Sound & Vibration | ![]() |
DOI: 10.32604/sv.2021.08930
ARTICLE
Reducing Occupational Noise Propagated from Centrifugal Fan through Dissipative Silencers: A Field Study
1Department of Occupational Health and Safety, School of Public Health, Qazvin University of Medical Sciences, Qazvin, Iran
2Department of Occupational Health and Safety, School of Public Health, Kerman University of Medical Sciences, Kerman, Iran
3Department of Occupational Health Engineering, Behbahan Faculty of Medical Sciences, Behbahan, Iran
*Corresponding Author: Saeid Ahmadi. Email: saeidahmad@gmail.com
Received: 25 October 2019; Accepted: 15 January 2020
Abstract: Acoustic performance of dissipative silencer was evaluated to determine the effectiveness of perforated duct porosity and absorbent material density in reducing occupational noise exposure propagated from centrifugal fan. Design charts were applied to predict noise reduction and length of a dissipative silencer. Dissipative silencers with various punched duct porosity (14%, 30% and 40%) and sound absorbent density (80 Kg/m3, 120 Kg/m3, and 140 Kg/m3) were designed and fabricated. According to ISO9612 and ISO11820, noise level was measured before and after installing all nine test silencers at fixed workstations around the discharge side of a centrifugal fan in a manufacturing plant. On average, the noise level at the discharge side of a fan without silencer was measured to be 93.6 dBA, whereas it was significantly mitigated by 67.4 dBA to 70.1 dBA after installing all silencers. Dynamic insertion loss for a dissipative silencer with 100 cm length was predicted to be 27.9 dB, which was in agreement with experimental ones. Although, there was no significant differences between insertion loss of silencers, the one with 30% porosity and 120 Kg/m3 rock wool density had the highest insertion loss of 26.2 dBA. Dissipative silencers noticeably reduced centrifugal fan noise exposures. Increasing sound absorbent density and duct porosity up to a certain limit could probably be effective in noise reduction of dissipative silencers.
Keywords: Absorbent density; dissipative silencer; fan; noise; porosity
Noise is one of the most common physical agents in work and living environment which can be accompanied with various adverse health effects such as hearing loss, communication and efficiency interferences, poor motivation, stress, fatigue, irritability, high blood pressure, and heart rate [1–3]. Noise generation in fans can be categorized as mechanically and aerodynamically. Mechanical noise which also is called non-aerodynamic noise is generated by failing in some mechanical components of fans like bearing, motor, fan unbalance and structural resonance. On the other hand, aerodynamic noise is predominantly caused by vortex generation, fan intake turbulence, fan geometry, and impeller rotation speed. Vortex noise is generated by pressure gradient and eddy formation on fan blades and solid surfaces. Turbulent air flow in fan and ducts connected to discharge and intake sides of a fan is another reason for noise generation. Fan exhausted air into an environment is along with noise propagation which leads to discomfort and dissatisfaction [4].
There are numerous methods for centrifugal fan noise reduction which includes an acoustic enclosure, silencers, fan blades modification, and acoustic wrapping [5]. Acoustic silencers, which can be divided into dissipative and reactive, are considered to reduce noise in the propagation path. Dissipative silencers are mainly applied to reduce noise produced by fluid moving devices and other induced draft systems, especially in mid to high frequencies. Acoustic performance of dissipative silencers strongly depends on absorptive dissipation of acoustic energy in fibrous or porous sound absorption material. Despite reactive silencers which have primarily noise attenuation in narrowband noise frequencies, dissipative silencers are typically appropriate for broadband noise frequencies [6–9].
Lined duct silencers are classified as cylindrical and rectangular dissipative silencers. Cylindrical lined duct silencers are comprised of an outer shell, absorption material and perforated inner duct which has the same diameter as connected inlet and outlet ducts. Perforated facing is normally used to protect porous lining material against erosion [10]. Effective parameters on noise attenuation of dissipative silencers consist of silencer length and diameter, density and flow resistivity of acoustical media, perforated duct porosity and hole size, transmitted airflow speed and density of fluid moving in ductwork [11–13]. Silencers acoustic performance is mainly described by insertion loss. Insertion loss is defined as the difference between sound pressure levels at a specified location before and after inserting a silencer into the path between the source and receiver [14]. Additionally, Silencers aerodynamic performance are represented by pressure drop, commonly defined as the difference between total pressure upstream and downstream of a silencer. A high-pressure drop can make fluid moving devices operate inefficiently. Although it is desirable having a lower pressure drop in silencers, it is not always possible when high insertion loss is required [15,16].
