Open Access
ARTICLE
Shock-Capturing Particle Hydrodynamics with Reproducing Kernels
1 Hamburg Observatory, University of Hamburg, Gojenbergsweg 112, Hamburg, 21029, Germany
2 The Oskar Klein Centre, Department of Astronomy, AlbaNova, Stockholm University, Stockholm, 10691, Sweden
* Corresponding Author: Stephan Rosswog. Email:
Computer Modeling in Engineering & Sciences 2025, 143(2), 1713-1741. https://doi.org/10.32604/cmes.2025.062063
Received 09 December 2024; Accepted 28 April 2025; Issue published 30 May 2025
Abstract
We present and explore a new shock-capturing particle hydrodynamics approach. Our starting point is a commonly used discretization of smoothed particle hydrodynamics. We enhance this discretization with Roe’s approximate Riemann solver, we identify its dissipative terms, and in these terms, we use slope-limited linear reconstruction. All gradients needed for our method are calculated with linearly reproducing kernels that are constructed to enforce the two lowest-order consistency relations. We scrutinize our reproducing kernel implementation carefully on a “glass-like” particle distribution, and we find that constant and linear functions are recovered to machine precision. We probe our method in a series of challenging 3D benchmark problems ranging from shocks over instabilities to Schulz-Rinne-type vorticity-creating shocks. All of our simulations show excellent agreement with analytic/reference solutions.Keywords
The Smoothed Particle Hydrodynamics (SPH) method was originally developed to solve astrophysical gas dynamics problems [1,2]. In an SPH simulation, the particle distribution automatically adapts to the dynamics of the gas flow, and this has major advantages when, for example, modeling the gravitational collapse of gas clouds that condense into denser filaments and finally form stars. The natural geometric adaptivity of SPH also has advantages in many other contexts where challenging geometries are involved, e.g., in simulating dam breaks, e.g., [3], or fracture processes, e.g., [4], see [5] for a broad range of SPH applications. Since the particles automatically follow the gas flow, this also implies that vacuum is simply modeled by the absence of computational particles. Eulerian methods, in contrast, need to model vacuum as a low-density background gas, and this can cost substantial computational resources even though one is not interested (and nothing is physically going on) in empty space. As an admittedly extreme, but astrophysically relevant example, we show in Fig. 1 the tidal disruption of two stars by a massive black hole located at the coordinate origin (the simulation is discussed in more detail in [6]). As the stars pass the black hole, they are ripped apart by the hole’s tidal forces. One is only interested in the fate of the gas from the disrupted stars, which initially covers only a minute fraction of

