Open Access
ARTICLE
Mountain climber outdoor motivation and safety behavior: Does role clarity and safety cognition make a difference to participant safety?
1 College of Tourism, Huaqiao University, Quanzhou, 362021, China
2 School of Economics and Finance, Huaqiao University, Quanzhou, 362021, China
3 Faculty of International Tourism and Management, City University of Macau, Macau, 999078, China
4 International College, Krirk University, Bangkok, 10220, Thailand
* Corresponding Author: Xinwei Su. Email:
# Gengan Wu and Anqi Jiang contributed equally to this manuscript
Journal of Psychology in Africa 2025, 35(6), 853-861. https://doi.org/10.32604/jpa.2025.073822
Received 26 September 2025; Accepted 14 October 2025; Issue published 30 December 2025
Abstract
This study examined the role of role clarity and safety cognition in shaping mountain climbers’ participation motivation and safety behavior. The study sample comprised 454 participants (males = 58.8%, mean age = 32 years, SD = 9.31). They completed measures on five participation motivation dimensions (achievement, interest, knowledge, socialization, and health) and safety participation. The results from structural equation modelling indicated that participant motivations in achievement, health, and knowledge significantly predicted safety participation behavior, such as risk avoidance, self-protection, and mutual assistance, more so than the motivations of interest and socialization. Role clarity moderated the relationship between motivation and safety behavior by strengthening the positive effect of motivation on behavior when individuals had a clear understanding of their responsibilities. Safety cognition mediated this relationship, as stronger motivation enhanced safety awareness, which in turn promoted safety participation. Moreover, role clarity particularly strengthened the indirect effect in the path from motivation to behavior via safety cognition, forming a moderated mediation model. These findings suggest that enhancing participation motivation, improving safety cognition, and optimizing role clarity can significantly boost safety participation in mountain outdoor sports.Keywords
Outdoor athletes—particularly mountain climbers—are at a heightened risk of injury in the absence of effective preventive measures. Adverse safety incidents have had a significant negative impact on mountain outdoor sports, highlighting the urgent need for targeted research. In the context of mountain climbing, participant motivation likely plays a critical role in promoting safe practices, potentially influenced by factors such as role clarity and safety cognition. However, these factors have not been systematically examined to inform preventive interventions that could enhance participant safety behavior. Role clarity may be especially important, as safety in mountainous outdoor sports involves both individual responsibility and team coordination. Furthermore, although the importance of safety cognition in shaping safety behavior is well acknowledged, its role has yet to be explored within the specific context of mountain climbing.
Participation motivation of mountain outdoor athletes and safety behavior
Participation motivation in mountain outdoor sports refers to the internal drive that encourages individuals to engage in these activities and take action. Existing research highlights diverse perspectives on such motivation. For instance, individuals may select moderate-intensity activities to maintain physical health and ensure personal safety (Bowness et al., 2020). There is also evidence that athletes experience a sense of achievement when overcoming physical and psychological challenges or reaching significant milestones (Ong, 2017), which is particularly applicable to mountain outdoor sports. In this context, participant motivation can be understood through five key dimensions: achievement, interest, knowledge, socialization, and health.
Safety participation behavior among outdoor athletes in mountainous regions plays a crucial role in shaping their behavioral intentions (Murray et al., 2022). Enhancing safety motivation has been shown to lead to more frequent engagement in safety behavior (Khan et al., 2022). Conversely, the absence of safety motivation reduces the likelihood of such behavior, underscoring the essential role of motivation in promoting safety practices (Subramaniam et al., 2023). Accordingly, this study proposes hypotheses based on the five dimensions of participation motivation: achievement, interest, knowledge, socialization, and health.
