Open Access
ARTICLE
Mathematical and Computer Modeling of Electroosmotic Peristaltic Transport of a Biofluid with Double-Diffusive Convection and Thermal Radiation
1 Department of Mathematics, College of Science, University of Hafr Al-Batin, Hafr Al-Batin, Saudi Arabia
2 Department of Mathematics, Division of Science and Technology, University of Education, Lahore, Pakistan
3 MCS, National University of Sciences and Technology, Islamabad, Pakistan
4 Department of Mathematics and Statistics, College of Science, Imam Mohammad Ibn Saud Islamic University (IMSIU), Riyadh, Saudi Arabia
* Corresponding Author: Arshad Riaz. Email:
(This article belongs to the Special Issue: Mathematical and Computational Modeling of Nanofluid in Biofluid Systems)
Computer Modeling in Engineering & Sciences 2026, 146(3), 25 https://doi.org/10.32604/cmes.2026.078060
Received 23 December 2025; Accepted 18 February 2026; Issue published 30 March 2026
Abstract
Tangent hyperbolic fluids characterized by shear-thinning behavior, are widely utilized in diverse industrial and scientific fields such as polymer engineering, inkjet printing, biofluids modeling, thermal insulation materials, and chemical manufacturing. Additionally, double-diffusive convection involving simultaneous heat and mass transfer driven by temperature and concentration gradients plays a critical role in many natural and industrial systems, including oceanic circulation, geothermal energy extraction, crystal solidification, alloy formation, and enhanced oil recovery. The current work examines the peristaltic transport of a tangent hyperbolic nanofluid under the concurrent effects of thermal radiation, electroosmotic forces, slip boundary conditions, and double diffusion. The governing nonlinear equations are numerically solved using Mathematica’s NDSolve command after being simplified under the presumptions of a long wavelength, a low Reynolds number, and Debye-Huckel linearization. The analysis reveals that a rise in the velocity slip parameter decreases the core fluid velocity but increases it closer to channel walls, while increased solutal Grashof number and electroosmotic parameter result in non-uniform velocity distributions, reducing the flow towards the left wall and increasing it towards the right. The pressure gradient increases with higher electroosmotic effects and Helmholtz-Smoluchowski velocityKeywords
Peristaltic flow refers to a process in which fluids are transported through a tube or channel due to rhythmic squeezing of the tube’s walls. This type of flow is most commonly found in biological systems, where coordinated muscle contractions propel fluids forward. However, the principle is also widely applied in various engineering contexts. The mechanism’s efficiency and controllability make it vital in several fields, including biology, medicine, industry, and engineering. In the human body, peristalsis plays a crucial role in the digestive system, where muscle contractions help move food through the esophagus, stomach, and intestines, aiding in digestion and absorption. Similarly, the ureters depend on peristaltic motion to transport urine from the kidneys to the bladder, even working against gravity. Within the reproductive system, peristalsis assists in moving sperm through the male reproductive tract and in transporting the ovum through the female fallopian tubes. Additionally, peristaltic pumping occurs in certain blood vessels, such as small arteries, which help to sustain blood flow, especially under low-pressure conditions. In the medical field, this phenomenon is utilized in devices like renal replacement machines, intravenous infusion systems, and cardiopulmonary bypass devices. Industrial applications also benefit from peristaltic flow, particularly in the transport of sensitive, sanitary, or corrosive fluids. Researchers are increasingly turning their attention to non-Newtonian fluids due to their unique properties, which present significant potential in industrial, medicine, and technical fields. Unlike Newtonian fluids, which adhere to Newton’s law of viscosity, non-Newtonian fluids exhibit variable viscosity depending on the level of stress or strain rate. This leads to a more intricate relationship between stress and strain, resulting in different flow performances under various conditions. These fluids are vital in industries such as medical technology. Beauty products, food manufacturing, cosmetics, and manufacturing operations, as their ability to adjust viscosity in response to mechanical forces offer distinct advantages. However, their complex behavior also poses challenges in terms of processing, handling, and prediction. Raju and Devanathan [1,2] first investigated the peristalsis-driven motion of Generalized Newtonian fluids by applying a power-law fluid for simulating the peristaltic flow of blood. Recently, Elogail [3] used the shooting approach to numerically examine peristaltic permeation of a tangent hyperbolic fluid in a vertical asymmetric channel and concluded that a rise in temperature is subject to decrease in fluid’s viscosity. In order to investigate the homogeneous-heterogeneous reactions in peristaltic motion, Sheikh et al. [4] used a tangent hyperbolic fluid in an asymmetric channel under the influence of a magnetic field.
