![]() | Journal of Renewable Materials | ![]() |
DOI: 10.32604/jrm.2022.019381
ARTICLE
Effect of Waste Marble Powder on Physical and Mechanical Properties of Concrete
1Department of Structural Engineering, College of Civil Engineering, Tongji University, Shanghai, 200092, China
2College of Earth Sciences, Guilin University of Technology, Guilin, 541004, China
3College of Architecture and Civil Engineering, Nanning University, Nanning, 541699, China
4Guangxi Key Laboratory of Disaster Prevention and Engineering Safety, Guangxi University, Nanning, 530004, China
*Corresponding Authors: Jianzhuang Xiao. Email: jzx@tongji.edu.cn; Jintuan Zhang. Email: zhangjt@hzxy.edu.cn
Received: 20 September 2021; Accepted: 02 December 2021
Abstract: The emission of greenhouse gases from cement production is an obstacle for sustainable development of construction industry. The use of waste materials in constructions instead of cement could be a feasible solution to green construction. Waste marble powder with good cementing property can be used in concrete partially replace cement. In this research, the effects of using waste marble powder on the physical and mechanical properties of concrete have been studied. Three groups of particle size and five levels of replacement ratio (5%, 10%, 15%, 20%, 25%) for each group have been designed. During the different stage of hydration process, the microstructure, phase composition and thermal properties of marble-cement paste have been investigated, the influence of particle size of marble powder on these properties has been discussed. The compressive strength and stress-strain relation were tested for different series prepared by partially replacing cement at proportions of 5%–25% separately. From the data analysis, it was observed that the using of waste marble powder would affect the hydration products and further affect the mechanical properties of concrete, the addition of marble powder that partially replace the cement at particular proportions in concrete is feasible.
Keywords: Waste marble powder; concrete; replacement ratio; physical property; mechanical property
The production of cement is considered to make significant impact on carbon dioxide (CO2) emission in construction industry [1], approximately 0.8 ton of CO2 generates with one ton of cement products [2]. Searching for new materials that can replace cement has been regard as a good solution for environment protection. Use of fly ash, silica fume, slag and metakaolin as cementitious materials has been studied for decades of years [3–6]. Marble resource is rich in China, especially in the southwest areas. As marble is widely used in the construction industry, a huge number of marble wastes has been produced. To solve this problem, a wide range of studies have been conducted to explore possible use of marble wastes in constructions [7–10]. CaCO3 in marble powder (MP) can accelerate the early hydration rate of cement, prevent the transformation from AFt (ettringite) to AFm (monosulphate), proper amount of marble powder (about 8%–10%) can make an improvement in mortar or concrete properties [11]. The marble wastes has been studied as sand and cement substitutes in mortar and concrete [12], Aliabdo et al. [13] found that sand replacement gives better results as compare to cement replacement. Supplementary cementitious material in concrete can change the pore structure, affect the hydration reaction of cement, and further give effect on mechanical properties of concrete [14–16]. Use of marble powder as cement replacement has some negative effect on concrete properties [17,18]. However, other scholars observed that the addition of marble powder partially replace the cement at particular proportions makes improvement on concrete properties [19], Singh et al. [20] found that the compressive strength and splitting tensile strength of concrete were increased by partially replacing cement with marble powder at proportions of 10%–15%. Mechanical properties of concrete not only depend on the quality but also on replacement ratio of the marble powder. Different marble sources have different mineral components, and this can give an effect on hydration process. The replacement ratio of marble powder is considered to be the significant factor that influence the concrete properties, the physical property, workability of fresh concrete, mechanical property and concrete durability, all of these can be affected by different replacement [21–24]. The marble powder can be used partially replacing cement and sand, the particle size reflects the role of the material, filling matter as sand or cementitious material as cement.
From the previous studies, it is known that the particle size and replacement ratio of marble powder play different roles in shaping the concrete properties. In this study, the particle size and replacement ratio of marble powder are regarded as the main factors that influence the concrete properties. The change of microstructure and phase composition during the hydration process can reflect the influence of particle size for some extent. The mechanical properties such as compressive strength can mainly reflect the effect of replacement ratio of marble powder. In order to promote the application of recycled marble powder, find the appropriate replacement ratio that makes the concrete have good properties, more studied should be conducted.
2 Materials and Testing Procedure
2.1 Materials and Mixture Proportions
Crushed limestone with size varying 5 to 25 mm was used as coarse aggregate, good quality river sand with fineness modulus of 2.7 was used as fine aggregate. The physical properties of coarse and fine aggregates are shown separately in Tables 1 and 2.


