Open Access
ARTICLE
Optimizing Service Stipulation Uncertainty with Deep Reinforcement Learning for Internet Vehicle Systems
1 Department of Information and Communication Engineering, Yeungnam University, Gyeongsan-si, Korea
2 Department of Computer Science and Engineering, KLEF, India
3 Department of Computer Engineering, Faculty of Engineering and Architecture, Istanbul Gelisim University, Istanbul, 34310, Turkey
4 School of Computer Science and Engineering, VIT University, Vellore, India
* Corresponding Author: Sung Won Kim. Email:
Computers, Materials & Continua 2023, 74(3), 5705-5721. https://doi.org/10.32604/cmc.2023.033194
Received 10 June 2022; Accepted 22 September 2022; Issue published 28 December 2022
Abstract
Fog computing brings computational services near the network edge to meet the latency constraints of cyber-physical System (CPS) applications. Edge devices enable limited computational capacity and energy availability that hamper end user performance. We designed a novel performance measurement index to gauge a device’s resource capacity. This examination addresses the offloading mechanism issues, where the end user (EU) offloads a part of its workload to a nearby edge server (ES). Sometimes, the ES further offloads the workload to another ES or cloud server to achieve reliable performance because of limited resources (such as storage and computation). The manuscript aims to reduce the service offloading rate by selecting a potential device or server to accomplish a low average latency and service completion time to meet the deadline constraints of sub-divided services. In this regard, an adaptive online status predictive model design is significant for prognosticating the asset requirement of arrived services to make float decisions. Consequently, the development of a reinforcement learning-based flexible x-scheduling (RFXS) approach resolves the service offloading issues, where x = service/resource for producing the low latency and high performance of the network. Our approach to the theoretical bound and computational complexity is derived by formulating the system efficiency. A quadratic restraint mechanism is employed to formulate the service optimization issue according to a set of measurements, as well as the behavioural association rate and adulation factor. Our system managed an average 0.89% of the service offloading rate, with 39 of delay over complex scenarios (using three servers with a 50% service arrival rate). The simulation outcomes confirm that the proposed scheme attained a low offloading uncertainty, and is suitable for simulating heterogeneous CPS frameworks.Keywords
Increasing the deployment of Internet of Things (IoT) devices and maintaining the generated data is a hectic challenge [1]. In this regard, cloud data centres provide reliable services for accomplishing it. Nevertheless, several drawbacks show an impact in terms of latency network congestion, leased service cost, and especially geographical distance, which causes the unavailability of cloud resources [2,3]. The fog computing paradigm enlarges the services to the network edge to overcome all the disadvantages listed above. A conventional fog computerized framework contains a group of distributed fog computing entities (fog nodes) that are geographically connected with limited resources. Fog nodes are frequently systematized over every level in the form of a tiered architecture, depending upon their length of space to IoT equipment. Resource-restricted devices may use an offloading mechanism to forward part of their workloads towards a nearby edge server (ES)/node through the communication channel. This process minimizes vitality wastage and increases the performance of the system [4,5].
Motivation: Technically, fog computing becomes an intermediate layer for fulfilling the requirements of the IoT one by inheriting certain cloud services to improve the framework performance in terms of resource usage, as well as the equilibrium of the arrived load, in addition to service latency. Usually, most existing service offloading methods select the non-overloaded servers due to the high resource availability to achieve high service reliability. As a result, the deadline-sensitive application requirements can be violated due to the long queue length and excessive waiting time. Therefore, one possible solution is to divide the task into sub-tasks, which are preferred for executing the arrived workload parallel through the inspiration of the divide-and-conquer rule. Two fascinating research questions may arise with a trade-off between power and latency.
1. To what extent will the workloads be offloaded towards consecutive fog tiers?
2. What allocation and estimation of resources will be needed to execute the arrived services? That concludes the offload decision.
Making the right time decision about these questions is crucial but still ambitious because of time variations in wireless systems, as well as unreliable offloading and unrecognized data traffic [6,7].
Stable service allocation in IoT systems is a Herculean task [8]. If the device moves to another location, there will be a change in wireless channel conditions, leading to more time being required for wireless transmission and degrading to achieve the quality of service (QoS) [9,10]. Furthermore, IoT errands are distinct from various locations that may demand different computing assets. Hence, the decisions on errand allocation are to be altered according to the required resources.
Generally, the active device location is not static, and that generates multiple computing errands at every location, subsequently offloading all computation-intensive service requests (SRs) to nearby edge servers (ESs). Here, the ES manager is responsible for taking all decisions related to SR allocations. Estimating the future position based on forthcoming SRs is uncertain and unrealistic to optimize. Hence, an optimized asset-intensive reinforcement method is required to make SR allocation decisions according to the modern status of the network [11] to address SR allocation issues. Moreover, due to the restricted battery capacity, every device’s energy consumption between various points is vital. In particular, the greater vitality consumption of the present location may strip energy for the next processes as a result [12,13]. Therefore, we developed a deep reinforcement learning approach to streamline the above-listed challenges to formulate errand allocation decisions per the demand by designing an online service offloading algorithm. The significant contributions of our work are listed below.