Nano-fluids are specially designed colloidal mixtures where nanoparticles, typically smaller than 100 nm, are suspended within a base fluid. These foundational fluids are often common liquids like biological liquids, water, lubricants and ethylene glycol. The nanoparticles are composed of substances like oxides compounds as aluminum oxide or silicon oxide, metallic elements e.g., copper and aluminum, or carbon-based materials including graphene and nanotubes. The addition of nanoparticles to fluids significantly enhances their thermal, rheological, and electrical properties, positioning nanofluids as a groundbreaking topic in the fields of heat transfer, biomedical applications, and fluid mechanics. The term “nanofluids” was first used in Argonne National Laboratory by Choi [5], where it was observed that dispersing nanoparticles in a liquid could considerably increase its thermal conductivity. This discovery paved the way for extensive research into nanofluids, using it in heat transfer systems like cooling, HVAC units, and heat exchangers. One of the pioneering studies in this area, conducted by Eastman et al. [6], demonstrated that adding copper nanoparticles to ethylene glycol could boost thermal conductivity by as much as 40%. Later, Das et al. [7] examined the nanofluid’s temperature dependency of thermal conductivity and concluded that the enhancement of thermal conductivity is subjective to temperature change where higher temperatures improve the heat transfer rates. Tripathi and Bég [8] studied the behavior of peristaltic flows in nanofluids for drug delivery applications, showing that by adjusting the concentration of nanoparticles and wave amplitude, it is possible to precisely control both the flow rate and drug diffusion. The peristalsis of a porous medium filled with a copper-water Colloidal fluid was investigated by Abbasi et al. [9]. According to their research, the copper–water nanofluid’s axial velocity falls as the volume percentage of nanoparticles rises.
Microfluidic and biomedical devices function through electroosmotic effects which operate together with peristaltic motion to achieve accurate management of flows that have low Reynolds numbers. Medical devices which use lab-on-a-chip systems require this particular coupling system to deliver drugs and perform biochemical tests and move samples without needing mechanical pumps. Electroosmosis creates an improved fluid flow system which operates through charged biological passages that include blood vessels and intestinal tracts in natural physiological flow systems. The electroosmotic–peristaltic system functions in micropumps and inkjet printers and micro-electronic cooling systems to achieve controlled fluid movement which operates at high efficiency. Mekheimer et al. [10] investigated the electron-osmosis force-induced peristaltic flow of Jeffery fluid across the tiny annulus. The computational analysis proves that the electric potential has a direct correlation with the Electric Debye Layer (EDL) thickness. Secondly, the excess axial flow is increased in the presence of an electropositive field while it is curtail under a negative electric field. Nadeem et al. [11] recognized the significance of the electro-osmosis force on micro vascular blood flow. Tripathi et al. [12] analyzed the contribution of the peristaltic motion in the presence of magnetic and electric fields of physiological fluids. In their conclusion, authors claimed that increased Hartmann numbers decrease bolus formation and change flow dynamics, whereas higher electro-osmotic parameters improve flow rates. The results have implications for the development of sophisticated fluid control systems and medical micro pumps in the nuclear and aerospace industries. Narla and Tripathi [13] assessed the electroosmotic induced blood circulation via a curved micro channel. Current research is being done on electro-osmotic transfers [14–17].