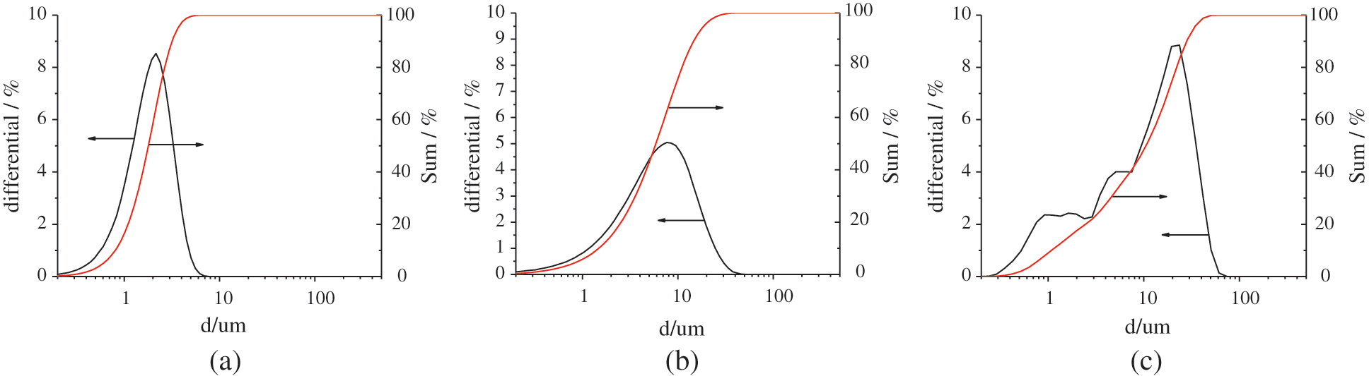
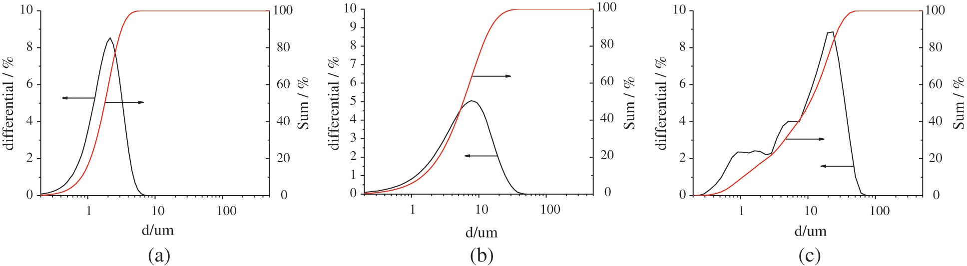
Ordinary Portland cement of P.O 42.5 was used as key cementitious materials, chemical and physical properties of cement is presented in Tables 3 and 4, respectively. According to particle size of marble powder (MP), three samples namely MP1, MP2 and MP3 were used as a partial replacement of cement, the physical properties of marble powders are shown in Table 5. Cement and marble powder samples as shown in Fig. 1. The particle size distribution of marble powders are presented in Fig. 2. For MP1 and MP2, the size is mainly distributed in the 1–3 and 4–15 μm separately, for MP3, the distribution expanded to 20–40 μm.