Figure 1: Illustration of one of SPH’s most salient features: the natural treatment of vacuum. The plot shows how two stars have been ripped apart by a black hole (lurking at the coordinate origin) into spaghetti-like, thin gas streams that are held together by the gas’ self-gravity. The inset shows the initial conditions of the initially spherical stars. The original stars in the inset only cover a fraction of
Simulating gas flows with particles is still a relatively young field compared to Eulerian gas dynamics, and much development is still ongoing, both in terms of methodology and in terms of spreading into new research areas. For example, most recently, SPH methods have found their way into general relativistic hydrodynamics where the full spacetime is dynamically evolved together with the fluid, see [12,13], or Chap. 7 in [14]. SPH has initially been criticized for many issues, but essentially all of them have seen major improvements achieved in recent times. For example, SPH has often been criticized for being too dissipative. However, as derived from a Lagrangian, SPH contains zero dissipation, and the criticism goes back to the early days of SPH when simple artificial dissipation schemes were used, in which dissipation was always switched on, whether needed or not. In recent years, much effort has been spent to cure this problem, e.g., by using time-dependent dissipation parameters that only reach substantial values when needed, but not otherwise [15–19] or by using slope-limited reconstruction in the artificial dissipation terms [20,21,12,13,22]. The latter approach is very effective even if large constant dissipation parameters are used. For example, some weakly triggered Kelvin-Helmholtz instabilities do not grow when standard, constant dissipation parameters without reconstruction are used, but the same initial conditions lead to a healthy growth of instability when reconstruction is applied; see Fig. 20 in [21].
As an alternative to artificial dissipation, one can also implement Riemann solvers into SPH [23–27] to produce sufficient entropy in shocks. However, with this approach, one also needs to ensure that not too much unwanted dissipation is introduced. For example, simply treating particle pairs as Riemann problems, where the left and the right states are given by the particle properties, leads to very dissipative hydrodynamics unless other measures such as limiters or reconstruction techniques similar to Finite Volume schemes are applied. Often, Riemann solver approaches are only benchmarked against shocks, where they perform, by construction, very well. However, such approaches can still be way too dissipative to accurately model the growth of weakly triggered fluid instabilities.
It has also turned out that the still frequently used cubic spline kernel is not a great choice after all, but substantially better kernels are readily available [18,28–30] and replacing the kernel function only requires very small changes to existing codes. It has further been realized that much more accurate gradient estimates [18,31,32] than the standard kernel gradients can be obtained at a moderate additional cost and even without sacrificing the highly valued kernel anti-symmetry,
Several of the above improvements of SPH have borrowed techniques that are traditionally used in Finite Volume schemes, such as reconstruction, slope-limiting, or Riemann solvers. For example, recent work has explored the application of weighted essentially non-oscillatory (WENO) strategies to SPH; see e.g., [33–36]. Apart from “enhanced SPH”, there is also a class of methods that tries to consistently formulate the ideal gas dynamics equations from the beginning as in Finite Volume methods, though for particles rather than for meshes, see e.g., [37–41] for some pioneering work. This also comes with a broad variety of names for relatively similar methods, some of which are “proper SPH”, some are “SPH with elements from Finite Volume methods”, and yet others are proper Finite Volume discretizations of the conservation laws written for particles. Among these latter methods, there are formulations for stationary particles (Eulerian), for particles that move with the fluid velocity (Lagrangian) or for particles that move with any other velocity (Adaptive Lagrangian Eulerian or ALE methods); see, e.g., [42]. Therefore, the boundaries between different methods are blurred, and it becomes a matter of semantics or taste how to call a given method. In summary, many of the issues that SPH has been criticized for can be considered as essentially solved, and modern SPH formulations can accurately solve very challenging gas dynamics problems1, for example [20–22].
One issue that has been strongly improved by the above measures but is usually still not exactly enforced in the standard SPH approaches is the lack of zero-order consistency. In simple words, the SPH approximation makes use of weighted kernel sums over neighboring particles, but the weights in these sums do not add up exactly to unity; see our discussion in Section 2.4. Whether this is an issue in practical applications or not depends on the kernels/neighbor numbers that are used and the tested problem considered, but it is desirable to avoid the issue in the first place. Without zeroth-order consistency, not even constant functions are reproduced exactly.
In this paper, we formulate and explore a new approach, in which we start from one of the commonly used SPH discretizations, but a) we introduce Roe’s approximate solver, b) we identify the dissipative terms in the Riemann solver, and in these terms, we use slope-limited reconstruction, and finally, c) we use linearly reproducing kernels so that constant and linear functions are reproduced to machine precision. We carefully scrutinize our implementation of the reproducing kernels and put the new method to the test with many very challenging benchmark tests, ranging from shocks over fluid instabilities to vorticity creating Schulz-Rinne shocks [43]. All of these tests are performed in three spatial dimensions. In Section 2, we discuss all the elements involved in our approach, and in Section 3, we present and discuss our benchmark tests before we summarize and conclude in Section 4.
2.1 Particle Hydrodynamics Formulation with a Riemann Solver
In the following, we will label the particles with
Our starting point is a common set of Smoothed Particle Hydrodynamics (SPH) equations [24,44,27]
In Eqs. (2) and (3), the index
While we have written the above equations in a commonly used way, it is worth keeping in mind that the kernel gradient can be explicitly written (for some smoothing length
where
where the velocities projected on the connection line are marked with a tilde.
In gas dynamics, seemingly harmless sound waves can steepen into shock waves, and for their correct treatment, dissipation is needed. So far, however, the equations are entirely nondissipative, and to handle shocks, they need to be enhanced by mechanisms that produce sufficient (but not too much) dissipation to obtain non-oscillatory solutions in shocks. As outlined in the introduction, an often used approach is artificial viscosity, which has seen many improvements in recent times, including more accurate ways to steer dissipation parameters [17–19], applying reconstruction techniques in dissipative terms [20–22]. These new developments have also been transferred to (general) relativistic hydrodynamics [12,13,45]. These new approaches have turned out to be robust and accurate and to produce very little unwanted dissipation. In our understanding, such modern artificial dissipation approaches are on par with approximate Riemann solvers.
Despite the very good performance of modern artificial viscosity schemes, we want to explore here the case where dissipation is provided by a Riemann solver [46]. The main idea is to solve (approximately) a one-dimensional Riemann problem at the midpoint between each pair of interacting particles
where the

Figure 2: To add dissipation, Riemann problems are solved for each particle and its neighbour particles
With the substitutions Eq. (7) we have
so that the hydrodynamics equations, now with dissipation, read
where we have used
2.2 Dissipation in the Roe Solver
We use Roe’s approximate Riemann solver [47] for the star state:
where the “densitized” Roe-averaged Lagrangian sound speed (the dimension is density times velocity) is
and
By inserting these expressions into Eqs. (11) and (12) we obviously recover the inviscid Eqs. (2) and (3), therefore the terms involving the differences in Eqs. (13) and (14) are responsible for the dissipation. One may thus try to cure potentially excessive dissipation by modifying these terms. We approach this issue here by applying the reconstructed pressure and velocity values in the dissipative terms. So, for perfectly reconstructed smooth flows, where the reconstructed values on both sides of the midpoint are the same and, therefore, the dissipative terms vanish, one effectively solves the inviscid hydrodynamics equations.
2.3 Reconstruction in the Dissipative Terms
Our strategy to reduce dissipation is to use, in the dissipative terms of Eqs. (13) and (14), values of P and
the specific internal energy is
and the density
With the reconstructed values of internal energy and density, we can calculate the corresponding pressure values via our equation of state,
The quantity
the vanLeer limiter [48]
the vanLeer monotonized Central (vanLeerMC) [48]
and the vanAlbada limiter [49]
The latter is insensitive to the exact value of
2.4 Linearly Reproducing Kernel (RPK) Approximations
One of the main criticisms of the standard SPH method is that it, in general, does not exactly reproduce constant or linear functions. In the standard SPH-discretization the approximation of a function
where we have abbreviated
which is approximately, but not exactly, equal to the desired value, because the sum is not guaranteed to yield exactly unity. More systematically, one can expand
where higher order terms are abbreviated as “h.o.t”. This implies, not too surprisingly, that for a good approximation,
should be fulfilled. Standard SPH usually fulfils this well in initial conditions (where particles are often placed on some type of lattice), but it does not enforce these conditions during evolution. The conditions are well fulfilled when good kernels (e.g., of the Wendland family [28]) with large neighbour numbers are used [18], but this, of course, comes at the price of expensive sums over many neighboring particles.
The consistency relations Eq. (30), however, can also be enforced by construction, e.g., in the so-called reproducing kernel method [50]. One can, for example, enhance the kernel functions with additional parameters A and
where
is fulfilled at every particle position
The gradient of
Now, taking the nabla operator concerning particle
where we have used
and their derivatives read
With the moments and their derivatives at hand, one can calculate the kernel parameters
and their somewhat lengthy but otherwise straightforward calculable derivatives
and
With the linearly reproducing kernels now at hand, we can approximate a function F via
and its derivative via
While these expressions look very similar to standard SPH approximations, they exactly reproduce linear functions on a discrete level, which the SPH equations do not.
Scrutinizing Our Implementation
To test our implementation of the linear reproducing kernels, we start from a relatively regular, but not exactly uniform particle distribution, sometimes referred to as “a glass”. Our initial particle configuration, see Fig. 3, has been produced via a Centroidal Voronoi Tessellation (CVT; [51]) in the computational volume [0.5, 0.5]

