Open Access
ARTICLE
Numerical Simulation of the Fractional-Order Lorenz Chaotic Systems with Caputo Fractional Derivative
1 School of Physics and Electronic Information Engineering, Jining Normal University, Jining, 012000, China
2 Department of Mathematics, Inner Mongolia University of Technology, Hohhot, 010051, China
3 Institute of Economics and Management, Jining Normal University, Jining, 012000, China
* Corresponding Author: Yulan Wang. Email:
Computer Modeling in Engineering & Sciences 2023, 135(2), 1371-1392. https://doi.org/10.32604/cmes.2022.022323
Received 04 March 2022; Accepted 09 June 2022; Issue published 27 October 2022
Abstract
Although some numerical methods of the fractional-order chaotic systems have been announced, high-precision numerical methods have always been the direction that researchers strive to pursue. Based on this problem, this paper introduces a high-precision numerical approach. Some complex dynamic behavior of fractional-order Lorenz chaotic systems are shown by using the present method. We observe some novel dynamic behavior in numerical experiments which are unlike any that have been previously discovered in numerical experiments or theoretical studies. We investigate the influence of , , on the numerical solution of fractional-order Lorenz chaotic systems. The simulation results of integer order are in good agreement with those of other methods. The simulation results of numerical experiments demonstrate the effectiveness of the present method.Keywords
In 1963, Edward Lorenz discovered a mathematical model for atmospheric convection. This model is also known as Lorenz chaotic system. The Lorenz system is widely used in electric circuits, forward osmosis and chemical reactions. In recent years, people have studied the chaotic behavior in the fractional dynamic system and found that the fractional dynamic system has unique properties that the integer dynamic system does not have. Therefore, the numerical simulation of fractional chaotic system is very important. In this paper, we simulate the fractional-order Lorenz chaotic dynamical systems [1–6] is as
with the initial conditions
The solutions of the fractional-order Lorenz chaotic dynamical systems are very hard to obtain analytically, and researchers, therefore, rely on numerical methods to provide an approximate solution that could be used for prediction. In the last decades, several numerical methods have been proposed. In [1], based on the qualitative theory, the authors investigated the existence and uniqueness of solutions for a class of fractional-order Lorenz chaotic systems (1). In [2], compared the dynamical regimes of fractional-order systems with dynamical regimes of the corresponding standard systems. In [3], Complex dynamics with interesting characteristics were presented by means of phase portraits, the largest Lyapunov exponent and bifurcation diagrams. In [4–6], the authors gave a dynamic analysis of a fractional-order Lorenz chaotic system. Although some numerical and analytical methods of the FDEs have been announced, such as spectral method [7–11], reproducing kernel method [12–19], homotopy perturbation method [20–23], high-precision numerical approach [24–27], and so on numerical and analytical methods [28–36]. These researchers all say their own approach can accurately simulate chaotic systems. In fact, since chaotic systems have no exact solution, researchers do not know which method is more accurate. For the numerical simulation of chaotic systems, it is necessary to use numerical methods to study the long time properties of solutions of the fractional order chaotic systems. This paper introduces a high-precision numerical method [24–27] for solving system (1). Some complex dynamic behavior of the fractional-order Lorenz chaotic systems are discovered by using the present numerical approach. We observe some novel dynamic behavior in numerical simulations which are unlike any that have been previously discovered in numerical simulations or theoretical studies. The simulation results of numerical experiments demonstrate the effectiveness of the present method.
Fractal and fractional calculus [37–48] have been widely concerned. In the last three decades, there have existed many inequivalent definitions [49–51] of fractional derivatives. The most famous of these definitions that have been widely popularized in the world of fractional calculus is Riemann-Liouville fractional definition, Gr
Definition 1.1. Riemann-Liouville fractional derivative of order
Definition 1.2. Caputo fractional derivative of order
Definition 1.3. The Gr
where
Let
Therefore, the
Using Newton’s binomial theorem, we know
We can proof the following form:
Theorem 1.4. If
and, the Gr
Proof 1. For the proof, please refer to [49].
From Theorem (1.4), it follows that, if
In [24–27], in order to obtain higher precision, author given the construction method of generating function for arbitrary p, and then give a recursive method of fractional derivative and integral based on the generating function.
Definition 2.1. A
Theorem 2.2. The p order polynomial function
where
Proof 2. It can be seen from Eqs. (13) and (14)
Substituting
Multiply both ends of Eq. (16) by z and find the first derivative of z, then
Then substitute
Multiply both ends of Eq. (16) by z, and then find the first derivative of
Substituting
Repeating the above process, the following equation can be established:
The matrix form of the equation is formula (15), which is proved by the theorem.
Definition 2.3. Ihe
Theorem 2.4. If the generating function
where the subsequent coefficient
Proof 3. Let
where, if
Both sides of Eq. (24) are multiplied by
Substituting Eq. (23) into Eq. (25), we can get
Using the
then its right end can be written
By comparing the same square coefficient of z in Eq. (27), we can get
Move Eq. (29) back one step, let
If
where, when
Corollary 2.5. The
where
The
Applying (34), an approximate computation scheme of the
and
So, a high-precision numerical approach of the fractional-order Lorenz chaotic systems (1) is given by
In this section, some numerical examples are studied. Some novel chaotic behaviors are shown. We consider the systems (1) with the initial conditions