Figure 1: Cement and marble powders for test. (a) Cement, (b) MP1, (c) MP2, (d) MP3

Figure 2: Particle size distribution of marble powder. (a) MP1, (b) MP2, (c) MP3
Refer to Table 6, different mixes were prepared by using different percentage of marble powder (0%, 5%, 10%, 15%, 20%, 25%), M0, MN1, MN2 and MN3 represented the concrete with cement, MP1, MP2 and MP3 as cementitious materials separately. Ordinary tap water was used for mixing.

In the preparation of mixture design for marble-cement (MC), 400 g cement, 100 g marble powder and 250 g water were used. Different mixes was prepared by using different marble powder (MP1, MP2 and MP3) namely MC1, MC2, and MC3 with a fixed replacement ratio of 20%. MC samples after 1, 3, 7, 14 and 28 days curing were designed respectively, block and powder samples were prepared for physical property test. The samples are shown in Figs. 3d, 3e.
X-ray diffraction (XRD) analysis was used to obtain the phase composition of MC samples with different marble powder. Powder samples with particle size below 4.75 mm were prepared to observe the hydration products.
Scanning electron microscopy (SEM) was used to observe the microstructure of MC samples. After specific curing age, the samples were subjected to series of treatment before observation: 24 h of anhydrous alcohol immersion, dried in an oven with a temperature of 60°, gold-plating on the surface. The SEM equipment is shown in Fig. 3b.
Thermogravimetry analysis and differential scanning calorimetry (TGA-DSC) was used to study the thermal properties of test samples. During heating process, chemical changes such as dehydration, decomposition and oxidation will be occurred in hydration products. To observe the thermal properties of using different marble powder, temperature varying 30°C to 1000°C under heating rate of 20 °C/min were taken, thermal parameters of hydration products at 3, 7 and 28 days were studied separately. The equipment is shown in Fig. 3c.
Mechanical properties were tested according to the Chinese standard GB/T 50081-2002. 150 mm × 150 mm × 150 mm and 150 mm × 150 mm × 300 mm specimens were prepared for strength and stress-strain study. Using servo system machine with a loading rate of 0.05 mm/s, the properties of concrete with different marble powder under different replacement ratio were investigated. The test setup is shown in Fig. 3a.

Figure 3: Test setups and samples. (a) test machine, (b) SEM equipment, (c) TGA-DSC equipment, (d) block sample, (e) powder sample
X-ray diffraction (XRD) analysis is a simple and consistent method that can be used to assess the mineral composition and content of mortar samples under different hydration stages. XRD phase analysis includes qualitative analysis and quantitative analysis. Qualitative analysis is used to determine the crystal phase by comparing the measured diffraction spectrum with standard mineral card. And quantitative analysis is to measure the content of specific mineral components, reflect the change of crystal phase during the hydration process. The XRD patterns of cement and MC samples with curing age ranging from 1 to 28 days are shown in Fig. 4.

Figure 4: XRD of hydration products at different ages. (a) Cement, (b) MC1, (c) MC2, (d) MC3
Figs. 4a–4c show the XRD of test samples at different hydration process. It can be seen that Ca(OH)2 and calcite are the main hydration products. There is a rise in Ca(OH)2 content for MC samples at curing age of 1 and 3 days, it indicates that the marble powder plays a catalytic role in early hydration. An obvious change in Ca(OH)2 content happens at curing age of 7 days, the Ca(OH)2 content of cement samples exceeds of MP1 samples for the first time, and in this period of hydration process, the maximum Ca(OH)2 value is presented in MP2. The maximum Ca(OH)2 value turns to be seen in cement samples at curing age of 28 days, followed by MP3 samples. It illustrates that the particle size of marble powder has an effect on hydration products.
During the hydration process, there is no obvious changes in calcite content for cement samples. For MC samples, maximum calcite value is obtained at 3 days of hydration, and the minimum value is found at 28 days. The changing process of calcite is almost similar in MC1, MC2 and MC3. It indicates that the marble powder has an effect on hydration reaction, but the degree of hydration has little correlation with particle size of marble powders.
During the process of hydration, other products like C3A, AFm, C2S are produced and changed. The peak value of C3A is found in MC samples, but the value is not obvious in cement samples, this indicates that the marble powder can stabilize the existence of hydrated C3A. From the XRD test, it shows that marble powder has some effect on hydration products and process.
3.2 Scanning Electron Microscopy
The microstructure of hydration products were studied by SEM, the morphological character of test samples with 20% marble powder for each mixture design of concrete is shown in Fig. 5.