1. Designing and developing a reinforcement learning-based flexible x-scheduling (RFXS) approach to resolving the service offloading issues according to a reinforcement-based errand allocation method and probabilistic resource requirement analysis model, which includes a set of node-centric measurements, as well as the behavioural association rate and adulation factor.
2. Constructing a reinforcement-based errand allocation method to offload computation-intensive services to various ESs to depreciate the average errand completion time by meeting related constraints.
3. Developing a probabilistic resource requirement analysis model based on future node-centric resource requirements and uncertain local computing information to increase the performance of the IoT-fog system.
The remainder of this article is organized as follows. In Section 2 we review related works. Then, we describe the IoT-reinforcement learning-based flexible task and resource scheduling (RFTRS) architecture for errand and resource allocation in Section 3. Section 4 describes the end user (EU) demand and resource usage rate attribute-based deep reinforcement learning method. The RFTRS scheme and feasible node selection algorithm are introduced in Section 5, and the evaluated performance of the proposed scheme is described in Section 6. Finally, we conclude this article in Section 7.
This section outlines the research gap correlations and contrasts existing works. Researchers must optimize task allocation and asset scheduling issues in IoT environments with various probability methods. In addition, they must concentrate on scaling the assets up and down as per demand with the design of a novel asset policy that should meet multiple research objectives. In [14], the analysis introduced asset scheduling approaches over a clustering mechanism with a distributed environment to optimize the resource usage. In [15,16], the investigators designed an asset provision model through a token-based service method for a cloud data centre (CDC) to enhance the service execution reliability. The developed method is intended to meet user requirements according to a planned scheduling policy to accommodate the services at less cost. In [17], the study advanced a content-aware mapping method which allocates the virtual machines (VMs) according to a bandwidth-intensive rate. To overcome the consequences of a server perspective policy, the author has constructed a resource allocation method to diminish asset conflicts using graph theory in [18], and also streamlined the VM allocation problem through the asset equilibrium mechanism.
In [19], the researchers streamlined the workload allocation problem of an optimized multi-objective system by conceding the service reliability rate to diminish the service cost with less completion time, and also designed a co-operative method to regulate the asset provisioning issue based on game theory. However, previous works have not examined the task scheduling issues of active IoT devices in IoT-fog networks. In [20], the author has focused on optimizing the impact of fault restoration on service performance by considering the VMs’ track record (recovery and communication rate) outcome. However, none of the explained methods resolved fog-service request scheduling issues over IoT environments.
In [21], the study developed an efficient data loss fetching model as well as a practical path estimation one for the IoT framework and concentrated on designing a reliable leased cost system. In [22], the author has created a design to estimate the nodes’ flexibility by conceding the statistical analysis of previous node failures with log data. In [23], the researcher has used a smart mobile as a node to accommodate computing assets at the edge with adaptive architecture to accomplish a reliable service system. However, the above methods are concentrated on the asset failures of the IoT-fog system and not service offloading issues.
The offloading mechanism resolution enables flat offloading and upright offloading/collaboration towards the IoT-fog environment. Most edge servers execute the accommodated data but use flat/upright collaboration. However, a few investigations have been conducted with nearby nodes using flat collaboration and upright partnership towards cloud servers in [24] to achieve low latency. In [25], the authors have designed flat and upright collaborations through novel asset allocation methods to diminish the service request (SR) execution time. In their investigation, waiting queue time has not been considered because of queue maintenance by the ES manager. Furthermore, various delay constraints are vital in diminishing delays by regulating transmission and computing-related asset distribution. The communication delay issues among deployed nodes were conceded in [26], but they were missed when concentrating on multi-user scenario issues. In [27], a model was devised to minimize the performance delay by optimizing queue delay, which plays a vital role during the computation offloading mechanism in multi-tenant scenarios (which receives both end tasks) in a fog environment.
The
To facilitate responsible fog-IoT networks, our previous work [36] discusses the fog asset scheduling over IoT frameworks by contemplating VM flops to reduce the service execution cost. The trade-off between the task allocation cost and reliability has never been examined. In this document, we designed a multi-objective RFTRS mechanism to optimize the uncertainty in the service offloading scheme by examining the trade-off between reliable errand allocation, asset scheduling rate and cost, with a deep reinforcement learning system.
The proposed fog-cloud RFTRS architecture enables a cloud server, edge servers (ESs) and EU, as depicted in Fig. 1. The ES and EU sets are denoted as

