Open Access
ARTICLE
Expert Recommendation in Community Question Answering via Heterogeneous Content Network Embedding
1 School of Computer Science and Technology, Huazhong University of Science and Technology, Wuhan 430074, China
2 College of Computer Science and Technology, Hubei University of Technology, Wuhan 430068, China
* Corresponding Author: Hong Li. Email:
Computers, Materials & Continua 2023, 75(1), 1687-1709. https://doi.org/10.32604/cmc.2023.035239
Received 13 August 2022; Accepted 08 December 2022; Issue published 06 February 2023
Abstract
Expert Recommendation (ER) aims to identify domain experts with high expertise and willingness to provide answers to questions in Community Question Answering (CQA) web services. How to model questions and users in the heterogeneous content network is critical to this task. Most traditional methods focus on modeling questions and users based on the textual content left in the community while ignoring the structural properties of heterogeneous CQA networks and always suffering from textual data sparsity issues. Recent approaches take advantage of structural proximities between nodes and attempt to fuse the textual content of nodes for modeling. However, they often fail to distinguish the nodes’ personalized preferences and only consider the textual content of a part of the nodes in network embedding learning, while ignoring the semantic relevance of nodes. In this paper, we propose a novel framework that jointly considers the structural proximity relations and textual semantic relevance to model users and questions more comprehensively. Specifically, we learn topology-based embeddings through a hierarchical attentive network learning strategy, in which the proximity information and the personalized preference of nodes are encoded and preserved. Meanwhile, we utilize the node’s textual content and the text correlation between adjacent nodes to build the content-based embedding through a meta-context-aware skip-gram model. In addition, the user’s relative answer quality is incorporated to promote the ranking performance. Experimental results show that our proposed framework consistently and significantly outperforms the state-of-the-art baselines on three real-world datasets by taking the deep semantic understanding and structural feature learning together. The performance of the proposed work is analyzed in terms of MRR, P@K, and MAP and is proven to be more advanced than the existing methodologies.Keywords
Recent years have witnessed a spectacular increase in real-world applications of Community Question Answering (CQA), such as Quora, Stack Overflow, and Zhi Hu. On these online service platforms, people exchange knowledge and information in the form of posting questions and providing answers almost every second. According to statistics, as of November 2020, the Stack Overflow community has accumulated more than 14 million registered users, who have asked 21 million questions and received 31 million answers [1]. Unfortunately, not all questions have been answered in time, and even a large number of questions have been put on hold for a long time without getting attention. Meanwhile, it is difficult for a potential expert with professional knowledge and answering willingness to find suitable questions to provide answers. The gap between the pending questions and the potential experts has seriously hindered knowledge sharing and experience exchange in CQA. Therefore, the expert recommendation task aims to identify domain expert users and push unresolved questions to appropriate experts to obtain fast and high-quality answers is an effective strategy to bridge this gap. Most traditional methods are textual content-based, which construct user profiles by collecting their activity text evidence stored in CQA achieves and take the expert recommendation as a text matching task. Specifically, they turn the question sequence and the user profile into dense meaningful feature vectors by using language models [2,3], topic models [4–6], or deep neural networks (e.g., CNN’s or LSTM’s) [7,8], and then conduct further matching based on learned embeddings. Although these methods have achieved promising performance [6,9,10], especially with the significant improvement brought by deep learning methods [7,11,12], several challenges have not been addressed so far. First, content-based methods have been plagued by data sparseness issues for a long time since the average participation rate of users in the Q&A community is low. Most of the answers come from a small number of users, resulting in very sparse text information available to evaluate users [13,14]. Take the user’s activities in Quora as an example [15,16], 90% of questions on Quora have less than ten answers and Over 30% of Quora registered users haven’t responded to any question, the number of users who answered more than 4 questions is only 16.74%. Second, the capacity of text understanding of currently used deep neural networks (e.g., CNN’s or LSTM’s) is still limited, especially when dealing with short questions. Third, content-based methods focus on textual information analysis, while ignoring the structural features of the CQA network and the relationships between different entities. A CQA network is a typical heterogeneous information network (HIN) in which the heterogeneous information provided by different types of entities and edges retains more semantically meaningful information than homogeneous networks. Taking the Stack Overflow platform as an example, as illustrated in Fig. 1a, which consists of three entity types: Question, Answerer, and Tag, and two relationships: an answerer provides an answer to a question, and a tag belongs to a question to indicate the knowledge domain of a question. We can introduce two meta-paths: “Answerer-Question-Answerer (AQA)”, and “Answerer-Question-Tag-Question-Answerer (AQTQA)”. The semantics of the two meta-paths give two specific definitions of how the two answerers are seen as relevant or similar. Therefore, intuitively, we can conclude that making use of the structure and relationship information hidden in the CQA network will greatly improve the performance of the expert finding and recommendations. Moreover, a lot of work have shown that encoding the interaction activities between nodes is invaluable for node modeling in CQA [17,18]. Compared to content-based methods, a few approaches based on network topology learning have emerged to address the expert recommendation task in the community more recently. Especially the random-walk-based methods [7,18–20] and meta path-based methods [21]. They focused on analyzing structural proximity between nodes and attempted to fuse the textual content of nodes during the learning process. However, they usually only consider the content of a part of the nodes (usually the nodes whose node type is in question) and ignore the semantic correlation between different types of nodes, resulting in the loss of semantic information. Furthermore, in random walk-based methods, the transitions between nodes are selected completely randomly, lacking the consideration of heterogeneous information of network nodes, such as the type of nodes. Meanwhile, in existing meta path-based methods, meta-paths are not distinguished and they assume the same weights of meta paths for all nodes, which results in the inability to capture the personalized preferences of each node on meta paths. Still taking the Stack Overflow network as an example, sometimes it can be considered that different users who answer the same question are close, and sometimes even though two different users answer different questions, if these questions involve the same domain, the two different users may also be considered to be close to each other in a specific field and have a strong interest in the same topic. Furthermore, given a certain meta path, i.e., Answerer-Question-Tag-Question-Answerer, an answerer can be connected to other answerers by different path instances. However, the tags connecting them may be rough or coincidental, and there may be several tags connected to the question. Therefore, distinguishing different meta paths and path instances in the CQA network embedding methods can highlight the most relevant information and ignore the noise to obtain better node embeddings.