Figure 5: SEM image of MC samples under different curing age. (a) 3 days of MC1, (b) 14 days of MC1, (c) 28 days of MC1, (d) 3 days of MC2, (e) 14 days of MC2, (f) 28 days of MC2, (g) 3 days of MC3, (h) 14 days of MC3, (i) 28 days of MC3
For MC1, cracks and pores have been found at the initial stage of hydration, no crystal minerals been observed at 3 days of curing. White marble fragments with particle size less than 5 μm were observed. With cement hydration goes on, crystalline substances such as C-S-H and Ca(OH)2 were appeared, and then the marble fragments were wrapped by the crystal. After hydration for 28 days, the surface of the sample becomes dense with the crystal agglomerated.
For MC2, the hydration trend is similar to that of MC1, with pores and cracks appears at early hydration process, and crystal substance was observed at the curing age of 7 days. The cracks and pores are reduced with the growth of crystals on particle surface. The crystals gathered and wrapped the particles and grew into blocks, finally made a dense surface.
For MC3, there are some differences from the other two types of specimens, more cracks and pores were observed on sample surface at 3 days of hydration, and some pores were still existed when the curing age is increased to 7 days. The crystal substance was observed later and the surface was looser than that of MC1 and MC2.
From the microstructure analysis of the three types of samples, it can be seen that with cement hydration goes on, the cracks and pores are reduced with the growth of crystals on particle surface. The particle size of marble powder gives an effect on microstructure during the hydration process. Large particle size of marble powder plays a role of skeleton support, and marble powder with small size can directly enter the interior pores and conduct sufficient hydration reaction with the water existing in the pore. The hydration process of MC3 samples is slower than MC1 and MC2 samples, it is mainly due to large particle size and wide distribution of the powder MP1.
3.3 Thermogravimetric Analysis-Differential Scanning Calorimeter
Thermogravimetric analysis-differential scanning calorimeter (TGA-DSC) method was used to analyze the thermal properties of MC samples during the heating process. The change of endothermic, exothermic and weight of test samples were obtained by controlling the heating temperature. The temperature ranging from 50°C to 850°C for the three types of samples at different curing stage is shown in Fig. 6. It is seen that there are three weight-loss stages during the whole heating process, at temperature of 50°C–225°C, weight-loss was mainly due to the water evaporation. During the 450°C–525°C stage, the weight-loss of MC samples can be attributed to the dehydration of Ca(OH)2. Decomposition of CaCO3 was occurred at the last stage with temperature from 700°C to 850°C. The decomposition of Ca(OH)2 and CaCO3 can be expressed as:


Figure 6: TGA-DSC image of MC samples at different hydration ages. (a) 3 days of MC1, (b) 7 days of MC1, (c) 28 days of MC1, (d) 3 days of MC2, (e) 7 days of MC2, (f) 28 days of MC2, (g) 3 days of MC3, (h) 7 days of MC3, (i) 28 days of MC3
There is a similar trend of thermal property for the three types of MC samples during the heating process. For MC1, the content of Ca(OH)2 was increased as a product at the early hydration stage, and then decreased as a reactant which participated in the following hydration process, when reach to a certain extent, the formation and reaction of Ca(OH)2 is equilibrium, after that the Ca(OH)2 increases gradually. For MC2 and MC3, the increase content of Ca(OH)2 increase continuously during the different stages, it indicates that the Ca(OH)2 is generated during the whole hydration process. For taking part in the hydration as a reactant, the content of CaCO3 is decreased with the progress of hydration.
The DSC curve shows the endothermic characteristic of MC samples during the heating process. The endothermic reaction of test samples at temperature of 170°C, 480°C, and 780°C was decomposition of combined water, dehydration of Ca(OH)2 and decomposition of CaCO3, respectively. During the heating process, the hydration products of MC samples are mainly decomposed into water and Ca(OH)2, in which Ca(OH)2 is mainly produced by the decomposition of CaCO3, and water is produced from the dissipation of free and crystalline water, and the decomposition of Ca(OH)2.
The physical and mechanical test results of different types of marble powder concrete are shown in Table 7.