Figure 3: The particle distribution that is used to scrutinize the linear reproducing kernel method. The 3D particle distribution has been set up using a Centroidal Voronoi Tessellation; shown is a slice with a thickness of
Since by construction the consistency relations, Eq. (32), are fulfilled at the particle positions (i.e., not everywhere in space), we select every 100th particle in the inner regions (so that the absolute value of each coordinate is
as well as the reproducing kernel approximations
and compare against the theoretical results of unity for both the function value and the derivative in
For the kernel W that enters Eq. (4), we choose, here and in the rest of the paper, a member of the family of harmonic-like kernels [29].
where

Figure 4: Approximation of function value (left) and derivative in

Figure 5: Logarithm of the function error (left) and of the error in the

In all fairness, it is worth stating that the SPH-approximation results for this particle distribution look rather poor, but the question is whether such noisy particle distributions occur in an SPH simulation in the first place. Much recent work has been invested in designing simulation techniques so that this does not happen, for example, by using Wendland kernels with the large neighbor number (typically several hundreds); see, e.g., [11,18]. This typically produces very regular particle distributions, where the error is much smaller than the ones shown here. However, the errors will never be smaller than what one finds for a regular lattice (
One desirable quantity for numerical conservation is the anti-symmetry of the kernel gradient
which in typical SPH equations guarantees, in a straightforward way, the numerical conservation of energy and momentum, since in the time derivative of their total values, all terms cancel exactly, as seen, for example, in Section 2.4 in [8]. The usual standard kernel gradients point in the direction of the line connecting two particles, see Eq. (5); therefore, together with the kernel gradient anti-symmetry, the exact conservation of angular momentum can also be guaranteed. Due to the presence of the vector
where we have made use of the anti-symmetry of the kernel gradients. We now replace the gradients of the kernels W by the much more accurate gradients of the kernels
so that our final equation set reads
We also use the gradients
We will explore the performance of Eqs. (53) to (55) in a set of challenging benchmarks involving shocks, instabilities, and complex Schulz-Rinne shocks with vorticity creation [43]. We will each time also explore the performance of the following slope limiters (in order decreasing dissipation): minmod, vanAlbada, and vanLeerMC.
We start with a three-dimensional shock-tube-type problem. We choose the same parameters as [46] (apart from a shift of the origin): the computational domain is
The solution exhibits a spherical shock wave, a spherical contact surface traveling in the same direction, and a spherical rarefaction wave traveling toward the origin. As initial conditions, we simply placed the
We show in Fig. 6 the values of density, velocity and pressure for the vanAlbada limiter. Despite the initial setup on a cubic lattice, the results are practically perfectly spherically symmetric. The results for the different limiters are merely identical in this case, only on very close inspection, one finds a reminiscence of the grid structure in the case of the vanLeerMC limiter. In Fig. 7, we show our particle results in a strip around the

Figure 6: Spherical blast wave problem 1: density, velocity and pressure, vanAlbada limiter

Figure 7: Spherical blast wave problem 1: density, velocity and pressure with a strip around the x axis. For this simulation,
In a second spherical blast wave problem [46] we start from
and place again
We show the numerical solution of this test in Fig. 8. Again, deviations from sphericity are minute, and the agreement with the reference solution (Eulerian weighted average flux method with

Figure 8: Spherical blast wave problem 2: density, velocity and pressure, vanAlbada limiter

Figure 9: Spherical blast wave problem 2: density, velocity and pressure with a strip around the x axis. For this simulation,

Figure 10: Spherical blast wave problem 2 (detail): shown is the comparison of the densities for different slope limiters
The Sedov-Taylor explosion test, a strong initial point-like explosion expanding into a low-density environment, has an analytic self-similarity solution [56,57]. For an explosion energy E and a density of the ambient medium
To set up the test numerically, we distribute
In Fig. 11, we show the density evolution (cut through

Figure 11: Density evolution (

Figure 12: Impact of the slope limiter on a Sedov blast wave: the result for minmod is shown in the left panel, for vanAlbada in the middle and vanLeerMC in the right panel
3.4 Banded Kelvin-Helmholtz Instability
Kelvin-Helmholtz (KH) shear instabilities occur in a broad range of environments, e.g., in terrestrial clouds, in mixing processes in novae [58], the amplification of magnetic fields in neutron star mergers [59–61] or planetary atmospheres [62], to name just a few examples. Traditional versions of SPH have been shown to struggle with weakly triggered KH instabilities [63,64], although many recent studies with more sophisticated numerical methods yielded very good results [20–22]. We focus here on a test setup in which traditional SPH has been shown to fail, even at a rather high resolution in 2D, see [64]. We follow the latter paper (similar setups were used in [20] and [22]), but we use the full 3D code and set up the “2D” test as a thin 3D slice with
where
with
with
We show in Fig. 13 the density at