Figure 1: The overview of combined node embedding learning for CQA heterogeneous content network (a) The CQA heterogeneous content network is constructed by integrating structural proximity as well as node content information. (b) The extracted topology-based network. (c) The extracted content-based network. (d) The meta path schemes. (e) Two types of embedding for the question node. (f) Two types of embedding for the answerer node
To solve the above limitations, in this paper, we propose a novel model ER-HCNE, which stands for Expert Recommendation via Heterogeneous Content Network Embedding. ER-HCNE considers both network structural information and textual content information to find suitable domain experts to answer a given question in a CQA heterogeneous network. Specifically, we construct a competitive heterogeneous content network according to users’ behavior in the CQA and develop it into a topology-based network and a content-based network to learn node representations from two different perspectives. A hierarchical attentive network learning algorithm is deployed to learn the topology-based embedding, aiming to preserve nodes’ structural proximity information and personalized preferences. The content-based embedding is constructed by combining the textual correlations between adjacent nodes learned by a meta-context-aware skip-gram model and the textual representation of nodes learned from a pre-trained deep bidirectional representation model. In addition, the rich non-linear ranking information contained between answers is also used to calculate the final relative quality ranking score of the answerers.
The rest of this paper is organized as follows. In Section 2, a brief review of the most relevant work is mentioned. Then, we gave the problem formulation in Section 3. In Section 4, a novel framework is introduced and its details are described. And in Section 5, the experiment settings and related results are presented and compared with other methods. In addition, we conducted in-depth discussions on several aspects. Finally, Section 6 gives conclusions and future work.
Two research works that have been extensively studied in the social community are very close to our expert recommendation tasks, namely expert finding and question routing. In most cases, these three tasks can be considered equivalent. Methods to solve them can be broadly divided into two categories: text representation-based and network embedding-based.
The text representation-based approaches mainly focus on word representation and text semantic understanding. It usually represents the users with textual profiles according to their answering record left in CQA achieves and take the problem as a text matching task, aiming to find out the most relevant users’ profile to the newly posted question content. Traditional models includes statistical language models [9] and topic models [22–24] rely heavily on term overlap or word co-occurrent, resulting in limited text understanding ability to distinguish deep semantic features. In recent years, deep learning neural networks is proposed to address the deep semantic patterns extraction problem, leading to a significant performance improvement. For example, Azzam et al. [25] directly applied a deep neural network DSSM (Deep Semantic Similarity Model) [26] to map the question and user’s profile to a low-dimensional semantic space for more meaningful representation. It can be said that methods based on neural networks (i.e., CNNs, RNNs, etc.) for expert recommendation tasks have been more popular and effective for a long time. However, the limited receptive field to capture long-distance dependencies lies in CNNs and the difficulty to parallelize lies in RNNs severely drags down the performance of these approaches. In addition, text representation-based methods mainly focus on deep textual content understanding, while ignoring the network structural proximity and relations between different entities. Furthermore, many recent works [27,28] point out that the rising star Transformer [29] and BERT [30] far outperform CNNs and RNNs on text semantics learning and sequence relation exploring.
The network embedding-based approaches address the problem from another perspective by focusing on network structure analysis. Random-walk-based methods [31–33], which adopt a random walk strategy to expand the neighborhood of a vertex in large-scale networks to learn latent representations of nodes, obtain a lot of attention in recent years. Chen et al. [34] both adopted Deep Walk [31] to exploit the plentiful social information to solve the data sparsity problem. However, the main limitation of these random walk-based methods is that they are suitable for learning relations in homogeneous networks, but not sufficient for relation exploration in the multi-type and complex heterogeneous social networks we need to deal with. The same author proposed another model named APT [35] to tackle the challenge of directed graph embedding, which only considers user interactions in the community without incorporating textual content.
To overcome the shortcomings of the above methods and build more comprehensive node representations for expert recommendation tasks, in our work, we use the textual content of various types of nodes to learn content-based embedding and explore the structural properties between different nodes through a hierarchical attentive network learning model, while retaining the individualized preferences of nodes.
2.2 Heterogeneous Information Network Embedding
In recent years, the development of network embedding technology has highly promoted the analysis and understanding of social networks. At the same time, inspired by deep learning and Word2vec [36], several effective network embedding models such as DeepWalk [31], LINE [33], and Node2vec [32] have emerged and is widely used in different tasks. However, these methods are designed for learning node representations in homogeneous networks whereas CQA networks are heterogeneous that consist of varieties of entities and complex links. Compared to homogeneous networks, the goal of heterogeneous network embedding focus on retaining the structure and relational properties of the network while projecting the nodes into the potential embedding space [37]. The learned node vector can be used as the input of deep learning related algorithms to complete tasks such as question answering, node classification, and social network analysis.