It is clear from the results that the density and porosity have an opposite trend, with the increase replacement ratio of marble powder, the density is reduced and the porosity is increased. Meanwhile, the increase replacement of marble powder gives an adverse effect on the strength of concrete. The relationship between compressive strength and curing age is shown in Fig. 7. It can be seen that strength development of marble powder concrete is similar to cement concrete, and the strength value is increased with the increase of curing age. With reference to 35 MPa, the strength value ranged from 33.8 to 27 MPa at different replacement levels of marble powder varying from 5% to 25% for MN1, the reduce ratio of strength is about 20%. For MN2, the maximum and minimum strength is obtained at 10% and 25% replacement ratio, respectively. Similar to MN1, the compressive strength is decreased with the increase of marble powder replacement ratio.
The compressive strength results for mixtures showed that by adjusting values for the replacement ratio of marble powder, target compressive strengths could be achieved as the replacement ratio of is closely related to compressive strength. Replacement ratio of marble powder defines the porosity in concrete mixture, fine particles in the form of cementitious material is used to replace cement. When the ratio is less than 10%, it has little effect on the compressive strength.

Figure 7: Compressive strength of marble powder concrete at different ages. (a) strength of MN1, (b) strength of MN2, (c) strength of MN3
The normalized stress-strain curves of concrete samples under uniaxial compression are shown in Fig. 8. The curve of the marble powder concrete is similar to that of cement concrete, consist of ascending and descending part. The stress increases linearly as strain grows within the process of elastic deformation, when the value exceeds 0.4 times of peak stress, plastic deformation happens. The descending curve of marble powder concrete is different from that of cement concrete, the curve shows a gentle decline in marble powder concrete. The use of marble powder gives an effect on stress-strain curve. With the increase of the marble powder replacement ratio, the curvature increases and the elastic modulus decreases in the ascending section, and decline smoothly in the descending section. This indicates that the ductility of concrete can be improved by the marble powder adding.

Figure 8: Stress-strain curve of marble powder concrete. (a) Stress-strain of MN1, (b) stress-strain of MN2, (c) stress-strain of MN3
The constitutive model which is proposed by Guo et al. [25] can be used to describe the stress-strain relationship of concrete with marble powder, the equations are listed as follows:
In which,

The fitted constitutive curves are shown in Fig. 9. It can be seen that the theoretical results are well coherent with the test data, and this indicates that the constitutive model is suitable for describing the stress-strain relationship of concrete with marble powder.

