![]() | Phyton- International Journal of Experimental Botany | ![]() |
DOI: 10.32604/phyton.2021.016692
REVIEW
Insights into the Roles of Melatonin in Alleviating Heavy Metal Toxicity in Crop Plants
Shaanxi Key Laboratory of Chinese Jujube, College of Life Science, Yan’an University, Yan’an, 716000, China
*Corresponding Author: Ling Li. Email: liling7826@126.com
#These authors contributed equally to the work
Received: 17 March 2021; Accepted: 29 April 2021
Abstract: Alleviating heavy metal pollution in farmland soil, and heavy metal toxicity in plants is the focus of global agricultural environmental research. Melatonin is a kind of indoleamine compound that wide exists in organisms; it is currently known as an endogenous free radical scavenger with the strongest antioxidant effect. As a new plant growth regulator and signaling molecule, melatonin plays an important role in plant resistance to biotic or abiotic stress. Recent studies indicate that melatonin can effectively alleviate heavy metal toxicity in crop plants, which provides a new strategy to minimize heavy metal pollution in crop plants. This study summarizes the research progress on the role of melatonin in alleviating heavy metal toxicity in crop plants and the related physiological and ecological mechanisms such as reducing the concentration of heavy metals in the rhizosphere, fixing and regionally isolating of heavy metals, maintaining the mineral element balance, enhancing the antioxidant defense system and interacting with hormonal signaling. Furthermore, future prospects for the mechanism of melatonin in regulating heavy metal toxicity, the pathway regulating synthesis and catabolism, and the interaction mechanism of melatonin signaling and other phytohormones are presented in this paper, with the goal of providing a theoretical basis for controlling heavy metal ion accumulation in crop plants grown in contaminated soil.
Keywords: Melatonin; crop plant; heavy metal toxicity; biosynthesis; alleviation mechanism
Soil is one of the most important resources for human survival. In recent years, with the rapid development of urbanization, industry and agriculture, as well as the large-scale development and utilization of mineral resources, heavy metal pollution in the soil has become increasingly severe because contaminants continue to accumulate in the environment. The area of soil contaminated by heavy metals has increased with the continuous migration, accumulation and transformation of heavy metals in the environment. Heavy metal-contaminated farmland exceeds 20 million hm2, accounting for nearly 20% of the total cultivated land in China [1]. The main heavy metal pollutants include lead (Pb), cadmium (Cd), copper (Cu), nickel (Ni) and other metal elements with a density greater than 5.0, as well as nonmetal elements with heavy metal characteristics such as arsenic (As) and mercury (Hg). This heavy metal pollution has attracted increasing attention due to its long-term, concealed, cumulative, irreversible and nonbiodegradable characteristics [2,3]. Excessive accumulation of heavy metal ions such as Cd and Pb in crops reduces the content of chlorophyll, increases cell membrane lipid peroxidation, inhibits root mineral nutrient absorption, hinders the normal growth and development of crops, and ultimately threatens animal and human health through the food chain [4–6]. Therefore, effectively alleviating and reducing heavy metal pollution in crops, as well as improving crop yield and quality, have become a serious issue that urgently need to be resolved in current agricultural production. Studies have found that it is feasible to use growth regulators such as jasmonic acid (JA), brassinolide (BR) and melatonin (MT) to alleviate heavy metals environmental stresses and improve the resistance of plants [7–9].
Melatonin, which is produced by the pineal gland in humans, is an indoleamine that is essential for life. It is ubiquitous in most biological organisms, from unicellular algae to higher plants, and from fish, birds, to mammals, and it is a conserved small molecular substance important for biological evolution [10,11]. The chemical name of melatonin is N-acetyl-5-methoxytryptamine. It has both high lipophilicity and hydrophilicity, has specific binding to receptors, and reacts with hydroxyl radicals and peroxy free radicals, all of which are related to the N-acetyl and 5-methyl groups in the protein structure [12]. Although the content of melatonin is low in plants, it plays a very important role in physiological regulation and the enhancement of resistance. It can not only regulate the growth processes of seed germination, root growth, flowering, leaf senescence, and fruit maturation [13–15] but also relieve the damage done to plants under environmental stresses, such as heavy metals, salt-alkali ions, ultraviolet radiation, low temperature, drought, and biological stresses, such as bacteria and pests, thus conferring resistance to adverse environments [16–18]. In recent years, studies have revealed that the toxic effects of Cd, Cu, and other metals on crops can be alleviated by melatonin [19–22], and this protein provides a new solution for the control of heavy metal pollution in crops, but the mechanism of mitigating heavy metal poisoning is still unclear. Melatonin causes a reduction in the toxic effects of heavy metal ions on plants, possibly by enhancing the synthesis of small molecule chelating agents in crops to inhibit the migration of heavy metal ions or by regulating the ion balance and redox state in crops. In this review, we focus on the toxic effects of heavy metals on crops and the mitigation mechanism of melatonin on toxicity, which provides scientific support for an in-depth understanding of the mechanism by which melatonin alleviates heavy metal pollution in crops.
2 The Biosynthesis of Melatonin in Plants
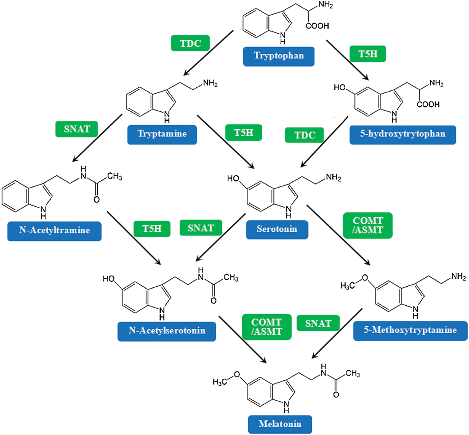
The synthesis and secretion pathways of melatonin in vertebrates have been studied extensively. The synthesis of melatonin in plants follows a similar path to that of animals, and the precursor substances are commonly tryptophan [23–25]. However, the synthesis of melatonin in plants is much more flexible than that in animals, as plants can synthesize tryptophan, while animals can only obtain it from food [26], and different plants have similar pathways of melatonin biosynthesis. The production of melatonin from tryptophan in plants requires four consecutive enzymatic reactions. These enzymes (Fig. 1) are tryptophan decarboxylase (TDC, EC 4.1.1.28), tryptamine 5-hydroxylase (T5H, EC 1.1.13), serotonin N acetyltransferase (SNAT, EC 2.3.1.87), and N-acetylserotonin methyltransferase (ASMT, EC 2.1.1.4). In addition, caffeic acid O-methyltransferase (COMT, EC 2.1.1.68) also plays an important role in catalyzing the last two steps of melatonin synthesis [27,28]. Tryptophan is mainly catalyzed by TDC and T5H to produce serotonin; then, serotonin is mainly catalyzed by SNAT and ASMT to form melatonin. The analysis of overexpression or inhibition of the four enzyme genes indicated that TDC and SNAT may be the rate-limiting enzymes for melatonin synthesis in plants [29–31].

Figure 1: The biosynthetic pathway of melatonin in plants. Note: TDC, tryptophan decarboxylase (EC 4.1.1.28); T5H, tryptophan 5-hydroxylase (EC 1.1.13); SNAT, serotonin N-acetyltransferase (EC 2.3.1.87); COMT, caffeic acid O-methyltransferase (EC 2.1.1.68); and ASMT, N-acetylserotonin methyltransferase (EC 2.1.1.4)
Fig. 1 is modified with reference to Tan et al. [26], Rajniak et al. [32] and Byeon et al. [33].