Figure 13: Kelvin-Helmholtz test with vanAlbada limiter for different resolutions at t = 2.3 (

Figure 14: Kelvin-Helmholtz test (

Figure 15: Kelvin-Helmholtz test (
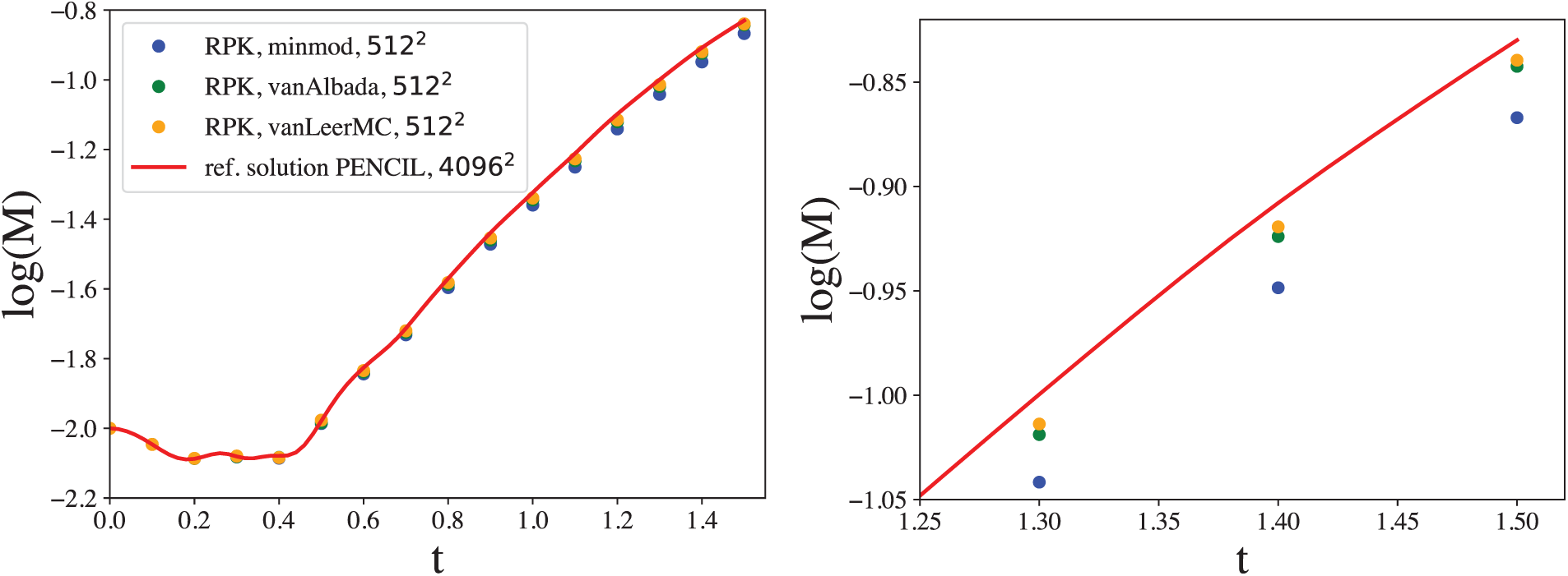
For comparison, traditional SPH implementations struggle with this only weakly triggered instability (
where M is the mode growth exactly calculated as in [64] for all our data points

Figure 16: Growth of the Kelvin-Helmholtz instability as a function of resolution (vanLeerMC limiter, left) and for a fixed, low resolution (

Figure 17: The growth of the Kelvin-Helmholtz instability for different slope limiters (at
3.5 Cylindrical Kelvin-Helmholtz Instability
As a variant of the Kelvin-Helmholtz instability, we also perform a test in cylindrical symmetry, similar to [66]. To this end, we place particles from a radius of
and we also use
where
where
In our initial setup, we placed 1.95 million particles in a uniform, close-packed lattice so that the particles have the above properties. Again, we use the full 3D code to simulate a slice with 20 layers of particles in the
We show in Fig. 18 the density at

Figure 18: Density in cylindrical Kelvin-Helmholtz test for the different slope limiters
3.6 Rayleigh-Taylor Instability
The Rayleigh-Taylor instability is a standard probe of the subsonic growth of a small perturbation. In its simplest form, a density layer
We again adopt a quasi-2D setup and use the full 3D code for the evolution. We place the particles on a cubic lattice in the
to the temporal derivatives so that any evolution in this upper region is strongly suppressed. We apply periodic boundaries in
with transition width
for
with
We show in Fig. 19 the results for different resolutions at

Figure 19: Rayleigh-Taylor instability test (at t = 4) with vanAlbada limiter at different resolution:

Figure 20: Rayleigh-Taylor instability test (at t = 4.3) with
3.7 Complex Shocks with Vorticity Creation
Schulz-Rinne [43] suggested a set of very challenging 2D benchmark tests. The tests are constructed so that four constant states meet at one corner, and the initial values are chosen so that an elementary wave, either a shock, a rarefaction, or a contact discontinuity, appears at each interface. During subsequent evolution, complex wave patterns emerge for which exact solutions are not known. These tests are considered very challenging benchmarks for multidimensional hydrodynamic codes [43,69–71]. Such tests have rarely been shown for SPH. We are only aware of the work by [26], who show results for one such shock test in a study of Godunov SPH with approximate Riemann solvers and as benchmarks for the MAGMA2 code [21].
Here, we investigate three such configurations. We simulate, as before, a 3D slice thick enough so that the midplane is unaffected by edge effects (we use 20 particle layers in

