Open Access
ARTICLE
An Improved Chaotic Quantum Multi-Objective Harris Hawks Optimization Algorithm for Emergency Centers Site Selection Decision Problem
1 China Aerospace Academy of Systems Science and Engineering, Beijing, 100048, China
2 School of Economics and Management, Xi’an University of Posts and Telecommunications, Xi’an, 710121, China
* Corresponding Author: Yuting Zhu. Email:
Computers, Materials & Continua 2025, 82(2), 2177-2198. https://doi.org/10.32604/cmc.2024.057441
Received 17 August 2024; Accepted 13 November 2024; Issue published 17 February 2025
Abstract
Addressing the complex issue of emergency resource distribution center site selection in uncertain environments, this study was conducted to comprehensively consider factors such as uncertainty parameters and the urgency of demand at disaster-affected sites. Firstly, urgency cost, economic cost, and transportation distance cost were identified as key objectives. The study applied fuzzy theory integration to construct a triangular fuzzy multi-objective site selection decision model. Next, the defuzzification theory transformed the fuzzy decision model into a precise one. Subsequently, an improved Chaotic Quantum Multi-Objective Harris Hawks Optimization (CQ-MOHHO) algorithm was proposed to solve the model. The CQ-MOHHO algorithm was shown to rapidly produce high-quality Pareto front solutions and identify optimal site selection schemes for emergency resource distribution centers through case studies. This outcome verified the feasibility and efficacy of the site selection decision model and the CQ-MOHHO algorithm. To further assess CQ-MOHHO’s performance, Zitzler-Deb-Thiele (ZDT) test functions, commonly used in multi-objective optimization, were employed. Comparisons with Multi-Objective Harris Hawks Optimization (MOHHO), Non-dominated Sorting Genetic Algorithm II (NSGA-II), and Multi-Objective Grey Wolf Optimizer (MOGWO) using Generational Distance (GD), Hypervolume (HV), and Inverted Generational Distance (IGD) metrics showed that CQ-MOHHO achieved superior global search ability, faster convergence, and higher solution quality. The CQ-MOHHO algorithm efficiently achieved a balance between multiple objectives, providing decision-makers with satisfactory solutions and a valuable reference for researching and applying emergency site selection problems.Keywords
Various major urban emergencies have frequently occurred worldwide in recent years, causing significant casualties and property damage [1]. Emergency resource distribution centers (hereafter referred to as “Centers”) are facilities specifically designed to store disaster relief supplies and are responsible for a series of activities, including the storage and distribution of emergency resources [2,3]. Numerous scholars have researched the site selection problem of emergency resources and proposed various site selection models [4–6]. Kacprzyk et al. [7] employed fuzzy multi-attribute group decision-making and Associated Triangular Fuzzy Probability Averaging (As-TFPA) aggregation operators to solve a two-stage multi-objective site selection model for emergency facilities. Huang et al. [8] developed a multi-objective planning model for the site selection and allocation of cruise emergency supplies, and used the Non-dominated Sorting Genetic Algorithm II (NSGA-II) to solve the model. de Veluz et al. [9] proposed a scenario-based multi-objective site selection and routing model, and used a multi-objective particle swarm optimization algorithm to solve the model. Although existing studies have achieved significant results in emergency resource site selection, some limitations remain [10]. Most studies assume that site selection decision problems (SSDPs) are conducted in deterministic environments. However, in real-world scenarios, factors influencing emergency center site selection, such as facility capacity and operational costs, are often uncertain, making it difficult for existing models to address these uncertainties effectively. As a result, fuzzy theory has gradually been applied to tackle these uncertainty issues and has proven its effectiveness in various decision-making environments [11,12]. In previous studies on constructing site selection decision models (SSDMs), scholars have predominantly focused on economic and time-related factors. However, in real-world scenarios, the degree of urgency in demand at each Disaster-Affected Site (hereafter referred to as “Site”) should be incorporated into the SSDM, as the situations at different Sites vary [13]. The SSDP for Emergency Centers is a Non-deterministic Polynomial (NP)-Hard problem, and intelligent optimization algorithms can find satisfactory solutions quickly [14]. The Harris Hawks Optimization (HHO) algorithm is a swarm intelligence optimization algorithm based on the cooperative hunting strategy of Harris Hawks [15]. The HHO algorithm, known for its simplicity, fast convergence, and minimal control parameters [16,17], is widely used in path planning and image processing. However, its application to SSDP still needs to be explored. Therefore, this study proposes an improved Chaotic Quantum Harris Hawks Optimization algorithm (CQ-MOHHO) to address the Centers’ SSDPs in uncertain environments [18,19].