Several attempts have been made in HIN embedding and achieved promising performance in various domains. Tang et al. [38] designed a skip-gram based model called PTE decomposes the input heterogeneous network into several homogeneous networks and then performs network embedding individually. Dong et al. [39] proposed Metapath2vec in 2017, which uses meta path based random walk to construct the heterogeneous neighborhood of each node. In this method, the walker is restricted to transition between different types of nodes in a unified way instead of the random walk. Compared with PTE, Metapath2vec can better capture the structural dependencies between different types of nodes. Later, various approaches leverage meta paths to construct heterogeneous contexts for learning embeddings. Fu et al. [40] proposed an approach that directly uses meta paths as contexts to learn embeddings for vertices by jointly conducting multiple prediction training tasks. HeteSpaceyWalk [41] exploits the heterogeneous personalized spacey random walk to learn embeddings for multiple types of nodes guided by meta paths, graphs, and schemas, respectively. Although the above-mentioned-methods have utilized meta paths to know the comprehensive proximity and semantics between nodes, they do not distinguish meta paths or path instances for nodes.
The major drawbacks of the existing methodologies is the inefficiency in determining and distinguishing the meta paths between the nodes or the instance path of nodes. The setback in determining the meta path, path based context are the major challenging factors of the existing methods.
In this section, we introduce the concepts of heterogeneous content network, meta path, meta path instance, meta path-based context, and node embedding. Finally, we formally define the expert recommendation problem.
Definition 1 (heterogeneous content network). A heterogeneous content network (HCN) is defined as a network
In our task, the dataset is built upon the static archive of the CQA website, which keeps all the Q&A records accumulated over time. We create the Questions set
We emphasize that the CQA heterogeneous content network defined in our model is different from the commonly defined HIN network since we consider the content related to each node instead of only focusing on structural proximity between nodes.
Definition 2 (meta path). A meta path
For example, in Fig. 1d, the meta-path “AQA” extracted from the network denotes the co-answer relationship of a question between two answerers. In addition, the two answerers can also be connected by another meta-path “AQTQA”, which shows that even if the two answerers do not appear in the same question thread, we can also infer from the links that they have similar expertise backgrounds and interests, consistent with the overlapping knowledge areas covered by the questions.
Definition 3 (meta path instance). Given a meta path
Definition 4 (meta path based context, MPBC). Given a meta path instance
Assume
Definition 5 (node embedding). Given a heterogeneous content network
Definition 6 (expert recommendation problem) The overall view of our expert recommendation problem is illustrated in Fig. 2. Given a set of archived question sessions including answerers list, tags list, and content information (i.e., question’s title and body, answerers’ profile, and content of tags), our task is to train a model and rank all potential answerers for a newly posted question, the top-ranked answerer is recommended as the domain expert for the question. In summary, we declare the main Notations in Table 1.

Figure 2: Overall view of expert recommendation problem

In this section, we first demonstrate the overall framework of our proposed model. Then the details of our method will be described in Sections 4.2–4.4.
We formulate the expert recommendation as a ranking task based on integrated node embedding by taking into account the partial ordering constraints contained in the CQA network. First, based on the released archive of the CQA website, we construct a heterogeneous content network that contains the textual content information of different nodes, unlike previous HINs that only contain nodes and edges. As shown in Fig. 1, the constructed heterogeneous CQA content network contains the user's past answering interactions (structure information) and the textual content information of each node. We can view the whole big Q&A data as two different networks in terms of structural proximity links and semantic content similarity links, as shown in Figs. 1b and 1c. Then, we design our learning model by using a HIN network embedding method equipped with hierarchical attention [42] to learn the topology-based embedding
where
After that, we use the ranking metric function
Based on users’ relative quality facts and the goal to learn the relative ranking of users to answer a specific question, we use the partial ordering constraints contained in the network to address the ranking and recommendation, the details will be discussed in Section 4.4. We train a model using positive and negative samples drawn from the network, and then implement recommendations based on our trained model when given a newly posted question with tags, title, and description.
4.2 Topology-Based Embedding via Hierarchical Attentive Meta Path
In this section, to explore the structural relationship and proximity properties in the heterogeneous CQA network, we deploy a hierarchical attention HIN embedding method [42] to learn the embedding of two target type nodes whose node type is question and answerer. Based on the previous definition and introduction of meta-path and path instance in Section 3, we will not repeat these two concepts but focus on explaining the hierarchical attention mechanism of the path instance attention layer and meta-path attention layer.
Given a CQA HIN
Combining MPBC embeddings by path instance attention layer. The path instance attention layer aims to learn the embedding
where
we calculate the path instance attention coefficients
where
where
Topology-based comprehensive embedding by meta path attention layer. The meta-path attention layer aims to learn the comprehensive embedding
where
In summary, the hierarchical attention mechanism deployed from the above two different perspectives enables our model to learn the discriminate scores of the structural proximity between each node and its neighbor nodes connected by path instance and to highlight the node with the most topology-related information on the meta-path.
We learn the parameters in a task-specific semi-supervised environment by exploiting more information contained in the CQA network. Specifically, we integrate the representations of nodes into a node classifier (implemented with a full connection layer with softmax function) to infer the probability of node
where
4.3 Content-Based Embedding via Meta-Context Aware Skip-Gram Model
Our proposed model ER-HCNE is anticipated to integrate typical heterogeneous information, such as the type information of different nodes, node textual content, etc. In Section 4.2, we use a meta-path based random walk method to obtain topology-based embeddings, which exploits node type information by restricting transitions between nodes by meta-paths. However, the large amount of textual content information contained in nodes and textual relevance between different nodes have not been fully explored. Therefore, in this section, we focus on how to utilize node textual content information to obtain the content-based embedding
Encode node textual content. To encode each node textual content into fixed length feature embedding, we introduce the pre-trained deep bidirectional Transformers based model BERT [30]. The final output of
where
The encoder used in BERT was introduced from Transformer [29] which is a multi-head self-attention deep learning architecture. Compare with CNNs or LSTMs adopted in previous works [8,18], BERT generates dynamic contextual word embedding, which is a function of the entire input text by taking into account the word dependencies and sentence structures. Given an input node text sequence of length
Due to the space limitations, we will no longer introduce the Transformer encoder blocks in detail since many previous works have been discussed and the mathematical details can be found in [29,30].