Role clarity moderation and safety cognition mediation
Role clarity refers to mountain outdoor athletes’ ability to accurately understand and fulfil their responsibilities within outdoor activities, thereby enabling self-regulation and safe behavior. According to Role Theory (Turner, 1990), when individuals perceive alignment between their organizational roles and their self-concept, they are more likely to demonstrate strong role engagement; in contrast, misalignment may weaken their commitment and lead to behavioral inconsistencies. In the context of outdoor sports, the clarity and enactment of roles significantly influence both participation and behavior. Role socialization encompasses interactions between individuals and the social environment, the development of role relationships, and the enactment of roles in specific contexts (Marinho et al., 2016). Different roles (e.g., team leader, group organizer, safety monitor) shape distinct behavioral patterns as individuals align themselves with group expectations and process information either systematically or intuitively.
Safety cognition refers to an individual’s awareness, understanding, and judgment regarding potential risks and safety procedures in a given activity. It encompasses perceptions of danger, risk evaluation, preparedness, and decision-making under hazardous conditions (Arezes & Miguel, 2008). Among mountain athletes, a high level of safety cognition ensures awareness of the inherent risks involved in high-altitude and high-intensity activities. Conversely, low safety cognition may result in the neglect of essential safety protocols and the tendency to overstep the limits of safe participation (Mallett et al., 2007). Safety cognition plays a pivotal role in accident response, directly influencing individuals’ capacity to make informed decisions and effectively manage emergencies (Turner, 2019).
The present study posits that in mountain outdoor sports, individuals’ self-perceived role orientation reinforces role awareness, which in turn has a direct impact on safety behavior. Misinterpretation or ambiguity regarding one’s role may lead to unclear responsibilities, interpersonal conflict, and increased risk-taking behavior (Shepherd et al., 2023). Conversely, high role clarity contributes to enhanced service quality, stronger self-awareness, and a greater ability to meet performance expectations (Al-Dwaikat et al., 2020). When individuals clearly understand their roles, they are better equipped to adapt to their environment, mobilize their competencies, and engage in safer behavior.
Based on the preceding literature and supported by qualitative research findings, the current study develops and tests a theoretical framework (Figure 1), examining the relationships among participation motivation, safety cognition, role clarity, and safety participation behavior in mountain outdoor athletes.

Figure 1: Research hypothesis model. Note. Direct and mediation effect: —; moderation effect: ……
The goal of this study is to explore how different dimensions of participation motivation influence safety participation behavior among mountain outdoor athletes, and to clarify the mediating role of safety cognition and the moderating effect of role clarity within this relationship.
In conclusion, the conceptual model of this study is shown in Figure 1.
H1a–1e: Achievement, interest, knowledge, socialization, and health have a positive impact on the safety participation behavior of mountain outdoor athletes.
H2a–2e: Safety cognition plays a mediating role between achievement, interest, knowledge, socialization, health and safety participation behavior of mountain outdoor athletes.
H3a–3f: Role clarity plays a moderating role between achievement, interest, knowledge, socialization, health, safety cognition and safety participation behavior of mountain outdoor athletes.
A total of 454 mountain outdoor athletes participated in the study. Their demographic characteristics are summarized in Table 1. As shown in the table, the majority of participants were young and middle-aged males with higher education levels. Most were active outdoor sports enthusiasts residing in economically developed regions across China, with responses collected from 29 provinces and cities, indicating a wide geographical distribution.

This study employed established and validated scales, with all items rated on a seven-point Likert scale ranging from 1 (“strongly disagree”) to 7 (“strongly agree”).
Participation motivation was assessed using the Participation Motivation Scale (PMS) adapted from Albuquerque et al. (2017) and Roychowdhury (2018). The scale consists of 20 items across five dimensions: achievement, interest, knowledge, socialization, and health. Sample items include: “I enjoy the sense of achievement after completing a challenge” and “I participate to stay healthy.” The PMS demonstrated good reliability, with a Cronbach’s alpha of 0.804 (>0.70) and a KMO value of 0.792 (>0.70), indicating strong internal consistency and sampling adequacy.