3 Toxic Effects of Heavy Metal Pollution on Crops
Heavy metals can inhibit water absorption, germination, rooting and seedling growth, resulting in chlorosis and yellowing of leaves, dwarfing of plants, and even necrosis [34,35]. Cu and Zn are essential trace elements for plant growth; the growth of seedling roots can be increased under the appropriate concentration, but damage or even death can occur when exceeding a certain threshold [34]. Cd, Pb, Cr, and other metals are nonessential elements for plant growth and can compete with certain essential metal ions in crops, leading to a lack of relevant essential metal ions, causing nutrient deficiency symptoms, and even inhibiting plant growth or causing death [36]. Cd stress inhibited the elongation and growth of the aboveground and underground parts of rice, wheat, cotton, potato and other crops, and the biomass was significantly lower than normal [37–40]. Pb stress caused a decrease in plant height and biomass of sweet sorghum and corn [41], and a significant decrease in root biomass and the number of lateral roots [42]. As is a highly toxic metal-like element, especially As3+, which is the most toxic of all its chemical forms; this ion can destroy various metabolic activities related to phosphorus (P) because its chemical structure is similar to P [43].
3.2 Interference with the Absorption and Transport of Mineral Elements
The absorption and utilization of mineral nutrients are affected by harmful heavy metals [44]. Studies have found that adding Cd to the nutrient solution can reduce the uptake of Cu, Mn, and Zn by the shoots of plants [45], affect the absorption of Cu and Zn by rice plants [46], and reduce the content of Ca and K in rice roots [47]. The influence of heavy metals on the absorption and utilization of mineral elements is different across crop varieties and is concentration dependent. These results showed the effects of low-concentration promotion and high-concentration inhibition on the contents of Zn and Cu in castor beans, as well as the Mg content in the root and stem under Cd stress, while low-concentration inhibition and high-concentration promotion effects were found for the Mn content in plants and the Fe content in roots [48]. The content of Zn in the aboveground part of wheat increased, and the content of Mn in the aboveground and underground parts decreased under higher Cd concentrations [49]. The main reason is that most heavy metal ions and heavy metal-like ions, as nonessential mineral elements, can enter the transport channels that compete with essential elements such as Fe, Mn, Ca and Zn, thereby inhibiting the absorption and transportation of these mineral nutrients [50,51].
3.3 Inhibition of Photosynthesis
The inhibitory effect of heavy metals on chlorophyll synthesis and photosynthesis is positively correlated with the extension of the treatment time and the increase in the treatment concentration in crop plants. Studies have shown that Cd caused a significant decrease in the contents of chlorophyll and carotenoids in rice, potato and rape leaves [38,40,52]; additionally, the chlorophyll fluorescence parameters Fv/Fm, ΦPSII and qP in wheat and tomato leaves were significantly decreased, and the photosynthetic system was significantly damaged [53,54], which affected the activity of the large subunit of the key enzyme rubisco and the D1 subunit of the active center in PSI, which hindered electron transfer and reduced CO2 assimilation efficiency [55,56]. The main reason may be that the activity of chlorophyll lipid reductase was inhibited, the synthesis of amino-γ-levulinic acid was hindered, and the activity of the electron transport chain and PSII was inhibited by Hg2+ [57]. Heavy metals mainly affect photosynthesis in crop plants by affecting electron transfer and destroying the integrity of chloroplasts.
3.4 Destruction of the Cell Structure
Cell division and the cell structure in plants were significantly affected by heavy metals. Chromium (Cr) inhibited cell division of the root tip, leading to chromosome breakage, adhesion, somatic chromosome exchange, chromosome loops and other aberrations in barley [58]. Studies have shown that Cd stress caused the destruction of chloroplast structure and the expansion of thte thylakoid membrane in wheat [59], an increase in the number and volume of nucleoli and vacuoles in cotton root tip cells, shrinkage of the cytoplasmic membrane, an increase in the number of chloroplasts and a decrease in their volume, swelling of basal thylakoids, damage to the membrane structure, and increased accumulation of starch in grains [60]. Cd existed in the nucleolus or adhered to the cell wall in the form of electron-dense particles and crystals [60]; it also existed in the inner cortex and cylindrical layer of the cross section of the corn roots and in the vacuole in a cross section of upper epidermal cells of leaves [61].
3.5 Induction of Oxidative Damage
The oxidative damage to crops under heavy metal stress is related to the excessive accumulation of reactive oxygen species (ROS) [62]. When crops grow normally, the antioxidant system in plants maintains a low-level concentration of ROS. However, the antioxidant system in the cell is damaged, leading to a large accumulation of ROS in the cell when crop plants are under heavy metal stress, which causes oxidative damage to cell components such as protein molecules, membrane lipids, and double-stranded DNA molecules [63]. A decrease in SOD activity and a small increase in POD and APX activities were caused by 50 μmol · L−1 Cd treatment in upland cotton leaves, and an increase in SOD and CAT activity was caused by 500 μmol · L−1 Cd treatment [64]. Similar changes were found in cotton leaves and roots treated with Pb, Cr, and Cd separately, indicating that heavy metal stress activates the antioxidant enzyme system to a certain extent [65]. However, Pb stress caused an increase in ROS in plant root cells, which caused an increase in the activities of SOD, CAT, POD, and APX, this increase was higher in hyperaccumulator plants than in nonhyperaccumulator plants [66].
3.6 Reduction in the Yield and Quality of Agricultural Products
The effect of heavy metal stress on plant growth and physiological characteristics will eventually cause a decline in yield and quality. A significant reduction was found in cotton yield at 600 μmol · L−1 Cd, especially the seed cotton yield, lint yield, boll number per plant and boll weight; additionally, the fiber length, uniformity, and micronaire value of cotton decreased in the high concentration treatment, and the fiber length and breaking strength increased with increasing Cd concentration, but elongation decreased [67]. Peanut yield and kernel weight per pot, the single pod rate and the number of pods per plant, as well as the content of protein and oil and the ratio of oleic acid to linoleic acid, were reduced under Cd concentrations of 7.5 mg · kg−1 or 15.0 mg · kg−1 [68]. Wheat yield was sensitive to Cd stress, and the number of spikelets, grains per spike, and 1000-grain weight gradually decreased with increasing Cd concentration [69]. Rice yield and rice grain components were significantly reduced under Cd stress, and tillering, the number of effective spikes and 1000-grain weight also decreased with increasing Cd stress [70,71]. In general, excess Cd can affect the yield and quality of crops and increase the content of Cd in grains, which can endanger human health.
4 Mechanism by Which Melatonin Alleviates Heavy Metal Toxicity in Crops
In the long evolutionary process of crops, interactions with the environment have gradually formed many internal physiological, biochemical and other adaptation strategies to reduce the adverse effects of the environment. Under heavy metal stress, melatonin can reduce the concentration of heavy metals in the rhizosphere, remove excess active oxygen in plant cells, chelate with heavy metal ions, and affect signal transduction and gene expression, thereby alleviating heavy metal stress on plants and benefiting plant growth and development (Fig. 2).

