Open Access
ARTICLE
Physics-Informed Neural Networks for Bending Analysis of Graphene Origami-Enabled Auxetic Metamaterial Beams Based on Modified Coupled Stress Theory
School of Mathematics and Statistics, Zhengzhou Normal University, Zhengzhou, China
* Corresponding Author: Zuoquan Zhu. Email:
Computers, Materials & Continua 2026, 87(3), 25 https://doi.org/10.32604/cmc.2026.076418
Received 20 November 2025; Accepted 20 January 2026; Issue published 09 April 2026
Abstract
Investigating the deformation behavior of graphene-reinforced composite structures holds significant engineering implications, while the rapid advancement of machine learning has introduced new technical approaches to structural bending analysis. In this study, we investigate the mechanical bending behavior of graphene origami (GOri)-enabled auxetic metamaterial beams using a physics-informed neural network (PINN). GOri-enabled auxetic metamaterials represent an innovative composite system characterized by a negative Poisson’s ratio (NPR) and superior mechanical performance. Here, we propose a composite beam model incorporating the modified coupled stress theory (MCST) and employing the PINN method to solve higher-order bending governing equations. Compared to the analytical solution, the accuracy and effectiveness of the PINN framework as a meshless solver for higher-order partial differential equations are verified. The bending properties of metamaterial beams are studied by considering the mechanical properties and size effect of metamaterials. It was found that the length scale parameters, more graphene platelets, and a higher folding degree have the best reinforcement effect on composite beams. By systematically varying the GOri folding parameters and graphene content, we demonstrate the robustness of the PINN methodology in resolving microscale beam bending phenomena, particularly in capturing complex size-effect interactions.Keywords
Supplementary Material
Supplementary Material FileIn recent years, there has been growing interest in nanotechnology. Nanomaterials and nanostructures are used to manufacture micro-electromechanical and nanoelectromechanical systems, which are widely used in the fields of machinery, aerospace, electronics, and biomedical engineering. Micro-nano scale systems, including biosensors, electrochemical actuators, supercapacitors, nanotubes, and nanoprobes, predominantly use nanorods, nanobeams, nanoplates, and nanoshells as fundamental structural units [1–4]. Subsequently, advanced composites, such as functionally graded materials and graphene-based reinforced composites, have been developed, which have attracted scientists to establish mechanical models for their analysis. Among them, as a typical representative of the gradient structure, the mechanical behavior of mechanical metamaterial composite beams with a negative Poisson’s ratio effect has attracted increasing attention from scholars.
Numerous experiments and theoretical studies have been conducted to effectively analyze and design metamaterial composite structures to characterize the mechanical behavior of the nanostructures. Zhao et al. unveiled the mechanism of a highly tunable negative Poisson’s ratio and developed micromechanical models based on genetic programming for the accelerated prediction of mechanical properties in GOri-based metallic metamaterials [5,6]. They then developed a model for the first time to study the bending [7], buckling, and postbuckling properties [8]. Their findings indicated that graphene origami can significantly influence the buckling and postbuckling behavior of metamaterial composite beams. Karami and Ghayesh [9] investigated the dynamics of auxetic metamaterials using various shear deformation theories. Ezzati et al. [10] and Ebrahimi and Ahari [11] investigated the free vibration behavior and vibration control of a graphene origami auxetic beam. Ebrahimi and Parsi [12] revealed the elastic wave characteristics of functionally graded graphene origami-reinforced metamaterial beams. Recently, several papers have been published on the thermal-mechanical coupling behavior of functionally graded graphene origami-enabled metamaterials [13]. On the other hand, certain experimental studies have proven the significance of the material microstructure and long-range interaction force on the mechanical response of micro-and nanostructured components [14–16]. Classical continuum theory cannot describe these small-scale effects well, but is widely used in macro-level structural modeling. Among the different modeling possibilities, one feasible method is to provide the so-called nonlocal continuum theory by directly modifying the classical theory. Over the years, researchers have proposed several non-local theories. The theories of stress gradient, strain gradient, and even integral type [17–20] provide some classic examples in which the small-scale effect is considered by introducing one or more internal length scale parameters. When structural dimensions are at the micrometer/nanometer scale, microscopic effects become particularly significant, especially for the study of size effects in graphene origami-enhanced microstructures.
In addition, advanced computational methods have significantly expanded the analytical capabilities of metamaterial composite systems. Neural networks, particularly deep-learning frameworks, have emerged as powerful tools in engineering disciplines such as materials science [21], solid mechanics [22], and fluid mechanics [23]. In the above research, the data-driven method was mainly used to minimize the error norm between network prediction and real data (training data) to train the model parameters [24]. However, their reliance on empirical correlations often limits their physical interpretability, and large-scale datasets are required for reliable predictions. To address these limitations, PINNs have gained traction by integrating governing differential equations into the learning process [25]. This framework introduces loss functions that enforce boundary conditions and conservation laws, thereby enabling the extraction of physics-compliant solutions without exhaustive data requirements. PINNs have been successfully applied to solve complex partial differential equations in fluid dynamics (e.g., Navier-Stokes equation [26]), phase transition phenomena (Cahn-Hilliard and Allen-Cahn equation [27]), and heat transfer processes [28]. In the field of solid mechanics, PINNs have demonstrated potential for modeling mechanical behaviors. For instance, Xue et al. [29] incorporated two loss functions, mass transfer and stress field, and used them to numerically obtain the solution of diffusion stress in an elastic sphere. Fallah and Aghdam [30] applied PINNs to study the bending and free vibration characteristics of three-dimensional functionally graded porous beams. Kianian et al. [31] extended the PINN approach to model the static bending response of micro/nanoelectromechanical systems. Moreover, Bazmara et al. [32] proposed an NN framework based on physical information to predict the nonlinear buckling behavior of 3D functionally graded (FG) porous beams on elastic foundations. These studies highlight PINN’s ability to handle higher-order differential equations and achieve close agreement with the numerical solutions. However, PINN is rarely used to solve the mechanical behavior of graphene origami composite beams, considering the size effect.
The key contributions of this work are as follows: On the one hand, a large body of scholarly work has employed PINN to investigate the bending behavior of functionally graded material (FGM) nanobeams and nanoplates. These studies typically rely on small-scale theories, such as the strain gradient theory and nonlocal elasticity theory, yet their research focus remains confined to traditional functionally graded materials rather than mechanical metamaterials. However, some scholars have applied PINN to analyze the bending or buckling responses [33] of origami metamaterial composite beams/plates; the critical factor of the size effect has been overlooked in their investigations. Against this backdrop, this study addresses the bending problem of beams subjected to the combined influence of the size effect and metamaterial characteristics. Since the differential equations incorporate physical information, only the loss associated with boundary conditions needs to be considered during model training, eliminating the need for mesh partitioning and effectively improving computational efficiency. By employing both numerical methods and mesh-free PINN methods for parallel solution, this study aims to contribute to the advancement of research in this field.