For all three tests, we find very good agreement with the results published in the literature [43,69–71,21]. Comparing the performance of the different limiters for test SR1 (first row in Fig. 21), we see only minor differences. All cases nicely produce the shock surfaces and all show the “mushroom-like” structure near (0.2, 0.2) with only small differences. The structure around (0.3, 0.3), however, does show some differences: it looks “mushroom-like” for the least dissipative case (vanLeerMC), but not very much so for the more dissipative limiters. Also, test SR2 agrees overall well with the results in the literature, but here the “mushroom-like” structures are different: the curls show more windings for lower dissipation, that is, the smallest number for minmod and the highest for vanLeerMC. The SR3 test also agrees well with the results in the literature, here the results for the different limiters are virtually identical.

Figure 21: Schulz-Rinne test 1 (first row), test 2 (second row), and test 3 (third row), color-coded is the density. The first column each time refers to minmod, the second to vanAlbada and the third one to vanLeerMC
Here, we have presented and explored a new formulation of particle hydrodynamics. We started from a common SPH formulation and enhanced it with Roe’s approximate Riemann solver to solve Riemann problems between interacting particle pairs. More specifically, we replaced the mean values of the pressures and (projected) velocities with the contact discontinuity values
We have put our new formulation to the test in many challenging benchmarks, ranging from shocks over instabilities to vorticity-creating shock tests designed by Schulz-Rinne. We find very good results in all tests and, where comparable, we find slightly better but overall very similar results to the MAGMA2 code. We have also explored three different slope limiters in the reconstruction: minmod, vanAlbada, and vanLeerMC. Although minmod is an overall robust choice, it leads to more dissipation than appears necessary. The vanLeerMC limiter, in contrast, produces the least dissipation of the three limiters, but maybe not enough in the Sedov blast wave test, where it leads to substantially more post-shock noise than the other limiters, and an overshoot of the density. Of the three explored limiters, our clear favorite is the vanAlbada limiter, which performs well in all tests, but it may be worth exploring further limiters in the future. Although the results presented are very encouraging, more work needs to be done. This may include further studies of robustness and accuracy, a careful comparison with modern SPH formulations, and the inclusion of additional physics. However, these explorations are left for future work.
Acknowledgement: The simulations for this paper have been performed on the facilities of North-German Supercomputing Alliance (HLRN), and at the SUNRISE HPC facility supported by the Technical Division at the Department of Physics, Stockholm University, and on the HUMMEL2 cluster funded by the Deutsche Forschungsgemeinschaft (498394658). Special thanks go to Mikica Kocic (SU), Thomas Orgis and Hinnerk Stüben (both UHH) for their excellent support. Some plots have been produced with the software splash [72].
Funding Statement: The author has been supported by the Swedish Research Council (VR) under grant number 2020-05044, by the research environment grant “Gravitational Radiation and Electromagnetic Astrophysical Transients” (GREAT) funded by the Swedish Research Council (VR) under Dnr 2016-06012, by the Knut and Alice Wallenberg Foundation under grant Dnr. KAW 2019.0112, by the Deutsche Forschungsgemeinschaft (DFG, German Research Foundation) under Germany’s Excellence Strategy-EXC 2121 “Quantum Universe”-390833306 and by the European Research Council (ERC) Advanced Grant INSPIRATION under the European Union’s Horizon 2020 Research and Innovation Programme (Grant agreement No. 101053985).
Availability of Data and Materials: The data underlying this article will be shared on reasonable request to the corresponding author.
Ethics Approval: Not applicable.
Conflicts of Interest: The author declares no conflicts of interest to report regarding the present study.
1For the publication [21], the author collected in the computational astrophysics community a large set of test problems “that SPH cannot do”, but please see the (excellent) results in this paper.
References
1. Lucy LB. A numerical approach to the testing of the fission hypothesis. Astron J. 1977;82:1013. doi:10.1086/112164. [Google Scholar] [CrossRef]
2. Gingold RA, Monaghan JJ. Smoothed particle hydrodynamics: theory and application to non-spherical stars. Mon Not R Astron Soc. 1977;181(3):375–89. doi:10.1093/mnras/181.3.375. [Google Scholar] [CrossRef]