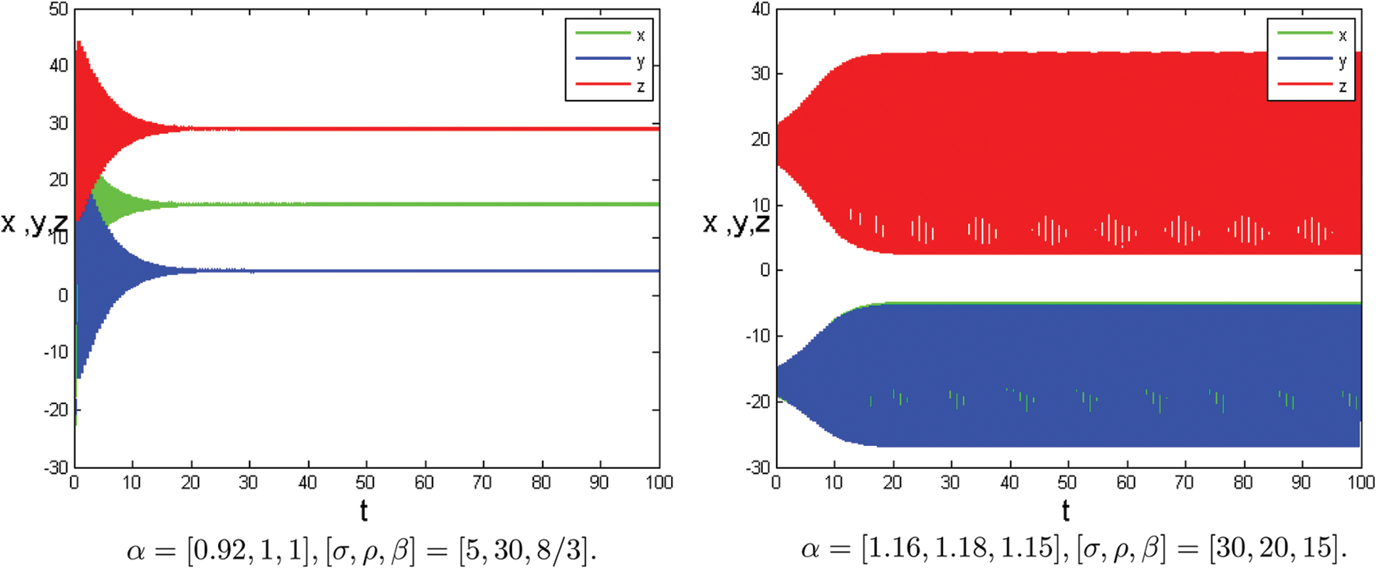
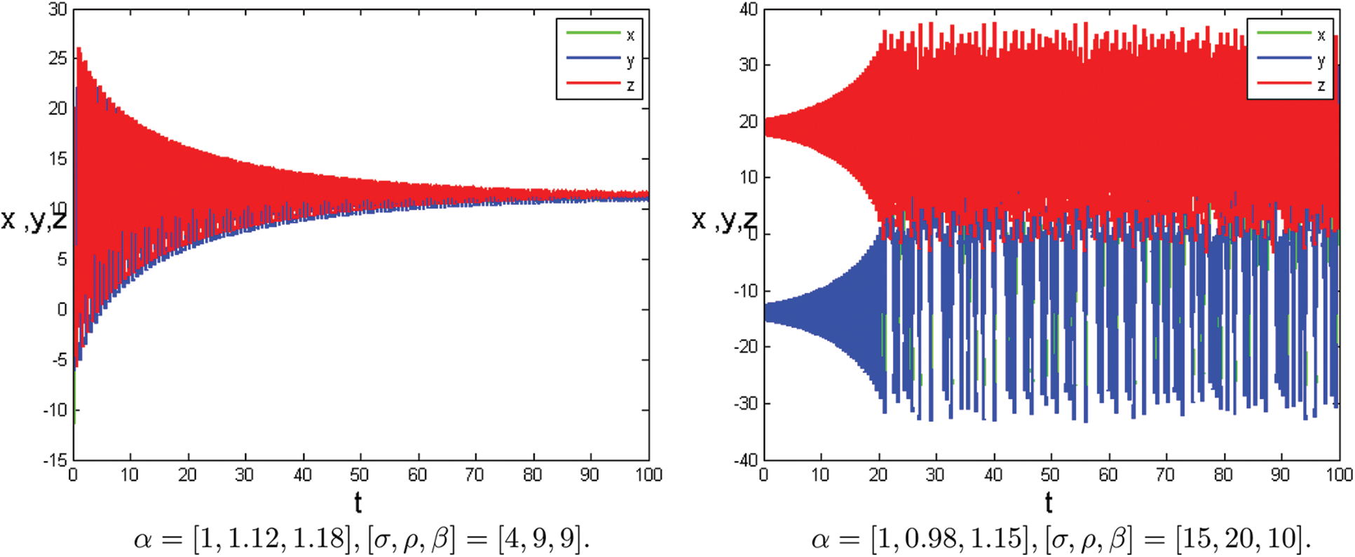
Figure 1: Time series plots of the systems (1) at


