp. 1–8, 2016. [Google Scholar]
17. A. Mohajerani and D. Gharavian, “An ant colony optimization based routing algorithm for extending network lifetime in wireless sensor networks,” Wireless Networks, vol. 22, no. 8, pp. 2637–2647, 2015. [Google Scholar]
18. S. K. Malik, M. Dave, S. Dhurandher, I. Woungang and L. Barolli, “An ant-based qos-aware routing protocol for heterogeneous wireless sensor networks,” Soft Computing, vol. 21, no. 21, pp. 6225–6236, 2017. [Google Scholar]
19. D. Sarkar, S. Choudhury and A. Majumder, “Enhanced-ant-aodv for optimal route selection in mobile ad-hoc network,” Journal of King Saud University-Computer and Information Sciences, vol. 33, no. 10, pp. 1186–1201, 2021. [Google Scholar]
20. N. Papanna, A. R. M. Reddy and M. Seetha, “EELAM: Energy efficient lifetime aware multicast route selection for mobile ad hoc networks,” Applied Computing and Informatics, vol. 15, no. 2, pp. 120–128, 2019. [Google Scholar]
21. J. Ren, Y. Tu, M. Zhang and Y. Jiang, “An ant-based energy-aware routing protocol for ad hoc networks,” in Proc. of Int. Conf. on Computer Science and Service System (CSSS), IEEE, Nanjing, pp. 3844–3849, 2011. [Google Scholar]
22. A. Malar, M. Kowsigan, N. Krishnamoorthy, S. Karthick, E. Prabhu et al., “Multi constraints applied energy efficient routing technique based on ant colony optimization used for disaster resilient location detection in mobile ad-hoc network,” Journal of Ambient Intelligence and Humanized Computing, vol. 12, no. 3, pp. 4007–4017, 2021. [Google Scholar]
23. U. Srilakshmi, G. Parimala and A. Sathyavani, “Modified energy efficient with aco routing protocol for manet,” Turkish Journal of Computer and Mathematics Education (TURCOMAT), vol. 12, no. 2, pp. 1739–1745, 2021. [Google Scholar]
24. D. Sinwar, N. Sharma, S. K. Maakar and S. Kumar, “Analysis and comparison of ant colony pptimization algorithm with dsdv, aodv, and aomdv based on shortest path in manet,” Journal of Information and Optimization Sciences, vol. 41, no. 2, pp. 621–632, 2020. [Google Scholar]
25. A. Sharma and D. S. Kim, “Robust bio-inspired routing protocol in manets using ant approach,” in Proc. Int. Conf. on Ubiquitous Information Management and Communication, Springer, Phuket, Thailand, pp. 97–110, 2019. [Google Scholar]
26. M. A. Zant, S. Jabareen, A. Rattrout and M. Hamarsheh, “Enhancing aodv routing protocol to predict optimal path using ant colony algorithm in manet,” International Journal of Applied Engineering Research, vol. 13, no. 18, pp. 13637–13646, 2018. [Google Scholar]
![]() | This work is licensed under a Creative Commons Attribution 4.0 International License, which permits unrestricted use, distribution, and reproduction in any medium, provided the original work is properly cited. |