Safety participation behavior was measured using a 4-item scale based on Liu et al. (2020) and Bayram et al. (2021). This scale evaluates individuals’ proactive engagement in safety-related activities beyond compliance, including learning, preparation, and peer support. Sample items include: “I actively learn safety knowledge before engaging in outdoor sports” and “I assist others in ensuring safety during activities.” The scale showed acceptable reliability with a Cronbach’s alpha of 0.736 (>0.70) and a KMO of 0.795 (>0.70).
Role clarity was assessed using a 4-item scale adapted from Kim et al. (2013). The scale measures the extent to which individuals understand their roles and responsibilities during outdoor sports participation. A sample item is: “I clearly understand what is expected of me when participating in outdoor team activities.” The scale demonstrated strong reliability (Cronbach’s alpha = 0.823 > 0.70) and a KMO value of 0.837 (>0.70).
Safety cognition was evaluated using a 4-item scale developed based on Arezes and Miguel (2008). This measure assesses an individual’s awareness and cognitive evaluation of safety risks and procedures. Sample items include: “I always assess potential risks before starting an outdoor activity” and “Being aware of safety guidelines helps me avoid danger.” The scale achieved a Cronbach’s alpha of 0.763 (>0.70) and a KMO of 0.812 (>0.70), supporting its validity and reliability.
Participation in the study was entirely voluntary. All participants were informed about the purpose of the research, the confidentiality of their responses, and their right to withdraw at any time without penalty. Informed consent was obtained electronically before participants proceeded with the questionnaire. No personally identifiable information was collected, and all data were anonymized and used exclusively for academic research purposes.
The questionnaire was distributed online via social media platforms and outdoor activity groups from March to April 2024. To ensure the reliability and representativeness of the sample, participants were recruited from diverse mountain outdoor sports communities across 29 provinces and cities in China. A total of 454 valid responses were collected after excluding incomplete or inconsistent questionnaires, yielding an effective response rate of 89.35%. The final sample primarily consisted of young and middle-aged individuals with frequent outdoor activity experience, aligning with the demographic profile of typical mountain outdoor athletes.
Using SPSS 27.0 and AMOS 23.0, confirmatory factor analysis (CFA) was conducted to assess the measurement model, which included the latent variables of safety participation behavior, safety cognition, role clarity, health, achievement, socialization, knowledge, and interest. The model demonstrated a good fit based on the following indices: RMSEA = 0.034 (<0.08), CFI = 0.953 (>0.90), TLI = 0.947 (>0.90), and SRMR = 0.036 (<0.08), indicating that the model met recommended thresholds and exhibited satisfactory overall model fit. These results provided a robust foundation for subsequent reliability and validity testing.
As shown in Table 2, both the Cronbach’s alpha coefficients for each dimension and for the overall variables exceeded the recommended threshold of 0.70, indicating strong internal consistency. Furthermore, all composite reliability (CR) values surpassed 0.70, demonstrating adequate convergent reliability. Factor loadings for individual items ranged from 0.629 to 0.784, further supporting good convergent validity. Additionally, all KMO values exceeded 0.70, confirming the sampling adequacy for factor analysis.

Model comparison tests showed that the eight-factor nested model outperformed alternative models on all standard fit indices. Other nested models exhibited SRMR values above 0.05, indicating suboptimal fit. In contrast, the eight-factor model showed significantly better fit statistics and discriminant validity, confirming its appropriateness for representing the latent constructs used in this study.
In this study, the SPSS PROCESS macro (Version 4.20) was used to examine the influence of five dimensions of participation motivation—achievement, interest, knowledge, socialization, and health—on safety participation behavior among mountain outdoor athletes. These five dimensions served as independent variables, with safety cognition as the mediating variable and safety participation behavior as the dependent variable. The bootstrapping method was employed with 5000 resamples and a 95% bias-corrected confidence interval (CI) to assess the significance of effects. When the CI did not include zero, the effect was considered statistically significant.