Figure 2: Time series plots of the systems (1) with different parameters

Figure 3: Numerical results for the systems (1) at

Figure 4: Numerical results for the systems (1) at

Figure 5: Numerical results for the systems (1) at

Figure 6: Numerical results for the systems (1) at

Figure 7: Numerical results for the systems (1) at

Figure 8: Numerical results for the systems (1) at

Figure 9: Numerical results for the systems (1) at

Figure 10: Numerical results for the systems (1) at

Figure 11: Numerical results for the systems (1) at

Figure 12: Numerical results for the systems (1) at

Figure 13: Numerical results for the systems (1) at

Figure 14: Numerical results for the systems (1) at

Figure 15: Numerical results for the systems (1) at

Figure 16: Numerical results for (1) at

Figure 17: Numerical results for the systems (1) at

Figure 18: Numerical results for the systems (1) at

Figure 19: Numerical results for the systems (1) at


Figure 20: Chaotic attractor of fractional-order Lorenz systems (1) with different parameters


Figure 21: Chaotic attractor of fractional-order Lorenz systems (1) with different parameters
In this paper, some complex dynamic behavior of fractional-order Lorenz chaotic systems are shown by using the present method. We observe many novel dynamic behaviors in numerical experiments which are unlike any that have been previously discovered in numerical experiments or theoretical studies. We investigate the influence of
All computations are performed by the MatlabR2017b software.
Acknowledgement: The authors would like to express their thanks to the unknown referees for their careful reading and helpful comments.
Funding Statement: This paper is supported by the Natural Science Foundation of Inner Mongolia [2021MS01009] and Jining Normal University [JSJY2021040, Jsbsjj1704, jsky202145].
Conflicts of Interest: The authors declare that they have no conflicts of interest to report regarding the present study.
References
1. Yu, Y. G., Li, H. X., Wang, S., Yu, J. Z. (2009). Dynamic analysis of a fractional-order lorenz chaotic system. Chaos Solitons & Fractals, 42(2), 1181–1189. DOI 10.1016/j.chaos.2009.03.016. [Google Scholar] [CrossRef]
2. Letellier, C., Aguirre, L. A. (2013). Dynamical analysis of fractional-order rossler and modified lorenz systems. Physics Letters Section A General Atomic Solid State Physics, 377(28–30), 1707–1719. [Google Scholar]
3. Sun, K., Wang, X., Sprott, J. C. (2010). Bifurcations and chaos in fractional-order simplified lorenz system. International Journal of Bifurcation and Chaos, 20(4), 1209–1219. DOI 10.1142/S0218127410026411. [Google Scholar] [CrossRef]
4. Qiao, W. (2013). Chaos control in the fractional-order lorenz system with random parameter. Applied Mechanics and Materials, 278–280, 1423–1426. DOI 10.4028/www.scientific.net/AMM.278-280.1423. [Google Scholar] [CrossRef]
5. Grigorenko, I., Grigorenko, E. (2003). Chaotic dynamics of the fractional lorenz system. Physical Review Letters, 91(3), 034101. DOI 10.1103/PhysRevLett.91.034101. [Google Scholar] [CrossRef]
6. Wang, X. Y., Song, J. M. (2009). Synchronization of the fractional order hyperchaos Lorenz systems with activation feedback control. Communications in Nonlinear Science and Numerical Simulation, 14(8), 3351–3357. DOI 10.1016/j.cnsns.2009.01.010. [Google Scholar] [CrossRef]
7. Han, C., Wang, Y. L., Li, Z. Y. (2022). A high-precision numerical approach to solving space fractional gray-scott model. Applied Mathematics Letters, 125, 107759. DOI 10.1016/j.aml.2021.107759. [Google Scholar] [CrossRef]