Figure 9: Comparison between theoretical and experimental curves
Based on the results and the analysis, some conclusions can be drawn:
1. The microstructure of concrete samples were changing during the hydration process, from cracks and pores appear in the early age, to crystals gather at the end, the particle size of marble powder give some effect on concrete microstructure.
2. Ca(OH)2 and calcite are the main hydration products for MC samples, marble powder has an effect on hydration reaction, but the degree of hydration has little correlation with particle size.
3. The endothermic characteristic of MC samples were reflected by TGA-DSC test, the endothermic reaction was mainly caused by decomposition of combined water, dehydration of Ca(OH)2 and decomposition of CaCO3, there is no obvious difference in concrete which using different particle size of marble powder.
4. The use of marble powder gives some effect on concrete strength, there is little change in compressive strength with marble powder replacement ratio less than 10%, the strength declines obviously for the ratio exceeded 15%. The shape of stress-strain curves of concrete was also influenced by the marble powder replacement ratio.
Funding Statement: This work is supported by National Natural Science Foundation of China (Grant No. 51661145023), Systematic Project of Guangxi Key Laboratory of Disaster Prevention and Structural Safety (Grant No. 2019ZDX003).
Conflicts of Interest: The authors declare that they have no conflicts of interest to report regarding the present study.
1. Drissi, S., Ling, T. C., Mo, K. H., Eddhahak, A. (2019). A review of microencapsulated and composite phase change materials: Alteration of strength and thermal properties of cement-based materials. Renewable & Sustainable Energy Reviews, 110, 467–484. DOI 10.1016/j.rser.2019.04.072. [Google Scholar] [CrossRef]
2. Kumar, V. V. P., Prasad, D. R. (2019). Influence of supplementary cementitious materials on strength and durability characteristics of concrete. Advances in Concrete Construction, 7, 75–85. DOI 10.12989/acc.2019.7.2.075. [Google Scholar] [CrossRef]
3. Luukkonen, T., Abdollahnejad, Z., Yliniemi, J., Kinnunen, P., Illikainen, M. (2018). Comparison of alkali and silica sources in one-part alkali-activated blast furnace slag mortar. Journal of Cleaner Production, 187, 171–179. DOI 10.1016/j.jclepro.2018.03.202. [Google Scholar] [CrossRef]
4. Ashish, D. K., Verma, S. K. (2019). Cementing efficiency of flash and rotary-calcined metakaolin in concrete. Journal of Materials in Civil Engineering, 31(12), 4019307. DOI 10.1061/(ASCE)MT.1943-5533.0002953. [Google Scholar] [CrossRef]
5. Adhikary, S. K., Ashish, D. K., Rudzionis, Z. (2021). Expanded glass as light-weight aggregate in concrete–A review. Journal of Cleaner Production, 313(3), 127848. DOI 10.1016/j.jclepro.2021.127848. [Google Scholar] [CrossRef]
6. Mehta, A., Ashish, D. K. (2020). Silica fume and waste glass in cement concrete production: A review. Journal of Building Engineering, 29, 100888. DOI 10.1016/j.jobe.2019.100888. [Google Scholar] [CrossRef]
7. Uygunoglu, T., Topcu, I. B., Celik, A. G. (2014). Use of waste marble and recycled aggregates in self-compacting concrete for environmental sustainability. Journal of Cleaner Production, 84(1), 691–700. DOI 10.1016/j.jclepro.2014.06.019. [Google Scholar] [CrossRef]
8. Khan, A. J., Qureshi, L. A., Khan, M. N. A., Gul, A., Umar, M. et al. (2021). Axial compressive behavior of reinforced concrete (RC) columns incorporating multi-walled carbon nanotubes and marble powder. Crystals, 11(3), 247. DOI 10.3390/cryst11030247. [Google Scholar] [CrossRef]
9. Ashish, D. K. (2019). Concrete made with waste marble powder and supplementary ce-mentitious material for sustainable development. Journal of Cleaner Production, 211, 716–729. DOI 10.1016/j.jclepro.2018.11.245. [Google Scholar] [CrossRef]
10. Alyamac, K. E., Ghafari, E., Ince, R. (2016). Development of eco-efficient self-compacting concrete with waste marble powder using the response surface method. Journal of Cleaner Production, 144(2), 192–202. DOI 10.1016/j.jclepro.2016.12.156. [Google Scholar] [CrossRef]