In this study, a physics-informed neural network was used to analyze the bending behavior of graphene origami-reinforced metamaterial beams. The governing equation, a fourth-order differential equation with variable coefficients, was combined with the boundary conditions formulated using Hamilton’s principle. A deep feedforward neural network is constructed to approximate the beam bending deflection. Its parameters are optimized by minimizing a composite loss function that forces both the governing equations and boundary constraints. To validate the proposed approach, PINN predictions were compared against available analytical solutions. The convergence and accuracy of the PINN in predicting deflections under different boundary conditions were studied. Then, the influence of the graphene origami content, distribution, and size parameter on the deflection of graphene origami-reinforced metamaterial beams is investigated.
2.1 Effective Material Properties
Consider a functionally graded graphene origami/Sn (GOri/Sn) composite microbeam with a rectangular cross-section. The microbeam had a length

Figure 1: (a) The geometry and cross-section of the GOri/Sn composite beam. (b) Schematic of PINN framework for beam bending analysis.
The elastic modulus (
The coefficients for material (
where
With the temperature
At the same time, the H coverage
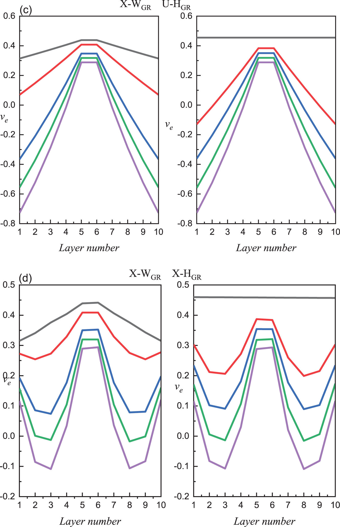
Taking the four distribution scenarios as an example, the effective Poisson’s ratio

Figure 2: The variation of Poisson’s ratio for GOri/Sn composite beam for different composite patterns: (a)
2.2 Modified Couple Stress Theory
Based on the modified coupled stress theory [37], the strain energy
where
where
In this study, the Euler-Bernoulli beam theory was utilized to model the beam. Consequently, the displacement field can be expressed as
where
The tensors associated with Eqs. (6) and (7) can be written as
Substituting Eq. (13) into Eq. (6), the strain energy
By employing the stress tensor from Eq. (6) and taking the variation in the strain energy, we obtain
in which
By disregarding the body force and body couple, the work
Substitute Eqs. (13) and (15) into Hamilton’s principle and setting the resulting expression to zero, that is,
The governing equations of motion can be derived as [38]
In addition, we can define the equivalent stiffness as
3 Physics-Informed Neural Networks Framework
This section employs a general PINN model to solve the bending Eq. (18). PINNs, a specialized class of artificial neural networks, are used to obtain an approximate solution of the governing differential equations. To solve Eq. (18), a neural network is constructed with the spatial variable x as its input to approximate the solution. Within the PINN framework, a feedforward neural network (FNN) [39] is commonly adopted as the neural network architecture [40,41] due to its strong function approximation capability and structural simplicity. An illustration of the FNN is shown in Fig. 1. Thus, the approximate solution can be written as