To test the mediating effect of safety cognition, Model 4 of PROCESS was applied, with each participation motivation dimension entered as an independent variable, safety cognition as the mediator, and safety participation behavior as the outcome. The results confirmed that safety cognition partially mediated the relationship between participation motivation and safety participation behavior.
To examine the moderating effect of role clarity, hierarchical regression analysis was conducted. In the first step, control variables were entered into the model. In the second step, the independent variables (motivation dimensions) and the moderator (role clarity) were included. In the final step, the interaction terms between each motivation dimension and role clarity were added. The analysis revealed that role clarity significantly moderated the effects of participation motivation on safety behavior.
Additionally, Model 15 of PROCESS was used to test the moderated mediation effect. After including the control variables, role clarity was introduced as a moderator of the second stage of the mediation pathway—specifically, the link between safety cognition and safety participation behavior. This model tested whether the indirect effects of participation motivation on safety behavior via safety cognition varied as a function of role clarity.
Table 3 presents the mean value, standard deviation, and correlation coefficient of the variables under examination. It is evident that the independent variables such as achievements, interests, knowledge, socialization, and health exhibit a significant positive correlation with both the dependent variable of safety participation behavior and the intermediary variable of safety cognition. This data provides initial support for the proposed hypothesis. Furthermore, the fact that the minimum square root of the Average Variance Extracted (AVE) for each variable (0.661) exceeds the maximum correlation coefficient value (0.620) indicates strong discrimination validity among the variables.

Direct effects of motivation on safety behavior
Analysis of Table 4 revealed that the confidence intervals for five dimensions of motivation to safety participation behavior did not contain zero, with all p values < 0.05. Therefore, the five dimensions of participation motivation significantly and positively impact the safety participation behavior of mountain outdoor athletes. Consequently, the direct path assumptions H1a–H1e can be considered valid.

Mediating effect of safety cognition
The results are summarized in Table 4, indicating that the confidence intervals for the indirect effects of safety motivation on participation behavior do not include zero, with all p values < 0.05. These findings suggest that safety cognition partially mediates the relationship between achievement, interest, knowledge, socialization, health, and safety participation behavior, supporting hypotheses H2a–H2e.
Moderating effect of role clarity
The results indicated significant effect on safety participation behavior with interactions between achievements and role clarity (B = 0.294), interests and role clarity (B = 0.175), knowledge and role clarity (B = 0.223), socialization and role clarity (B = 0.190), health and role clarity (B = 0.266). Therefore, these findings confirm the moderating role of role clarity in the main effect, supporting the establishment of hypotheses H3a–H3e.
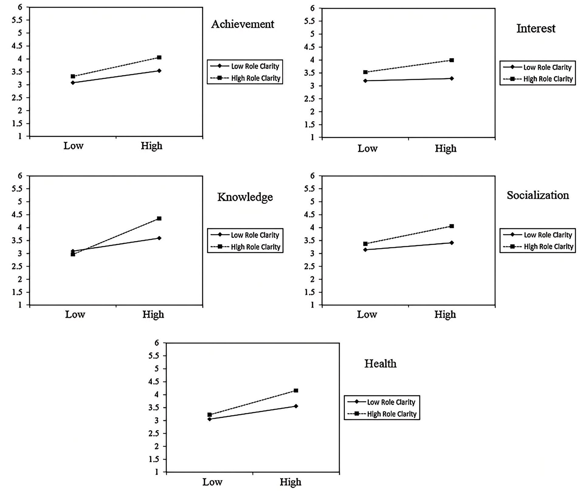
The simple slope test was conducted to analyse the moderating impact of role clarity on the five dimensions of the main effect, and to uncover the trend of this moderating effect. As illustrated in Figure 2, the interaction slope between independent variables and role clarity escalates as independent variables increase, suggesting that as role clarity improves, the positive predictive influence of the five dimensions of participation motivation on safety participation behavior gradually intensifies.