Figure 2: The resistance mechanism of the melatonin-regulated response to heavy metal stress in plant cells
4.1 Reduction of Heavy Metals in the Rhizosphere
The soil microecological environment can be affected by root exudates. The form of heavy metals in the rhizosphere of plants can be changed by adjusting the pH of the rhizosphere, forming heavy metal chelates and complex precipitation to reduce the damage to plants. As the synthetic precursor of MT, tryptophan can chelate with Cd2+, Pb2+, Al3+ and Fe2+, serotonin can chelate with Cu2+, Al3+ and Pb2+, and MT can combine with Al3+, Cd2+, Pb2+, Cu2+ and Fe3+. A study showed that Cd stress enhanced the activities of MT synthases, such as TDC, T5H and ASMT, and then promoted MT synthesis [27]. Adding exogenous MT had no effect on the Cd content in roots, but that in leaves was significantly reduced. This result is due to the increase in PCs biosynthesis caused by MT in plants in response to external stress, thereby increasing the chelation of Cd and reducing the transfer of Cd from roots to stems and leaves [72]. Higher concentrations of MT can chelate more heavy metal ions, thereby protecting plant cells from damage, as seen in mustard [73], indicating that MT participates in the process of plant resistance to heavy metals. The addition of exogenous MT can significantly increase the endogenous MT content under Al stress, reduce the production of ROS and the Al content, and alleviate the inhibition of Al on wheat root tips [74].
4.2 Heavy Metal Fixation and Regional Isolation
The main methods of plant fixation and isolation of heavy metals include cell wall precipitation, vacuole area solidification, and complex precipitation with phytochelatin and metallothionein and other substances to limit the transport of heavy metals across cell membranes. The cell wall is the first barrier to prevent heavy metal ions from entering the cytoplasm [75]. After entering the plant roots, Pb, Cd, and others are fixed by carbohydrates in the root cell and polysaccharides, proteins and lignin in the cell wall, preventing heavy metal ions from entering the cytoplasm and greatly reducing the damaging effects on many important organelles [75]. When the metals bound to the cell wall reach the saturation point, heavy metal ions will then enter the interior of the cell and be isolated in some vacuoles or specific areas to avoid excessively high concentrations of free ions in the cytoplasm, preventing cell dehydration [76]. The permeability of the cell plasma membrane is the limiting factor that determines the entry of external heavy metal ions into cells. Under heavy metal stress, plant cells confine the heavy metal ions outside the cell plasma membrane by synthesizing the plasma membrane component callosin (β-1,3 glucan), thereby reducing the damage to the cell. The restriction on the transport of heavy metal ions across the membrane mainly depends on the composition and structural integrity of the cell membrane, as well as the composition and content of fatty acids [77]. Vacuoles combine with heavy metals through various proteins, organic acids, organic bases and other substances, thereby reducing the activity of metal ions [78]. The high lipophilicity of MT allows it to move between cells and organelles through biological membranes. When plants are under stress, they can quickly transfer MT to where it is needed. MT treatment can promote the biosynthesis of GSH and phytochelatins under Cd stress and confine Cd to the cell wall and vacuoles of tomato plants, thereby reducing intracellular Cd fluidity [21]. However, some studies have shown that exogenous MT can alleviate the inhibition of Al on the elongation of wheat roots by reducing the content of pectin, hemicellulose and other cell wall components and the activity of pectin methylesterase in root tips, as well as reducing the accumulation of Al in plant roots [74].
4.3 Maintenance of the Balance in Mineral Element Metabolism
Mineral nutrients can directly or indirectly affect the accumulation of heavy metal ions in different organs of plants and play an important role in enduring heavy metal poisoning [79]. Studies have shown that exogenous MT promoted the absorption of Ca by roots and stems in cucumber under Cd stress, as well as reduced the Ca content in leaves and fruits, significantly increased the Mg content in stems and leaves and that of Fe in roots and leaves, increased the Zn content in leaves, reduced the accumulation of Mn in fruits, effectively maintained osmotic adjustment and ion balance, and promoted the growth and dry matter accumulation of cucumber [80]. MT pretreatment significantly increased the content of the macroelements K, Ca, and Mg and trace elements Fe, Mn, Cu, and Zn in tomato plants under Cd stress, but their values were all lower than those of the control [81]. It was found that different concentrations of MT can increase the contents of K, Ca, N, and Mg in perennial ryegrass under the combined stress of Cd and acid rain, but there was little effect on the content of P [82]. However, the contents of Al, Fe, and Cu in pakchoi were significantly reduced when different concentrations of MT were sprayed on the leaves, and there was no significant effect on the contents of Mg, Zn, and Mn [83]. Moreover, exogenous MT can induce an increase in the selenium content, the content of antioxidant enzymes and the expression of related genes in tomato, as well as scavenge excess ROS and free radicals and protect the integrity of the cell membrane structure and chloroplast structure [84]. The combination of Si and MT was substantially more effective at reducing Cd and As uptake and transport than Si alone, especially in highly polluted soil [85]. In short, MT alleviates the absorption, inhibition and loss of K, Ca, Mg, and others by heavy metal ions, which may be related to the synthesis of plant chelating agents promoted by MT, which chelates heavy metal ions in plant cell walls and vacuoles, reduces the activity and mobility of heavy metal ions, and ultimately alleviates the stress of heavy metal ions on crop seedlings [86].
4.4 Strengthening of the Antioxidant Defense System
Melatonin is a highly effective active oxygen scavenger and a powerful endogenous free radical scavenger. Studies have shown that the methoxy group at the 5-position of the indole ring and the N-acetyl group on the side chain in the MT structure are necessary groups for removing reactive oxygen species (ROS). MT can directly scavenge free radicals such as H2O2, NO, and OH, and 4 molecules of H2O2 or 10 molecules of active oxygen free radical can be directly scavenged by one molecule of MT, so that ROS can be maintained at a controllable level [26,87]. Melatonin is amphiphilic and can participate extensively in the antioxidant reaction of cytoplasmic and membrane lipids; its antioxidant capacity is twice that of VE and four times that of glutathione [88]. Melatonin treatment can increase the activities of SOD and CAT and reduce the content of H2O2 and MDA in watermelon seedlings under vanadium (V) stress [89], It can also increase the activities of SOD, CAT, and POD in wheat root tips under Al stress [74], promote the growth of rice seedlings significantly under nickel (Ni) stress, reduce the production rate of O2·−, and increase the activity of CAT and the content of soluble protein [90]. Furthermore, melatonin is not only a free radical scavenger but also an antioxidant that can repair self-oxidation products. It was found that melatonin treatment can increase plant height, biomass accumulation and root growth of wheat seedlings under Cd stress, significantly reduce the H2O2 content, increase the GSH content and the activities of APX and SOD, and greatly reduce the toxic effects of Cd [91]. The excessive accumulation of ROS in the seedlings of Brassica chinensis under Cd stress can be removed by the foliar spraying of melatonin, increasing the antioxidant enzyme activity and antioxidant content and alleviating oxidative stress, thereby reducing the accumulation and toxicity of Cd [83]. Melatonin treatment can increase the content of GSH and AsA and the ratio of GSH/GSSH and AsA/DAH under Al stress in wheat root tips, as well as inhibit the accumulation of ROS, enhance the antioxidant capacity in vivo, and alleviate the oxidative stress of Al on wheat roots [74]. However, as a strong antioxidant, how melatonin directly or indirectly quenches excessively produced ROS in plants under adverse conditions and slows oxidative stress damage to plants, as well as the regulatory mechanism of this metabolic pathway are still unclear. Some studies have shown that several specific signaling molecules could be induced by Cd2+, which consequently triggers some HM chelators, transporters, and antioxidants to achieve ROS scavenging and detoxification; in particular, overexpression of the RsMT1 gene could enhance Cd tolerance in tobacco plants, which might be similar to the melatonin-mediated upregulation of the RsMT1 gene in radish plants [92].