This study introduces a multi-objective, multi-constraint optimization modeling framework combined with the CQ-MOHHO algorithm, effectively addressing the uncertainty and complexity of emergency center site selection. This approach enhances the practical applicability of the model. First, the study employed triangular fuzzy numbers to describe the uncertain decision information in the SSDP for Emergency Centers. Subsequently, key parameters such as the degree of urgency in demand at Sites were incorporated into the mathematical model, leading to the establishment of a triangular fuzzy multi-objective SSDM for Emergency Centers with three primary objectives: urgency cost, economic cost, and transportation distance cost. Next, using the defuzzification definition and the Graded Mean Integration Representation (GMIR) method, the triangular fuzzy multi-objective mathematical model was converted into a precise multi-objective mathematical model that is easier to solve. This study proposes an improved Chaotic Quantum Multi-Objective Harris Hawks Optimization (CQ-MOHHO) algorithm to solve the model above. In addition, the effectiveness of the proposed model and the CQ-MOHHO algorithm was validated through case analysis, with comparisons against Multi-Objective Harris Hawks Optimization (MOHHO), NSGA-II, and Multi-Objective Grey Wolf Optimizer (MOGWO) demonstrating its feasibility and superiority. Furthermore, the algorithm’s performance was evaluated using Zitzler-Deb-Thiele (ZDT) test functions and Generational Distance (GD), Hypervolume (HV), and Inverted Generational Distance (IGD) metrics confirming its superior global search capability, faster convergence, and higher solution quality.
The organization of this study is as follows. Section 2 presents the basic concepts of triangular fuzzy numbers and defuzzification methods. Section 3 describes the problem formulation and model construction for the SSDP of Emergency Centers. Section 4 introduces the proposed CQ-MOHHO algorithm and the steps for solving the model. Section 5 presents a case study and discusses the performance comparison between the CQ-MOHHO algorithm and other algorithms. Section 6 presents the conclusions.
2.1 Basic Concepts of Triangular Fuzzy Numbers
In the site selection decision model (SSDM) for Emergency Centers, some parameters are difficult to obtain precise values for, and fuzzy number theory can effectively address this issue. This study uses triangular fuzzy numbers to represent the uncertain parameters in the SSDM for Emergency Centers.
Definition 1: Let
Definition 2: Let
Definition 3: Let
2.2 Defuzzification Method of Triangular Fuzzy Numbers
The majority of current intelligent optimization algorithms are specifically developed to tackle mathematical models that incorporate exact parameters. Hence, it is imperative to employ a defuzzification approach to transform the fuzzy parameters in the SSDM for Emergency Centers into precise parameters for the solution. Following defuzzification, the parameters can accurately represent their inherent uncertainty and ensure the model’s effective solution. According to the Graded Mean Integration Representation (GMIR) theory [23], Definition 4 shows how to turn triangular fuzzy parameters into precise parameters.
Definition 4: Let
3 Site Selection Decision Model for Emergency Centers
3.1 Problem Description and Model Assumptions
This study considers a scenario involving

3.2 Construction of Multi-Objective SSDM for Emergency Centers
This section constructs a Triangular Fuzzy Multi-Objective SSDM (Model M4-1) and a Precise Multi-Objective SSDM (Model M4-2) separately for the Emergency Center site selection problem.
(1) The Triangular Fuzzy Multi-Objective SSDM
The Model M4-1 is a triangular fuzzy multi-objective SSDM for Emergency Centers. Urgency, economic, and transportation distance costs are fully considered in the model. Eqs. (7)–(9) show Model M4-1’s three objective functions. Eqs. (10)–(15) represent model constraints.
Model M4-1:
The first objective function represents the minimization of urgency cost (
(2) The Precise Multi-Objective SSDM
The meaning of Model M4-2’s objective functions and constraints are the same as Model M4-1, including the selection of Emergency Centers and the assignment of Sites. The meaning of Model M4-2’s objective functions and constraints are the same as Model M4-1. According to Definition 2–Definition 4, Eq. (6) can convert Model M4-1’s triangular fuzzy parameters into precise parameters (set k = 2 in this study). Eqs. (16)–(18) show Model M4-2’s three objective functions, and Eqs. (19)–(24) show its constraints.
Model M4-2:
According to Definition 3, the constraints in Model M4-2 that are in the form of fuzzy triplets can be converted into precise constraints, meaning that Eqs. (20)–(22) can be transformed into Eqs. (25)–(27).