Figure 2: Simple slope analysis of the moderating effect of role clarity on the five dimensions of participation motivation and safety participation behavior
It was found that the interaction term between moderating variables and safety cognition (B = 0.259) significantly predicted safety participation behavior, suggesting that role clarity can influence the latter part of the path mediated by safety cognition. To visually represent the moderating effect, a simple slope analysis technique was employed. The high (M+1SD) and low (M-1SD) groups were based on one standard deviation above and below the mean value (M) of the variable, respectively. This analysis led to the creation of Table 5 and Figure 3.


Figure 3: Simple slope analysis of mediator with moderator
For outdoor sports participants with low levels of role clarity (M-1SD), the positive predictive impact of safety cognition on safety participation behavior did not include 0 (CI = [0.003, 0.105]), and this effect became more pronounced with the gradual enhancement of role clarity from M-1SD to M+1SD, as evidenced by a confidence interval of [0.068, 0.175]. This suggests that enhancing role clarity can facilitate the influence of participation motivation on safety participation behavior through safety cognition, assuming H3f is confirmed.
Participation motivation significantly influences safety participation behavior, with achievement, interest, knowledge acquisition, socialization, and health playing key roles. Achievement motivation positively impacts safety participation, as individuals derive a sense of accomplishment from reaching their goals (Wiegand & Geller, 2005) and are more likely to engage in safe practices. Interest, as the primary intrinsic motivation, reflects athletes’ passion for mountain sports. Sustained engagement requires a safe environment, as injuries from unsafe behavior can weaken enthusiasm, whereas a secure setting enhances long-term participation (Wu et al., 2022a). The motivation to acquire knowledge fosters safety participation, as individuals seek new experiences and self-learning opportunities. A learning-oriented mindset promotes risk awareness and safety-conscious actions (Huitt, 2001). Similarly, social motivation significantly influences safety behavior, as individuals adjust their actions to align with group norms and minimize social anxiety, reinforcing adherence to safety protocols (Grant & Shandell, 2022). Health motivation further reinforces safety behavior through protection motivation theory, which posits that individuals adopt self-protective measures when activities pose risks to their well-being. Prioritizing health encourages adherence to safety practices, reducing accident risks (Wu et al., 2022b). This study’s findings align with this perspective, demonstrating that health concerns significantly shape safety participation behavior among outdoor athletes. These insights highlight the multifaceted role of participation motivation in fostering a culture of safety in mountain sports.
Safety cognition acts as a mediator between the five facets of participation motivation and safety participation behavior. The theory of information processing highlights those variations in human cognition stem from different external stimuli and information processing mechanisms. The motivation to engage in outdoor sports in mountainous areas serves as a driving force for individuals to participate in such activities. Motivations such as seeking knowledge, achievement, socialization, health, and interest all necessitate a concern for safety during activities. This demand for safety information fluctuates based on different motivations, ultimately shaping individuals’ safety awareness through the processing of safety-related information. Stronger safety awareness significantly impacts an individual’s safety behavior (Cheng et al., 2022a, 2022b), while a lack of safety knowledge can lead to deficiencies in safety practices (Wu et al., 2022a). Consequently, safety cognition significantly influences safety participation behavior. Building upon this analysis and the findings regarding the main effect of participation motivation on safety behavior in this study, it is reasonable to conclude that safety cognition serves as a partial mediator in the relationship between participation motivation and safety participation behavior.
Role clarity acts as a moderator between five factors of participation motivation and safety participation behavior, particularly in the latter part of the sequence of participation motivation → safety cognition → safety participation behavior. The study highlights the importance of mountain outdoor athletes understanding their own abilities and roles in outdoor sports. It emphasizes the need for individuals to recognize their responsibilities and specific roles within the activity team. Safety participation behavior is seen as a voluntary action that goes beyond typical role expectations. Role theory suggests that socialization involves interactions with society, formingrole relationships, and playing individual roles (Biddle, 2013). Different roles have varying interactions and demand. A clear understanding of one’s position and abilities can impact their ability to engage in safe behavior. Role cognition influences behavior through communication and actions (Eagly, 1997). Therefore, the study suggests that role clarity moderates the relationship between motivation and safety participation behavior among outdoor athletes in mountainous areas.