3. Xu X, Jiang Y-L, Yu P. SPH simulations of 3D dam-break flow against various forms of the obstacle. Ocean Eng. 2021;229(2):108978. doi:10.1016/j.oceaneng.2021.108978. [Google Scholar] [CrossRef]
4. Rahimi MN, Moutsanidis G. A smoothed particle hydrodynamics approach for phase field modeling of brittle fracture. Comput Methods Appl Mech Eng. 2022;398(3):115191. doi:10.1016/j.cma.2022.115191. [Google Scholar] [CrossRef]
5. Monaghan JJ. Smoothed particle hydrodynamics and its diverse applications. Annu Rev Fluid Mech. 2012;44(1):323–46. doi:10.1146/annurev-fluid-120710-101220. [Google Scholar] [CrossRef]
6. Rosswog S. Modelling astrophysical fluids with particles. In: Bisikalo D, Wiebe D, Boily C, editors. The predictive power of computational astrophysics as a discover tool. Cambridge, UK: Cambridge University Press; 2023. p. 382–97. doi:10.1017/s1743921322001600. [Google Scholar] [CrossRef]
7. Monaghan JJ. Smoothed particle hydrodynamics. Rep Prog Phys. 2005;68:1703–59. [Google Scholar]
8. Rosswog S. Astrophysical smooth particle hydrodynamics. New Astron Revi. 2009;53(4-6):78–104. doi:10.1016/j.newar.2009.08.007. [Google Scholar] [CrossRef]
9. Springel V. Smoothed particle hydrodynamics in astrophysics. ARAA. 2010;48:391–430. [Google Scholar]
10. Price DJ. Smoothed particle hydrodynamics and magnetohydrodynamics. J Comput Phys. 2012;231(3):759–94. doi:10.1016/j.jcp.2010.12.011. [Google Scholar] [CrossRef]
11. Rosswog S. SPH methods in the modelling of compact objects. Living Rev Computat Astrophy. 2015;1(1):1. doi:10.1007/lrca-2015-1. [Google Scholar] [CrossRef]
12. Rosswog S, Diener P. SPHINCS_BSSN: a general relativistic smooth particle hydrodynamics code for dynamical spacetimes. Class Quantum Gravity. 2021;38(11):115002. doi:10.1088/1361-6382/abee65. [Google Scholar] [CrossRef]
13. Rosswog S, Torsello F, Diener P. The Lagrangian Numerical Relativity code SPHINCS_BSSN_v1.0. Front Appl Math Stat. 2023;9:161101. doi:10.3389/fams.2023.1236586. [Google Scholar] [CrossRef]
14. Rosswog S, Diener P. Sphincs_bssn: numerical relativity with particles. In: Bambi C, Mizuno Y, Shashank S, Yuan F, editors. New frontiers in GRMHD simulations. Singapore: Springer; 2025. doi:10.1007/978-981-97-8522-3. [Google Scholar] [CrossRef]
15. Morris JP, Monaghan JJ. A switch to reduce sph viscosity. J Comp Phys. 1997;136:41. doi:10.1006/jcph.1997.5690. [Google Scholar] [CrossRef]
16. Rosswog S, Davies MB, Thielemann F-K, Piran T. Merging neutron stars: asymmetric systems. A&A. 2000;360:171–84. doi:10.48550/arXiv.astro-ph/0005550. [Google Scholar] [CrossRef]
17. Cullen L, Dehnen W. Inviscid smoothed particle hydrodynamics. MNRAS. 2010;408(2):669–83. doi:10.1111/j.1365-2966.2010.17158.x. [Google Scholar] [CrossRef]
18. Rosswog S. Boosting the accuracy of SPH techniques: newtonian and special-relativistic tests. MNRAS. 2015;448(4):3628–64. doi:10.1093/mnras/stv225. [Google Scholar] [CrossRef]
19. Rosswog S. A simple, entropy-based dissipation trigger for SPH. ApJ. 2020;898(1):60. doi:10.3847/1538-4357/ab9a2e. [Google Scholar] [CrossRef]
20. Frontiere N, Raskin CD, Owen JM. CRKSPH-a conservative reproducing kernel smoothed particle hydrodynamics scheme. J Comput Phys. 2017;332(3):160–209. doi:10.1016/j.jcp.2016.12.004. [Google Scholar] [CrossRef]
21. Rosswog S. The Lagrangian hydrodynamics code MAGMA2. MNRAS. 2020;498(3):4230–55. doi:10.1093/mnras/staa2591. [Google Scholar] [CrossRef]
22. Sandnes TD, Eke VR, Kegerreis JA, Massey RJ, Ruiz-Bonilla S, Schaller M, et al. REMIX SPH–improving mixing in smoothed particle hydrodynamics simulations using a generalised, material-independent approach. arXiv:2407.18587. 2024. [Google Scholar]
23. Inutsuka S-I. Reformulation of smoothed particle hydrodynamics with Riemann solver. J Comput Phys. 2002;179(1):238–67. doi:10.1006/jcph.2002.7053. [Google Scholar] [CrossRef]
24. Parshikov AN, Medin SA. Smoothed particle hydrodynamics using interparticle contact algorithms. J Comput Phys. 2002;180(1):358–82. doi:10.1006/jcph.2002.7099. [Google Scholar] [CrossRef]
25. Sirotkin FV, Yoh JK. A Smoothed Particle Hydrodynamics method with approximate Riemann solvers for simulation of strong explosions. Comput Fluids. 2013;88:418–29. doi:10.1016/j.compfluid.2013.09.029. [Google Scholar] [CrossRef]
26. Puri K, Ramachandran P. Approximate Riemann solvers for the Godunov SPH (GSPH). J Comput Phys. 2014;270(2):432–58. doi:10.1016/j.jcp.2014.03.055. [Google Scholar] [CrossRef]
27. Meng ZF, Zhang AM, Wang PP, Ming FR. A shock-capturing scheme with a novel limiter for compressible flows solved by smoothed particle hydrodynamics. Comput Methods Appl Mech Eng. 2021;386(420):114082. doi:10.1016/j.cma.2021.114082. [Google Scholar] [CrossRef]