where
where
The loss function endowed with physical constraints is a crucial element in PINNs. It facilitates the training of neural networks in accordance with the physical laws. Within the current PINN-based computational mechanics framework, two main types of loss functions are commonly employed: the allocation loss function and the energy-based loss function. In the allocation loss function, the residuals of the equilibrium equation and boundary conditions were compelled to be zero at each sample point. In this study, an allocation loss function was adopted to formulate the loss function. In this approach, the mean-square error is used to define the loss function:
where
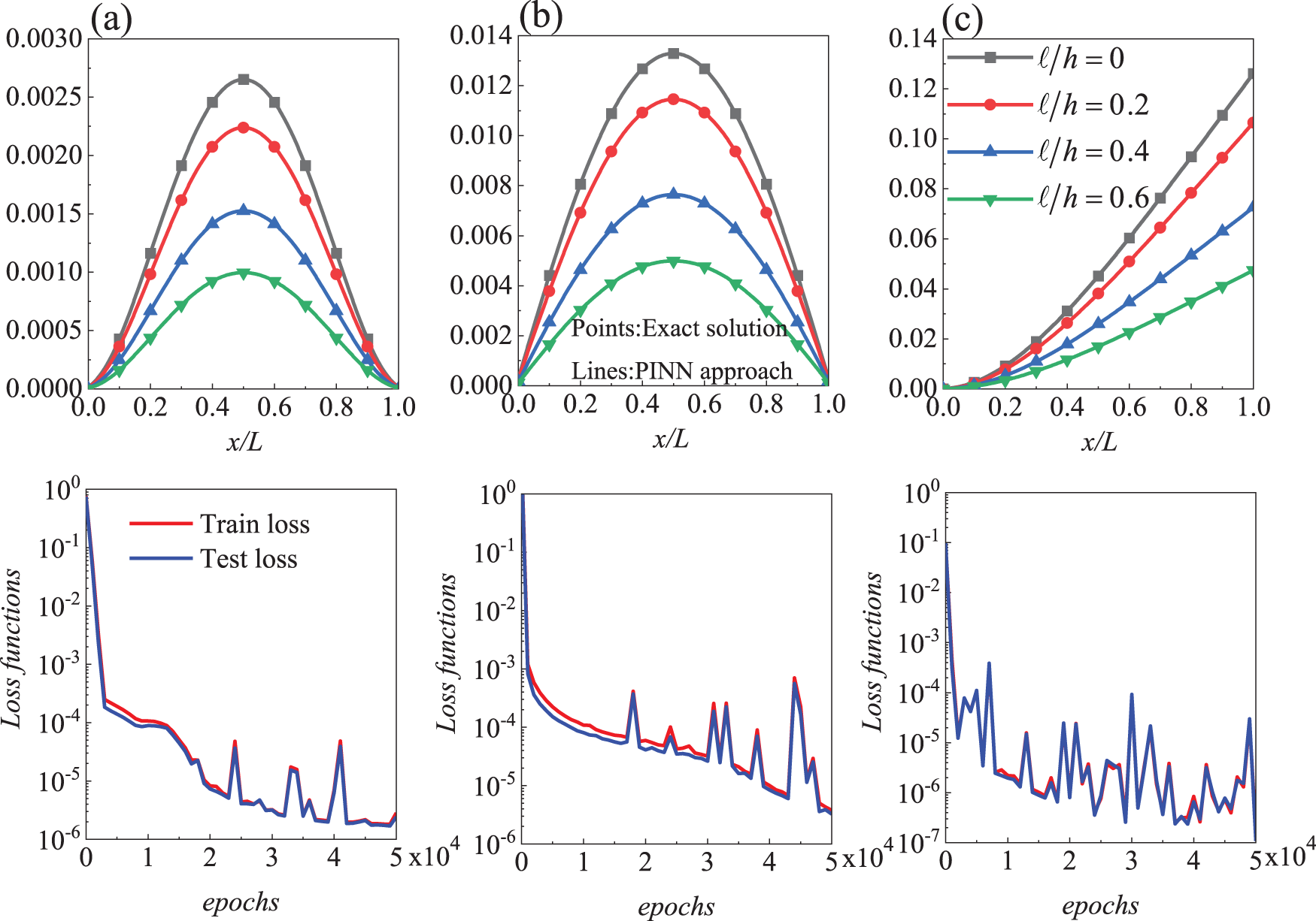
The developed physics-informed neural network was used for numerical calculations. In addition, to verify the reliability of the PINN approximate solution, the numerical results obtained based on finite element and analytical expressions are also presented and used as reference numerical solutions, in which the focus of the analysis is on the bending behavior of GOri/Sn metamaterial microbeams. In this study, all tasks were trained using an NVIDIA Titan RTX GPU. As depicted in Fig. S1 (Supporting Information), we trained three different neural network architectures with varying numbers of hidden layers. Based on the training speed, convergence curve volatility, and forecasting performance of each neural network, we selected a three-layer network with 40 nodes as the architecture for this study. As shown by the error curve in Fig. S2 (Supporting Information), compared to other adaptive stochastic gradient descent methods such as stochastic gradient descent (SGD) and root mean square propagation (RMSPro), the Adam algorithm demonstrates superior performance in model optimization. It enables faster computation and convergence, making it an ideal optimization algorithm for neural network training. Additionally, the Adam optimization scheme [45] is prominent, extensively applied, and highly adaptable within the PINN methodology. In this study, an Adam optimizer with an initial learning rate of 10−4 is used to train the deep neural network (DNN). Fig. S3 (Supporting Information) shows the variation in loss function values during model training under different activation functions. When using rectified linear unit (ReLU) as the activation function, the loss decreases more slowly, ultimately leading to underfitting in the final training results. When training models with tanh and Sigmoid as activation functions, the loss function converges more rapidly. Furthermore, upon convergence, the loss value of the tanh model is lower than that of the Sigmoid model. Thus, the hyperbolic tangent (tanh) function was used as the activation function within the FNNs [46]. In the workflow described in this paper, 200 sample points within the domain and 100 boundary sample points were generated using the Latin hypercube sampling (LHS) method. The maximum training iterations were set to 50,000, and parameters were initialized using the Glorot normal distribution initializer. Geometric parameters of pristine graphene:
To check the accuracy of the numerical calculation results of the analytical method, considering the thickness of the homogeneous microbeam

Figure 3: Non-dimensional deflection of micro-beam and loss function value of (a) C-C, (b) S-S and (c) C-F beams under uniform distributed load (
Fig. 3 shows the nondimensional deflection of a homogeneous microbeam with three boundary conditions: simply supported at both ends, fixed at both ends, and a cantilever beam, along with the values of the loss function. The PINN prediction under the three boundary conditions is consistent with the exact solution. In addition, after 10,000 iterations, the loss function values in all three cases quickly decreased to less than 10–4. This indicates that the network converged to the final solution with a high degree of accuracy.
To investigate the validity of the developed PINN approach, the present results are compared with those obtained by Park and Gao [48] based on the couple stress theory shown in Fig. 4. The figure clearly demonstrates excellent agreement between the results derived from the PINN approach and those reported in the literature.

Figure 4: Comparing the present results with the work of Park and Gao [48] in variation of dimensionless deflection of beam under C–F boundary conditions with changes in beam thickness.
A comprehensive parameter analysis was carried out through parameter research based on the PINN approach. The bending characteristics of composite beams with different porosities, slenderness ratios, and boundary conditions were studied.
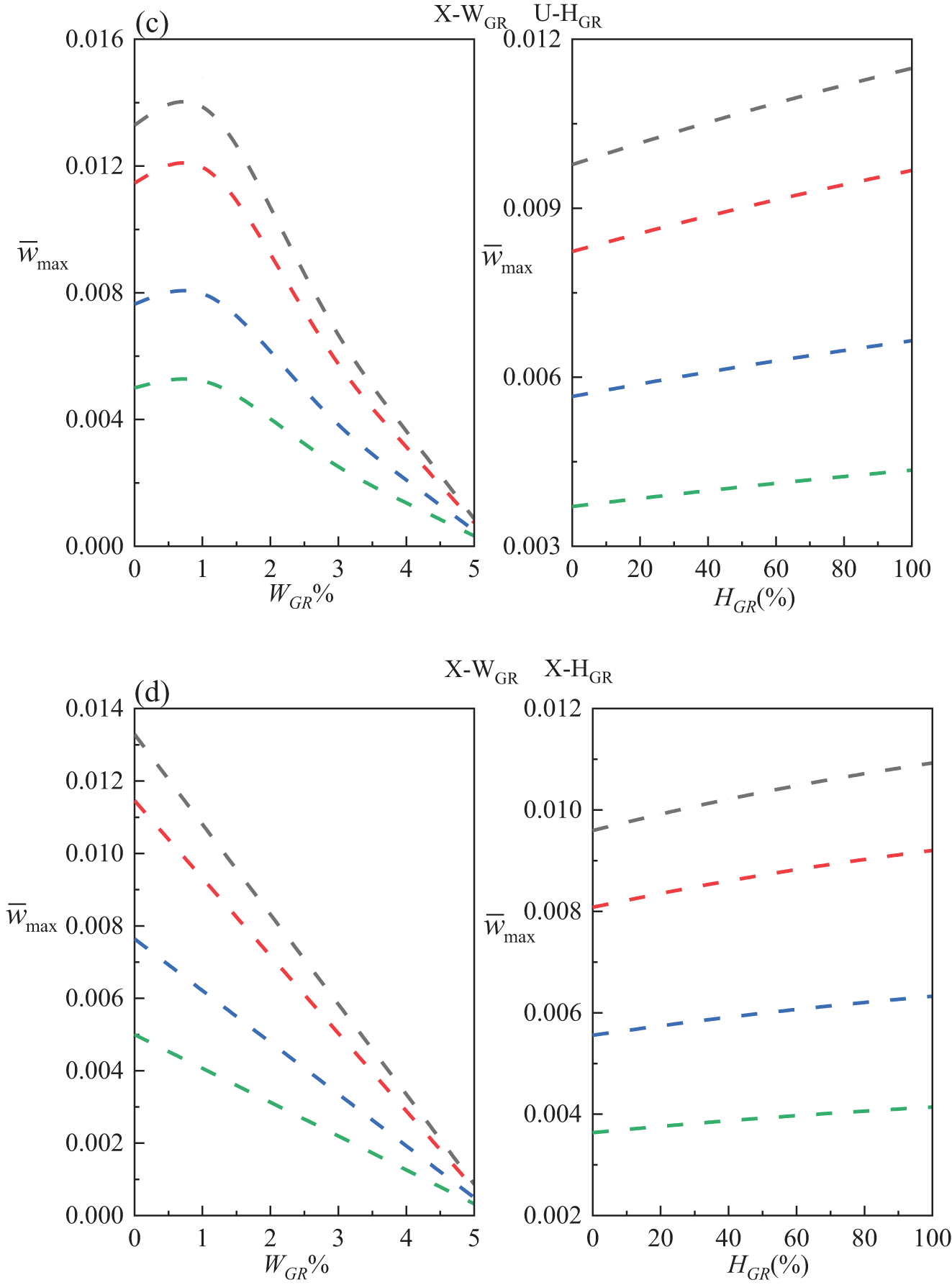
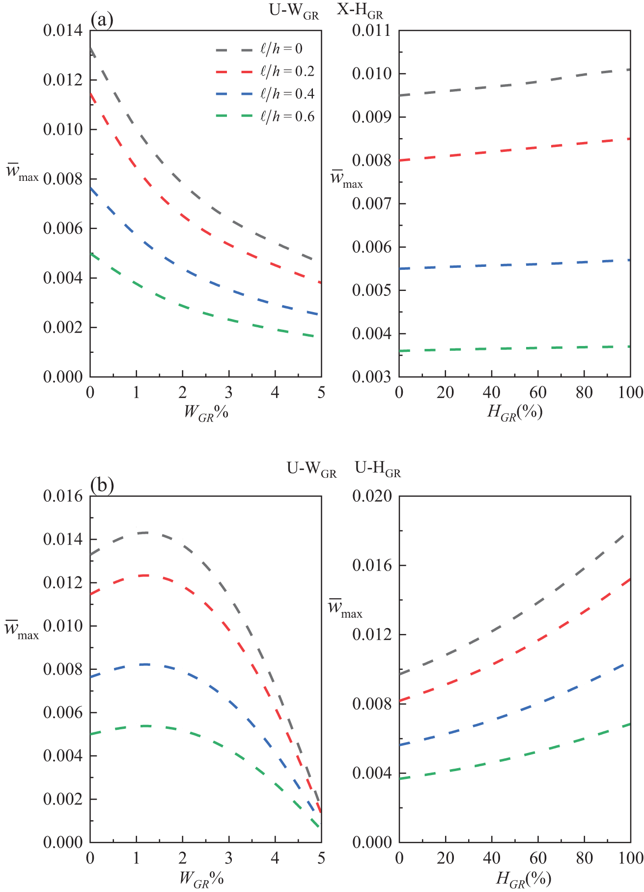
To provide further insight into the outputs of the PINN approach, Fig. 5 describes how the maximum deflection of the graphene origami composite beam is affected by the scale parameters, graphene origami content, and folding degree (at this time, the folding degree of graphene is 50%) under a uniformly distributed load and fixed boundary at both ends. It can be observed that the dimensionless maximum deflection decreased with increasing graphene content. This is because when the graphene content increased, the equivalent stiffness of the GOri/Sn composites increased, and they exhibited better bending performance. However, with an increase in the folding degree of graphene (the mass fraction of graphene is 2.5 wt%), the equivalent elastic modulus of the composite beam decreases and exhibits the characteristics of metamaterials [49,50], and it is observed that the maximum deflection increases slightly. Considering the size effect, the increase in graphene content reduced the maximum deflection by 61.5% (

Figure 5: Dimensionless maximum deflection with C-C boundary conditions vs. GOri content and folding degree for different composite patterns (a)
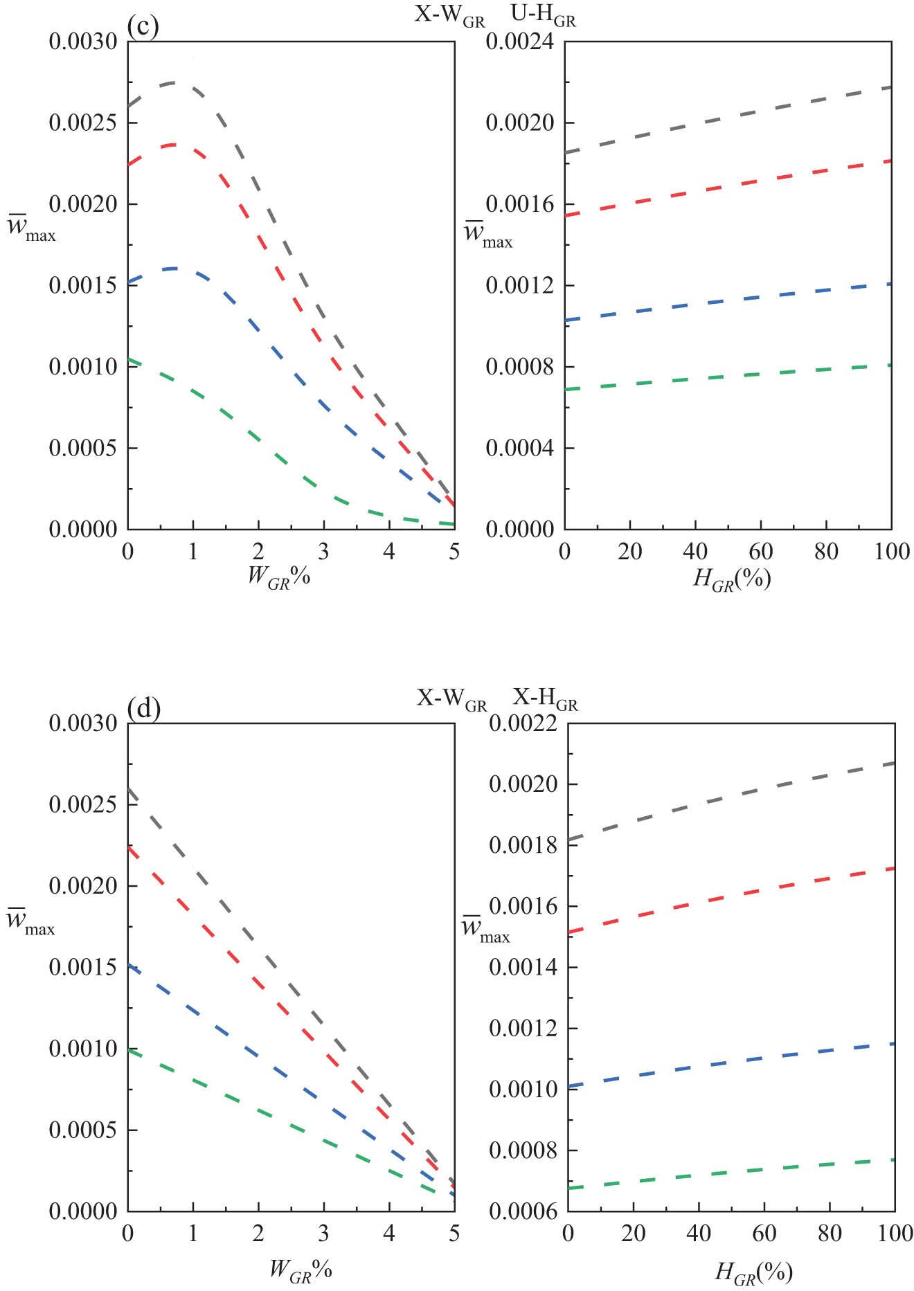
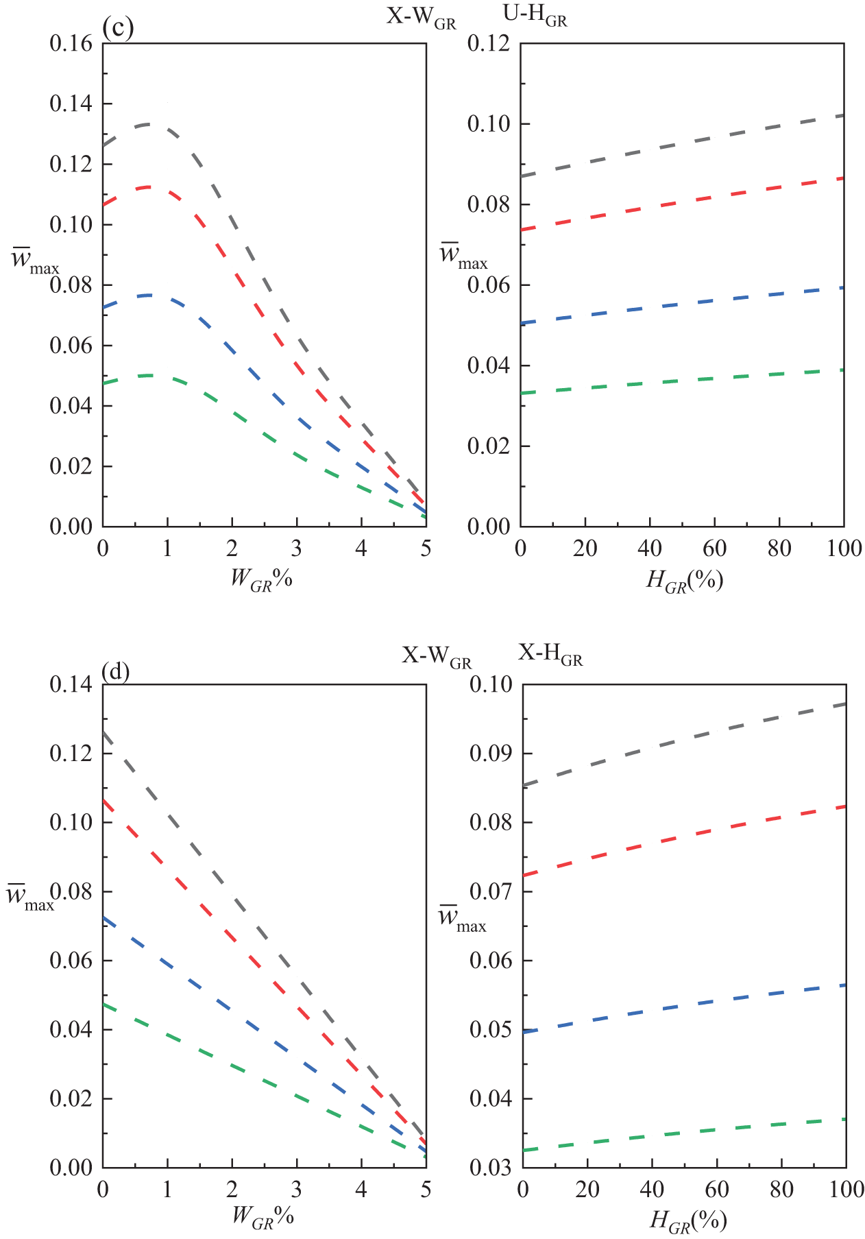