Implications for theory and practice
This study makes several important contributions to the existing literature on safety participation behavior in mountain outdoor sports. First, it introduces role clarity into the explanatory framework linking participation motivation to safety participation behavior, offering a novel perspective that shifts focus from external management to individual cognition and role perception. The use of grounded theory enables a deeper understanding of how different motivational dimensions drive safety behavior and enriches empirical research in this domain.
Second, the study identifies the mediating role of safety cognition, clarifying how participants’ awareness and understanding of safety procedures shape their behavior. It further examines the moderating effect of role clarity, revealing that individuals with higher clarity in their roles are more likely to translate motivation into safety behavior. Additionally, it tests the moderating role of safety cognition in the motivation–behavior link, thereby presenting a more comprehensive model that integrates both internal cognition and social-role factors.
These findings offer a solid empirical foundation for understanding how individual-level psychological mechanisms influence safety practices, and provide new theoretical insights for the broader field of safety management in adventure and outdoor sports. Moreover, this study supports the development of mountain outdoor sports science by identifying practical intervention points for improving safety outcomes—particularly through enhanced role awareness and safety education.
From a practical perspective, this study emphasizes the critical importance of structured safety education in enhancing safety awareness among mountain outdoor athletes. Given that safety cognition mediates the effect of participation motivation on behavior, targeted interventions are needed to reinforce this pathway. Disseminating professional safety knowledge and delivering regular safety training can significantly improve participants’ risk perception and preparedness. Athletes can also strengthen their safety awareness through self-learning, peer education, and experiential practice. Event organizers are encouraged to implement comprehensive safety briefings, on-site training programs, and real-time risk assessments. Collaboration with regulatory bodies is also essential for standardizing safety protocols, raising public awareness, and ensuring athletes are equipped with basic first aid and emergency response skills.
Equally important is the recognition of athletes’ skill levels and role responsibilities to optimize team dynamics and manage risk effectively. Encouraging participants to evaluate their own competencies prior to participation facilitates informed decision-making and enhances situational safety. Organizers should assess individual and team capabilities, communicate expectations clearly, and adjust team compositions as necessary. Regulatory bodies may also consider setting standardized thresholds for activity difficulty and minimum skill requirements, enabling athletes to make more accurate self-assessments and allowing organizers to form safer, more balanced teams. Such frameworks are critical to maintaining high safety standards and supporting the sustainable and orderly development of mountain outdoor sports.
Limitations of the study and future directions
This study has several limitations. First, its cross-sectional design restricts causal interpretation. Future research may adopt longitudinal or experimental approaches. Second, the reliance on self-reported data may introduce bias; incorporating behavioral or observational measures would strengthen validity. Lastly, as the sample was limited to Chinese participants, future studies should explore cross-cultural generalizability and consider broader environmental or team-level factors to enrich the model.
This study advances the understanding of safety participation behavior in mountain outdoor sports by integrating participation motivation, safety cognition, and role clarity into a comprehensive model. Using grounded theory and empirical testing, the research demonstrates that safety cognition mediates the relationship between participation motivation and safety behavior, while role clarity moderates both the direct and indirect effects. These findings highlight the critical roles of cognitive awareness and social role perception in promoting safety.
Practically, the study underscores the importance of strengthening safety education, clarifying participant roles, and tailoring interventions based on motivational profiles. The proposed framework offers valuable implications for researchers, organizers, and policymakers aiming to enhance safety outcomes and promote the sustainable development of mountain outdoor sports.
Acknowledgement: Not applicable.
Funding Statement: This work was supported by the National Social Science Foundation under Grant 22BTY035.