Combing contextual node information on MPBC. So far, the individual textual information-based embedding
and then a weighted sum representation is constructed to strengthen the node content embedding:
Skip-gram with negative sampling for Content-based Embedding learning. We treat the node sequence sampling from meta-path-guided random walks as a sentence and each node as a word in the sentence. Our goal is to maximize the following probability:
where
In order to maximize the conditional probability between
where
4.4 Joint Learning and Ranking Loss for Recommendation
In Sections 4.2 and 4.3, we describe how to characterize the nodes in CQA heterogeneous networks more accurately from two perspectives by exploring the proximity relationship and semantic relevance. With the above formulations, we optimize the following joint objective function, which is a weighted combination of the topology-based embedding loss and the content-based embedding loss:
where
where
In this section, we present experiments to evaluate the performance of our proposed method for the expert recommendation task.
Stack Overflow is one of the most popular programming Q&A communities used by millions of programmers. Every achieved question includes the title, body, and several tags that identify the area of knowledge involved and has only one best answer which usually with the highest number of votes. The user who provides the best answer is selected as the best answerer. The profile of each user can be found in detail on the page too, including the list of questions for which they have provided the best answer and tags representing the user's expertise and research field. We conduct our experiments on a real-world CQA data dump collected from the Stack Overflow websites which was published on March 14, 2017, covering from July 2008 to March 2017, and available online1. Specifically, to better evaluate the performance, we constructed three datasets as described in [47] from three different fields: Java, Python, and C#. Each selected question for evaluation is an archived question with an acceptable answer (oot note text for 1i.e., the best answer) and at least 3 answers. Each question can be labeled according to its relevant tag, and each author can be labeled according to his/her field of research, which can be found in his/her profile. In total, we collected 29,511 questions, each of which was an archived question with one best answer. However, the number of valid questions for evaluation in the three datasets is only 4661, 2609, and 6492, respectively. For each test question
We use three widely used evaluation metrics to evaluate the performance of our proposed model: Mean Average Precision (MAP), Precision at K (p@K) and Mean Reciprocal Rank (MRR).

(1) MRR. The MRR denotes the average inverse of the rank of the correct answerer:
where N denotes the total number of questions and
(2) p@K. The p@K reports the proportion of predicted samples where the ground truth answerers appear in the ranked top-K result. For example, p@5 reports the percentage of ground truth answerers appearing in the top 5 search results. A special example is P@1, which aims to calculate the percentage of times the system ranks the correct answerer at the top.
(3) Mean Average Precision (MAP): The MAP reports the overall retrieval quality score, which is the mean of the average precision scores for each question.
5.3 Baselines and Experimental Settings
Baselines We use the following methods for experiment comparison:
Content-Based Method
(1) LDA [36] is a three-level hierarchical Bayesian model, which relies on word co-occurrence as well as having the ability of semantic understanding. In our experiments, we construct a user’s profile by connecting all the questions answered by the user. For training, the Gibbs-LDA++ [37] with topic size K=100 is applied, and we set the LDA hyper-parameters to α = 0.5 and β = 0.1.
(2) QR-DSSM [48] was proposed by Azzam et al. by directly applying the Deep Semantic Similarity Model [26]. In our experiment, two fully connected DNNs which contain two hidden layers with 300 nodes in each are applied to learn the feature vectors, and cosine similarity calculations are conducted after the output layer vectors. The iterations number is 100 and the learning rate is 0.02.
Topology-Based Method
(3) Node2vec [32] is a homogeneous network embedding method that extends DeepWalk [31] by broadening the definition of network neighborhood and designing a biased random walk strategy to explore more diverse node representations. In our experiment, the length of sampled paths is 5, the size of embedding is 128, and the number of walkers is 10.
(4) Metapath2vec [33] is one of the state-of-the-art network embedding methods for HIN, which uses meta-path-guided random walks to build heterogeneous neighborhoods for each node, and then uses the Skip-Gram model to learn the node embeddings. We leverage the meta paths AQTQA and AQA in this method and the dimension is set to 128.
Combined Method
(5) NeRank (Metapath2vec+LSTM) [21] is designed to jointly learn the representation of different entities via the meta path-based heterogeneous network embedding strategy and a long short-term memory(LSTM) model. A CNN-based scoring function is used to calculate the ranking score. However, it does not consider the weight of different meta paths and only utilizes the question content. We adopted the default experimental setting mentioned in [21] with a meta-path length of 13, node coverage of 20, the window size of the Skip-gram model of 4, and the dimension of learning embeddings set to 128 for fair competition.
(6) NW (Node2vec+Word2vec) [20] jointly considers the graph-based similarity and text-based similarity to address the expert finding problem. According to the experiment result in [20],we employ Node2Vecto map users to a vector space and compute the similarity between the question's asker and candidate experts to obtain the graph-based similarity score. The text-based similarity was obtained by computing the similarity between the question content and the candidate expert's profile.
Among the above six baselines, LDA is the traditional algorithm that learns the question and user’s representation based on bag-of-words contents and relies on manual feature engineering. In contrast, QR-DSSM is based on deep learning to automatically learn the feature vector for text without human intervention or assistance. These two content-based methods focus on the representation learning of question contents and user profile to construct a semantic feature space. While topology-based methods focus on learning node embeddings by taking advantage of the network structural properties rather than text semantic features. Specifically, Node2vec learns representations of questions and users through a random walk strategy, while Metapath2vec generates walk sequences guided by predefined meta-paths. In addition, we use two advanced combined methods to verify the effectiveness of our model. NeRank is one of the competitive methods by integrating a meta-path-based skip-gram model and an LSTM-based question content encoder. NW is proposed in 2021 by employing Node2Vec and Word2vec to learn graph-based similarity and text-based similarity. Unlike the previous studies, our proposed model ER-HCNE exploits the textual content of various types of nodes instead of only using the content of the question node. Moreover, we use the Transformer based representation encoder and attention mechanism to obtain contextual content-based embedding. In addition, we optimize meta-path-based random walks through a two-layer attention mechanism-based model.