Wang et al, numerical investigation on sound transmission loss of silencers filled with various fibrous material demonstrated that with increasing flow resistivity of porous material as a sound absorption material, transmission loss was slightly changed. It is worth to be mentioned that flow resistivity and bulk density may be related to each other [17,18]. Forouharmajd et al. [19] studied the acoustic performance of cylindrical dissipative pod silencer to reduce centrifugal fan noise using glass wool with various density and thickness. Faezian et al. [20] reported that using sound absorption material can be caused to more noise attenuation in concentric punched tube silencers. Davern et al, have indicated that acoustic specifications of absorption material can be improved whereas it was covered by perforated acoustic panels. Additionally, perforated panel porosity and porous material density were reported as effective parameters on acoustic impedance and acoustic absorption coefficient of perforated panels [21]. Baranek and Ver suggested an expression for acoustic impedance of perforated plate. They claimed that hole radius, the thickness of a sheet, hole pitch, porosity, and enclosed air in holes have the main role on acoustic absorption of a perforated plate [14]. In his investigation into acoustic absorption coefficient of coconut coir fiber with a perforated plate, Zulkifli concluded that perforated plate porosity and hole diameter can slightly increase absorption coefficient, especially in low frequencies [22].
Previous researches have mainly tended to focus on theoretical knowledge of noise reduction in silencers based on modeling and there is lack of knowledge about selection the best elements for dissipative silencers in practical usages in order to reduce occupational noise exposure. The aim of this study is to examine the impact of perforated duct porosity and acoustic absorption material density on acoustic performance of dissipative silencer in order to attenuate centrifugal fan noise exposure.
A backward inclined curved centrifugal fan with 2850 RPM and the power of 1.1 KW was considered as a noise source in a manufacturing plant. The cooling air was supported by this centrifugal fan to cool down hot metal parts. In addition to noise generated from the discharge opening of a centrifugal fan, it can be generated from different components of a centrifugal fan which includes bearing, motor, fan unbalance, structural resonance and aerodynamic noise. So, according to ISO 11820, the centrifugal fan was relocated to the outdoor area and the fan discharge side was extended through a wall to work room using a duct with 150 cm length [23]. In this configuration, background noise from different components of the fan will be removed.
According to ISO9612 equivalent sound level were measured, each lasting for 10 minutes, at fixed workstations near the discharge side of the centrifugal fan to determine the average occupational noise exposures of workers in the surrounding area. The equivalent sound level was measured by a sound level meter (Cell 450, Casella, Bedford, UK) and the calibration was performed by a calibrator (Cell 110/1, Casella, Bedford, UK). The time and frequency weighting networks were set to slow response and A respectively. One octave band analysis was also carried out to characterize the frequency of the noise measurements.
Additionally, Vane anemometer (PROVA AVM 305, TES, Taipei, Taiwan) was used to measure mean air flow velocities at discharging side of the centrifugal fan without the silencer and following that, Mach number was calculated based on the measured air flow velocity and speed of sound.
Lined duct silencers are commonly considered as dissipative muffling devices, which are constructed of some elements. The main elements of our studied silencers as shown in Fig. 1 include A, perforated steel sheet (inner shell) with specified open area porosity (14%, 30% and 40%); B, Coarse wire mesh with 1 mm thickness; C, Fiberglass cloth; D, Rockwool sound absorbent with specified densities (80 Kg/m3, 120 Kg/m3 and 140 Kg/m3); E, Rigid steel sheet (outer shell) with 2 mm thickness. Impact of rock wool density and perforated duct porosity was investigated on the acoustic performance of tested silencers, which means any other elements were constant in all nine studied silencers.

Figure 1: Components of studied dissipative silencers
Design charts, provided in previous literature, were applied to determine the length of cylindrical lined duct silencer. According to design charts, the required insertion loss in dominant noise frequency, Mach number, and silencer airway diameter are essential to estimate the length of a silencer. The required insertion loss was calculated based on national action noise limit (82 dBA) and measured background noise around the fan discharge duct. As well as that, the open cross-sectional airway of silencer was the same as the fan discharge duct.