4 Solving the Emergency Centers SSDM Using the CQ-MOHHO Algorithm
4.1 The Harris Hawks Optimization Algorithm
The Harris Hawks Optimization (HHO) algorithm, introduced by Heidari and Mirjalili in 2019, is a bio-inspired method based on the predatory behavior of Harris Hawks [26]. As a global optimization approach, it solves constrained problems [27]. The HHO algorithm operates through three phases: exploration, transition, and exploitation.
(1) Exploration Phase. Different strategies are selected using a random number
(2) Transition Phase. Harris Hawks switch between different predatory behaviors based on the prey’s escape energy, which is calculated as shown in Eq. (29). Where
(3) Exploitation Phase. When the prey’s escape energy

Figure 1: Spatial diagrams of the four strategies in the HHO algorithm
(a) Soft Siege. When
(b) Hard Siege. When
(c) Progressive Rapid Dive Soft Siege. When
(d) Progressive Rapid Dive Hard Siege. When
4.2 Improvement Strategies of the CQ-MOHHO Algorithm
The traditional HHO algorithm performs well in single-objective optimization but struggles in complex multi-objective problems, frequently lacking the ability to balance competing objectives. The Multi-Objective Harris Hawks Optimization (MOHHO) algorithm addresses this, but it may still exhibit local optima due to limited population diversity. In order to enhance performance, this study proposes the CQ-MOHHO algorithm, which incorporates chaotic mapping and quantum optimization strategies.
(1) Chaotic Mapping Improvement Strategy
As a nonlinear dynamic system, chaos mapping offers good randomness and broad coverage of the solution space, helping prevent premature convergence. Effective population initialization is crucial, ensuring a uniform distribution of position vectors and avoiding duplication common in random methods. This study integrates logistic chaotic mapping into the MOHHO algorithm to enhance population initialization, improving the quality of the initial population. Eq. (34) presents the logistic chaotic mapping [31].
The population generated using Logistic chaotic mapping can have its position initialized according to Eq. (35). Here,
(2) Quantum Optimization Improvement Strategy
This study introduces a quantum optimization strategy based on the uncertainty principle in quantum mechanics [32]. Quantum optimization is applied during the MOHHO algorithm’s local search when

Figure 2: Schematic diagram of the quantum optimization strategy for Harris Hawk individuals
In the MOHHO algorithm, when the prey’s escape energy
4.3 Algorithm Steps of the CQ-MOHHO Algorithm
The steps of the improved CQ-MOHHO algorithm are as follows:
Step 1: Generate the initial population using logistic chaotic mapping, where the population dimension is
Step 2: Initialize the external set P to store the dominant solutions. Divide the initial population evenly into population
Step 3: Start the algorithm iteration, evaluate the objective function values of each individual in the population, and update the non-dominated solutions in the external set
Step 4: For each population, if the energy
Step 5: Collaboratively process prey positions from different populations, using the Pareto front to update global positions. The non-dominated solution set is selected based on multi-objective optimization values to update the global optimal solution. The specific steps are as follows:
Step 5-1: Calculate the objective function values for each individual in different populations.
Step 5-2: Construct the Pareto front based on the objective function values and select the non-dominated solution set.
Step 5-3: Update the non-dominated solution set of the current Pareto front into the external set
Step 6: Update the Harris Hawk population, prey escape energy
Step 7: Check whether the termination conditions of the algorithm are met. In this study, two termination conditions are set: (1) the number of iterations reaches the maximum set value (e.g., 100 iterations); (2) the change in the non-dominated solution set in the external archive is less than a preset threshold over multiple consecutive iterations, indicating that the solution set has stabilized. If either condition is satisfied, the algorithm stops and proceeds to Step 8; otherwise, it continues to repeat Steps 4–7.
Step 8: Output the global prey positions and their corresponding non-dominated solution set. Use the non-dominated solution set in the external set
The improved CQ-MOHHO algorithm enhances population diversity during initialization and improves local search. It balances global and local search more effectively, accelerates convergence, and increases the likelihood of finding the global optimal solutions.
4.4 Solving the Emergency Centers SSDM Based on the CQ-MOHHO Algorithm
This study proposes solving the Emergency Centers SSDM based on the improved CQ-MOHHO algorithm, and the framework diagram is shown in Fig. 3. The overall steps for solving the model are as follows:

Figure 3: Framework diagram of the solution method for the SSDM
Step 1: Construct the triangular fuzzy multi-objective SSDM M4-1 for Emergency Centers.
Step 2: Convert the model M4-1 into the precise multi-objective SSDM M4-2.
Step 3: Propose the improved CQ-MOHHO algorithm to solve the Pareto front of the precise multi-objective SSDM M4-2.
Step 4: Balance the three core objectives to select the ideal solution set, in order to determine the final site selection decision plan.