8. Zhang, X. L., Zhang, W., Wang, Y. L., Ban, T. T. (2021). The space spectral interpolation collocation method for reaction-diflusion systems. Thermal Science, 25(2B), 269–1275. [Google Scholar]
9. Li, X. Y., Han, C., Wang, Y. L. (2022). Novel patterns in fractional-in-space nonlinear coupled FitzHugh–Nagumo models with riesz fractional derivative. Fractal and Fractional, 6(3), 136. DOI 10.3390/fractalfract6030136. [Google Scholar] [CrossRef]
10. Han, C., Wang, Y. L. (2022). Numerical solutions of variable-coefficient fractional-in-space KdV equation with the caputo fractional derivative. Fractal and Fractional, 6(4), 207. DOI 10.3390/fractalfract6040207. [Google Scholar] [CrossRef]
11. Han, C., Wang, Y. L., Li, Z. Y. (2021). Numerical solutions of space fractional variable-coefficient KdV-modified KdV equation by Fourier spectral method. Fractals, 29(8), 2150246. DOI 10.1142/S0218348X21502467. [Google Scholar] [CrossRef]
12. Wang, Y. L., Tian, D., Bao, S. H., Li, Z. Y. (2017). Using the iterative reproducing kernel method for solving a class of nonlinear fractional differential equations. International Journal of Computer Mathematics, 12(94), 2558–2572. [Google Scholar]
13. Wang, Y. L., Jia, L. N., Zhang, H. L. (2019). Numerical solution for a class of space-time fractional equation by the piecewise reproducing kernel method. International Journal of Computer Mathematics, 96(10), 2100–2111. DOI 10.1080/00207160.2018.1544367. [Google Scholar] [CrossRef]
14. Zhang, W., Wang, Y. L., Wang, M. C. (2020). Using reproducing kernel for solving a class of the time variable fractional order reaction-diflusion model. Thermal Science, 24(4), 2553–2559. DOI 10.2298/TSCI2004553Z. [Google Scholar] [CrossRef]
15. Dai, D. D., Ban, T. T., Wang, Y. L., Zhang, W. (2021). The piecewise reproducing kernel method for the time variable fractional order advection-reaction-diflusion equations. Thermal Science, 25, 1261–1268. [Google Scholar]
16. Wang, Y. L., Chaolu, T., Pang, J. (2009). New algorithm for second-order boundary value problems of integro-differential equation. Journal of Computational and Applied Mathematics, 229(1), 1–6. DOI 10.1016/j.cam.2008.10.040. [Google Scholar] [CrossRef]
17. Wang, Y. L., Cao, X. J., Li, X. N. (2011). A new method for solving singular fourth-order boundary value problems with mixed boundary conditions. Applied Mathematics and Computation, 217(18), 7385–7390. DOI 10.1016/j.amc.2011.02.002. [Google Scholar] [CrossRef]
18. Wang, Y. L., Su, L. J., Cao, X. J. (2011). Using reproducing kernel for solving a class of singularly perturbed problems. Computers and Mathematics with Applications, 61(2), 421–430. DOI 10.1016/j.camwa.2010.11.019. [Google Scholar] [CrossRef]
19. Wang, Y. L., Du, M. J., Tan, F. G. (2013). Using reproducing kernel for solving a class of fractional partial differential equation with non-classical conditions. Applied Mathematics and Computation, 219, 5918–5925. DOI 10.1016/j.amc.2012.12.009. [Google Scholar] [CrossRef]
20. He, J. H. (2003). Homotopy perturbation method: A new nonlinear analytical technique. Applied Mathematics and Computation, 135, 73–79. DOI 10.1016/S0096-3003(01)00312-5. [Google Scholar] [CrossRef]
21. He, J. H. (2006). New interpretation of homotopy perturbation method. International Journal of Modern Physics B, 20, 2561–668. DOI 10.1142/S0217979206034819. [Google Scholar] [CrossRef]