Perforated metal sheet drawings as illustrated in Fig. 2, used as silencers inner shell, was designed with engineering software (Solid Works 2017, Dassault Systemes, Vélizy-Villacoublay, France). All perforated sheets had the same size of hole diameter which was equal to 4 mm, but with various porosity of 14%, 30% and 40%. Center to center distance of holes was calculated based on selected porosity and hole diameter with reference to Eq. (1). Then, a metal sheet with 1 mm thickness was punched with a CNC laser machine and following that was rolled as a cylindrical duct.

σ = Porosity
D = Hole diameter (mm)
T = center to center distance of two successive holes (mm)

Figure 2: Perforated metal sheet drawings with various porosities, used as silencers inner shell
Rockwool as an absorbent material with 8 cm thickness and various densities, 80 Kg/m3, 120 Kg/m3 and 140 Kg/m3, are included in the tested silencer. One-tenth of dominant noise frequency wavelength is considered to estimate rock wool thickness [10]. The silencer has a cylindrical concentric configuration and the dimensions are 31 cm and 100 cm for diameter and length of the outer shell (expansion chamber), respectively, 15 cm and 0.1 cm for diameter and thickness of inner shell (perforated duct), respectively. Arc welding and cutting were applied to construct silencers in a way that it could be assembled with various rock wool densities and inner shells in order to assess the aforementioned parameters on acoustic performance.
All designed silencers were attached to the end of fan discharge duct through rubber gasket to cut the structural noise transmitted to test room (Fig. 3). So, the same as background noise measurement, Sound level meter’s microphone was positioned at the same fixed workstations to determine occupational noise exposure of the workers after intervention with silencers. According to ISO 11820 and ISO 7235, pitot tube (NPL Type, Kimo, Paris, France) and micro manometer (APM 50 K, Air Flow, Buckinghamshire, UK) was applied to measure total pressure upstream and downstream of silencer on a measurement surface perpendicular to the airstream. The total pressure was measured at a given airflow velocity [16].

Figure 3: Test set-up for acoustic and pressure loss testing
Background noise level measured in 1/1 octave bands at four workstations near the discharge duct opening of the centrifugal fan is shown in Tab. 1. Mean equivalent noise exposure pressure level at these workstations in the discharge duct of the fan without silencer was measured to be 93.6 dBA. Octave band noise frequency analysis indicated that noise level in dominant noise frequency (500 Hz) was equal to 93 dBA at discharge duct. Noise level was measured to be 70 dBA while turning the centrifugal fan off.
Table 1: Occupational noise (dBA) at workstations around the discharge duct of the fan without a silencer

Airflow velocity in the discharge duct of the fan was measured to be 27 m/s while background noise measurement has been done. According to airflow velocity, Mach number was calculated to be 0.081. More or less, required insertion loss in dominant noise frequency considering 5 dB as safety factor, was calculated to be 17 dBA. Based on the required insertion loss (17 dBA), Mach number (0.1), diameter of duct airway (15 cm), the length of all tested silencer was estimated to be 100 cm. Following that, Overall and octave band frequency noise attenuations were predicted for a lined duct silencer with 100 cm length, 8 cm liner thickness, 15 cm airway diameter (Tab. 2). It is evident from Tab. 2 that, predicted overall noise attenuation was 27.9 dB.
Table 2: Predicted noise attenuation in 1:1 octave band frequencies for lined duct silencer with 100 cm length

On average, sound pressure level at four fixed workstations around the discharge duct of the centrifugal fan without silencer was measured to be 93.6 dBA (Fig. 4). Furthermore, the sound pressure level of all tested silencers ranged from 67.4 dBA to 70.2 dBA with an average SPL of 69 dBA. Measured dynamic insertion loss of all nine tested silencers is shown in Tab. 3. Silencer with 30% punched duct porosity and 120 Kg/m3 rock wool density had the highest insertion loss of 26.7 dB.