Fig. 6 shows the influence of the scale parameters, graphene origami content, and folding degree on the maximum deflection of the graphene origami composite beam under a uniformly distributed load and simply supported boundary conditions at both ends (at this time, the folding degree of graphene is 50%), and a conclusion similar to that in Fig. 5 can be obtained. Increasing the graphene origami content enhances the effective stiffness, while increasing the folding degree reduces the effective stiffness of the composite beam. In addition, considering the size effect, an increase in graphene content will lead to a maximum deflection reduction of 64.3% (

Figure 6: Dimensionless maximum deflection with S-S boundary conditions vs. GOri content and folding degree for different composite patterns (a)
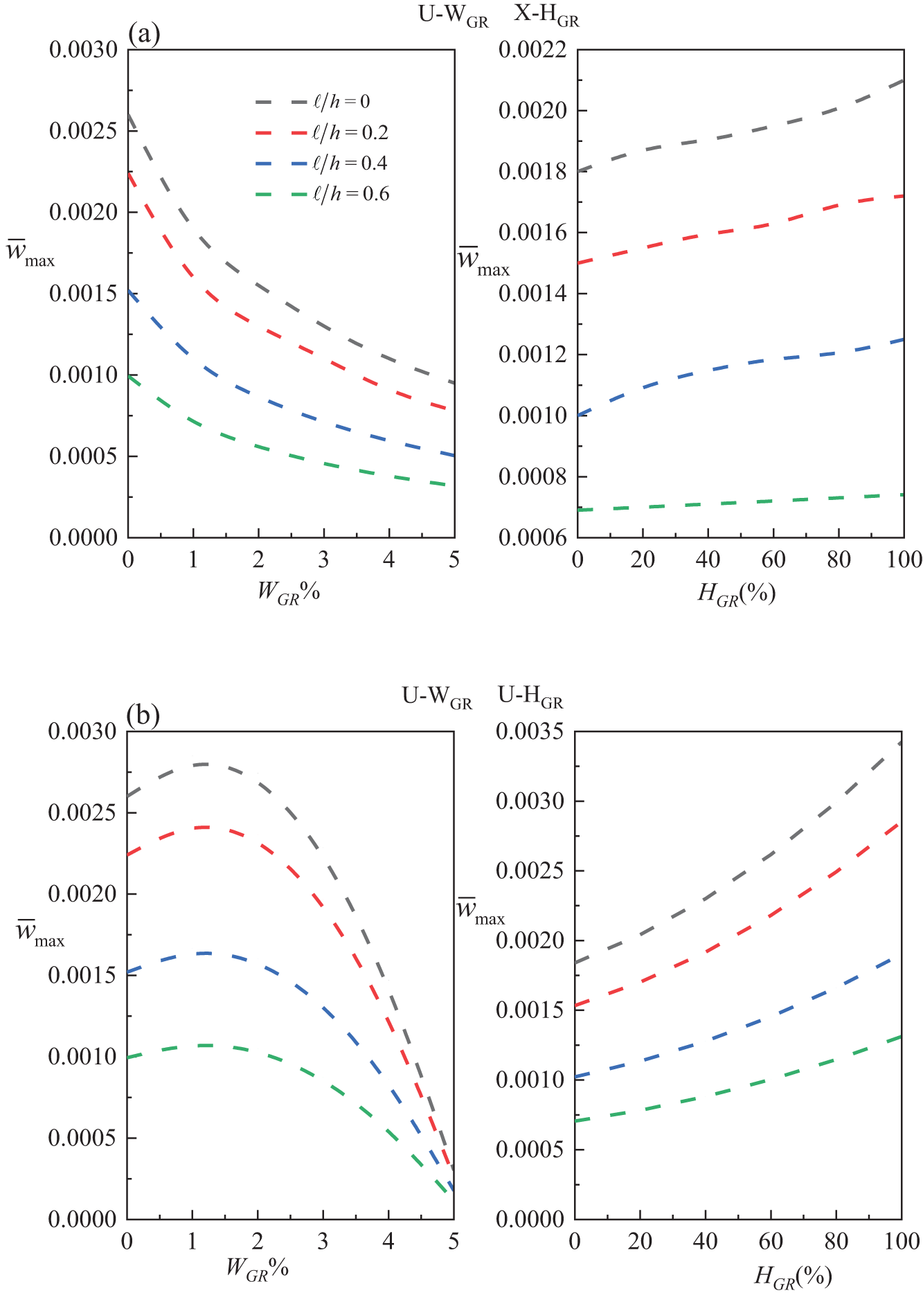
Fig. 7 describes the influence of scale parameters, graphene origami content, and folding degree on the maximum deflection of the graphene origami composite beam under the condition of C-F boundary conditions. We observe that an increase in graphene content leads to an increase in effective stiffness, thereby reducing the maximum bending deflection. Simultaneously, the degree of graphene folding weakens the bending performance. Based on the MCST, the maximum deflection decreases by 60% (

Figure 7: Dimensionless maximum deflection with C-F boundary conditions vs. GOri content and folding degree for different composite patterns (a)
From Figs. 5–7, we can obtain the following results regarding the pattern distribution under three boundary conditions. In the H coverage with an X-type distribution, increasing the GOri content reduces the dimensionless deflection. In contrast, for H coverage with a U-type distribution, increasing the GOri content causes the dimensionless deflection to first increase and then decrease. Additionally, as shown in the Figs. 5 and 7, with an increase in the graphene folding degree, the dimensionless maximum bending deflection occurs, which is attributed to the reduction in Young’s modulus and the emergence of a negative Poisson’s ratio. Furthermore, the results indicate that among the tested configurations, the
Finally, to further reveal the mechanism of graphene origami, we determined the influence of the slenderness ratio on the static bending behavior of graphene origami metamaterial and homogeneous beams, as shown in Fig. 8. In this case, we do not consider the size effect. As expected, increasing the slenderness ratio led to greater bending deformation. When the composite beam is made of metamaterials, compared to the pure Sn beam, a smaller deflection can be obtained; that is, the stability of the metamaterial beam is better.

Figure 8: Effect of slenderness ratio on the dimensionless maximum deflection of the metamaterial beams and homogeneous beam with three boundaries (