22. He, J. H., El-Dib, Y. O. (2021). The enhanced homotopy perturbation method for axial vibration of strings. Facta Universitatis Series: Mechanical Engineering, 19(4), 35–750. DOI 10.22190/FUME210125033H. [Google Scholar] [CrossRef]
23. He, J. H., El-Dib, Y. O., Mady, A. A. (2021). Homotopy perturbation method for the fractal toda oscillator. Fractal Fraction, 5(3). DOI 10.3390/fractalfract5030093. [Google Scholar] [CrossRef]
24. Xue, D. Y., Zhao, C. N., Chen, Y. Q. (2006). A modifed approximation method of fractional order system. Proceedings of IEEE Conference on Mechatronics and Automation, pp. 1043–1048, Luoyang, China. [Google Scholar]
25. Xue, D. Y., Bai, L. (2017). Numerical algorithms for caputo fractional-order differential equations. International Journal of Control, 90(6), 1201–1211. DOI 10.1080/00207179.2016.1158419. [Google Scholar] [CrossRef]
26. Zhao, C. N., Xue, D. Y. (2008). Closed-form solutions to fractional-order linear diferential equations. Frantiers of Electrical and Electronic Engineering in China, 3(2), 214–217. DOI 10.1007/s11460-008-0025-3. [Google Scholar] [CrossRef]
27. Xue, D. Y. (2018). Fractional calculus and fractional-order control. Beijing, China: Science Press. [Google Scholar]
28. Wang, K. L. (2022). Fractal solitary wave solutions for fractal nonlinear dispersive boussinesq-like models. Fractals, 30(4), 2250086. DOI 10.1142/S0218348X22500839. [Google Scholar] [CrossRef]
29. Wang, K. L., Wang, G. D., Shi, F. (2022). Abundant exact traveling wave solutions to the local fractional (3+1)-dimensional boiti-leon-manna-pempinelli equation. Fractals, 30(3), 2250064. DOI 10.1142/S0218348X22500645. [Google Scholar] [CrossRef]
30. Sohail, M., Mohyud-Din, S. T. (2012). Reduced differential transform method for laplace equations. International Journal of Modern Theoretical Physics, 1(1), 6–12. [Google Scholar]
31. Zhang, H., Nadeem, M., Rauf, A., Zhao, G. H. (2020). A novel approach for the analytical solution of nonlinear time-fractional differential equations. International Journal of Numerical Methods for Heat and Fluid Flow, 31(4), 1069–1084. DOI 10.1108/HFF-02-2020-0077. [Google Scholar] [CrossRef]
32. Nadeem, M., Yao, S. W. (2019). Solving system of partial differential equations using variational iteration method with He’s polynomials. Journal of Mathematics and Computer Science, 19(3), 203–211. DOI 10.22436/jmcs.019.03.07. [Google Scholar] [CrossRef]
33. Din, A., Li, Y., Khan, F. M., Khan, Z. U., Liu, P. (2021). On analysis of fractional order mathematical model of hepatitis B using atangana-baleanu caputo (ABC) derivative. Fractals, 30(1), 2240017. DOI 10.1142/S0218348X22400175. [Google Scholar] [CrossRef]
34. Sohail, M., Mohyud-Din, S. T. (2012). Reduced differential transform method for time-fractional heat equations. International Journal of Modern Theoretical Physics, 1(1), 13–22. [Google Scholar]
35. Wang, K. L. (2022). Novel approach for fractal nonlinear oscillators with discontinuitiea by Fourier series. Fractals, 30(1), 2250009. DOI 10.1142/S0218348X22500098. [Google Scholar] [CrossRef]
36. Sohail, M., Mohyud-Din, S. T. (2012). Reduced differential transform method for time-fractional parabolic PDEs. International Journal of Modern Applied Physics, 1(3), 114–122. [Google Scholar]
37. He, J. H., Moatimid, G. M., Zekry, M. H. (2022). Forced nonlinear oscillator in a fractal space. Facta Universitatis Series: Mechanical Engineering, 20(1), 1–20. DOI 10.22190/FUME220118004H. [Google Scholar] [CrossRef]