Figure 4: Noise level before and after installation of silencers with various punched duct porosity and density
Table 3: Measured dynamic insertion loss @ 27 m/s (dBA) of all tested silencers

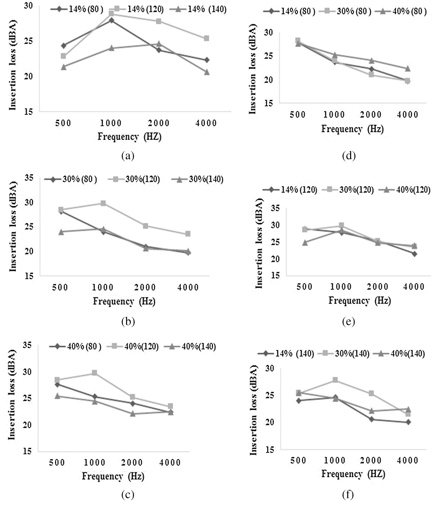
Measured insertion loss of all tested silencers in octave band frequencies (Fig. 5) ranged from 20 dBA to 30 dBA with the best performance which was related to the silencer with 30% punched duct porosity and 120 Kg/m3 rock wool density. All tested silencers had better noise reduction in mid-high frequencies, particularly frequencies 500 Hz to 1000 Hz. The silencer with 30% punched duct porosity and 120 Kg/m3 rock wool density had the highest insertion loss of 29.7 dB in 1000 Hz. In one hand, at a constant punched duct porosity, silencers with rock wool density of 120 Kg/m3 had the best noise reduction performance (Figs. 5a–5c). Although raising rock wool density from 80 Kg/m3 to 120 Kg/m3 contributed to increase insertion loss about 2 dBA–5 dBA in octave band frequencies, this trend was not continued while rock wool density increased from 120 Kg/m3 to 140 Kg/m3. In other word, at constant punch duct porosity, silencers with the highest rock wool density showed the lowest noise reduction. So, raising absorbent material density would possibly be influential up to a certain limit in reducing noise produced from silencers.
On the other hand, rock wool density can be considered as an independent variable to evaluate the effectiveness of duct porosity percentage on acoustic performance. Silencers with 30% punched duct porosity had the best performance at constant densities of 120 Kg/m3 and 140 Kg/m3 but silencers with 40% porosity showed the best performance at 80 Kg/m3 (Figs. 5d–5f). As if a combination of absorbent density and punched duct works as a single structure to reduce noise, it might be appropriate to apply low density material with high porosity punch duct to reduce noise. On the contrary, high density material can be used with middle range punch duct porosity like 30%.
Total pressure at upstream and downstream of all tested silencers was measured to be on average 234 and 272 Pa, respectively.

Figure 5: Insertion loss vs frequency: Silencers with constant punched porosity (a, b, c) and silencers with constant rock wool density (d, e, f)
The present paper aims to investigate sound absorbent material density and punched duct porosity as influential parameters on the acoustic performance of dissipative silencers to attenuate centrifugal fan noise exposure. Prior to silencer installation, the average sound pressure level at employee workstations around the fan discharging duct was 93.6 dBA. It was exceeded national occupational noise exposure limit that is 85 dBA over an 8 hr time weighted average (TWA). In addition to, hearing conservation program must be implemented at 82 dBA 8-hr TWA.
Fan and discharge duct opening was separated by a wall in order to remove noise emitted from other noise sources of the fan such as electromotor, casing, and structural vibration. Therefore, measured occupational noise level around discharge opening was mostly related to the movement of turbulent air flow in duct and fan blade rotation in this situation. Noise meter was positioned out of exhausted high-speed air flow such that microphone could not be struck by the exhausted air stream because it can result in noise recording error. However, the microphone was covered by the windscreen during noise exposure measurement.
In presence of all nine silencers tested in this study, the maximum and minimum sound pressure level at workstations around discharging opening was measured to be 70.2 dBA and 67.4 dBA respectively with an average of 68.7dBA (Fig. 4). In other words, dynamic insertion loss of all tested silencers was averagely measured to be 24.9 dBA (Tab. 3). So, it is worth to be mentioned that all examined silencers reduced notably background noise. Predicted insertion loss, based on lined duct silencer charts (resulted from previous studies) [10], for a dissipative silencer with 100 cm length, 31 cm expansion chamber diameter and 0.8 cm absorption material thickness was 27.9 dB (Tab. 2). Our findings indicated that there was a slight difference between predicted and measured insertion loss. This may have been related to various factors such as Mach number, flow resistivity of absorption material and improper sealing.
Although increasing in rock wool density did not significantly make a difference in overall insertion loss of all tested silencers, silencers with 120 Kg/m3 rock wool density revealed the best mean insertion loss of 26.2 dBA (Tab. 3). Increasing rock wool density from 80 Kg/m3 to 120 Kg/m3 exhibited slightly an increase of 1.3 dBA in mean insertion loss. On the other hand, not only increasing rock wool density from 120 Kg/m3 to 140 Kg/m3 did not result an increase in insertion loss, but also conversely there was a decrease of 2.5 dBA in insertion loss such that silencers with 140 Kg/m3 density had lower insertion loss in comparison to silencers with 80 Kg/m3.