It is worth noting that the PINN approximation method adopted in this study is suitable for beams with various boundary and load conditions, although it is not described in detail here for brevity. Among the three boundary conditions (C-C, C-F, S-S), the deflection of the C-F beam was the largest and that of the C-C beam was the smallest. Because the clamped constraint is much stiffer than the S-S and C-F constraints. The addition of graphene origami affected the mechanical behavior of the composite beams. Our results demonstrate that the proposed GOri/Sn metamaterial beam exhibits enhanced bending performance in comparison with a pure metal beam.
Inspired by deep learning technology, we propose a physically constrained deep learning method to solve the bending problem of graphene origami-reinforced composite microbeams. Bending control equations and boundary conditions are embedded into the loss function of the network as physical information constraints, which can reflect the complex mechanical behavior and ensure the physical rationality of the identification results.
Through an example of composite microbeam bending under a uniformly distributed load, the accuracy of PINNs and traditional analytical solution methods in the calculation results is compared. In addition, a numerical example of the influence of the graphene origami content and the folding degree of the composite beam on the bending behavior under the size effect verifies the possibility of using a small amount of training data to accurately predict the mechanical behavior in different calculation domains in PINNs. It is worth noting that PINNs are still a promising research field in calculation methods and are excellent candidates for solving inverse and other mechanical problems. For the inverse problem, the traditional forward finite element method is difficult to deal with and usually requires additional optimization algorithms, such as the genetic algorithm and the gradient descent method. In the future, we plan to conduct related research on inverse problems.
Acknowledgement: Not applicable.
Funding Statement: This work was supported by the Natural Science Foundation of Henan (252300420935), Young Backbone Teacher Training Program of Zhengzhou Normal University (QNGG-232300), Zhengzhou Normal University Undergraduate Innovation and Entrepreneurship Training Program Project (DCY2024011), and Scientific Research Starting Foundation of Zhengzhou Normal University (2021-702442).
Author Contributions: Zuoquan Zhu: writing—review and editing, Writing—original draft, visualization, project administration, funding acquisition. Menghan Wang: formal analysis and data curation. Xinyu Li: validation, formal analysis and data curation. Mengxin Zhao: validation, formal analysis. All authors reviewed and approved the final version of the manuscript.
Availability of Data and Materials: Data will be made available on request.
Ethics Approval: Not applicable.
Conflicts of Interest: The authors declare no conflicts of interest.
Supplementary Materials: The supplementary material is available online at https://www.techscience.com/doi/10.32604/cmc.2026.076418/s1.