Author Contributions: Gengan Wu: Writing—original draft, Methodology, Funding acquisition, Formal analysis. Anqi Jiang: Writing—review & editing, Validation, Formal analysis. Xinwei Su: Software, Resources, Conceptualization. Zihan Chen: Validation, Methodology, Investigation. All authors reviewed the results and approved the final version of the manuscript.
Availability of Data and Materials: The data that support the findings of this study are available from the Corresponding Author, Xinwei Su, upon reasonable request.
Ethics Approval: This study involved human participants who voluntarily completed a questionnaire survey. Ethical approval for this research was obtained from the Ethics Committee of Huaqiao University. All procedures performed in this study were conducted in accordance with the ethical standards of the institutional research committee and with the 1964 Helsinki Declaration and its later amendments. All respondents were informed about the purpose of the study, assured of the confidentiality and anonymity of their responses, and informed that participation was voluntary and could be withdrawn at any time. The authors affirm their commitment to upholding the highest ethical standards in research and publication practices.
Conflicts of Interest: The authors declare no conflicts of interest to report regarding the present study.
References
Al-Dwaikat, T. N., Alrawashdeh, M., Baker, N. A., & Al Ali, N. M. (2020). Development and psychometric evaluation of nurses and midwives’ perceptions of their roles in primary healthcare. International Journal of Nursing Sciences, 7(4), 460–465. [Google Scholar] [PubMed]
Albuquerque, M. R., Lopes, M. C., De Paula, J. J., Faria, L. O., Pereira, E. T. et al. (2017). Cross-cultural adaptation and validation of the MPAM-R to Brazilian Portuguese and proposal of a new method to calculate factor scores. Frontiers in Psychology, 8, 261. https://doi.org/10.3389/fpsyg.2017.00261. [Google Scholar] [PubMed] [CrossRef]
Arezes, P. M., & Miguel, A. S. (2008). Risk perception and safety behaviour: A study in an occupational environment. Safety Science, 46(6), 900–907. [Google Scholar]
Bayram, M., Arpat, B., & Ozkan, Y. (2021). Safety priority, safety rules, safety participation and safety behaviour: The mediating role of safety training. International Journal of Occupational Safety and Ergonomics, 28(4), 2138–2148. https://doi.org/10.1080/10803548.2021.1959131. [Google Scholar] [PubMed] [CrossRef]
Bowness, J., McKendrick, J., & Tulle, E. (2020). From non-runner to parkrunner: Subjective athletic identity and experience of parkrun. International Review For the Sociology of Sport, 56(5), 695–718. https://doi.org/10.1177/1012690220942124 [Google Scholar] [CrossRef]
Biddle, B. J. (2013). Role theory: Expectations, identities, and behaviors. Cambridge, MA, USA: Academic Press. pp. 33–34. [Google Scholar]
Cheng, T.-M., Chen, M.-T., Hong, C.-Y., & Chen, T.-Y. (2022a). Safety first: The consequence of tourists’ recreation safety climate. Journal of Outdoor Recreation and Tourism, 37, 100471. [Google Scholar]
Cheng, B., Fan, C., Fu, H., Huang, J., Chen, H. & Luo, X. (2022b). Measuring and computing cognitive statuses of construction workers based on electroencephalogram: A critical review. IEEE Transactions on Computational Social Systems, 9(6), 1644–1659. [Google Scholar]
Eagly, A. H. (1997). Sex differences in social behavior: Comparing social role theory and evolutionary psychology. American Psychologist. pp. 177–179. [Google Scholar]
Grant, A. M., & Shandell, M. S. (2022). Social motivation at work: The organizational psychology of effort for, against, and with others. Annual Review of Psychology, 73(1), 301–326. [Google Scholar] [PubMed]
Huitt, W. (2001). Motivation to learn: An overview. Educational Psychology Interactive, 12(3), 29–36. [Google Scholar]