4.5 Regulation of the Interaction between Hormones
Plant endogenous hormones play an important role in the response of crops to adverse stresses; they are usually interrelated and interact to form a complex signaling network. As a new plant growth regulator and biostimulant, melatonin may play a role in alleviating heavy metal poisoning by affecting the synthesis, transport and metabolism of other hormones and signaling molecules in crop plants, thereby indirectly regulating plant resistance to heavy metals. Studies have shown that the synthesis of MT and IAA requires the same precursor, tryptophan, and these molecules are similar in structure. MT can increase the level of auxin or show similar activity to IAA; that is, it has the characteristics of promotion at low concentrations and inhibition at high concentrations [93]. It has been found that the growth of roots and young leaves was stimulated by lower concentrations of MT and inhibited by higher concentrations [12,93]. Zn is an essential element for the synthesis of IAA. Exogenous MT increased the Zn content in cucumber leaves under Cd stress, which contributed to the synthesis of IAA and the accumulation of dry matter above ground [80]. However, the signal transduction regulatory pathway of the interaction between MT and IAA needs to be further studied [12]. Studies have shown that melatonin can induce the synthesis of jasmonic acid (JA), salicylic acid (SA), ethylene (ETH) and NO in response to stress, which is enhanced by genes related to the synthesis and signaling of cytokinin (CK) and abscisic acid (ABA) and forms a complex regulatory network of hormones to improve plant resistance [94–96].
In recent years, many studies have been conducted on the synthesis pathway of melatonin in plants and its regulation of crop responses to heavy metals and other abiotic stresses. The research topics range from physiology and biochemistry to molecules and proteins. The physiological and biochemical mechanisms by which melatonin alleviates heavy metal toxicity in crops are basically clear, including the following points. First, chelation with heavy metal ions in the soil reduces the concentration of heavy metals in the rhizosphere, which reduces the accumulation of heavy metal ions by inducing the synthesis of metallothionein and phytochelatin in plants. Second, maintaining the balance between osmotic adjustment and mineral nutrition enhances the antioxidant defense system, protects the integrity of the cell membrane structure and chloroplast structure, improves photosynthesis and promotes plant growth. Finally, a complex regulatory network is formed by influencing the synthesis, transportation and metabolism of other hormones and signaling molecules in the plant to improve the accumulation of plant assimilates and resistance to heavy metal stress.
Previous studies have deepened people’s understanding of the pleiotropic function of melatonin in response to crop abiotic stress. However, the current research on the melatonin response to heavy metal stress is not thorough enough. Further research is needed on the mechanism of melatonin in response to heavy metals, the regulation of melatonin metabolism, the interaction mechanism between melatonin and other hormones in plants under heavy metal stress and other external environments, and the application of melatonin to enhance the resistance of various crop plants and soils.
Acknowledgement: We thank the anonymous reviewers for their helpful comments.
Authors Contribution: Ling Li and Xuyu Yan discussed the idea, drafted the manuscript, and edited the manuscript for its improvement.
Funding Statement: This research was funded by the National Natural Science Foundation of China (31960414, 31501342), High-level Talent Fund of Scientific Research for Introduction and Training in Yan’an, Shaanxi Province of China (2019-06), Specialized Research Fund for the Doctoral Program of Yan’an University (YDBK2017-35), and Research Project of Yan’an University (YDZ2019-07, YDQ2019-26).
Conflicts of Interest: The authors declare that they have no conflicts of interest to report regarding the present study.
1. Chen, Y. J., Fang, L. N., Yang, J. Y. (2014). The cropland pollution China: Status and countermeasures. Chinese Journal of Agricultural Resources and Regional Planning, 35(4), 1–5. DOI 10.7621/cjarrp.1005-9121.20140401. [Google Scholar] [CrossRef]
2. Adriano, D. C., Wenzel, W. W., Blum, W. E. H. (1997). Role of phytoremediation in the establishment of a global soil remediation network. International Seminar on Using Plants for Environmental Remediation Proceedings, pp. 1–25Kosaikaikan, Tokyo, Japan. [Google Scholar]
3. Li, L., Yan, X. Y., Li, J., Tian, Y. S., Ren, P. (2021). Advances in cotton tolerance to heavy metal stress and applications to remediate heavy metal-contaminated farmland soil. Phyton-International Journal of Experimental Botany, 90(1), 35–50. DOI 10.32604/phyton.2021.012276. [Google Scholar] [CrossRef]
4. Perez, A. L., Anderson, K. A. (2009). DGT estimates cadmium accumulation in wheat and potato from phosphate fertilizer applications. Science of the Total Environment, 407, 5096–5103. DOI 10.1016/j.scitotenv.2009.05.045. [Google Scholar] [CrossRef]
5. Rizwan, M., Ali, S., Adrees, M., Ibrahim, M., Tsang, D. C. W. et al. (2017). A critical review on effects, tolerance mechanisms and management of cadmium in vegetables. Chemosphere, 182, 90–105. DOI 10.1016/j.chemosphere.2017.05.013. [Google Scholar] [CrossRef]
6. Kalita, J., Pradhan, A. K., Shandilya, Z. M., Tanti, B. (2018). Arsenic stress responses and tolerance in rice: Physiological, cellular and molecular approaches. Rice Science, 25(5), 5–19. DOI 10.1016/j.rsci.2018.06.007. [Google Scholar] [CrossRef]
7. Priti, K. (2003). Brassinosteroid-mediated stress responses. Journal of Plant Growth Regulation, 22, 289–297. DOI 10.1007/s00344-003-0058-z. [Google Scholar] [CrossRef]
8. Singh, I., Shah, K. (2014). Exogenous application of methyl jasmonate lowers the effect of cadmium-induced oxidative injury in rice seedlings. Phytochemistry, 108, 57–66. DOI 10.1016/j.phytochem.2014.09.007. [Google Scholar] [CrossRef]