References
1. Ruocco E, Reddy JN. A closed-form solution for accurate stress analysis of functionally graded Reddy beams. Compos Struct. 2023;307(5):116676. doi:10.1016/j.compstruct.2023.116676. [Google Scholar] [CrossRef]
2. Kim J, Żur KK, Reddy JN. Bending, free vibration, and buckling of modified couples stress-based functionally graded porous micro-plates. Compos Struct. 2019;209(12):879–88. doi:10.1016/j.compstruct.2018.11.023. [Google Scholar] [CrossRef]
3. Shen H-S, Xiang Y, Reddy JN. Effect of negative poisson’s ratio on the post-buckling behavior of FG-GRMMC laminated plates in thermal environments. Compos Struct. 2020;253(3):112731. doi:10.1016/j.compstruct.2020.112731. [Google Scholar] [CrossRef]
4. Lu L, Wang S, Li M, Guo X. Free vibration and dynamic stability of functionally graded composite microtubes reinforced with graphene platelets. Compos Struct. 2021;272(12):114231. doi:10.1016/j.compstruct.2021.114231. [Google Scholar] [CrossRef]
5. Zhao S, Zhang Y, Zhang Y, Yang J, Kitipornchai S. Graphene origami-enabled auxetic metallic metamaterials: an atomistic insight. Int J Mech Sci. 2021;212:106814. doi:10.1016/j.ijmecsci.2021.106814. [Google Scholar] [CrossRef]
6. Zhao S, Zhang Y, Zhang Y, Zhang W, Yang J, Kitipornchai S. Genetic programming-assisted micromechanical models of graphene origami-enabled metal metamaterials. Acta Mater. 2022;228:117791. doi:10.1016/j.actamat.2022.117791. [Google Scholar] [CrossRef]
7. Zhao S, Zhang Y, Wu H, Zhang Y, Yang J, Kitipornchai S. Tunable nonlinear bending behaviors of functionally graded graphene origami enabled auxetic metamaterial beams. Compos Struct. 2022;301(9):116222. doi:10.1016/j.compstruct.2022.116222. [Google Scholar] [CrossRef]
8. Zhao S, Zhang Y, Wu H, Zhang Y, Yang J. Functionally graded graphene origami-enabled auxetic metamaterial beams with tunable buckling and postbuckling resistance. Eng Struct. 2022;268(37):114763. doi:10.1016/j.engstruct.2022.114763. [Google Scholar] [CrossRef]
9. Karami B, Ghayesh MH. Dynamics of graphene origami-enabled auxetic metamaterial beams via various shear deformation theories. Int J Eng Sci. 2024;203:104123. doi:10.1016/j.ijengsci.2024.104123. [Google Scholar] [CrossRef]
10. Ezzati H, Pashalou S, Rastgoo A, Ebrahimi F. Vibration analysis of multilayer graphene origami-enabled metamaterial plates. Acta Mech. 2024;235(12):7623–40. doi:10.1007/s00707-024-04117-4. [Google Scholar] [CrossRef]
11. Ebrahimi F, Ahari MF. Vibration control of graphene-origami-enabled meta-material beams with magnetostrictive coatings under temperature gradient. Acta Mech. 2024;235(4):2193–209. doi:10.1007/s00707-023-03823-9. [Google Scholar] [CrossRef]
12. Ebrahimi F, Parsi M. Wave propagation analysis of functionally graded graphene origami-enabled auxetic metamaterial beams resting on an elastic foundation. Acta Mech. 2023;234:6169–90. doi:10.1007/s00707-023-03705-0. [Google Scholar] [CrossRef]
13. Lv Y, Zhang J, Wu J, Li L. Mechanical and thermal postbuckling of functionally graded graphene origami-enabled auxetic metamaterials plates. Eng Struct. 2024;298(1–2):117043. doi:10.1016/j.engstruct.2023.117043. [Google Scholar] [CrossRef]
14. Lei J, He Y, Guo S, Li Z, Liu D. Size-dependent vibration of nickel cantilever microbeams: experiment and gradient elasticity. AIP Adv. 2016;6(10):105202. doi:10.1063/1.4964660. [Google Scholar] [CrossRef]
15. Fleck NA, Muller GM, Ashby MF, Hutchinson JW. Strain gradient plasticity: theory and experiment. Acta Metallurgica Mater. 1994;42(2):475–87. doi:10.1016/0956-7151(94)90502-9. [Google Scholar] [CrossRef]
16. Choi J-H, Kim H, Kim J-Y, Lim K-H, Lee B-C, Sim G-D. Micro-cantilever bending tests for understanding size effect in gradient elasticity. Mater Des. 2022;214(12):110398. doi:10.1016/j.matdes.2022.110398. [Google Scholar] [CrossRef]
17. She G-L, Yuan F-G, Ren Y-R, Xiao W-S. On buckling and postbuckling behavior of nanotubes. Int J Eng Sci. 2017;121(1):130–42. doi:10.1016/j.ijengsci.2017.09.005. [Google Scholar] [CrossRef]
18. Barretta R, Fabbrocino F, Luciano R, Sciarra FMD. Closed-form solutions in stress-driven two-phase integral elasticity for bending of functionally graded nano-beams. Physica E Low Dimens Syst Nanostruct. 2018;97:13–30. doi:10.1016/j.physe.2017.09.026. [Google Scholar] [CrossRef]
19. Zhang P, Qing H. A bi-Helmholtz type of two-phase nonlocal integral model for buckling of Bernoulli-Euler beams under non-uniform temperature. J Therm Stresses. 2021;44:1053–67. doi:10.1080/01495739.2021.1955060. [Google Scholar] [CrossRef]
20. Reddy JN. Nonlocal theories for bending, buckling and vibration of beams. Int J Eng Sci. 2007;45:288–307. doi:10.1016/j.ijengsci.2007.04.004. [Google Scholar] [CrossRef]
21. Brunton SL, Kutz JN. Methods for data-driven multiscale model discovery for materials. J Phys Mater. 2019;2(4):044002. doi:10.1088/2515-7639/ab291e. [Google Scholar] [CrossRef]
22. Bai J, Rabczuk T, Gupta A, Alzubaidi L, Gu Y. A physics-informed neural network technique based on a modified loss function for computational 2D and 3D solid mechanics. Comput Mech. 2023;71(3):543–62. doi:10.1007/s00466-022-02252-0. [Google Scholar] [CrossRef]
23. Tracey BD, Duraisamy K, Alonso JJ. A machine learning strategy to assist turbulence model development. In: 53rd AIAA Aerospace Sciences Meeting; 2015 Jan 5–9; Kissimmee, FL, USA. [Google Scholar]
24. Yuan L, Ni Y-Q, Deng X-Y, Hao S. A-PINN: auxiliary physics informed neural networks for forward and inverse problems of nonlinear integro-differential equations. J Comput Phys. 2022;462:2022–111260. doi:10.1016/j.jcp.2022.111260. [Google Scholar] [CrossRef]
25. Raissi M, Perdikaris P, Karniadakis GE. Physics-informed neural networks: a deep learning framework for solving forward and inverse problems involving nonlinear partial differential equations. J Comput Phys. 2019;378:686–707. doi:10.1016/j.jcp.2018.10.045. [Google Scholar] [CrossRef]
26. Jin X, Cai S, Li H, Karniadakis GE. NSFnets (Navier-Stokes flow netsphysics-informed neural networks for the incompressible Navier-Stokes equations. J Comput Phys. 2021;426:109951. doi:10.1016/j.jcp.2020.109951. [Google Scholar] [CrossRef]