Khan, S. B., Proverbs, D. G., & Xiao, H. (2022). The motivation of operatives in small construction firms towards health and safety—A conceptual framework. Engineering, Construction and Architectural Management, 29(1), 245–261. [Google Scholar]
Kim, S., Egan, T. M., Kim, W., & Kim, J. (2013). The impact of managerial coaching behavior on employee work-related reactions. Journal of Business and Psychology, 28(3), 315–330. [Google Scholar]
Liu, S.-X., Zhou, Y., Cheng, Y., & Zhu, Y.-Q. (2020). Multiple mediating effects in the relationship between employees’ trust in organizational safety and safety participation behavior. Safety Science, 125, 104611. https://doi.org/10.1016/j.ssci.2020.104611 [Google Scholar] [CrossRef]
Mallett, C., Kawabata, M., Newcombe, P., Otero-Forero, A., & Jackson, S. (2007). Sport motivation scale-6 (SMS-6A revised six-factor sport motivation scale. Psychology of Sport and Exercise, 8(5), 600–614. https://doi.org/10.1016/j.psychsport.2006.12.005 [Google Scholar] [CrossRef]
Marinho, A., Santos, P. M., Manfroi, M. N., Figueiredo, J. d. P., & Brasil, V. Z. (2016). Reflections about outdoor adventure sports and professional competencies of physical education students. Journal of Adventure Education and Outdoor Learning, 17(1), 38–54. [Google Scholar]
Murray, R. M., Koulanova, A., & Sabiston, C. M. (2022). Understanding Girls’ motivation to participate in sport: The effects of social identity and physical self-concept. Frontiers in Sports and Active Living, 3, 787334. [Google Scholar] [PubMed]
Ong, N. C. H. (2017). Assessing objective achievement motivation in elite athletes: A comparison according to gender, sport type, and competitive level. International Journal of Sport and Exercise Psychology, 17(4), 397–409. https://doi.org/10.1080/1612197x.2017.1349822 [Google Scholar] [CrossRef]
Roychowdhury, D. (2018). A comprehensive measure of participation motivation: Examining and validating the Physical Activity and Leisure Motivation Scale (PALMS). Journal of Human Sport and Exercise, 13(1), 231–247. [Google Scholar]
Shepherd, L., Chilton, S., & Cristancho, S. M. (2023). Residents, responsibility, and error: How residents learn to navigate the intersection. Academic Medicine, 98(8), 934–940. https://doi.org/10.1097/acm.0000000000005267. [Google Scholar] [PubMed] [CrossRef]
Subramaniam, C., Johari, J., Mashi, M. S., & Mohamad, R. (2023). The influence of safety leadership on nurses’ safety behavior: The mediating role of safety knowledge and motivation. Journal of Safety Research, 84, 117–128. https://doi.org/10.1016/j.jsr.2022.10.013. [Google Scholar] [PubMed] [CrossRef]
Turner, R. H. (1990). Role change. Annual Review of Sociology, 16(1), 87–110. [Google Scholar]
Turner, B. A. (2019). The development of a safety culture. Risk Management, 2, 397–399. [Google Scholar]
Wiegand, D. M., & Geller, E. S. (2005). Connecting positive psychology and organizational behavior management. Journal of Organizational Behavior Management, 24(1–2), 3–25. [Google Scholar]
Wu, S., Hou, L., Zhang, G., & Chen, H. (2022a). Real-time mixed reality-based visual warning for construction workforce safety. Automation in Construction, 139, 104252. [Google Scholar]
Wu, G. a., Tan, J., Yang, P., Yang, F., & Peng, S. (2022b). A qualitative study on the psychological adjustment factors of Chinese hikers’ participation motivation. International Journal of Neuropsychopharmacology, 25(Suppl 1), A16–A17. [Google Scholar]
Cite This Article
Copyright © 2025 The Author(s). Published by Tech Science Press.This work is licensed under a Creative Commons Attribution 4.0 International License , which permits unrestricted use, distribution, and reproduction in any medium, provided the original work is properly cited.


Submit a Paper
Propose a Special lssue
View Full Text
Download PDF
Downloads
Citation Tools