9. Liu, N., Jin, Z. Y., Wang, S. S., Gong, B., Wen, D. et al. (2015). Sodic alkaline stress mitigation with exogenous melatonin involves reactive oxygen metabolism and ion homeostasis in tomato. Scientia Horticulturae, 181, 18–25. DOI 10.1016/j.scienta.2014.10.049. [Google Scholar] [CrossRef]
10. Tilden, A. R., Becker, M. A., Amma, L. L., Arciniega, J., Mcgaw, A. K. (1997). Melatonin production in an aerobic photosynthetic bacterium: An evolutionarily early association with darkness. Journal of Pineal Research, 22, 102–106. DOI 10.1111/j.1600-079X.1997.tb00310.x. [Google Scholar] [CrossRef]
11. Rüdiger, H., Daniel, P. C., Venkatramanujam, S., Warren, S. D., Gregory, M. B. et al. (2011). Melatonina pleiotropic, orchestrating regulator molecule. Progress in Neurobiology, 93(3), 350–384. DOI 10.1016/j.pneurobio.2010.12.004. [Google Scholar] [CrossRef]
12. Arnao, M. B., Hernández-Ruiz, J. (2015). Functions of melatonin in plants: A review. Journal of Pineal Research, 59, 133–150. DOI 10.1111/jpi.12253. [Google Scholar] [CrossRef]
13. Kolář, J., Johnson, C. H., Macháčková, I. (2003). Exogenously applied melatonin (N-acetyl-5-methoxytryptamine) affects flowering of the short-day plant chenopodium rubrum. Physiologia Plantarum, 118(4), 605–612. DOI 10.1034/j.1399-3054.2003.00114.x. [Google Scholar] [CrossRef]
14. Pelagio-Flores, R., Muñoz-Parra, E., Ortiz-Castro, R., López-Bucio, J. (2012). Melatonin regulates arabidopsis root system architecture likely acting independently of auxin signaling. Journal of Pineal Research, 53(3), 279–288. DOI 10.1111/j.1600-079X.2012.00996.x. [Google Scholar] [CrossRef]
15. Park, S., Back, K. (2012). Melatonin promotes seminal root elongation and root growth in transgenic rice after germination. Journal of Pineal Research, 53(4), 385–389. DOI 10.1111/j.1600-079X.2012.01008.x. [Google Scholar] [CrossRef]
16. Tan, D. X., Hardeland, R., Manchester, L. C., Korkmaz, A., Ma, S. et al. (2011). Functional roles of melatonin in plants, and perspectives in nutritional and agricultural science. Journal of Experimental Botany, 63(2), 577–597. DOI 10.1093/jxb/err256. [Google Scholar] [CrossRef]
17. Moustafa, F. M., Elkelish, A., Dafea, M., Khan, M., Arnao, M. B. et al. (2020). Role of melatonin in plant tolerance to soil stressors: Salinity, pH and heavy metals. Molecules, 25(22), 5359. DOI 10.3390/molecules25225359. [Google Scholar] [CrossRef]
18. Reiter, R. J., Tan, D. X., Zhou, Z., Cruz, M. H. C., Fuentes-Broto, L. et al. (2015). Phytomelatonin: Assisting plants to survive and thrive. Molecules, 20(4), 7396–7437. DOI 10.3390/molecules20047396. [Google Scholar] [CrossRef]
19. Tan, D. X., Manchester, L. C., Di Mascio, P., Martinez, G. R., Prado, F. M. et al. (2007). Novel rhythms of N1-acetyl-n2-formyl-5-methoxykynuramine and its precursor melatonin in water hyacinth: Importance for phytoremediation. The FASEB Journal, 21, 1724–1729. DOI 10.1096/fj.06-7745com. [Google Scholar] [CrossRef]
20. Byeon, Y., Lee, H. Y., Choi, D. W., Back, K. (2015). Chloroplast-encoded serotonin N-acetyltransferase in the red alga pyropia yezoensis: Gene transition to the nucleus from chloroplasts. Journal of Experimental Botany, 66, 709–717. DOI 10.1093/jxb/eru357. [Google Scholar] [CrossRef]
21. Cai, S. Y., Zhang, Y., Xu, Y. P., Qi, Z. Y., Li, M. Q. et al. (2017). Hsf A1a upregulates melatonin biosynthesis to confer cadmium tolerance in tomato plants. Journal of Pineal Research, 62, e12387. DOI 10.1111/jpi.12387. [Google Scholar] [CrossRef]
22. Menhas, S., Yang, X. J., Hayat, K., Aftab, T., Bundschuh, J. et al. (2021). Exogenous melatonin enhances Cd tolerance and phytoremediation efficiency by ameliorating Cd-induced stress in oilseed crops: A review. Journal of Plant Growth Regulation. DOI 10.1007/s00344-021-10349-8. [Google Scholar] [CrossRef]
23. Facchini, P. J., Huber-Allanach, K. L., Tari, L. W. (2000). Plant aromatic L-amino acid decarboxylases: Evolution, biochemistry, regulation, and metabolic engineering applications. Phytochemistry, 54(2), 121–138. DOI 10.1016/S0031-9422(00)00050-9. [Google Scholar] [CrossRef]
24. Murch, S. J., KrishnaRaj, S., Saxena, P. K. (2000). Tryptophan is a precursor for melatonin and serotonin biosynthesis in in vitro regenerated St. john’s wort (Hypericum perforatum L. cv. anthos) plants. Plant Cell Reports, 19(7), 698–704. DOI 10.1007/s002990000206. [Google Scholar] [CrossRef]
25. Van Tassel, D. L., O’Neill, S. D. (2001). Putative regulatory molecules in plants: Evaluating melatonin. Journal of Pineal Research, 31(1), 1–7. DOI 10.1034/j.1600-079X.2001.310101.x. [Google Scholar] [CrossRef]
26. Tan, D. X., Manchester, L. C., Esteban-Zubero, E., Zhou, Z., Reiter, R. J. (2015). Melatonin as a potent and inducible endogenous antioxidant: Synthesis and metabolism. Molecules, 20(10), 18886–18906. DOI 10.3390/molecules201018886. [Google Scholar] [CrossRef]
27. Byeon, Y., Choi, G. H., Lee, H. Y., Back, K. (2015). Melatonin biosynthesis requires N-acetylserotonin methyltransferase activity of caffeic acid O-methyltransferase in rice. Journal of Experimental Botany, 66, 6917–6925. DOI 10.1093/jxb/erv396. [Google Scholar] [CrossRef]
28. Byeon, Y., Back, K. (2016). Melatonin production in escherichia coli by dual expression of serotonin N-acetyltransferase and caffeic acid O-methyltransferase. Applied Microbiology and Biotechnology, 100, 6683–6691. DOI 10.1007/s00253-016-7458-z. [Google Scholar] [CrossRef]
29. Fujiwara, T., Maisonneuve, S., Isshiki, M., Mizutani, M., Chen, L. et al. (2010). Sekiguchi lesion gene encodes a cytochrome p450 monooxygenase that catalyzes conversion of tryptamine to serotonin in rice. Journal of Biological Chemistry, 285(15), 11308–11313. DOI 10.1074/jbc.M109.091371. [Google Scholar] [CrossRef]
30. Kang, K., Lee, K., Park, S., Byeon, Y., Back, K. (2013). Molecular cloning of rice serotonin N-acetyltransferase, the penultimate gene in plant melatonin biosynthesis. Journal of Pineal Research, 55(1), 7–13. DOI 10.1111/jpi.12011. [Google Scholar] [CrossRef]