Yousefi et al. [24] study on the sound absorbent material density of dissipative silencers to reduce axial fan noise demonstrated that increasing rock wool density from 80 Kg/m3 to 100 Kg/m3 results in more sound transmission loss. Foroharmajd and et al did research to mitigate a centrifugal fan noise using a dissipative pod silencer. They indicated that increasing silencers rock wool density from 20 Kg/m3 to 40 Kg/m3 improves sound transmission loss [19].
Ramakrishnan and co-workers predicted silencers insertion loss by finite element modeling. They claimed that insertion loss was insignificantly changed by increasing material density in octave band frequencies of 125 Hz, 1000 Hz and 4000 Hz which was in line with our current study [25]. Moreover, In Anetbas [26], finite element modeling on perforated dissipative silencer pointed out that while increasing density from 90 Kg/m3 to 166 Kg/m3 and then 196 Kg/m3, transmission loss will have an upward trend. In this study glass wool with different flow resistivity, compared to rock wool was utilized and as well as that experimental studies might have been required to confirm the results. Furthermore, wangs reported that sound absorbent material with higher density have more sound absorption and subsequently, more noise reduction is achievable which also refute the present study [17]. Some earlier studies [19,24,26], noted that increasing sound absorbent material density leads to improvement of silencers acoustic performance. Our results do not support all their observations, in fact, the different filling method of absorption material in silencers and different flow resistivity of material can be the reason behind contradiction with some earlier findings. Another reason for this could be that setting aside absorbent density, perforate characteristics such as hole size and shape, pitch, the thickness may be effective on noise dissipation in silencers. Simultaneously investigating on how perforate characteristics and absorbent relate to noise attenuation of dissipative silencers can be a valuable area for additional study. The current study does not support all previous research in this area, contrary to what was previously thought, we found that there is no positive correlation between material density and performance of silencers and as well as that it may be a material density limit which can be the best performance for silencers.
Perforated duct silencers with 14%, 30% and 40% porosity were investigated in the current study. Even though, there were no remarkable differences between insertion loss of perforated duct silencers with various porosity, silencers with 30% porosity had the highest insertion loss of 25.2 dBA (Tab. 3). Ramakrishnan research on metal sheet porosity of rectangular dissipative silencers suggested that increasing metal sheet porosity used in silencers did not affect extremely well insertion loss of silencers [12,25]. Our experiments confirm his previous result in this area. On the other hand, evaluating the impact of porosity percentage on sound reduction through finite element modeling demonstrated that [26,27], whenever porosity percentage increases insertion loss enhances as well. Despite the fact that finite element modeling is known as an essential tool for silencers noise prediction, but modeling results from some previous studies are in contrast with experimental results obtained in the current research.
All nine tested silencers had the best noise reduction performance in octave band frequencies of 0.5, 1 kHz and 2 kHz (Fig. 5). Predicted insertion loss for a dissipative silencer with 100 cm length and 31 cm expansion chamber diameter was highest in the three aforementioned octave band frequencies (Tab. 2). Thus, manipulating lined duct design charts can be considered as a valid way for insertion loss prediction of silencers in octave band frequencies.
In the current experimental study which is approximately the same as industrial scale, it could not be certainly concluded that insertion loss would be better at higher or lower frequencies at a constant punched duct porosity for various density (Figs. 5a–5c). But it is clear that at a constant porosity, silencers with 120 Kg/m3 density had the best noise attenuation performance at mid-high frequency range for the centrifugal fan with the aforementioned characteristics. Increasing rock wool density, especially at constant duct porosity of 30% and 40 %, exhibited quieter performance at nearly 1000 Hz. Another point for consideration is that increasing absorbent density can be contributed to raise noise reduction of silencers up to a given limit.
Additionally, at constant densities of 80 Kg/m3 and 140 Kg/m3, silencers with punched duct porosity of 30% and 40% had a slightly quieter performance at higher frequencies (Figs. 5d–5f). Lee et al. [28] exhibited that higher absorbent material density increases sound transmission loss of dissipative silencers at medium to high frequencies and as well as that, increasing perforated duct porosity of dissipative silencers from 2 to 8 and then 50% results in enhancement of sound transmission loss especially over high frequencies (1000 Hz–3000 Hz), while the transmission loss of silencers with higher porosity deteriorates somewhat at low frequencies (less than 1000 Hz). Their finding is somewhat in line with our results, but it might have been a limit for absorbent density in order to improve noise attenuation of silencers. In their study, sound transmission loss was measured using impedance tube with no air flow, whereas in the present study centrifugal fan was used as a noise source with an average air flow velocity of 27 m/s inside the duct. A reason for disagreement with some previous research could involve flow noise which needs to be more researched in future studies.