This section takes the site selection of Emergency Centers after an earthquake in City W as a background. The Emergency Centers SSDM is solved, and the performance of the solving algorithm is tested and evaluated.
5.1 Case Background and Experimental Data
After the sudden earthquake in City W, 20 Sites
This study obtained the latitude and longitude information of each candidate Emergency Center and Site using GIS and Google Maps, as shown in Table 2. It is assumed that the distance calculated from the latitudes and longitudes of





5.2 Experimental Environment and Case Study Results
All algorithms were tested using Matlab 2021a on a 64-bit Windows 10 system. Experiments show that the algorithm achieved excellent average results and runtime performance with 100 Pareto front size, 200 population size, and 100 iterations.
This study addresses the multi-objective SSDM using the improved CQ-MOHHO algorithm, generating Pareto front solutions from the case data. Tables 7 and 8 present key results. In Table 7, Best 1, Best 2, and Best 3 represent the optimal solutions for urgency, economic, and transportation distance costs, respectively. The ideal solution has the highest crowding degree on the Pareto front, while the worst solution has the highest crowding degree in the lowest-ranked non-dominated set. Table 8 details the site selection plan for the ideal solution, including selected Emergency Centers, served Sites, and emergency resource distribution. Fig. 4 provides a schematic of the selected Emergency Centers and Sites.



Figure 4: Schematic diagram of the selected centers and corresponding served sites
5.3 Algorithm Comparison and Discussion
To validate the superiority of the CQ-MOHHO algorithm for solving SSDM, experiments were conducted in the same environment as those with the Nondominated Sorting Genetic Algorithm II (NSGA-II) [35], MOHHO [36], and the Multi-Objective Grey Wolf Optimization (MOGWO) [37]. The CQ-MOHHO algorithm enhances the MOHHO by integrating chaotic mapping and quantum behavior strategies, significantly enhancing the balance between global search capability and local refinement. It offers faster convergence and higher accuracy, effectively avoiding local optima, and performs exceptionally well in complex, large-scale multi-objective optimization problems. The algorithm efficiently explores complex search spaces, precisely balances conflicting objectives, and generates diverse, high-quality solutions, providing decision-makers with a broad range of options. In contrast, NSGA-II, a classic genetic algorithm-based approach, is simple and stable, maintaining solution diversity, but it struggles with high-dimensional problems and has longer computation times. The MOHHO algorithm, inspired by Harris hawks’ hunting behavior, exhibits strong global search ability but is prone to local optima and is sensitive to parameters. MOGWO, based on grey wolf hunting, is simple and easy to implement but underperforms in complex multi-objective problems, often getting trapped in local optima and poorly balancing conflicting objectives.
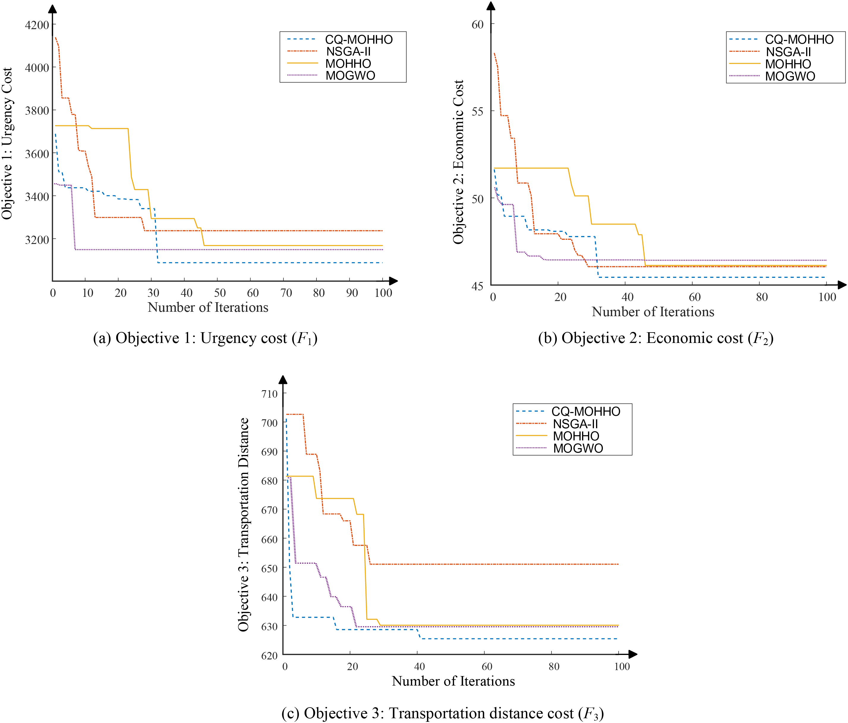
The urgency cost (

Figure 5: Pareto front surfaces obtained by four algorithms

Figure 6: Convergence comparison of the four algorithms
Fig. 5 shows that the CQ-MOHHO algorithm outperforms NSGA-II, MOHHO, and MOGWO in the non-dominated solution set. CQ-MOHHO solutions are closer to the optimal Pareto front, with broader distribution in the objective optimization region and concentration in lower-value regions, indicating stronger global search and higher solution quality. In contrast, other algorithms are confined to higher-value regions. Combined with additional results, CQ-MOHHO generates more and higher-quality Pareto optimal solutions. Fig. 6 further demonstrates CQ-MOHHO’s superior initialization, faster convergence, and better final solution quality, confirming its effectiveness in solving complex multi-objective optimization problems. The experimental results show that CQ-MOHHO outperforms the other three algorithms in optimizing the key objectives