Experimental Settings Our proposed model ER-HCNE is implemented with PyTorch. The embedding dimension
5.4 Experimental Results and Analysis
In this section, we report the experimental results and analyses of the effectiveness and efficiency of our proposed model. The three metrics mentioned before (MRR, P@K, and MAP) are applied to evaluate the ranking performance.
A. Performance Comparison with Different Baseline Methods
Although the scales of the three datasets are different, the performance metrics show similar trends. Therefore, we first take the average performance of the three datasets for overall analysis and comparison in Table 3. From the results, we can make the following observations:
• Combined methods exhibit much better performance than topology-based methods or content-based methods. This suggests that it is very effective to combine content analysis and structure exploration for representation learning in CQA networks, which can greatly alleviate the sparsity of structural or textual data by learning from different perspectives.
• Our proposed model ER-HCNE significantly and consistently outperforms all baselines in our datasets on all metrics. For example, ER-HCNE outperforms the competitive methods NeRank and NW by 12.8% and 13.7% on MAP, respectively. The main reason is that ER-HCNE considers the personalized preferences of nodes on meta-paths and exploits the textual content of both question and answerer nodes.
• Moreover, since there is only one best answerer per question, it is very challenging to rank among thousands of candidates for our task. However, ER-HCNE can still achieve 34.3% precision of the P@1 metric, which indicates that each test question will be answered if we route it to the top 3 users on average, while NeRank and NW required at least 4 users.
• Although both are content-based methods, the performance of deep learning-based QR-DSSM is far superior to traditional LDA methods, which shows that mining deep text semantics is very important in content-based methods.
• Between the two combined methods, NeRank outperforms NW in most cases, but it is worth noting that NW slightly outperforms NeRank on all metrics when the training data is small. The main reason may be that walks in Node2vec are more flexible than Metapath2vec, and NW combines structural and textual features to represent each node, while NeRank only encodes the textual content of the question nodes. Therefore, NW can capture more comprehensive information than NeRank when the amount of training data is small. However, as the number of data increases, the advantages of meta-path-based HIN embedding methods prevail.
• The performances of Node2vec and QR-DSSM are both acceptable and very close. The best values of the MAP metrics can reach 51.1% and 50.1%, respectively. This shows that the modeling effect of using network topology information or textual content information is effective.
• As the training data increases, the performance of all methods improves. It shows that the more nodes, edges, and content involved, the more comprehensive and specific the learning of semantic correlations and structural relationships will be.

B. Analysis of Different Components in ER-HCNE
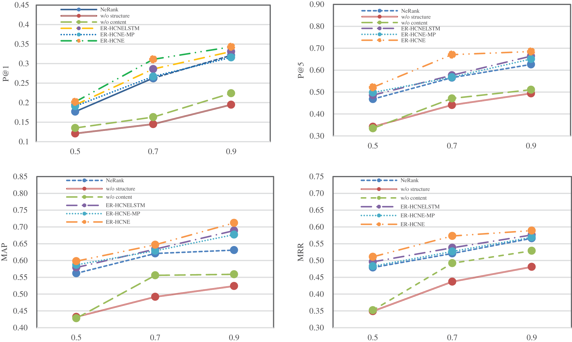
Fig. 3 illustrates the performance comparison between the variants of ER-HCNE and the start-of-the-art baseline method, we can observe that:
• Our model still performs better than the baseline model, NeRank, without using the BERT sequence encoder (ER-HCNELSTM) or attention mechanism (ER-HCNE-MP). This indicates that incorporating the answerer’s content could enhance the representation and improve the ranking performance.
• Compared with ER-HCNE, the performance of methods without topology-based embedding (w/o structure) or content-based embedding (w/o content) drops sharply by 27.88% and 25.4% on the P@5 metric, respectively. This indicates that our combined model is efficient and can greatly improve the matching and ranking performance.

Figure 3: Performance comparison between the variants of ER-HCNE and the best baseline method
C. Effectiveness of Topology-Based Embedding via Hierarchical Attentive Meta Path
In order to verify the effectiveness of the hierarchical attentive meta path mechanism, we compare ER-HCNE with three of its variants: (i) ER-HCNE-MP: We learn the topology-based embeddings via metapath2vec [39] without attention mechanism. (ii) ER-HCNE-DW: Instead of the meta-path-based HIN embedding method, we adopt DeepWalk [31] model to learn the network embeddings. (iii) ER-HCNE-Node2vec: Another node embedding model Node2vec [32] is employed to learn topology-based embeddings.
Fig. 4 shows the experimental results. We observe that ER-HCNE outperforms its three variants on all metrics over the three datasets. In addition, ER-HCNE-MP performs slightly better than the other two methods. Specifically, ER-HCNE-MP, ER-HCNE-Node2vec, and ER-HCNE-DW decreased by 4.86%, 9.73%, and 10.01% in MAP metrics compared with ER-HCNE, respectively. This is mainly due to the following reasons: First, CQA networks are heterogeneous, while DeepWalk and Node2vec are designed for homogeneous networks with limited ability to explore complex heterogeneous information and relationships contained in different nodes. Second, even without the hierarchical attention mechanism, the meta path-based method ER-HCNE-MP can also leverage the node type information and semantic information of different entities, thereby still performing better than ER-HCNE-DW and ER-HCNE-Node2vec. Third, modeling the personalized preference on both meta path and path instances by the hierarchical mechanism can help learn better network embeddings of different entities in CQA and boost the ranking performance.