31. Kanjanaphachoat, P., Wei, B. Y., Lo, S. F., Wang, I. W., Wang, C. S. et al. (2012). Serotonin accumulation in transgenic rice by over-expressing tryptophan decarboxlyase results in a dark brown phenotype and stunted growth. Plant Molecular Biology, 78(6), 525–543. DOI 10.1007/s11103-012-9882-5. [Google Scholar] [CrossRef]
32. Rajniak, J., Barco, B., Clay, N. K., Sattely, E. S. (2015). A new cyanogenic metabolite in arabidopsis required for inducible pathogen defence. Nature, 525, 376–395. DOI 10.1038/nature14907. [Google Scholar] [CrossRef]
33. Byeon, Y., Lee, H. Y., Hwang, O. J., Lee, H. J., Lee, K. et al. (2015). Coordinated regulation of melatonin synthesis and degradation genes in rice leaves in response to cadmium treatment. Journal of Pineal Research, 58(4), 470–478. DOI 10.1111/jpi.12232. [Google Scholar] [CrossRef]
34. Hossain, M. A., Piyatida, P., Da Silva, J. A. T., Fujita, M. (2012). Molecular mechanism of heavy metal toxicity and tolerance in plants: Central role of glutathione in detoxification of reactive oxygen species and methylglyoxal and in heavy metal chelation. Journal of Botany, 2012, 1–37. DOI 10.1155/2012/872875. [Google Scholar] [CrossRef]
35. Rizwan, M., Ali, S., Rehman, M. Z., Maqbool, A. (2019). A critical review on the effects of zinc at toxic levels of cadmium in plants. Environmental Science and Pollution Research, 26, 6279–6289. DOI 10.1007/s11356-019-04174-6. [Google Scholar] [CrossRef]
36. Shakirova, F. M., Allagulova, C. R., Maslennikova, D. R., Klyuchnikova, E. O., Avalbaev, A. M. et al. (2016). Salicylic acid-induced protection against cadmium toxicity in wheat plants. Environmental and Experimental Botany, 122, 19–28. DOI 10.1016/j.envexpbot.2015.08.002. [Google Scholar] [CrossRef]
37. Yotsova, E. K., Dobrikova, A. G., Stefanov, M. A., Kouzmanova, M., Apostolova, E. L. (2018). Improvement of the rice photosynthetic apparatus defence under cadmium stress modulated by salicylic acid supply to roots. Theoretical and Experimental Plant Physiology, 30, 57–70. DOI 10.1007/s40626-018-0102-9. [Google Scholar] [CrossRef]
38. Li, L., Li, J. R., He, Q. L., Zhu, S. J., Chen, J. H. (2014). Nutrients, ultrastructures, and Cd subcellular localization in the cottonseeds of three upland cotton cultivars under Cd stress. Journal of Soil Science and Plant Nutrition, 14(2), 278–291. DOI 10.4067/S0718-95162014005000023. [Google Scholar] [CrossRef]
39. Li, Q., Wang, G., Wang, Y. R., Yang, D., Guan, C. F. et al. (2019). Foliar application of salicylic acid alleviate the cadmium toxicity by modulation the reactive oxygen species in potato. Ecotoxicology and Environmental Safety, 172, 317–325. DOI 10.1016/j.ecoenv.2019.01.078. [Google Scholar] [CrossRef]
40. Chen, M. U., Du, T. Q., Zhang, Z. Y., Xue, J. F., Cui, F. Z. et al. (2016). Resistance evaluation and response of sweets orghum and corn during seedling stage under Pb stress. Journal of China Agricultural University, 21(11), 17–23. DOI 10.11841/j.issn.1007-4333.2016.11.03. [Google Scholar] [CrossRef]
41. Lv, D. M., Zhu, G. L., Wang, Y., Shi, Y., Lu, F. G. et al. (2021). Study on growth, physiological and heavy metal accumulation traits at seedling stage under heavy metal stress in castor (Ricinus communis L.). Acta Agronomica Sinica, 47(4), 728–737. DOI 10.3724/SP.J.1006.2021.04146. [Google Scholar] [CrossRef]
42. Yang, G., Wu, J., Tang, Y. (2005). Research advances in plant resistance mechanisms under lead stress. Chinese Journal of Ecology, 24(12), 1507–1512. DOI 10.13292/j.1000-4890.2005.0190. [Google Scholar] [CrossRef]
43. Finnegan, P. M., Chen, W. (2012). Arsenic toxicity: The effects on plant metabolism. Frontiers in Physiology, 3(182), 1–18. DOI 10.3389/fphys.2012.00182. [Google Scholar] [CrossRef]
44. Chao, D. Y., Leng, B. (2017). Nutrient use efficiency of plants and heavy metal pollution. Plant Physiology Journal, 53(8), 1337–1340. DOI 10.13592/j.cnki.ppj.2017.1025. [Google Scholar] [CrossRef]
45. Sandalio, L. M., Dalurzo, H. C., Gomez, M., Romero-Puertas, M. C. (2001). Cadmium-induced changes in the growth and oxidative metabolism of pea plants. Journal of Experimental Botany, 52(364), 2115–2126. DOI 10.1093/jexbot/52.364.2115. [Google Scholar] [CrossRef]
46. Shao, G. S., Chen, M. X., Wang, W. X. (2007). Iron nutrition affects cadmium accumulation and toxicity in rice. Plant Growth Regulation, 53, 33–42. DOI 10.1007/s10725-007-9201-3. [Google Scholar] [CrossRef]
47. Li, S., Yu, J. L., Zhu, M. J., Zhao, F. G., Luan, S. (2012). Cadmium impairs ion homeostasis by altering K+ and Ca2+ channel activities in rice root hair cells. Plant Cell and Environment, 35(11), 1998–2013. DOI 10.1111/j.1365-3040.2012.02532.x. [Google Scholar] [CrossRef]
48. Li, J., Ge, Y., Wang, M. X., Zhao, Y., Zhao, X. Q. (2016). Effects of Cd on tolerance physiology, nutrients uptake and translocation in ricinus communis L. Acta Scientiae Circumstantiae, 36(8), 3081–3087. DOI 10.13671/j.hjkxxb.2015.0715. [Google Scholar] [CrossRef]
49. Zhu, Z. Y., Hao, Y. F., Wu, J. Z., Huang, M., Liu, Y. J. et al. (2011). Effects of Cd2+ stress on the seedling growth, Cd2+, Zn2+ and Mn2+ uptake of different wheat cultivars. Journal of Soil and Water Conservation, 25(2), 209–213. DOI 10.13870/j.cnki.stbcxb.2011.02.003. [Google Scholar] [CrossRef]
50. Cheong, Y. H., Pandey, G. K., Grant, J. J. (2007). Two calcineurin B-like calcium sensors, interacting with protein kinase CIPK23, regulate leaf transpiration and root potassium uptake in arabidopsis. The Plant Journal, 52, 223–239. DOI 10.1111/j.1365-313X.2007.03236.x. [Google Scholar] [CrossRef]
51. Tian, S. K., Xie, R. H., Wang, H. X., Hu, Y., Ge, J. et al. (2016). Calcium deficiency triggers phloem remobilization of cadmium in a hyperaccumulating species. Plant Physiology, 172(4), 2300–2313. DOI 10.1104/pp.16.01348. [Google Scholar] [CrossRef]
52. Kaur, P., Bali, S., Sharma, A., Vig, A. P., Bhardwaj, R. (2017). Effect of earthworms on growth, photosynthetic efficiency and metal uptake in Brassica juncea L. plants grown in cadmium-polluted soils. Environmental Science and Pollution Research, 24, 13452–13465. DOI 10.1007/s11356-017-8947-z. [Google Scholar] [CrossRef]