To better evaluate the solution performance of the improved CQ-MOHHO algorithm, this section selects the ZDT series of test functions widely used in multi-objective optimization, including ZDT1, ZDT2, and ZDT3 [38]. These test functions cover various complex types, such as convex, concave, continuous, and discontinuous functions. Generational Distance (GD), Hypervolume (HV), and Inverted Generational Distance (IGD) were chosen as evaluation metrics [39]. A performance comparison was conducted between the improved CQ-MOHHO algorithm and the MOHHO, NSGA-II, and MOGWO algorithms. The test results are shown in Tables 9–11. The Pareto fronts obtained by the four algorithms on the ZDT1, ZDT2, and ZDT3 test functions are illustrated in Fig. 7.




Figure 7: Comparison of Pareto fronts for ZDT1, ZDT2, and ZDT3 functions
As shown in Tables 9–11 and Fig. 7, the CQ-MOHHO algorithm demonstrates superior global search capability, stronger convergence, and higher solution set quality across the GD, HV, and IGD metrics. This fully validates the advantages of CQ-MOHHO in the field of multi-objective optimization. The CQ-MOHHO algorithm exhibits clear superiority across different test functions, particularly in solving multi-objective optimization problems, where it generates solution sets that are closer to the true Pareto front. Additionally, it excels in terms of solution diversity and distribution.
This study proposed an improved Chaotic Quantum Harris Hawks Optimization (CQ-MOHHO) algorithm to address the site selection problem of Emergency Centers under multi-objective and multi-constraint conditions, particularly in uncertain environments. Initially, a fuzzy multi-objective SSDM was developed using triangular fuzzy numbers, which was then transformed into a deterministic model via defuzzification and GMIR theory. Subsequently, the CQ-MOHHO algorithm enhanced global search and convergence performance by incorporating chaotic mapping and quantum optimization strategies. Comparative experiments with NSGA-II, MOHHO, and MOGWO validated CQ-MOHHO’s superiority in generating Pareto optimal solution sets. Moreover, further performance evaluation using ZDT1, ZDT2, and ZDT3 test functions, along with comparisons through GD, HV, and IGD metrics, confirmed CQ-MOHHO’s superior global search capability, faster convergence, and higher solution quality. The results demonstrated that CQ-MOHHO effectively solved complex multi-objective SSDMs, offering strong global exploration and high solution accuracy. Thus, the SSDM and CQ-MOHHO algorithms developed in this study demonstrated significant practical potential, providing an efficient and reliable solution for the site selection of Emergency Centers during major urban emergencies.
Although the CQ-MOHHO algorithm performs excellently in multi-objective site selection problems, it may face challenges related to computational complexity and parameter tuning in real-world applications. To ensure the effective implementation of the algorithm in emergency management, it is recommended that practitioners conduct parameter sensitivity analysis prior to application and adjust the model settings based on actual needs. Future research could incorporate more complex fuzzy numbers, such as interval Pythagorean fuzzy numbers or probabilistic dual hesitant fuzzy numbers, to enhance the model’s ability to handle uncertainty. Additionally, the robustness and scalability of the model should be further explored in more application scenarios, such as logistics and supply chain optimization. Conducting large-scale experiments with real-world data and developing intelligent decision support tools will help enhance the practical value of the algorithm.
Acknowledgement: The authors would like to acknowledge the support provided by the China Aerospace Academy of Systems Science and Engineering. They also thank the anonymous reviewers and journal editors for their valuable insights and feedback.
Funding Statement: The authors received no specific funding for this study.