Figure 4: Performance comparison of methods employing different topological embedding strategies
D. Effectiveness of Combining Node Content Embedding and Meta-aware Contextual Embedding
To verify the effectiveness of our choices of adopting BERT to encode each node’s textual content and combing contextual node information on MPBC to obtain more meaningful node embeddings, we design three variant models based on ER-HCNE as follows:
1. ER-HCNELSTM: We replaced the BERT encoder with an LSTM-based encoder, taking 300-dimensional word embeddings by Glove as the input.
2. ER-HCNECNN: We replaced BERT with another commonly used encoder, a CNN-based encoder. We still take 300-dimensional word embeddings by Glove as the input.
3. ER-HCNEown: To demonstrate the effectiveness of combining meta context-aware embedding into the node own content embedding, we only keep the individual textual information-based embedding
The performance comparison between these three variants and ER-HCNE is shown in Table 4. We can conclude that:
• ER-HCNELSTM still performs better than NW and NeRank even without using BERT encoder by 10.1% and 9.24% on MAP evaluation metrics. This shows that the performance improvement of our proposed model is not only due to the choice of the pre-trained sequence encoder BERT. However, the use of BERT does enhance the representation of textual features.
• ER-HCNE significantly outperforms ER-HCNEown on all metrics in three different datasets. Without combining the contextual node information learned on MPBC, ER-HCNEown drops 10.07%, 7.97%, and 12.78% on p@5, MRR, and MAP metrics on average compared with ER-HCNE, respectively. This indicates that in complex CQA networks, it is very necessary to collect semantic information about adjacent nodes and learn textual relevance between nodes.
• We can also observe that ER-HCNELSTM and ER-HCNECNN exceed ER-HCNEown in all metrics but are slightly lower than ER-HCNE. This shows that different encoders do have an impact on performance, but it's not the most critical factor. Combining other node information learned from meta-paths with the textual information of the nodes themselves is a key factor in determining the representation performance.

E. Parameter Study
In this section, we discuss three essential parameters in ER-HCNE, which are the size of embedding dimensions, the size of the negative samples, and the balance weight

Figure 5: Parameter study
Fig. 5b shows the trends of the metric MRR with the negative sample size varying from 1 to 10 on the three datasets. We can see that all three metrics increase rapidly when the negative sample size goes from 1 to 3, the reason should be that our model needs enough negative samples to identify correct answerers. When the number of negative samples increased to more than 3, the growth of all metrics became very slow. Therefore, to reduce the cost of training and maintain high performance, we take the value of the negative sample as 3.
The effect of the balance weight
CQA websites have got rapid development and the expert recommendation task has attracted considerable attention in recent years. In this paper, we approach the expert recommendation problem from the perspective of learning ranking metric embeddings by exploring various heterogeneous information and exploiting the relative quality ranking of users in question sessions. The key to our proposed model ER-HCNE is that we jointly consider the node proximity relations as well as the textual content correlation between meta-path-based adjacent nodes to learn more comprehensive representation in heterogeneous social networks. We conduct extensive experiments on Stack Overflow datasets and compare the results with several state-of-the-art models. The evaluation results of different metrics show that our proposed framework may help improve the efficiency of question-solving and bring higher satisfaction and experience to users in CQA. The improvement in the efficiency of the proposed work is due to the feature extraction from the text based on the text vector. In future work, we hope to improve the quality of node embeddings by introducing more QA features or non-QA features, and we would like to explore more efficient ways to mine connections and relationships between various entities in CQA heterogeneous information networks.
Funding Statement: The authors received no specific funding for this study.
Conflicts of Interest: The authors declare that they have no conflicts of interest to report regarding the present study.
1https://archive.org/details/stackexchange
References
1. I. Moutidis and H. Williams, “Community evolution on stack overflow,” PloS One, vol. 16, no. 6, pp. 1–14, 2021. [Google Scholar]
2. K. Balog, L. Azzopardi and M. De Rijke, “Formal models for expert finding in enterprise corpora,” in Proc. of the 29th Annual Int. ACM SIGIR Conf. on Research and Development in Information Retrieval, Seattle, Western Australia, pp. 43–50, 2006. [Google Scholar]
3. B. Li, I. King and M. R. Lyu, “Question routing in community question answering: Putting category in its place,” in Proc. of the 20th ACM Int. Conf. on Information and Knowledge Management, Scotland, UK, pp. 2041–2044, 2011. [Google Scholar]
4. Z.-M. Zhou, M. Lan, Z.-Y. Niu and Y. Lu, “Exploiting user profile information for answer ranking in cqa,” in Proc. of the 21st Int. Conf. on World Wide Web, Lyon, France, pp. 767–774, 2012. [Google Scholar]