In fluid mechanics, thermal radiation becomes important when there are large temperature variations either within the fluid itself or between the fluid and its environment. This form of radiation involves the emission of electromagnetic waves, mainly in the infrared spectrum, due to an object’s temperature. It serves as a mode of energy transfer resulting from the random motion of charged particles within a material. Any object warmer than absolute zero emits this type of radiation. Thermal radiation is the term used to describe the phenomenon of heat transfer by electromagnetic waves. The large temperature differential between the two media is the cause of it. At this temperature, many technical processes take place. In the fields of aerospace, nuclear reactors, engineering and physics, power plants, glass manufacturing, furnace design, and other fields, thermal radiation plays a significant role in flow and heat propagation. Thermal heat transfer through radiation is known to have a major effect on a range of technological devices and industrial operations at high temperatures. These include fire propagation, materials processing, and combustion systems, propulsion of rockets [18], plume dynamics [19], and solar collector performance [20]. The thermal consequences of radiation on the boundary layer of viscous fluid motion that conducts electricity was investigated by Seddeek [21] and Raptis et al. [22]. The sources list mentions only a few current works on the subject [23–26]. Thermal radiation significantly influences heat transfer in peristaltic flows, affecting both the movement of the fluid and the distribution of temperature within the system. In the domains requiring accurate temperature control and effective fluid movement, like in medical technologies, refrigeration units, and manufacturing operations, comprehending how heat radiation interacts with wave-like fluid motion is vital for enhancing efficiency and functionality. Thermal radiation significantly influences nanofluid peristaltic flows by enhancing heat transfer and altering flow characteristics. The combination of nanoparticles, thermal radiation, and peristaltic motion is especially important in applications like healthcare equipment, thermal regulation technologies, and energy optimization, where efficient control of heat and fluid dynamics is vital for overall system performance. Numerous studies have investigated the effects of thermal radiation on nanofluidic peristaltic flows under various geometries [27–30].
Double diffusive convection (DDC) describes a fluid flow process where two distinct diffusion mechanisms—commonly mass transfer and heat transfer—take place simultaneously within a fluid system. These processes influence one another, generating convective movements because of the differences in their diffusion rates. This phenomenon is especially important in environments with both temperature and concentration gradients, as their interaction leads to intricate flow patterns. Examples of DDC include salt fingering and thermohaline circulation in marine environments. Double diffusive convection (DDC) is present in magma chambers and the Earth’s mantle, where temperature differences and variations in chemical composition generate convective currents that influence tectonic movements. DDC also plays a crucial role in systems like thermal transfer system, structural thermal barriers, and chemical reactors. In biological contexts, DDC may occur when both concentration gradients such as salt levels and temperature gradients drive the movement of fluids and nutrients across membranes. Due to its significance across various fields, this phenomenon has been extensively studied through multiple models, particularly in relation to peristaltic flows and nanofluid behavior [31–35].
Regardless of advancements in the research of electroosmotic and peristaltic flows, the combined impact of electroosmosis, double-diffusive convection, and non-Newtonian behavior specifically for tangent hyperbolic nanofluid is still too inadequately investigated. All the current models either ignore the rheological richness of shear-thinning fluids or exclude the role of solutal transport and electric field interactions in narrow spaces. To fill this gap, this work examines tangent hyperbolic nanofluid peristaltic flow under the concurrent action of double-diffusion convection and electroosmotic forces based on the application of the Debye–Hückel approximation to describe the electrokinetic potential. Formulation includes slip effects in terms of velocity, solutal, and nanoparticle, more accurately representing conditions in real microfluidics. This work is very much applicable to contemporary lab-on-a-chip devices, electrokinetic drug delivery, biosensors, and bio-micropumps, where fluid flow control and species transport in non-Newtonian fluids under electric fields are paramount. The findings shed more light on how electroosmotic transport can be optimized in non-Newtonian fluid environments, particularly in bioengineering and microfluidic applications.
The primary objective of this research focuses on conducting a detailed analysis of electrical impacts which occur when an incompressible tangent hyperbolic nanofluid moves through a two-dimensional channel with a total width of

Figure 1: Asymmetric peristaltic channel with nanoparticles and electroosmosis.
The functions of the asymmetric channel walls are defined as follows:
where,
Herein,
hence
Herein, the invariant second strain tensor, denoted as
The general forms of continuity equation, momentum equation, Thermal distribution, nanoparticles and solute Concentration are given as:
The tangential component of Eq. (4) is defined as
The components form of the Eqs. (6)–(10) are found as
Eq. (15) encompasses the term
where
Here we introduce a set of wave transformations as follows [1–4]:
Putting the above values in the Eqs. (12)–(17), we have
Eq. (11) will become
Defining the dimensionless variables as follows [1–10]:
After putting the above non-dimensional values in the Eqs. (23)–(29), we get
The stress components in dimensionless form are given as
Through the utilization of the stream function formulation, the momentum equations are modified and expressed in terms of a single dependent variable
By imposing the physical constraints of an extended wavelength approximation
Differentiating Eq. (37) with respect to the variable
The Poisson equation is defined as [10,11,13–15]
where
By Debye-Huckel linearization that is,
Now Eq. (43) becomes:
Comparing Eqs. (43) and (46), we found
Now using dimensionless parameters in above equation, we obtain
where
The solution of the above system is found numerically using NDSolve tool on Mathematica.