Author Contributions: The authors confirm contribution to the paper as follows: study conception and design: Yuting Zhu; data collection: Yuting Zhu, Wenyu Zhang; analysis and interpretation of results: Yuting Zhu, Hainan Wang; participated in editing of the manuscript: Haining Wang, Junjie Hou, Meng Wang. All authors reviewed the results and approved the final version of the manuscript.
Availability of Data and Materials: The data is available upon request.
Ethics Approval: Not applicable.
Conflicts of Interest: The authors declare no conflicts of interest to report regarding the present study.
References
1. G. Shen, L. Zhou, X. Xue, and Y. Zhou, “The risk impacts of global natural and technological disasters,” Socioecon Plann. Sci., vol. 88, no. 5552, Aug. 2023, Art. no. 101653. doi: 10.1016/j.seps.2023.101653. [Google Scholar] [CrossRef]
2. M. Aghajani, S. Torabi, and N. Altay, “Resilient relief supply planning using an integrated procurement-warehousing model under supply disruption, OMEGA-Int,” J. Manag. Sci., vol. 118, no. 5, Jul. 2023, Art. no. 102871. doi: 10.1016/j.omega.2023.102871. [Google Scholar] [CrossRef]
3. N. Nickdoost, H. Jalloul, and J. Choi, “An integrated framework for temporary disaster debris management sites selection and debris collection logistics planning using geographic information systems and agent-based modeling,” Int. J. Disaster Risk Reduct., vol. 80, no. 5, Oct. 2022, Art. no. 103215. doi: 10.1016/j.ijdrr.2022.103215. [Google Scholar] [CrossRef]
4. M. Sarikaya, M. Yanalak, and H. Karaman, “Site selection of natural gas emergency response team centers in Istanbul metropolitan area based on GIS and FAHP,” ISPRS Int. J. GEO-Inf., vol. 11, no. 11, Nov. 2022, Art. no. 571. doi: 10.3390/ijgi11110571. [Google Scholar] [CrossRef]
5. R. Zhang, J. Li, and Y. Shang, “Multi-level site selection of mobile emergency logistics considering safety stocks,” Appl. Sci., vol. 13, no. 20, Oct. 2023, Art. no. 11245. doi: 10.3390/app132011245. [Google Scholar] [CrossRef]
6. L. Fei, X. Liu, and C. Zhang, “An evidential linguistic ELECTRE method for selection of emergency shelter sites,” Artif. Intell. Rev., vol. 57, no. 4, Mar. 2024, Art. no. 81. doi: 10.1007/s10462-024-10709-2. [Google Scholar] [CrossRef]
7. J. Kacprzyk, G. Sirbiladze, and G. Tsulaia, “Associated fuzzy probabilities in MADM with interacting attributes: Application in multi-objective facility location selection problem,” Int. J. Inf. Technol. Decis. Mak., vol. 21, no. 4, pp. 1155–1188, Jul. 2022. doi: 10.1142/S0219622022500146. [Google Scholar] [CrossRef]
8. L. Huang, Y. Tan, J. Ye, and X. Guan, “Coordinated location-allocation of cruise ship emergency supplies under public health emergencies,” Electron Res. Arch., vol. 31, no. 4, pp. 1804–1821, Apr. 2023. doi: 10.3934/era.2023093. [Google Scholar] [CrossRef]
9. M. de Veluz et al., “Scenario-based multi-objective location-routing model for pre-disaster planning: A philippine case study,” Sustainability, vol. 15, no. 6, Mar. 2023, Art. no. 4882. doi: 10.3390/su15064882. [Google Scholar] [CrossRef]
10. Y. Hosseini, R. Mohammadi, and T. Yang, “Resource-based seismic resilience optimization of the blocked urban road network in emergency response phase considering uncertainties,” Int. J. Disaster Risk Reduct., vol. 85, no. 12, Feb. 2023, Art. no. 103496. doi: 10.1016/j.ijdrr.2022.103496. [Google Scholar] [CrossRef]
11. W. Zhang and Y. Zhu, “The probabilistic dual hesitant fuzzy multi-attribute decision-making method based on cumulative prospect theory and its application,” Axioms, vol. 12, no. 10, Oct. 2023, Art. no. 925. doi: 10.3390/axioms12100925. [Google Scholar] [CrossRef]