5. J. Liu, Y.-I. Song and C.-Y. Lin, “Competition-based user expertise score estimation,” in Proc. of the 34th Int. ACM SIGIR Conf. on Research and Development in Information Retrieval, Beijing, China, pp. 425–434, 2011. [Google Scholar]
6. F. Riahi, Z. Zolaktaf, M. Shafiei and E. Milios, “Finding expert users in community question answering,” in Proc. of the 21st Int. Conf. on World Wide Web, Lyon, France, pp. 791–798, 2012. [Google Scholar]
7. Z. Zhao, Q. Yang, D. Cai, X. He and Y. Zhuang, “Expert finding for community-based question answering via ranking metric network learning,” in Proc. of the Twenty-Fifth Int. Joint Conf. on Artificial Intelligence, New York, USA, 16, pp. 3000–3006, 2016. [Google Scholar]
8. J. Wang, J. Sun, H. Lin, H. Dong and S. Zhang, “Convolutional neural networks for expert recommendation in community question answering,” Science China Information Sciences, vol. 60, no. 11, pp. 1–9, 2017. [Google Scholar]
9. X. Liu, W. B. Croft and M. Koll, “Finding experts in community-based question-answering services,” in Proc. of the 14th ACM Int. conf. on Information and knowledge management, Breman, Germany, pp. 315–316, 2005. [Google Scholar]
10. Y. Tian, P. S. Kochhar, E. P. Lim, F. Zhu and D. Lo, “Predicting best answerers for new questions: An approach leveraging topic modeling and collaborative voting,” in Int. Conf. on Social Informatics, Kyoto, Japan, pp. 55–68, 2013. [Google Scholar]
11. H. Li, S. Jin and L. Shudong, “A hybrid model for experts finding in community question answering,” in 2015 Int. Conf. on Cyber-Enabled Distributed Computing and Knowledge Discovery, Xi’an, China, pp. 176–185, 2015. [Google Scholar]
12. A. M. Elkahky, Y. Song and X. He, “A multi-view deep learning approach for cross domain user modeling in recommendation systems,” in Proc. of the 24th Int. Conf. on World Wide Web, Florence, Italy, pp. 278–288, 2015. [Google Scholar]
13. Z. Liu and B. J. Jansen, “Analysis of question and answering behavior in question routing services,” in CYTED-RITOS International Workshop on Groupware, Berlin, Germany, pp. 72–85, 2015. [Google Scholar]
14. B. Mathew, R. Dutt, S. K. Maity, P. Goyal and A. Mukherjee, “Deep dive into anonymity: Large scale analysis of quora questions,” in Int. Conf. on Social Informatics, Doha, Qatar, pp. 35–49, 2019. [Google Scholar]
15. G. Wang, K. Gill, M. Mohanlal, H. Zheng and B. Y. Zhao, “Wisdom in the social crowd: An analysis of quora,” in Proc. of the 22nd Int. Conf. on World Wide Web, Rio de Janeiro, Brazil, pp. 1341–1352, 2013. [Google Scholar]
16. G. Zhou, K. Liu and J. Zhao, “Monolingual-based translation model for Question Routing,” in Chinese Conf. on Pattern Recognition, Beijing, China, pp. 630–637, 2012. [Google Scholar]
17. L. Wang, B. Wu, J. Yang and S. Peng, “Personalized recommendation for new questions in community question answering,” in Proc. of the 2016 IEEE/ACM Int. Conf. on Advances in Social Networks Analysis and Mining, Davis California, USA, pp. 901–908, 2016. [Google Scholar]
18. H. Fang, F. Wu, Z. Zhao, X. Duan, Y. Zhuang et al., “Community-based question answering via heterogeneous social network learning,” in Proc. of the AAAI Conf. on Artificial Intelligence, Arizona, USA, vol. 30, pp. 1–14, 2016. [Google Scholar]
19. J. Sun, J. Zhao, H. Sun and S. Parthasarathy, “EndCold: An End-to-End framework for cold question routing in community question answering services,” in Proc. of the Twenty-Ninth Int. Joint Conf. on Artificial Intelligence, Yokohama, Japan, pp. 3244–3250, 2020. [Google Scholar]
20. N. Ghasemi, R. Fatourechi and S. Momtazi, “User embedding for expert finding in community question answering,” ACM Transactions on Knowledge Discovery from Data, vol. 15, no. 4, pp. 1–16, 2021. [Google Scholar]
21. Z. Li, J.-Y. Jiang, Y. Sun and W. Wang, “Personalized question routing via heterogeneous network embedding,” in Proc. of the Thirty-Third AAAI Conf. on Artificial Intelligence and Thirty-First Innovative Applications of Artificial Intelligence Conf. and Ninth AAAI Symp. on Educational Advances in Artificial Intelligence, Honolulu, Hawaii USA, pp. 192–199, 2019. [Google Scholar]
22. S. Momtazi and F. Naumann, “Topic modeling for expert finding using latent Dirichlet allocation,” Wiley Interdisciplinary Reviews: Data Mining Knowledge Discovery, vol. 3, no. 5, pp. 346–353, 2013. [Google Scholar]
23. G. Zhou, J. Zhao, T. He and W. Wu, “An empirical study of topic-sensitive probabilistic model for expert finding in question answer communities,” Knowledge-Based Systems, vol. 66, no. 5, pp. 136–145, 2014. [Google Scholar]
24. L. Yang, M. Qiu, S. Gottipatti, F. Zhu, J. Jiang et al., “Cqarank: Jointly model topics and expertise in community question answering,” in Proc. of the 22nd ACM Int. Conf. on Information & Knowledge Management, California, USA, pp. 99–108, 2013. [Google Scholar]
25. A. Azzam, N. Taziand and A. Hossny, “Text-based question routing for question answering communities via deep learning,” in Proceedings of the Symposium on Applied Computing, Marrakech, Morocco, pp. 1674–1678, 2017. [Google Scholar]
26. P. S. Huang, X. He, J. Gao, L. Deng, A. Acero et al., “Learning deep structured semantic models for web search using clickthrough data,” in Proc. of the 22nd ACM Int. Conf. on Information & Knowledge Management, California, USA, pp. 2333–2338, 2013. [Google Scholar]