28. Wendland H. Piecewise polynomial, positive definite and compactly supported radial functions of minimal degree. Adv Comput Math. 1995;4(1):389–96. doi:10.1007/bf02123482. [Google Scholar] [CrossRef]
29. Cabezon RM, Garcia-Senz D, Relano A. A one-parameter family of interpolating kernels for smoothed particle hydrodynamics studies. J Comput Phys. 2008;227(19):8523–40. doi:10.1016/j.jcp.2008.06.014. [Google Scholar] [CrossRef]
30. Dehnen W, Aly H. Improving convergence in smoothed particle hydrodynamics simulations without pairing instability. MNRAS. 2012;425(2):1068–82. doi:10.1111/j.1365-2966.2012.21439.x. [Google Scholar] [CrossRef]
31. Garcia-Senz D, Cabezon R, Escartin JA. Improving smoothed particle hydrodynamics with an integral approach to calculating gradients. A & A. 2012;538:A9. doi:10.1051/0004-6361/201117939. [Google Scholar] [CrossRef]
32. Cabezon RM, Garcia-Senz D, Escartin JA. Testing the concept of integral approach to derivatives within the smoothed particle hydrodynamics technique in astrophysical scenarios. A & A. 2012;545:A112. doi:10.1051/0004-6361/201219821. [Google Scholar] [CrossRef]
33. Antona R, Vacondio R, Avesani D, Righetti M, Renzi M. Towards a high order convergent ale_sph scheme with efficient weno spatial reconstruction. Water. 2021;13(17):2432. doi:10.3390/w13172432. [Google Scholar] [CrossRef]
34. Avesani D, Dumbser M, Vacondio R, Righetti M. An alternative SPH formulation: ADER-WENO-SPH. Comput Methods Appl Mech Eng. 2021;382(3):113871. doi:10.1016/j.cma.2021.113871. [Google Scholar] [CrossRef]
35. Vergnaud A, Oger G, Le Touzé D. Investigations on a high order SPH scheme using WENO reconstruction. J Comput Phys. 2023;477(17):111889. doi:10.1016/j.jcp.2022.111889. [Google Scholar] [CrossRef]
36. Antona R, Vacondio R, Avesani D, Righetti M, Renzi M. A WENO SPH scheme with improved transport velocity and consistent divergence operator. Comput Part Mech. 2024;11(3):1221–40. doi:10.1007/s40571-023-00681-z. [Google Scholar] [CrossRef]
37. Moussa BB, Lanson N, Vila JP. Convergence of meshless methods for conservation laws: applications to Euler equations. Int Ser Num Mathem. 1999;129(3):31–40. doi:10.1007/978-3-0348-8720-5_4. [Google Scholar] [CrossRef]
38. Vila JP. On particle weighted methods and smooth particle hydrodynamics. Mathemat Mod Meth Appl Sci. 1999;2(2):161–209. doi:10.1142/s0218202599000117. [Google Scholar] [CrossRef]
39. Hietel D, Steiner K, Struckmeier J. A finite-volume particle method for compressible flows. Math Model Methods Appl Sci. 2000;10(9):1363–82. doi:10.1142/s0218202500000604. [Google Scholar] [CrossRef]
40. Junk M. Do finite volume methods need a mesh? In: Griebel M, Schweitzer MA, editors. Meshfree methods for partial differential equations. Lecture notes in computational science and engineering. Berlin/Heidelberg: Springer; 2003. Vol. 26. p. 223–38. doi:10.1007/978-3-642-56103-0_15. [Google Scholar] [CrossRef]
41. Gaburov E, Nitadori K. Astrophysical weighted particle magnetohydrodynamics. MNRAS. 2011 Jun;414(1):129–54. doi:10.1111/j.1365-2966.2011.18313.x. [Google Scholar] [CrossRef]
42. Ramírez L, Eirís A, Couceiro I, París J, Nogueira X. An arbitrary Lagrangian-Eulerian SPH-MLS method for the computation of compressible viscous flows. J Comput Phys. 2022;464(2):111172. doi:10.1016/j.jcp.2022.111172. [Google Scholar] [CrossRef]
43. Schulz-Rinne CW. Classification of the Riemann problem for two-dimensional gas dynamics. SIAM J Mathem Analy. 1993;24(1):76–88. doi:10.1137/0524006. [Google Scholar] [CrossRef]
44. Liu GR, Liu MB. Smoothed particle hydrodynamics: a meshfree particle method. Singapore: World Scientific; 2003. [Google Scholar]
45. Rosswog S, Diener P, Torsello F. Thinking outside the box: numerical relativity with particles. Symmetry. 2022;14(6):1280. doi:10.3390/sym14061280. [Google Scholar] [CrossRef]
46. Toro EF. Riemann solvers and Numerical methods for fluid dynamics. 3rd ed. Berlin, Germany: Springer-Verlag; 2009. [Google Scholar]
47. Roe PL. Characteristic-based schemes for the Euler equations. Annu Rev Fluid Mech. 1986;18(1):337–65. doi:10.1146/annurev.fl.18.010186.002005. [Google Scholar] [CrossRef]
48. Van Leer B. Towards the ultimate conservative difference scheme. IV. A new approach to numerical convection. J Comput Phys. 1977;23(3):276–99. doi:10.1016/0021-9991(77)90095-x. [Google Scholar] [CrossRef]
49. van Albada GD, van Leer B, Roberts WW Jr. A comparative study of computational methods in cosmic gas dynamics. A & A. 1982;108(1):76–84. [Google Scholar]
50. Liu WK, Jun S, Zhang YF. Reproducing kernel particle methods. Int J Numer Methods Fluids. 1995;20(8–9):1081–106. doi:10.1002/fld.1650200824. [Google Scholar] [CrossRef]