12. Y. Zhu, W. Zhang, J. Hou, and R. Zhang, “The large-scale group consensus multi-attribute decision-making method based on probabilistic dual hesitant fuzzy sets,” Math. Biosci. Eng., vol. 21, no. 3, pp. 3944–3966, Feb. 2024. doi: 10.3934/mbe.2024175. [Google Scholar] [PubMed] [CrossRef]
13. A. Mukhopadhyay et al., “A review of incident prediction, resource allocation, and dispatch models for emergency management,” Accid. Anal. Prev., vol. 165, no. 1, Feb. 2022, Art. no. 106501. doi: 10.1016/j.aap.2021.106501. [Google Scholar] [PubMed] [CrossRef]
14. E. Chappidi, A. Singh, and R. Mallipeddi, “Intelligent optimization algorithms for disruptive anti-covering location problem,” presented at the Distrib. Comput. Intell. Technol., ICDCIT, Bhubaneswar, India, 2023, vol. 13776, pp. 165–180. doi: 10.1007/978-3-031-24848-1_12. [Google Scholar] [CrossRef]
15. M. Shehab et al., “Harris hawks optimization algorithm: Variants and applications,” Arch. Comput. Methods Eng., vol. 29, no. 7, pp. 5579–5603, Nov. 2022. doi: 10.1007/s11831-022-09780-1. [Google Scholar] [CrossRef]
16. A. Anwaar, A. Ashraf, W. Bangyal, and M. Iqbal, “Genetic algorithms: Brief review on genetic algorithms for global optimization problems,” presented at the 2022 Human-Cent. Cognit. Syst., HCCS, Shanghai, China, Dec 17–18, 2022, pp. 80–85. doi: 10.1109/HCCS55241.2022.10090327. [Google Scholar] [CrossRef]
17. A. Chen, H. Tan, and Y. Zhu, “Ant colony optimization algorithm and its application,” presented at the 2nd Int. Conf. Appl. Math. Modell. Intell. Comput. (CAMMIC 2022Mar. 25–27, 2022 doi: 10.1117/12.2639584. [Google Scholar] [CrossRef]
18. C. Zhu, Y. Zhang, X. Pan, Q. Chen, and Q. Fu, “Improved Harris Hawks optimization algorithm based on quantum correction and Nelder-Mead simplex method,” Math. Biosci. Eng., vol. 19, no. 8, pp. 7606–7648, Jun. 2022. doi: 10.3934/mbe.2022358. [Google Scholar] [PubMed] [CrossRef]
19. D. Dhawale, V. Kamboj, and P. Anand, “An improved Chaotic Harris Hawks Optimizer for solving numerical and engineering optimization problems,” Eng. Comput., vol. 39, no. 2, pp. 1183–1228, Apr. 2023. doi: 10.1007/s00366-021-01487-4. [Google Scholar] [CrossRef]
20. A. Shyamal and M. Pal, “Triangular fuzzy matrices,” Iran J. Fuzzy Syst., vol. 4, no. 1, pp. 75–87, Apr. 2007. [Google Scholar]
21. A. Syropoulos, “On triangular multisets and triangular fuzzy multisets,” Mathematics, vol. 10, no. 5, Mar. 2022, Art. no. 726. doi: 10.3390/math10050726. [Google Scholar] [CrossRef]
22. H. Garg, C. Sugapriya, S. Rajeswari, D. Nagarajan, and A. Alburaikan, “A model for returnable container inventory with restoring strategy using the triangular fuzzy numbers,” Soft Comput., vol. 28, no. 4, pp. 2811–2822, Feb. 2024. doi: 10.1007/s00500-023-09539-1. [Google Scholar] [CrossRef]
23. S. Kusumadewi, H. Wahyuningsih, and E. Wahyuni, “Graded mean integration representation and intuitionistic fuzzy weighted arithmetic mean for similarity measures in case-based reasoning,” Int. J. Fuzzy Syst., vol. 26, no. 6, pp. 1802–1826, Apr. 2024. doi: 10.1007/s40815-024-01704-4. [Google Scholar] [CrossRef]
24. B. Kumar, S. Paikray, and H. Dutta, “Cost optimization model for items having fuzzy demand and deterioration with two-warehouse facility under the trade credit financing,” AIMS Math., vol. 5, no. 2, pp. 1603–1620, Mar. 2020. doi: 10.3934/math.2020109. [Google Scholar] [CrossRef]
25. X. Ju et al., “Method for site selection of relief supply warehouses in earthquakes with Ms ≥ 7—a case study of western Yunnan, China,” Nat. Hazards, vol. 116, no. 3, pp. 3495–3520, Apr. 2023. doi: 10.1007/s11069-023-05821-5. [Google Scholar] [CrossRef]
26. A. Heidari, S. Mirjalili, H. Faris, I. Aljarah, M. Mafarja and H. Chen, “Harris Hawks optimization: Algorithm and applications,” Future Gener. Comput. Syst., vol. 97, pp. 849–872, Aug. 2019. doi: 10.1016/j.future.2019.02.028. [Google Scholar] [CrossRef]