The non-dimensional form of the mean flow
where
Here
In dimensionless form, the boundary constraints are expressed as:
The Sherwood number (mass transfer rate) and Nusselt number (heat transfer rate) are described as follows:
The expression for pressure rise is given as
In the current portion of the article, the effects of electro osmosis-induced transport, radiative heat transfer, and the presence of a porous media on the peristaltic movement of a hyperbolic tangent model have been thoroughly investigated using comprehensive graphical diagrams. The numerical solutions corresponding to the thermal field, velocity distribution, rate of heat transfer, and the frictional coefficient associated with nanoparticles have been meticulously derived and computationally resolved employing the advanced algorithmic source of Mathematica software through NDSolve tool. These findings have been thoroughly illustrated and deeply discussed using a variety of graphical representations that elucidate the complex relationships and consequent impacts of the aforementioned physical phenomena on the fluid system’s motion and thermal behavior.
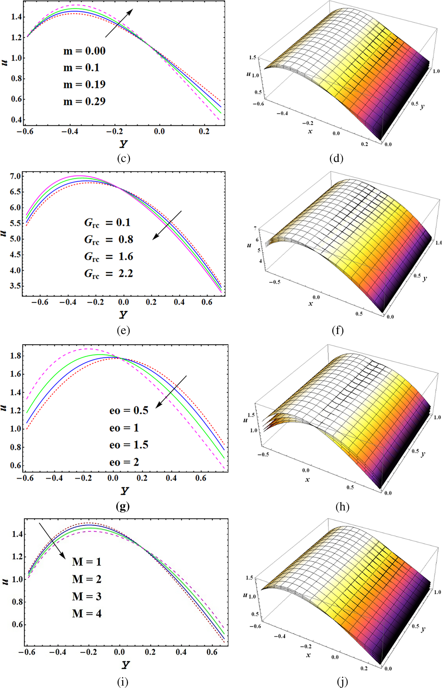
The graphical depictions in Fig. 2a–h elucidate the relation between flow speed and key governing parameters, including the velocity slip parameter

Figure 2: Variations of velocity for (a,b)
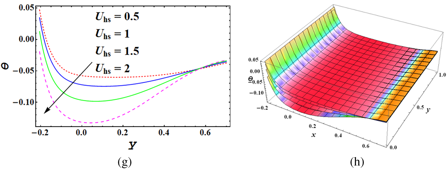
In an effort to look into thermal effects on the Hartmann number

Figure 3: Variations of temperature for (a,b) M (c,d)
To analyze the mastery of solvent concentration on the Soret parameter

Figure 4: Variations of concentrations for (a,b)
3.4 Nanoparticle Fraction Profile
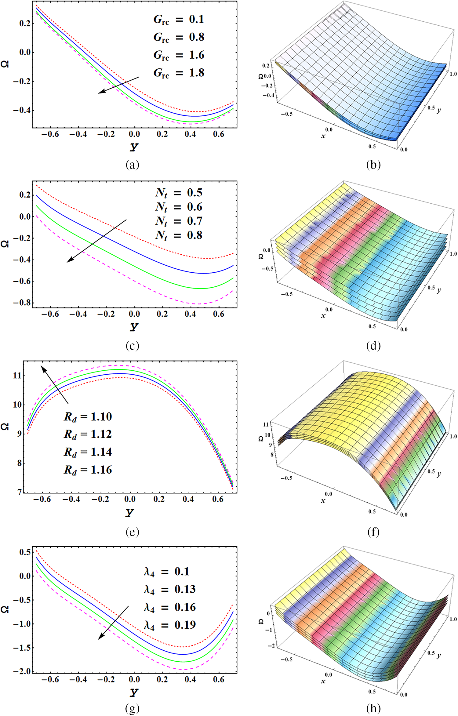
To explore the stimulus of nanoparticle fraction on the solutal Grashof number

Figure 5: Variations of nanoparticle fraction for (a,b)
The impact of the pressure gradient on Helmholtz-Smoluchowski velocity (

Figure 6: Variations of pressure gradient for (a)
The implications of pressure rise on

Figure 7: Variation of pressure rise for (a)

Fig. 7a demonstrates that while a relatively larger pressure is seen in the retrograde flow regime, raising the velocity slip parameter
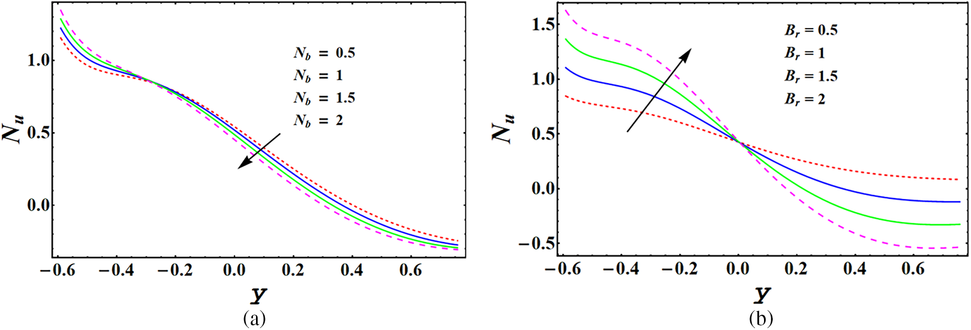
Fig. 8a,b is built to investigate the promotion of the Nusselt number (

Figure 8: Variations of Nusselt number for (a)
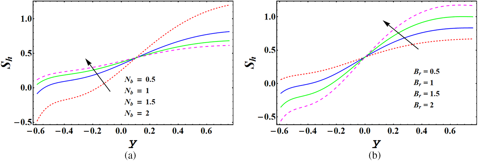
The graphical plots in Fig. 9a,b clarify the influence of Sherwood number (

Figure 9: Variations of Sherwood number for (a)
Trapping in peristaltic flow appears as the creation and transport of discrete masses of fluid or boluses through a conduit filled with fluid. Trapping is defined by the creation of distinctive streamline structures around the bolus, which is propelled by high pressure peristaltic waves. Trapping appears when significant occlusions capture and transport the bolus, a mechanism that enhance mixing and separation processes in chemical, biological, and microfluidic engineering applications. Figs. 10 and 11 illustrate the influence of streamlines for varying quantities of the thermal radiation parameter (