38. He, C. H., Liu, C., Gepreel, K. A. (2021). Low frequency property of a fractal vibration model for a concrete beam. Fractals, 29(5), 2150117. DOI 10.1142/S0218348X21501176. [Google Scholar] [CrossRef]
39. He, C. H., Liu, C. (2022). A modified frequency-amplitude formulation for fractal vibration systems. Fractals, 30(3), 2250046. DOI 10.1142/S0218348X22500463. [Google Scholar] [CrossRef]
40. Wang, K. L. (2022). Exact solitary wave solution for fractal shallow water wave model by He’s variational method. Modern Physics Letters B, 31(7), 2150602. DOI 10.1142/S0217984921506028. [Google Scholar] [CrossRef]
41. Tian, D., He, C. H. (2021). A fractal micro-electromechanical system and its pull-in stability. Journal of Low Frequency Noise, Vibration and Active Control, 40(3), 380–1386. DOI 10.1177/1461348420984041. [Google Scholar] [CrossRef]
42. Ahmad, Z., Arif, M., Ali, F., Khan, I., Nisar, K. S. (2020). A report on COVID-19 epidemic in Pakistan using SEIR fractional model. Scientific Reports, 10(1), 22268. DOI 10.1038/s41598-020-79405-9. [Google Scholar] [CrossRef]
43. Chatterjee, A. N., Al Basir, F., Almuqrin, M. A., Mondal, J., Khan, I. (2021). SARS-CoV-2 infection with lytic and non-lytic immune responses: A fractional order optimal control theoretical study AN chatterjee. Results in Physics, 26, 104260. DOI 10.1016/j.rinp.2021.104260. [Google Scholar] [CrossRef]
44. Din, A., Li, Y. (2022). Caputo type fractional operator applied to hepatitis B system. Fractals, 30(1), 2240023. DOI 10.1142/S0218348X22400230. [Google Scholar] [CrossRef]
45. Almuqrin, M. A., Goswami, P., Sharma, S., Khan, I., Dubey, R. S. et al. (2021). Fractional model of ebola virus in population of bats in frame of atangana-baleanu fractional derivative. Results in Physics, 26, 104295. [Google Scholar]
46. Nadeem, M., Yao, S. W. (2020). Solving the fractional heat-like and wave-like equations with variable coefficients utilizing the laplace homotopy method. International Journal of Numerical Methods for Heat and Fluid Flow, 31(1), 273–292. DOI 10.1108/HFF-02-2020-0111. [Google Scholar] [CrossRef]
47. Matouk, A. E., Khan, I. (2020). Complex dynamics and control of a novel physical model using nonlocal fractional differential operator with singular kernel. Journal of Advanced Research, 24, 463–474. DOI 10.1016/j.jare.2020.05.003. [Google Scholar] [CrossRef]
48. Din, A., Li, Y. (2020). Controlling heroin addiction via age-structured modeling. Advances in Difference Equations, 521(1), 1–17. DOI 10.1186/s13662-020-02983-5. [Google Scholar] [CrossRef]
49. Podlubny, I. (1998). Fractional differential equations: An introduction to fractional derivatives, fractional differential equations, to methods of their solution and some of their applications. New York: Academic Press. [Google Scholar]
50. Yang, X. J. (2019). General fractional derivatives: Theory, methods and applications. New York: CRC Press. [Google Scholar]
51. Daftardar-Gejji, V. (2019). Fractional calculus and fractional differential equations. Singapore: Springer Nature Singapore Pte Ltd. DOI 10.1007/978-981-13-9227-6. [Google Scholar] [CrossRef]
Cite This Article
Copyright © 2023 The Author(s). Published by Tech Science Press.This work is licensed under a Creative Commons Attribution 4.0 International License , which permits unrestricted use, distribution, and reproduction in any medium, provided the original work is properly cited.


Submit a Paper
Propose a Special lssue
View Full Text
Download PDF
Downloads
Citation Tools