53. Wang, R. B. (2017). Effect of salicylic acid on chlorophyll fluorescence parameters in wheat under cadmium stress. Biotechnology Bulletin, 33(7), 96–99. DOI 10.13560/j.cnki.biotech.bull.1985.2016-1188. [Google Scholar] [CrossRef]
54. Alyemeni, M. N., Ahanger, M. A., Wijaya, L., Alam, P., Bhardwaj, R. et al. (2018). Correction to: Selenium mitigates cadmium-induced oxidative stress in tomato (Solanum lycopersicum L.) plants by modulating chlorophyll fluorescence, osmolyte accumulation, and antioxidant system. Protoplasma, 255, 459–469. DOI 10.1007/s00709-017-1162-4. [Google Scholar] [CrossRef]
55. Ahmad, B., Jaleel, H., Sadiq, Y., Kan, M. M. A., Shabbir, A. (2018). Response of exogenous salicylic acid on cadmium induced photosynthetic damage, antioxidant metabolism and essential oil production in peppermint. Plant Growth Regulation, 86, 273–286. DOI 10.1007/s10725-018-0427-z. [Google Scholar] [CrossRef]
56. Lentini, M., Lillo, A. D., Paradisone, V., Liberti, D., Landi, S. et al. (2018). Early responses to cadmium exposure in barley plants: Effects on biometric and physiological parameters. Acta Physiologiae Plantarum, 40, 178. DOI 10.1007/s11738-018-2752-2. [Google Scholar] [CrossRef]
57. Stobart, A. K., Griffiths, W. T., Ameen-Bukhari, I., Sherwood, R. P. (1985). The effect of Cd2+ on the biosynthesis of chlorophyll in leaves of barley. Physiologia Plantarum, 63(3), 293–298. DOI 10.1111/j.1399-3054.1985.tb04268.x. [Google Scholar] [CrossRef]
58. Zhang, Y. X. (1997). A comparative study of the toxic effects of the trivalent and hexavalent chromium in hordeum vulgare. China Environmental Science, 17(6), 565–568. DOI 10.1007/BF02951625. [Google Scholar] [CrossRef]
59. Ouzounidou, G., Moustakas, M., Eleftheriou, E. P. (1997). Physiological and ultrastructural effects of cadmium on wheat (Triticum aestivum L.) leaves. Archives of Environmental Contamination and Toxicology, 32, 154–160. DOI 10.1007/s002449900168. [Google Scholar] [CrossRef]
60. Daud, M. K., Sun, Y. Q., Dawood, M., Hayat, Y., Variath, M. T. et al. (2009). Cadmium-induced functional and ultrastructural alterations in roots of two transgenic cotton cultivars. Journal of Hazardous Materials, 161, 463–473. DOI 10.1016/j.jhazmat.2008.03.128. [Google Scholar] [CrossRef]
61. Wojcik, M., Tukiendorf, A. (2005). Cadmium uptake, localization and detoxification in Zea mays. Biologia Plantarum, 49(2), 237–245. DOI 10.1007/s10535-005-7245-7. [Google Scholar] [CrossRef]
62. Sharma, S. S., Dietz, K. J. (2009). The relationship between metal toxicity and cellular redox imbalance. Trends in Plant Science, 14(1), 43–50. DOI 10.1016/j.tplants.2008.10.007. [Google Scholar] [CrossRef]
63. Shahid, M., Pourrut, B., Dumat, C., Nadeem, M., Aslam, M. et al. (2014). Heavy-metal-induced reactive oxygen species: Phytotoxicity and physicochemical changes in plants. Reviews of Environmental Contamination and Toxicology, 232, 1–44. DOI 10.1007/978-3-319-06746-9. [Google Scholar] [CrossRef]
64. Daud, M. K., Mei, L., Azizullah, A., Dawood, M., Ali, I. et al. (2016). Leaf-based physiological, metabolic, and ultrastructural changes in cultivated cotton cultivars under cadmium stress mediated by glutathione. Environmental Science and Pollution Research, 23(15), 15551–15564. DOI 10.1007/s11356-016-6739-5. [Google Scholar] [CrossRef]
65. Daud, M. K., Mei, L., Variath, M. T., Ali, S., Li, C. et al. (2014). Chromium (VI) uptake and tolerance potential in cotton cultivars: Effect on their root physiology, ultra-morphology, and oxidative metabolism. Biomed Research International, 975946. DOI 10.1155/2014/975946. [Google Scholar] [CrossRef]
66. Huang, H. G., Gupta, D. K., Tian, S. K., Yang, X. E., Li, T. X. (2012). Lead tolerance and physiological adaptation mechanism in roots of accumulating and non-accumulating ecotypes of Sedum alfredii. Environmental Science and Pollution Research, 19(5), 1640–1651. DOI 10.1007/s11356-011-0675-1. [Google Scholar] [CrossRef]
67. Li, L., Chen, J. H., He, Q. L., Daud, M. K., Zhu, S. J. (2012). Characterization of physiological traits, yield and fiber quality in three upland cotton cultivars grown under cadmium stress. Australian Journal of Crop Science, 6(11), 1527–1533. [Google Scholar]
68. Gao, F., Lin, Y. J., Zhang, J. L., Yang, C. T., Zhang, F. et al. (2012). Effects of cadmium stress on physiological characteristics, pod yield, and kernel quality in peanut. Acta Agronomica Sinica, 37(12), 2269–2277. DOI 10.1016/S1875-2780(11)60058-8. [Google Scholar] [CrossRef]
69. Yang, Y., Zhang, Q., Yang, W., Tian, L., Lei, J. et al. (2011). Effect of cadmium stress on yield and yield components of different wheat genotypes. Journal of Plant Nutrition and Fertilizers, 17(3), 532–538. DOI 10.11674/zwyf.2011.0229. [Google Scholar] [CrossRef]
70. Chen, J., Fang, H., Zhang, Y., Fan, Y. (2013). Effects of cadmium stress on the quality of rice seeds. Asian Agricultural Research, 5(9), 130–132. [Google Scholar]
71. Yu, H., Feng, W., Qin, Y., Tu, S. (2013). Effects of cadmium stress on growth and cadmium uptake of different rice genotypes. Southwest China Journal of Agricultural Sciences, 26(3), 878–883. DOI 10.16213/j.cnki.scjas.2013.03.046. [Google Scholar] [CrossRef]
72. Hasan, M. K., Ahammed, G. J., Yin, L. L., Shi, K., Xia, X. J. et al. (2015). Melatonin mitigates cadmium phytotoxicity through modulation of phytochelatins biosynthesis, vacuolar sequestration, and antioxidant potential in Solanum lycopersicum L. Frontiers in Plant Science, 6, 1–14. DOI 10.3389/fpls.2015.00601. [Google Scholar] [CrossRef]
73. Kou, S. W. (2011). The stress of Cd, Cu and Pb compound pollution on mustard and their absorption and enrichment characteristics in mustard (M.D. Thesis). Jinan University, China. [Google Scholar]
74. Lv, T. (2018). The role of melatonin in alleviating aluminum toxicity in wheat (Triticum aestivum L.) genotypes differing in aluminum tolerance (M.D. Thesis). Zhejiang University, China. [Google Scholar]
75. Loix, C., Huybrechts, M., Vangronsveld, J., Gielen, M., Keunen, E. et al. (2017). Reciprocal interactions between cadmium-induced cell wall responses and oxidative stress in plants. Frontiers in Plant Science, 8, 1867. DOI 10.3389/fpls.2017.01867. [Google Scholar] [CrossRef]