Figure 10: (a–d) Streamlines against

Figure 11: (a–d) Streamlines against
Table 2 provides the comparison of current results with existing literature Naduvinamani et al. [36]. It shows that the current results are extremely valid and agreed with those of [36] through limiting case. It also shows that the slip effects consider for increasing the flow velocity at the peristaltic walls.

The quintessential goal of this research is to attempt a profound insight into the diverse hydrodynamic behavior of a tangent hyperbolic fluid, based on the postulates of a long wavelength and a substantially reduced Reynolds number in the context of an asymmetric channel. Numerical solutions, carefully computed, are meticulously determined for a list of significant physical variables, including velocity, temperature, concentration, pressure rise, volume fraction of nanoparticles, stream function, and pressure gradient. The solutions are aimed at defining The implications of several dimensionless parameters on the dynamics of flow are systematically examined and graphically outlined, with an extensive discussion of their resultant implications. The key findings and the general conclusions of this research effort are stated as below:
❖ The results show that velocity slip causes slower flow speeds at the center of the channel but faster flow speeds at the channel walls. The flow velocity decreases when solutal Grashof number and electroosmotic parameter values rise for leftward movement yet it increases for rightward flow direction. The power law index changes speed patterns in various areas of the flow which shows how these parameters interact with each other.
❖ A rise in Hartmann number (
❖ Concentration profile decreases with rising values of the Soret parameter (
❖ The volume fraction of nanoparticles rises as the thermal radiation effect (
❖ As an Electroosmotic parameter
❖ In the retrograde and free pumping zones, velocity slip (
❖ Streamlines graphs demonstrate that as the Solutal Grashof number (
❖ In future we can extend this work by using hybrid nanofluid models, various geometries and using certain modern methodologies.
Acknowledgement: The authors extend their appreciation to the Deputyship for Research & Innovation, Ministry of Education in Saudi Arabia for funding this research work through the project number 0038-1446-S.
Funding Statement: This research work was supported by the Ministry of Education–Kingdom of Saudi Arabia through the project number 0038-1446-S.
Author Contributions: The authors confirm contribution to the paper as follows: Conceptualization, Yasir Khan; Methodology and supervision, Arshad Riaz; Writing—original draft and language, Iqra Batool; Software and resources, Safia Akram; Mathematical modeling, A. Alameer; Review and editing, geometry and validation, Ghaliah Alhamzi. All authors reviewed and approved the final version of the manuscript.