27. Li W, Fang R, Jiao J, Vassilakis GN, Zhu J. Tutorials: physics-informed machine learning methods of computing 1D phase-field models. APL Mach Learn. 2024;2(3):031101. doi:10.1063/5.0205159. [Google Scholar] [CrossRef]
28. Cai S, Wang Z, Wang S, Perdikaris P, Karniadakis GE. Physics-informed neural networks for heat transfer problems. J Heat Transf. 2021;143(6):060801. doi:10.1115/1.4050542. [Google Scholar] [CrossRef]
29. Xue Y, Li Y, Zhang K, Yang F. A physics-inspired neural network to solve partial differential equations—application in diffusion-induced stress. Phys Chem Chem Phys. 2022;24(13):7937–49. doi:10.1039/D1CP04893G. [Google Scholar] [PubMed] [CrossRef]
30. Fallah A, Aghdam MM. Physics-informed neural network for bending and free vibration analysis of three-dimensional functionally graded porous beam resting on elastic foundation. Eng Comput. 2024;40(1):437–54. doi:10.1007/s00366-023-01799-7. [Google Scholar] [CrossRef]
31. Kianian O, Sarrami S, Movahedian B, Azhari M. PINN-based forward and inverse bending analysis of nanobeams on a three-parameter nonlinear elastic foundation including hardening and softening effect using nonlocal elasticity theory. Eng Comput. 2024;41(1):71–97. doi:10.1007/s00366-024-01985-1. [Google Scholar] [CrossRef]
32. Bazmara M, Mianroodi M, Silani M. Application of physics-informed neural networks for nonlinear buckling analysis of beams. Acta Mech Sin. 2023;39(6):422438. doi:10.1007/s10409-023-22438-x. [Google Scholar] [CrossRef]
33. Shi P, Wang Z, Hoang VNV, Zhao W, Xie H, Kiran R, et al. Analytical and neural network-based approaches for mechanical postbuckling analysis of simply-supported functionally graded graphene origami-enabled auxetic metamaterial plates. Thin-Walled Struct. 2025;216:113606. doi:10.1016/j.tws.2025.113606. [Google Scholar] [CrossRef]
34. Mirsabetnazar A, Ansari R, Ershadi Zargar M, Rouhi H. Annular sector plates made of FG graphene origami-enabled auxetic metamaterial under bending and buckling loading: a VDQ-based approach. Mater Today Commun. 2024;41:110629. doi:10.1016/j.mtcomm.2024.110629. [Google Scholar] [CrossRef]
35. Mirsabetnazar A, Ansari R, Ershadi Zargar M, Rouhi H. Bending, buckling and free vibration analysis of functionally graded graphene origami-enabled auxetic metamaterial beams based on the VDQ method. J Braz Soc Mech Sci Eng. 2024;46(12):726. doi:10.1007/s40430-024-05298-8. [Google Scholar] [CrossRef]
36. Mirsabetnazar A, Ansari R, Ershadi MZ, Rouhi H. Tunable bending and buckling behaviors of circular plates made of FG graphene origami-enabled auxetic metamaterials. Int J Struct Stab Dyn. 2024;25(16):2550168. doi:10.1142/S0219455425501688. [Google Scholar] [CrossRef]
37. Yang F, Chong ACM, Lam DCC, Tong P. Couple stress based strain gradient theory for elasticity. Int J Solids Struct. 2002;39(10):2731–43. doi:10.1016/S0020-7683(02)00152-X. [Google Scholar] [CrossRef]
38. Jena SK, Chakraverty S, Mahesh V, Harursampath D. Application of Haar wavelet discretization and differential quadrature methods for free vibration of functionally graded micro-beam with porosity using modified couple stress theory. Eng Anal Bound Elem. 2022;140(8):167–85. doi:10.1016/j.enganabound.2022.04.009. [Google Scholar] [CrossRef]
39. Schmidhuber J. Deep learning in neural networks: an overview. Neural Netw. 2015;61(3):85–117. doi:10.1016/j.neunet.2014.09.003. [Google Scholar] [PubMed] [CrossRef]
40. Li W, Bazant MZ, Zhu J. A physics-guided neural network framework for elastic plates: comparison of governing equations-based and energy-based approaches. Comput Methods Appl Mech Eng. 2021;383(34):113933. doi:10.1016/j.cma.2021.113933. [Google Scholar] [CrossRef]
41. Guo H, Zhuang X, Rabczuk T. A deep collocation method for the bending analysis of kirchhoff plate. Comput Mater Contin. 2019;59(2):433–56. doi:10.32604/cmc.2019.06660. [Google Scholar] [CrossRef]
42. Rumelhart DE, Hinton GE, Williams RJ. Learning representations by back-propagating errors. Nature. 1986;323:533–6. doi:10.1038/323533a0. [Google Scholar] [CrossRef]
43. Janocha K, Czarnecki WM. On loss functions for deep neural networks in classification. arXiv:1702.05659. 2017. [Google Scholar]
44. Baydin AG, Pearlmutter BA, Radul AA, Siskind JM. Automatic differentiation in machine learning: a survey. J Mach Learn Res. 2018;18:1–43. [Google Scholar]
45. Kingma DP, Ba J. Adam: a method for stochastic optimization. arXiv:1412.6980. 2014. [Google Scholar]
46. Nwankpa C, Ijomah WL, Gachagan A, Marshall S. Activation functions: comparison of trends in practice and research for deep learning. arXiv:1811.03378. 2018. [Google Scholar]
47. Qi Y, Hector LGJ, James C, Kim KJ. Lithium concentration dependent elastic properties of battery electrode materials from first principles calculations. J Electrochem Soc. 2014;161(11):F3010–8. doi:10.1149/2.0031411jes. [Google Scholar] [CrossRef]
48. Park SK, Gao X-L. Bernoulli–Euler beam model based on a modified couple stress theory. J Micromech Microeng. 2006;16(11):2355–9. doi:10.1088/0960-1317/16/11/015. [Google Scholar] [CrossRef]
49. Ezzati H, Rastgoo A, Ebrahimi F. Thermal buckling analysis of functionally graded graphene origami-enabled auxetic metamaterial beams rested on an elastic foundation. Structures. 2024;70(9):107764. doi:10.1016/j.istruc.2024.107764. [Google Scholar] [CrossRef]
50. Zhang C, Lu C, Pei L, Li J, Wang R, Tieu K. The negative poisson’s ratio and strengthening mechanism of nanolayered graphene/Cu composites. Carbon. 2019;143(5887):125–37. doi:10.1016/j.carbon.2018.10.097. [Google Scholar] [CrossRef]
Cite This Article
Copyright © 2026 The Author(s). Published by Tech Science Press.This work is licensed under a Creative Commons Attribution 4.0 International License , which permits unrestricted use, distribution, and reproduction in any medium, provided the original work is properly cited.


Submit a Paper
Propose a Special lssue
View Full Text
Download PDF
Downloads
Citation Tools