On average, all tested silencers had 38 Pa pressure drop which was lower than recommended pressure drop (87 Pa) for silencers [29]. Typically, pressure drop in dissipative silencers is less than 1500 Pa [14]. Pressure drop is ordinarily created as a consequence of dynamic and friction losses in silencers and as well as that silencers with high-pressure drop can make fluid moving devices operate inefficiently [30]. Increasing in airflow velocity results in enhancement of silencers pressure drop and following that acoustic performance of silencers will be affected [31]. So, it is desirable to keep the pressure drop of a silencer as low as possible.
Our work has led us to conclude that, applying dissipative silencers in the discharge side of a centrifugal fan have a noticeable effect on occupational noise reduction. Furthermore, increasing absorbent density and punched duct porosity would possibly be influential up to a certain limit in reducing noise propagated from perforated cylindrical dissipative silencers.
Acknowledgement: This work was performed within the framework of a faculty research project under the code of Ethics Committee of IR.QUMS.REC.1396.163. We also thank Mehrdad Keshavarz Siahposh and Mohammad Soleiman Abady for their technical assistance in all our experimental work.
Funding Statement: The author(s) received funding given by Qazvin University of Medical Sciences, which funded the work in all its stages.
Conflicts of Interest: All authors have no conflicts of interest to declare.
1. Uddin, M. N., Rahman, M. A., Sir, M. (2016). Reduce generators noise with better performance of a diesel generator set using modified absorption silencer. Global Journal of Research in Engineering, XVI(I), 41–53. [Google Scholar]
2. Safari Variani, A., Ahmadi, S., Zare, S., Beheshti, A. S., Heidary Abdolahi, F. (2018). Air blow guns noise reduction through design and fabrication of a multiple jet nozzle. Iran Occupational Health, 15(3), 11–21. [Google Scholar]
3. Zare, S., Baneshi, M. R., Hemmatjo, R., Ahmadi, S., Omidvar, M. (2019). The effect of occupational noise exposure on serum cortisol concentration of night-shift industrial workers: A field study. Safety and Health at Work, 10(1), 109–113. DOI 10.1016/j.shaw.2018.07.002. [Google Scholar] [CrossRef]
4. Mesquita, A. L. A., Ernesto Filho, A. M. (2005). Use of dissipative silencers for fan noise control. Inter-Noise and Noise-Congress and Conference Proceedings, 6, 1834–1842. [Google Scholar]
5. Bell, L. H., Bell, D. H. (1994). Industrial noise control, fundamentals and applications. New York: Dekker. [Google Scholar]
6. Enescu, N., Magheti, I., Carp-Ciocardia, C. D. (2010). Acoustical silencers (mufflers). Romanian Journal of Acoustics and Vibration, 7(1), 11–15. [Google Scholar]
7. Kirby, R., Denia, F. D. (2007). Analytic mode matching for a circular dissipative silencer containing mean flow and a perforated pipe. Journal of the Acoustical Society of America, 122(6), 3471–3482. DOI 10.1121/1.2793614. [Google Scholar] [CrossRef]
8. Łapka, W. (2014). Acoustic attenuation performance of a round silencer with the spiral duct at the inlet. Archives of Acoustics, 32(4(S)), 247–252. [Google Scholar]
9. Khairuddin, M. H. (2018). Review on resonator and muffler configuration acoustics. Archives of Acoustics, 43(3), 369–384. [Google Scholar]
10. Bies, D. A., Hansen, C., Howard, C. (2017). Engineering noise control. New York: CRC press. [Google Scholar]
11. Ramakrishnan, R., Watson, W. R. (1991). Design curves for circular and annular duct silencers. Noise Control Engineering Journal, 36(3), 107–120. DOI 10.3397/1.2827785. [Google Scholar] [CrossRef]
12. Ramakrishnan, R. (2015). Performance analysis of annular passive silencers–An update. Canadian Acoustics, 43(3), 57–59. [Google Scholar]
13. Lee, I., Selamet, A., Huff, N. T. (2006). Acoustic impedance of perforations in contact with fibrous material. Journal of the Acoustical Society of America, 119(5), 2785–2797. DOI 10.1121/1.2188354. [Google Scholar] [CrossRef]