Availability of Data and Materials: All data generated or analyzed during this study are included in this article.
Ethics Approval: Not applicable.
Conflicts of Interest: The authors declare no conflicts of interest.
Nomenclature
| Symbol | Definition |
| Wave amplitudes | |
| Velocities in | |
| Speed of velocity | |
| Time | |
| Wavelength | |
| Temperature | |
| Concentration | |
| Electric potential | |
| Pressure in dimensional and non-dimensional form | |
| Gravitational Acceleration | |
| Slip parameters | |
| First Reviling-Erickson tensor | |
| Thermal Grashof number | |
| Dufour diffusivity | |
| Thermal conductivity | |
| Lewis number | |
| Nanoparticles volume fraction | |
| Solutal concentration | |
| Reynolds number | |
| Solutal Grashof number | |
| Nusselt number (Heat transfer rate) | |
| Stream function | |
| Soret parameter | |
| Prandtl number | |
| Brownian motion | |
| Wave number | |
| Thermosphoresis parameter | |
| Weissenberg number | |
| Temperature | |
| Dufour parameter | |
| Nanofluid Lewis number | |
| Nanoparticles Grashof number | |
| Hartmann number | |
| Coefficient of Brownian diffusion | |
| Solutal diffusivity | |
| Thermophoretic diffusion coefficient | |
| Soret diffusivity | |
| Sherwood number (Mass transfer rate) | |
| Rd | Thermal radiation Effect |
| Br | Brinkman number |
| Nanoparticles effective heat capacity | |
| Fluid heat capacity |
References
1. Raju KK, Devanathan R. Peristaltic motion of a non-Newtonian fluid. Rheol Acta. 1972;11(2):170–8. doi:10.1007/BF01993016. [Google Scholar] [CrossRef]
2. Kanaka Raju K, Devanathan R. Peristaltic motion of a non-Newtonian fluid: part II. Visco elastic fluid. Rheol Acta. 1974;13(6):944–8. doi:10.1007/BF01526678. [Google Scholar] [CrossRef]
3. Elogail MA. Peristaltic flow of a hyperbolic tangent fluid with variable parameters. Results Eng. 2023;17:100955. doi:10.1016/j.rineng.2023.100955. [Google Scholar] [CrossRef]
4. Sheikh M, Rizwan M, Hasnain J, Abbas Z, Rafiq MY. Peristaltic flow of magnetized hyperbolic tangent fluid through an asymmetric channel in the presence of homogeneous-heterogeneous reactions. Adv Mech Eng. 2024;16(12):1–15. doi:10.1177/16878132241308929. [Google Scholar] [CrossRef]
5. Choi SUS. Enhancing thermal conductivity of fluids with nanoparticles. In: Proceedings of the ASME 1995 International Mechanical Engineering Congress and Exposition; 1995 Nov 12–17; San Francisco, CA, USA. doi:10.1115/imece1995-0926. [Google Scholar] [CrossRef]
6. Eastman JA, Choi SUS, Li S, Yu W, Thompson LJ. Anomalously increased effective thermal conductivities of ethylene glycol-based nanofluids containing copper nanoparticles. Appl Phys Lett. 2001;78(6):718–20. doi:10.1063/1.1341218. [Google Scholar] [CrossRef]
7. Das SK, Putra N, Thiesen P, Roetzel W. Temperature dependence of thermal conductivity enhancement for nanofluids. J Heat Transf. 2003;125(4):567–74. doi:10.1115/1.1571080. [Google Scholar] [CrossRef]
8. Tripathi D, Bég OA. A study on peristaltic flow of nanofluids: application in drug delivery systems. Int J Heat Mass Transf. 2014;70:61–70. doi:10.1016/j.ijheatmasstransfer.2013.10.044. [Google Scholar] [CrossRef]
9. Abbasi FM, Hayat T, Ahmad B. Peristaltic transport of copper-water nanofluid saturating porous medium. Phys E Low Dimens Syst Nanostruct. 2015;67:47–53. doi:10.1016/j.physe.2014.11.002. [Google Scholar] [CrossRef]
10. Mekheimer KS, Abo-Elkhair RE, Moawad AMA. Electro-osmotic flow of non-Newtonian biofluids through wavy micro-concentric tubes. BioNanoScience. 2018;8(3):723–34. doi:10.1007/s12668-018-0523-6. [Google Scholar] [CrossRef]