27. S. MacAvaney, A. Yates, A. Cohan and N. Goharian, “Cedr: Contextualized embeddings for document ranking,” in Proc. of the 42nd Int. ACM SIGIR Conf. on Research and Development in Information Retrieval, Paris, UK, pp. 1101–1104, 2019. [Google Scholar]
28. Z. Dai and J. Callan, “Deeper text understanding for IR with contextual neural language modeling,” in Proc. of the 42nd Int. ACM SIGIR Conf. on Research and Development in Information Retrieval, Paris, UK, pp. 985–988, 2019. [Google Scholar]
29. A. Vaswani, N. Shazeer, N. Parmar, J. Uszkoreit, L. Jones et al., “Attention is all you need,” Advances in Neural Information Processing Systems, vol. 30, pp. 5998–6008, 2017. [Google Scholar]
30. J. Devlin, M. W. Chang, K. Lee and K. Toutanova, “Bert: Pre-training of deep bidirectional transformers for language understanding,” ACL Anthology, vol. 1, pp. 1–12, 2018. [Google Scholar]
31. B. Perozzi, R. Al-Rfouand and S. Skiena, “Deepwalk: Online learning of social representations,” in Proc. of the 20th ACM SIGKDD Int. Conf. on Knowledge Discovery and Data Mining, Newyork, USA, pp. 701–710, 2014. [Google Scholar]
32. A. Grover and J. Leskovec, “Node2vec: Scalable feature learning for networks,” in Proc. of the 22nd ACM SIGKDD Int. Conf. on Knowledge Discovery and Data Mining, Newyork, USA, pp. 855–864, 2016. [Google Scholar]
33. J. Tang, M. Qu, M. Wang, M. Zhang, J. Yan et al., “Line: Large-scale information network embedding,” in Proc. of the 24th Int. Conf. on World Wide Web, Florence, UK, pp. 1067–1077, 2015. [Google Scholar]
34. Z. Chen, C. Zhang, Z. Zhao, C. Yao and D. Cai, “Question retrieval for community-based question answering via heterogeneous social influential network,” Neuro-computing, vol. 285, no. 2, pp. 117–124, 2018. [Google Scholar]
35. J. Sun, B. Bandyopadhyay, A. Bashizade, J. Liang, P. Sadayappan et al., “Atp: Directed graph embedding with asymmetric transitivity preservation,” Proceedings of the AAAI Conference on Artificial Intelligence, vol. 33, no. 01, pp. 265–272, 2019. [Google Scholar]
36. T. Mikolov, K. Chen, G. Corrado and J. Dean, “Efficient estimation of word representations in vector space,” arXiv Preprint arXiv: 1301. 3781, 2013. [Google Scholar]
37. Y. Dong, Z. Hu, K. Wang, Y. Sun and J. Tang, “Heterogeneous network representation learning,” in Proc. 29th Proc. of the Twenty-Ninth Int. Joint Conf. on Artificial Intelligence, Yokohama, Japan, pp. 4861–4867, 2020. [Google Scholar]
38. J. Tang, M. Qu and Q. Mei, “Pte: Predictive text embedding through large-scale heterogeneous text networks,” in Proc. of the 21th ACM SIGKDD Int. Conf. on Knowledge Discovery and Data Mining, NSW, Australia, pp. 1165–1174, 2015. [Google Scholar]
39. Y. Dong, N. V. Chawla and A. Swami, “metapath2vec: Scalable representation learning for heterogeneous networks,” in Proc. of the 23rd ACM SIGKDD Int. Conf. on Knowledge Discovery and Data Mining, NS, Canada, pp. 135–144, 2017. [Google Scholar]
40. T. Y. Fu, W. C. Lee and Z. Lei, “HIN2Vec: Explore meta-paths in heterogeneous information networks for representation learning,” in CIKM ’17: Proc. of the 2017 ACM on Conf. on Information and Knowledge Management, Singapore, pp. 1–12, 2017. [Google Scholar]
41. Y. He, Y. Song, J. Li, C. Ji, J. Peng et al., “Hetespaceywalk: A heterogeneous spacey random walk for heterogeneous information network embedding,” in Proc. of the 28th ACM Int. Conf. on Information and Knowledge Management, Beijing, China, pp. 639–648, 2019. [Google Scholar]
42. J. Liu, C. Shi, C. Yang, Z. Lu and P. S. Yu, “A survey on heterogeneous information network based recommender systems: Concepts, methods, applications and resources,” AI Open, vol. 3, no. 9, pp. 40–57, 2022. [Google Scholar]
43. C. Luo, W. Pang and Z. Wang, “Hete-CF: Social-based collaborative filtering recommendation using heterogeneous relations,” in 2014 IEEE Int. Conf. on Data Mining, Shenzhen, China, pp. 1–14, 2015. [Google Scholar]
44. C. Shi, J. Liu, F. Zhuang, S. Y. Philip and B. Wu, “Integrating heterogeneous information via flexible regularization framework for recommendation,” Knowledge Information Systems, vol. 49, no. 3, pp. 835–859, 2016. [Google Scholar]
45. Y. Shen, W. Rong, Z. Sun, Y. Ouyang and Z. Xiong, “Question/answer matching for CQA system via combining lexical and sequential information,” in Twenty-Ninth AAAI Conf. on Artificial Intelligence, Texas, USA18, 2015. [Google Scholar]
46. T. Mikolov, I. Sutskever, K. Chen, G. S. Corrado and J. Dean, “Distributed representations of words and phrases and their compositionality,” Advances in Neural Information Processing Systems, vol. 26, pp. 3111–3119, 2013. [Google Scholar]
47. J. Sun, S. Moosavi, R. Ramnath and S. Parthasarathy, “QDEE: Question difficulty and expertise estimation in community question answering sites,” in Twelfth Int. AAAI Conf. on Web and Social, Media, California, USA, pp. 1–14, 2018. [Google Scholar]
48. A. Azzam, N. Tazi and A. Hossny, “A question routing technique using deep neural network for communities of question answering,” in Int. Conf. on Database Systems for Advanced Applications, Texas, USA, pp. 35–49, 2017. [Google Scholar]
Cite This Article
Copyright © 2023 The Author(s). Published by Tech Science Press.This work is licensed under a Creative Commons Attribution 4.0 International License , which permits unrestricted use, distribution, and reproduction in any medium, provided the original work is properly cited.


Submit a Paper
Propose a Special lssue
View Full Text
Download PDF
Downloads
Citation Tools