27. M. Mao and D. Gui, “Enhanced adaptive-convergence in Harris’ Hawks optimization algorithm,” Artif. Intell. Rev., vol. 57, no. 7, Jun. 2024, Art. no. 164. doi: 10.1007/s10462-024-10802-6. [Google Scholar] [CrossRef]
28. A. Kaveh, P. Rahmani, and A. D. Eslamlou, “An efficient hybrid approach based on Harris Hawks optimization and imperialist competitive algorithm for structural optimization,” Eng. Comput., vol. 38, no. Suppl 2, pp. 1555–1583, Jun, 2022. doi: 10.1007/s00366-020-01258-7. [Google Scholar] [CrossRef]
29. C. W. Qu, W. He, X. G. Peng, and X. N. Peng, “Harris Hawks optimization with information exchange,” Appl. Math. Model., vol. 84, no. 1, pp. 52–75, Aug. 2020. doi: 10.1016/j.apm.2020.03.024. [Google Scholar] [CrossRef]
30. H. L. Yu et al., “Laplace crossover and random replacement strategy boosted Harris Hawks optimization: Performance optimization and analysis,” J. Comput. Des. Eng., vol. 9, no. 5, pp. 1879–1916, Oct. 14, 2022. doi: 10.1093/jcde/qwac085. [Google Scholar] [CrossRef]
31. H. Gezici and H. Livatyalı, “Chaotic Harris hawks optimization algorithm,” J. Comput. Des. Eng., vol. 9, no. 1, pp. 216–245, Feb. 2022. doi: 10.1093/jcde/qwab082. [Google Scholar] [CrossRef]
32. V. Rugveth and K. Khatter, “Sensitivity analysis on gaussian quantum-behaved particle swarm optimization control parameters,” Soft Comput., vol. 27, no. 13, pp. 8759–8774, Jul. 2023. doi: 10.1007/s00500-023-08011-4. [Google Scholar] [CrossRef]
33. O. Klein, “The quantum theory and five-dimensional relativity theory,” Z. Phys., vol. 37, no. 12, pp. 895–906, Jul. 1926. doi: 10.1007/BF01397481. [Google Scholar] [CrossRef]
34. Y. Li and Q. Qian, “Harris Hawks optimization algorithm based on multi group and collaborative quantization,” Control Decis., vol. 39, no. 7, pp. 2169–2176, Apr. 2024. doi: 10.13195/j.kzyjc.2022.2076. [Google Scholar] [CrossRef]
35. L. Zhong, W. Li, K. Gao, L. He, and Y. Zhou, “An improved NSGAII for Integrated container scheduling problems with two transshipment routes,” IEEE Trans. Intell. Transp. Syst., vol. 25, no. 10, pp. 14586–14599, Apr. 2024. doi: 10.1109/TITS.2024.3388468. [Google Scholar] [CrossRef]
36. M. Kou, K. Zhang, W. Zhang, J. Ma, J. Ren and G. Wang, “Application research of combined model based on VMD and MOHHO in precipitable water vapor prediction,” Atmospheric Res., vol. 292, no. 1, Sep. 2023, Art. no. 106841. doi: 10.1016/j.atmosres.2023.106841. [Google Scholar] [CrossRef]
37. A. Torabi, F. Yosefvand, S. Shabanlou, A. Rajabi, and B. Yaghoubi, “Optimization of integrated operation of surface and groundwater resources using multi-objective grey wolf optimizer (MOGWO) algorithm,” Water Resour. Manag., vol. 38, no. 6, pp. 2079–2099, Apr. 2024. doi: 10.1007/s11269-024-03744-9. [Google Scholar] [CrossRef]
38. T. Cao, H. Pham, and V. Truong, “An efficient algorithm for multi-objective structural optimization problems using an improved pbest-based differential evolution algorithm,” Adv. Eng. Softw., vol. 197, no. 4, Nov. 2024, Art. no. 103752. doi: 10.1016/j.advengsoft.2024.103752. [Google Scholar] [CrossRef]
39. M. Noori, R. Sahbudin, A. Sali, and F. Hashim, “Multi-objective multi-exemplar particle swarm optimization algorithm with local awareness,” IEEE Access, vol. 12, pp. 125809–125834, 2024. doi: 10.1109/ACCESS.2024.3426104. [Google Scholar] [CrossRef]
Cite This Article
Copyright © 2025 The Author(s). Published by Tech Science Press.This work is licensed under a Creative Commons Attribution 4.0 International License , which permits unrestricted use, distribution, and reproduction in any medium, provided the original work is properly cited.


Submit a Paper
Propose a Special lssue
View Full Text
Download PDF
Downloads
Citation Tools