11. Corinaldesi, V., Moriconi, G., Naik, T. R. (2010). Characterization of marble powder for its use in mortar and concrete. Construction and Building Materials, 24(1), 113–117. DOI 10.1016/j.conbuildmat.2009.08.013. [Google Scholar] [CrossRef]
12. Hebhoub, H., Belachia, M., Djebien, R. (2014). Introduction of sand marble wastes in the composition of mortar. Structural Engineering and Mechanics, 49(4), 491–498. DOI 10.12989/sem.2014.49.4.491. [Google Scholar] [CrossRef]
13. Aliabdo, A. A., Abd Elmoaty, A. M., Auda, E. M. (2014). Re-use of waste marble dust in the production of cement and concrete. Construction and Building Materials, 50(9), 28–41. DOI 10.1016/j.conbuildmat.2013.09.005. [Google Scholar] [CrossRef]
14. Naderi, M., Kaboudan, A. (2021). Experimental study of the effect of aggregate type on concrete strength and permeability. Journal of Building Engineering, 37(8), 101928. DOI 10.1016/j.jobe.2020.101928. [Google Scholar] [CrossRef]
15. Jiang, H. Q., Fall, M., Yilmaz, E., Li, Y. H., Yang, L. (2020). Effect of mineral admixtures on flow properties of fresh cemented paste backfill: Assessment of time dependency and thixotropy. Powder Technology, 372(4), 258–266. DOI 10.1016/j.powtec.2020.06.009. [Google Scholar] [CrossRef]
16. Galetakis, M., Soultana, A. (2016). A review on the utilisation of quarry and ornamental stone industry fine by-products in the construction sector. Construction and Building Materials, 102(1), 769–781. DOI 10.1016/j.conbuildmat.2015.10.204. [Google Scholar] [CrossRef]
17. Boukhelkhal, A., Azzouz, L., Belaidi, A. S. E., Benabed, B. (2016). Effects of marble powder as a partial replacement of cement on some engineering properties of self-compacting concrete. Journal of Adhesion Science and Technology, 30(22), 2405–2419. DOI 10.1080/01694243.2016.1184402. [Google Scholar] [CrossRef]
18. Tennich, M., Kallel, A., Ben Ouezdou, M. (2015). Incorporation of fillers from marble and tile wastes in the composition of self-compacting concretes. Construction and Building Materials, 91, 65–70. DOI 10.1016/j.conbuildmat.2015.04.052. [Google Scholar] [CrossRef]
19. Marras, G., Careddu, N., Siotto, G. (2017). Filler calcium carbonate industrial applications: The way for enhancing and reusing marble slurry. Italian Journal of Engineering Geology and Environment, 2, 63–77. DOI 10.4408/IJEGE.2017-02.S-07. [Google Scholar] [CrossRef]
20. Singh, M., Choudhary, K., Srivastava, A., Sangwan, K. S., Bhunia, D. (2017). A study on environmental and economic impacts of using waste marble powder in concrete. Journal of Building Engineering, 13(2), 87–95. DOI 10.1016/j.jobe.2017.07.009. [Google Scholar] [CrossRef]
21. Sadek, D. M., El-Attar, M. M., Ali, H. A. (2016). Reusing of marble and granite powders in self-compacting concrete for sustainable development. Journal of Cleaner Production, 121, 19–32. DOI 10.1016/j.jclepro.2016.02.044. [Google Scholar] [CrossRef]
22. Tennich, M., Ben Ouezdou, M., Kallel, A. (2017). Behavior of self-compacting concrete made with marble and tile wastes exposed to external sulfate attack. Construction and Building Materials, 135(9), 335–342. DOI 10.1016/j.conbuildmat.2016.12.193. [Google Scholar] [CrossRef]
23. Ulubeyli, G. C., Bilir, T., Artir, R. (2016). Durability properties of concrete produced by marble waste as aggregate or mineral additives. Procedia Engineering, 161, 543–548. DOI 10.1016/j.proeng.2016.08.689. [Google Scholar] [CrossRef]
24. Rodrigues, R., de Brito, J., Sardinha, M. (2015). Mechanical properties of structural concrete containing very fine aggregates from marble cutting sludge. Construction and Building Materials, 77(5), 349–356. DOI 10.1016/j.conbuildmat.2014.12.104. [Google Scholar] [CrossRef]
25. Guo, Z. H., Zhang, X. Q., Zhang, D. C., Wang, R. Q. (1982). Experimental study on complete stress-strain curve of concrete. Journal of Building Structure, 3(1), 1–12. DOI 10.14006/j.jzjgxb.1982.01.001. [Google Scholar] [CrossRef]
![]() | This work is licensed under a Creative Commons Attribution 4.0 International License, which permits unrestricted use, distribution, and reproduction in any medium, provided the original work is properly cited. |