11. Nadeem S, Kiani MN, Saleem A, Issakhov A. Microvascular blood flow with heat transfer in a wavy channel having electroosmotic effects. Electrophoresis. 2020;41(13–14):1198–205. doi:10.1002/elps.201900465. [Google Scholar] [PubMed] [CrossRef]
12. Tripathi D, Bhushan S, Bég OA. Transverse magnetic field driven modification in unsteady peristaltic transport with electrical double layer effects. Colloids Surf A Physicochem Eng Asp. 2016;506:32–9. doi:10.1016/j.colsurfa.2016.06.004. [Google Scholar] [CrossRef]
13. Narla VK, Tripathi D. Electroosmosis modulated transient blood flow in curved microvessels: study of a mathematical model. Microvasc Res. 2019;123:25–34. doi:10.1016/j.mvr.2018.11.012. [Google Scholar] [PubMed] [CrossRef]
14. Abbasi A, Mabood F, Farooq W, Khan SU. Radiation and joule heating effects on electroosmosis-modulated peristaltic flow of Prandtl nanofluid via tapered channel. Int Commun Heat Mass Transf. 2021;123:105183. doi:10.1016/j.icheatmasstransfer.2021.105183. [Google Scholar] [CrossRef]
15. Akram J, Akbar NS, Maraj EN. A comparative study on the role of nanoparticle dispersion in electroosmosis regulated peristaltic flow of water. Alex Eng J. 2020;59(2):943–56. doi:10.1016/j.aej.2020.03.017. [Google Scholar] [CrossRef]
16. Jayavel P, Jhorar R, Tripathi D, Azese MN. Electroosmotic flow of pseudoplastic nanoliquids via peristaltic pumping. J Braz Soc Mech Sci Eng. 2019;41(2):61. doi:10.1007/s40430-018-1555-0. [Google Scholar] [CrossRef]
17. Narla VK, Tripathi D, Bég OA. Analysis of entropy generation in biomimetic electroosmotic nanofluid pumping through a curved channel with joule dissipation. Therm Sci Eng Prog. 2020;15:100424. doi:10.1016/j.tsep.2019.100424. [Google Scholar] [CrossRef]
18. Yang G, Ebadian MA, Campo A. Radiation convection in a thermally developing duct flow of noncircular cross section. J Thermophys Heat Transf. 1991;5(2):224–31. doi:10.2514/3.251. [Google Scholar] [CrossRef]
19. Watson GH, Lee AL. Thermal radiation model for solid rocket booster plumes. J Spacecr Rockets. 1977;14(11):641–7. doi:10.2514/3.27989. [Google Scholar] [CrossRef]
20. Bég OA, Ali N, Zaman A, Bég ETA, Sohail A. Computational modeling of heat transfer in an annular porous medium solar energy absorber with the P1-radiative differential approximation. J Taiwan Inst Chem Eng. 2016;66:258–68. doi:10.1016/j.jtice.2016.06.034. [Google Scholar] [CrossRef]
21. Seddeek MA. Effects of radiation and variable viscosity on a MHD free convection flow past a semi-infinite flat plate with an aligned magnetic field in the case of unsteady flow. Int J Heat Mass Transf. 2002;45(4):931–5. doi:10.1016/s0017-9310(01)00189-2. [Google Scholar] [CrossRef]
22. Raptis A, Perdikis C, Takhar HS. Effect of thermal radiation on MHD flow. Appl Math Comput. 2004;153(3):645–9. doi:10.1016/s0096-3003(03)00657-x. [Google Scholar] [CrossRef]
23. Dharmaiah G, Balamurugan KS, Saxena H, Fernandez-Gamiz U, Noeiaghdam S, Dinesh Kumar M, et al. Exploration of physical characteristics of gyrotactic microorganisms and Cattaneo-Christov heat flux past a cone and a wedge with thermal radiation. Case Stud Therm Eng. 2025;68:105916. doi:10.1016/j.csite.2025.105916. [Google Scholar] [CrossRef]
24. Dinesh kumar M, Díaz Palencia JL, Dharmaiah G, Wakif A, Noeiaghdam S, Fernandez-Gamiz U, et al. ANFIS-PSO analysis on axisymmetric tetra hybrid nanofluid flow of Cu-CNT-Graphene-Tio2 with WEG-Blood under linear thermal radiation and inclined magnetic field: a bio-medicine application. Heliyon. 2025;11(1):e41429. doi:10.1016/j.heliyon.2024.e41429. [Google Scholar] [PubMed] [CrossRef]