14. Beranek, L. L., Ver, I. L. (1992). Noise and vibration control engineering-principles and applications. London: John Wiley & Sons. [Google Scholar]
15. Middelberg, J. (2004). Computational fluid dynamics analysis of the acoustic performance of various simple expansion chamber mufflers. Proceedings of Acoustics. Gold Coast, Astrulia. [Google Scholar]
16. International Standard Organization. (2009). Acoustics-Laboratory measurement procedures for ducted silencers and air-terminal units-Insertion loss, flow noise and total pressure loss (ISO 7235). Switzerland, Geneva: International Standard Organization. [Google Scholar]
17. Wang, C. N., Wu, C. H., Wu, T. D. (2009). A network approach for analysis of silencers with/without absorbent material. Applied Acoustics, 70(1), 208–214. DOI 10.1016/j.apacoust.2007.12.006. [Google Scholar] [CrossRef]
18. Wang, C. N., Torng, J. H. (2001). Experimental study of the absorption characteristics of some porous fibrous materials. Applied Acoustics, 62(4), 447–459. DOI 10.1016/S0003-682X(00)00043-8. [Google Scholar] [CrossRef]
19. Forouharmajd, F., Ashrafyan, S. (2017). An investigation of the effect of the use of absorptive pod silencer on reduction of noise produced by the air inlet channel of iranian centrifugal fan. Journal of Health System Research, 13(3), 347–352. [Google Scholar]
20. Faezian, A., Modares Razavi, M. R., Omidvar, A. (2014). Applying reactive silencer to reduce the flow noise of natural gas pressure regulation station. Journal of Mechanical Engineering, Transaction of ISME, 15(4), 55–68. [Google Scholar]
21. Davern, W. A. (1977). Perforated facings backed with porous materials as sound absorbers—An experimental study. Applied Acoustics, 10(2), 85–112. DOI 10.1016/0003-682X(77)90019-6. [Google Scholar] [CrossRef]
22. Rozli, Z., Zulkarnain, Z. (2010). Noise control using coconut coir fiber sound absorber with porous layer backing and perforated panel. American Journal of Applied Sciences, 7(2), 260–264. [Google Scholar]
23. International Organization Standard. (1996). Acoustics--Measurements on silencers in situ. Switzerland, Geneva: International Organization Standard (ISO). [Google Scholar]
24. Yousefi, H., Forouharmajd, F., Maghsudian, L. (2015). Investigation on use of Absorptive silencer in reduction Low-frequency noise Iranian axial fan. Health System Research, 11(2), 250–257. [Google Scholar]
25. Ramakrishnan, R. (1993). Effect of perforated sheets on rectangular silencer performance. Canadian Acoustics, 21(3), 119–120. [Google Scholar]
26. Antebas, A. (2013). A finite element approach for the acoustic modeling of perforated dissipative mufflers with non-homogeneous properties. Mathematical and Computer Modelling, 57(7–8), 1970–1978. DOI 10.1016/j.mcm.2012.01.021. [Google Scholar] [CrossRef]
27. Selamet, A. (2004). Analytical approach for sound attenuation in perforated dissipative silencers. Journal of the Acoustical Society of America, 115(5), 2091–2099. DOI 10.1121/1.1694994. [Google Scholar] [CrossRef]
28. Lee, I., Selamet, A., Huff, N. T. (2006). Impact of perforation impedance on the transmission loss of reactive and dissipative silencers. Journal of the Acoustical Society of America, 120(6), 3706–3713. DOI 10.1121/1.2359703. [Google Scholar] [CrossRef]
29. Price. (2018). Engineering guide noise control. https://www.priceindustries.com/noisecontrol/servicesprice, Editor. [Google Scholar]
30. Munjal, M. L. (2014). Acoustic of ducts and mufflers. London: John Wiley & Sons. [Google Scholar]
31. ASHRAE. (2015). HVAC Application noise and vibration control. Atlanta: ASHRAE. [Google Scholar]
![]() | This work is licensed under a Creative Commons Attribution 4.0 International License, which permits unrestricted use, distribution, and reproduction in any medium, provided the original work is properly cited. |