76. Rodriguez-Hernandez, M. C., Bonifas, I., Alfaro-De la Torre, M. C., Flores-Flores, J. L., Bañuelos-Hernández, B. et al. (2015). Increased accumulation of cadmium and lead under Ca and Fe deficiency in typha latifolia: A study of two pore channel (TPC1) gene responses. Environmental and Experimental Botany, 115(6), 38–48. DOI 10.1016/j.envexpbot.2015.02.009. [Google Scholar] [CrossRef]
77. Jutsz, A. M., Gnida, A. (2015). Mechanisms of stress avoidance and tolerance by plants used in phytoremediation of heavy metals. Archives of Environmental Protection, 41(4), 104–114. DOI 10.1515/aep-2015-0045. [Google Scholar] [CrossRef]
78. Sharma, S. S., Dietz, K. J. (2006). The significance of amino acids and amino acid-derived molecules in plant responses and adaptation to heavy metal stress. Journal of Experimental Botany, 57, 711–726. DOI 10.1093/jxb/erj073. [Google Scholar] [CrossRef]
79. Sarwar, N., Saifullah, Malhis, S. S., Zia, M. H., Naeem, A. et al. (2010). Role of mineral nutrition in minimizing cadmium accumulation by plants. Journal of the Science of Food and Agriculture, 90(6), 925–937. DOI 10.1002/jsfa.3916. [Google Scholar] [CrossRef]
80. Zhang, R. M., Sun, Y. K., Liu, Z. Y., Jin, W., Sun, Y. (2017). Effects of melatonin on seedling growth, mineral nutrition, and nitrogen metabolism in cucumber under nitrate stress. Journal of Pineal Research, 62(4), 28226188. DOI 10.1111/jpi.12403. [Google Scholar] [CrossRef]
81. Hasan, M. K., Ahammed, G. J., Sun, S. C., Li, M. Q., Yin, H. Q. et al. (2019). Melatonin inhibits cadmium translocation and enhances plant tolerance by regulating sulfur uptake and assimilation in solanum lycopersicum L. Journal of Agricultural and Food Chemistry, 67(38), 10563–10576. DOI 10.1021/acs.jafc.9b02404. [Google Scholar] [CrossRef]
82. Zhao, E. Y. (2019). Physiologic and biochemical of perennial ryegrass response to cadmium & acid soil complex stress and release effect of exogenous melatonin (M.D. Thesis). Sichuan Agricultural University, China. [Google Scholar]
83. Liu, Z. L., Huang, Y. F., Zhu, Z. B., Chen, Y. H., Cui, J. (2018). Effects of foliar feeding of melatonin on cadmium tolerance of Chinese cabbage seedlings. Plant Physiology Journal, 54, 660–668. DOI 10.13592/j.cnki.ppj.2018.0066. [Google Scholar] [CrossRef]
84. Li, M. Q., Hasan, M. K., Li, C. X., Ahammed, G. J., Xia, X. J. et al. (2016). Melatonin mediates selenium-induced tolerance to cadmium stress in tomato plants. Journal of Pineal Research, 61, 291–302. DOI 10.1111/jpi.12346. [Google Scholar] [CrossRef]
85. Bao, Q. L., Bao, W. K., Li, Y., Zhang, S. N., Lian, F. (2021). Silicon combined with foliar melatonin for reducing the absorption and translocation of Cd and as by Oryza sativa L. in two contaminated soils. Journal of Environmental Management, 287(1), 112343. DOI 10.1016/J.JENVMAN.2021.112343. [Google Scholar] [CrossRef]
86. Wu, L. L., Zheng, Y. T., Li, G. Y., Zou, L. P., Chan, Z. L. et al. (2018). The research progress of melatonin-regulated abiotic stress tolerance in plants. Plant Physiology Journal, 54(11), 1669–1677. DOI 10.13592/j.cnki.ppj.2018.0407. [Google Scholar]
87. Hardeland, R., Coto-Montes, A., Poeggeler, B. (2003). Circadian rhythms, oxidative stress, and antioxidative defense mechanisms. Chronobiology International, 20(6), 921–962. DOI 10.1081/CBI-120025245. [Google Scholar] [CrossRef]
88. Paredes, S. D., Korkmaz, A., Manchester, L. C., Tan, D. X., Reiter, R. J. (2009). Phytomelatonin: A review. Journal of Experimental Botany, 60(1), 57–69. DOI 10.1093/jxb/ern284. [Google Scholar] [CrossRef]
89. Nawaz, M. A., Jiao, Y. Y., Chen, C., Shireen, F., Zheng, Z. H. et al. (2018). Melatonin pretreatment improves vanadium stress tolerance of watermelon seedlings by reducing vanadium concentration in the leaves and regulating melatonin biosynthesis and antioxidant-related gene expression. Journal of Plant Physiology, 220, 115–127. DOI 10.1016/j.jplph.2017.11.003. [Google Scholar] [CrossRef]
90. Liu, S. X., Huang, Y. Z., Luo, Z. J., Huang, Y. C., Jiang, H. (2017). Alleviation effects of exogenous melatonin on Ni toxicity in rice seedings. Environmental Science, 38, 1675–1682. DOI 10.13227/j.hjkx.201609139. [Google Scholar] [CrossRef]
91. Ni, J., Wang, Q. J., Shah, F. A., Liu, W. B., Wang, D. D. et al. (2018). Exogenous melatonin confers cadmium tolerance by counterbalancing the hydrogen peroxide homeostasis in wheat seedlings. Molecules, 23, 799. DOI 10.3390/molecules23040799. [Google Scholar] [CrossRef]
92. Xu, L., Zhang, F., Tang, M. J., Wang, Y., Dong, J. H. (2020). Melatonin confers cadmium tolerance by modulating critical heavy metal chelators and transporters in radish plants. Journal of Pineal Research, 69(1), e12659. DOI 10.1111/jpi.12659. [Google Scholar] [CrossRef]
93. Chen, Q., Qi, W. D., Reiter, R. J., Wei, W., Wang, B. M. (2009). Exogenously applied melatonin stimulates root growth and raises endogenous indoleacetic acid in roots of etiolated seedlings of Brassica juncea. Journal of Plant Physiology, 166(3), 324–328. DOI 10.1016/j.jplph.2008.06.002. [Google Scholar] [CrossRef]
94. Arnao, M. B., Hernández-Ruiz, J. (2018). Melatonin and its relationship to plant hormones. Annals of Botany, 121, 195–207. DOI 10.1093/aob/mcx114. [Google Scholar] [CrossRef]
95. Ma, X. Q., Zhang, J., Burgess, P., Rossi, S., Huang, B. R. (2018). Interactive effects of melatonin and cytokinin on alleviating drought induced leaf senescence in creeping bentgrass (Agrostis stolonifera). Environmental and Experimental Botany, 145, 1–11. DOI 10.1016/j.envexpbot.2017.10.010. [Google Scholar] [CrossRef]
96. Yu, Y., Lv, Y., Shi, Y. N., Li, T., Chen, Y. C. et al. (2018). The role of phyto-melatonin and related metabolites in response to stress. Molecules, 23(8), 1887. DOI 10.3390/molecules23081887. [Google Scholar] [CrossRef]
![]() | This work is licensed under a Creative Commons Attribution 4.0 International License, which permits unrestricted use, distribution, and reproduction in any medium, provided the original work is properly cited. |