25. Zeeshan N, Ahammad NA, Rasheed HU, El-Deeb AA, Almarri B, Ali Shah N. A numerical intuition of activation energy in transient micropolar nanofluid flow configured by an exponentially extended plat surface with thermal radiation effects. Mathematics. 2022;10(21):4046. doi:10.3390/math10214046. [Google Scholar] [CrossRef]
26. Madhu J, Madhukesh JK, Sarris I, Prasannakumara BC, Ramesh GK, Ali Shah N, et al. Influence of quadratic thermal radiation and activation energy impacts over oblique stagnation point hybrid nanofluid flow across a cylinder. Case Stud Therm Eng. 2024;60:104624. doi:10.1016/j.csite.2024.104624. [Google Scholar] [CrossRef]
27. Asha SK, Sunitha G. Influence of thermal radiation on peristaltic blood flow of a Jeffrey fluid with double diffusion in the presence of gold nanoparticles. Inform Med Unlocked. 2019;17:100272. doi:10.1016/j.imu.2019.100272. [Google Scholar] [CrossRef]
28. Kothandapani M, Prakash J. Effects of thermal radiation parameter and magnetic field on the peristaltic motion of Williamson nanofluids in a tapered asymmetric channel. Int J Heat Mass Transf. 2015;81:234–45. doi:10.1016/j.ijheatmasstransfer.2014.09.062. [Google Scholar] [CrossRef]
29. Hussein SA, Eldabe NT. Peristaltic transport of radiative and dissipative MHD third order nanofluid through the vertical asymmetric channel with heat and mass convection. Int J Ambient Energy. 2024;45:2266435. doi:10.1080/01430750.2023.2266435. [Google Scholar] [CrossRef]
30. Ahmed B, Liu D, Zhang Y, Hussien MA. Peristaltic pumping of convective nanofluid with magnetic field and thermal radiation in a porous channel. Case Stud Therm Eng. 2024;53:103918. doi:10.1016/j.csite.2023.103918. [Google Scholar] [CrossRef]
31. Bég OA, Tripathi D. Mathematica simulation of peristaltic pumping with double-diffusive convection in nanofluids: a bio-nano-engineering model. Proc Inst Mech Eng Part N J Nanoeng Nanosyst. 2011;225(3):99–114. doi:10.1177/1740349912437087. [Google Scholar] [CrossRef]
32. Akram S, Athar M, Saeed K, Umair MY. Double-diffusive convection with peristaltic wave in Sisko fluids along with inclined magnetic field and channel. Waves Random Complex Medium. 2021;34(5):3789–811. doi:10.1080/17455030.2021.1983238. [Google Scholar] [CrossRef]
33. Alolaiyan H, Riaz A, Razaq A, Saleem N, Zeeshan A, Bhatti MM. Effects of double diffusion convection on third grade nanofluid through a curved compliant peristaltic channel. Coatings. 2020;10(2):154. doi:10.3390/coatings10020154. [Google Scholar] [CrossRef]
34. Akram S, Saeed K, Athar M, Riaz A, Razia A, Mahmoud EE. Magnetized peristaltic flow of Sisko nanofluid under thermal radiation and double-diffusive convection with viscous dissipation and slip effects in an asymmetric channel. Part Sci Technol. 2025;43(2):229–46. doi:10.1080/02726351.2025.2450410. [Google Scholar] [CrossRef]
35. Sharma A, Tripathi D, Sharma RK, Tiwari AK. Analysis of double diffusive convection in electroosmosis regulated peristaltic transport of nanofluids. Phys A Stat Mech Appl. 2019;535:122148. doi:10.1016/j.physa.2019.122148. [Google Scholar] [CrossRef]
36. Naduvinamani NB, Guttedar AS, Shankar U, Basha H. Magnetohydrodynamic peristaltic flow of unsteady tangent-hyperbolic fluid in an asymmetric channel. Heat Trans. 2021;50(1):370–95. doi:10.1002/htj.21881. [Google Scholar] [CrossRef]
Cite This Article
Copyright © 2026 The Author(s). Published by Tech Science Press.This work is licensed under a Creative Commons Attribution 4.0 International License , which permits unrestricted use, distribution, and reproduction in any medium, provided the original work is properly cited.


Submit a Paper
Propose a Special lssue
View Full Text
Download PDF
Downloads
Citation Tools