51. Du Q, Wang D. The optimal centroidal voronoi tessellations and the gersho’s conjecture in the three-dimensional space. Comput Mathemat Applicat. 2005;49(9–10):1355–73. doi:10.1016/j.camwa.2004.12.008. [Google Scholar] [CrossRef]
52. Gafton E, Rosswog S. A fast recursive coordinate bisection tree for neighbour search and gravity. MNRAS. 2011;418:770–81. doi:10.1111/j.1365-2966.2011.19528.x. [Google Scholar] [CrossRef]
53. Gottlieb S, Shu CW. Total variation diminishing Runge-Kutta schemes. Math Comput. 1998;67:73–85. doi:10.1090/s0025-5718-98-00913-2. [Google Scholar] [CrossRef]
54. Owen JM. A compatibly differenced total energy conserving form of SPH. Numer Meth Fluids. 2014;75:749–74. doi:10.1002/fld.3912. [Google Scholar] [CrossRef]
55. Cercos-Pita JL, Merino-Alonso PE, Calderon-Sanchez J, Duque D. The role of time integration in energy conservation in Smoothed Particle Hydrodynamics fluid dynamics simulations. Eur J Mech, B/Fluids. 2023;97:78–92. doi:10.1016/j.euromechflu.2022.09.001. [Google Scholar] [CrossRef]
56. Sedov LI. Similarity and dimensional methods in mechanics. New York, NY, USA: Academic Press; 1959. [Google Scholar]
57. Taylor G. The formation of a blast wave by a very intense explosion. I. Theoretical discussion. Proc Royal Soc London Ser A. 1950;201:159–74. doi:10.1098/rspa.1950.0049. [Google Scholar] [CrossRef]
58. Casanova J, Jose J, Garcia-Berro E, Shore SN, Calder AC. Kelvin-Helmholtz instabilities as the source of inhomogeneous mixing in nova explosions. Nature. 2011;478(7370):490–2. doi:10.1038/nature10520. [Google Scholar] [PubMed] [CrossRef]
59. Price DJ, Rosswog S. Producing ultra-strong magnetic fields in neutron star mergers. Science. 2006;312:719–22. doi:10.1126/science.1125201. [Google Scholar] [PubMed] [CrossRef]
60. Giacomazzo B, Zrake J, Duffell PC, MacFadyen AI, Perna R. Producing magnetar magnetic fields in the merger of binary neutron stars. ApJ. 2015;809(1):39. doi:10.1088/0004-637x/809/1/39. [Google Scholar] [CrossRef]
61. Kiuchi K, Cerdá-Durán P, Kyutoku K, Sekiguchi Y, Shibata. M. Efficient magnetic-field amplification due to the Kelvin-Helmholtz instability in binary neutron star mergers. Phys Rev D. 2015;92(12):124034. doi:10.1103/physrevd.92.124034. [Google Scholar] [CrossRef]
62. Johnson JR, Wing S, Delamere PA. Kelvin helmholtz instability in planetary magnetospheres. Space Sci Rev. 2014;184(1–4):1–31. doi:10.1007/s11214-014-0085-z. [Google Scholar] [CrossRef]
63. Agertz O, Moore B, Stadel J, Potter D, Miniati F, Read J, et al. Fundamental differences between SPH and grid methods. MNRAS. 2007;380(3):963–78. doi:10.1111/j.1365-2966.2007.12183.x. [Google Scholar] [CrossRef]
64. McNally CP, Lyra W, Passy J-C. A well-posed kelvin-helmholtz instability test and comparison. ApJS. 2012;201:18. doi:10.1088/0067-0049/201/2/18. [Google Scholar] [CrossRef]
65. Brandenburg A, Dobler W. Hydromagnetic turbulence in computer simulations. Comput Phys Commun. 2002;147(1–2):471–5. doi:10.1016/s0010-4655(02)00334-x. [Google Scholar] [CrossRef]
66. Duffell PC. DISCO: a 3D moving-mesh magnetohydrodynamics code designed for the study of astrophysical disks. Ap J Supp. 2016;226(1):2. doi:10.3847/0067-0049/226/1/2. [Google Scholar] [CrossRef]
67. Abel T. rpSPH: a novel smoothed particle hydrodynamics algorithm. MNRAS. 2011;413(1):271–85. doi:10.1111/j.1365-2966.2010.18133.x. [Google Scholar] [CrossRef]
68. Saitoh TR, Makino J. A density-independent formulation of smoothed particle hydrodynamics. ApJ. 2013;768(1):44. doi:10.1088/0004-637x/768/1/44. [Google Scholar] [CrossRef]
69. Lax P, Liu XD. Solution of two-dimensional Riemann problems of gas dynamics by positive schemes. SIAM J Sci Comput. 1998;19(2):319–40. doi:10.1137/s1064827595291819. [Google Scholar] [CrossRef]
70. Kurganov A, Tadmor E. Solution of two-dimensional riemann problems for gas dynamics without riemann problem solvers. Numer Methods Partial Differ Equ. 2002;18(5):584–608. doi:10.1002/num.10025. [Google Scholar] [CrossRef]
71. Liska R, Wendroff B. Comparison of several difference schemes on 1D and 2D test problems for the euler equations. SIAM J Sci Comput. 2003;25(3):995–1017. doi:10.1137/s1064827502402120. [Google Scholar] [CrossRef]
72. Price DJ. splash: an interactive visualisation tool for smoothed particle hydrodynamics simulations. Publ Astron Soc Aust. 2007;24(3):159–73. doi:10.1071/as07022. [Google Scholar] [CrossRef]
Cite This Article
Copyright © 2025 The Author(s). Published by Tech Science Press.This work is licensed under a Creative Commons Attribution 4.0 International License , which permits unrestricted use, distribution, and reproduction in any medium, provided the original work is properly cited.


Submit a Paper
Propose a Special lssue
View Full Text
Download PDF
Downloads
Citation Tools