Figure 1: System model

3.1 User demand (UD) Entail Attribute Queuing Analysis in AW Allocation
Initially, the EU resources are used to perform the allocated SR at the time interval
Consider that
where
3.2 Identifying Potential Nodes
At first, we estimate the behavioural association rate
The feasibility factor of the EU is estimated by considering the bar value at every slot, with the below Eq. (3). It plays a vital role in avoiding the redundancy and proficiency of the EU.
where
Moreover, we examine some particular features of concern during time slots, so some of the users may use the adulation factor without examining distance. The adulation factor is evaluated with Eq. (5), where
The system model concentrates on formulating task scheduling issues with minimized time through demand-based resource sharing over the IoT system. For instance, the EU (for example, a camera) forwarded
Definition 1: Suppose the
Where
Case 1: if
Then the ready time is to be Eq. (8)
Case 2: if
Then the ready time is to be Eq. (9)
Case 3: if
Definition 2: The completion time of a SR on the
Case 1: If there is no transmission wait queue during local execution on ES, then the sub-SR finish time is estimated by Eq. (12).
Case 2: Similarly, the cloud server requires some time to execute the received SR, as estimated by Eq. (13)
Definition 3: The computation time on each ES is described as the summation of computation latency
where
Now, optimizing the latency while sharing the resources among ESs accomplishes a balanced resource usage. Therefore, the manuscript anticipation is defined as Eq. (15)
where
In this section, a heuristic algorithm is derived from executing the arrived SR at the device level by the device manager strategy at each layer with complete SR demands, such as the SR length and the compute capacity, as well as the SR deadline, etc. The system resolves the local computation issue with less computation complexity. The fundamental objective is to allocate the SR to the ES, which pursues a smaller processing factor (PF) value
where
Selecting a feasible ES is a hectic task, but we measure the four types of attributes through graph theory, as mentioned in algorithm 2. The second algorithm chooses the shortest path among all the hooked nodes in the framework. Through undirected graph theory, a suitable ES is selected based on a weighted matrix mechanism. For each ES, the bar value is estimated to analyse its location at a comfort level and the probability of selecting a nearby ES. The adulation factor is used to analyse the previous track record of the ES and its capability through the matrix mechanism, which can be observed in algorithm 2. Most existing methods consider distance among nodes as a parameter for accomplishing the task, but we considered both the range and track record of the node using a set of measurements, as well as the behavioural association rate and adulation factor. This process iterates in every step to choose the centralized ES over the IoT environment.


6 Simulation Setup for Performance Analysis
This section estimates the RFTRS performance for efficient SR allocation with the MATLAB simulation system. We set the computing capacity of each device, and it is updated in Table 2. We used 100 m


We considered five ESs deployed around a 1500 m
Fig. 2 shows the workload computing variances between ESs, and our approach has a low-risk rate compared to the rest of the approaches (

Figure 2: ESs’ computing loads
Fig. 3a illustrates the delay analysis report during the EUs’ upload of a part of the sub-SR to the ES along with the comparative analysis of the ES workload. We have not conceded the compute cost when it is offloaded to the cloud or a nearby ES during local computing by an ES. Here, we can observe the delay when the ES

Figure 3: Delay analysis of each ES
Fig. 3b, shows the delay analysis comparison with respect to the EUs. Assuming the ES count is equal to the EU one, then there is a marked difference in performance. When the work arrival rate raises, there is also an increase in the delay rate. Both are dependent on each other. This is because each EU has accommodated a greater number of sub-SRs, equivalent to its computing capacity. Additionally, the EU is restricted by limited assets (compute, storage) and a minimum number of ESs. In many cases, services beyond the limited capacity of received data are to be offloaded towards the cloud for the computation process. As per the outcomes rate, the delay grew due to the communication one while offloading the sub-SR towards the cloud.
Fig. 4a illustrates the offloading influence rate between the EU and ES. Local computing in ES might generally have a low offloading demand since it is packed with all the entail assets. Therefore, it may not have an unfavourable influence because of the delay in the ES-cloud framework. Generally, the offloading rate is low between the EU and ES, even though the ES has a notable enrichment delay. Our errand allocation package optimally determines the available ES where it is supposed to execute to meet the service deadline. Essentially, the developed policy ensures better computational assets compared with its local computing of ES during cloud and ES collaboration. The ES service rate, communication rate among the cloud, and the ES influence the total delay. Consequently, a further rise in the offloading rate in EUs and ES has not caused the delay.

Figure 4: Delay analysis with task arrival rate
Fig. 4b describes the offloading rate influence between the ES and cloud. Subsequently, the ES-cloud offloading rate has not affected the local computing of the ES. We can observe in Fig. 4b that as the offloading rate from ES-cloud is raised, high SR data can offload using cloud computation assets, and the outcome is reduced delay. If the ES count is enhanced, then, apparently, the EU’s connection rate towards the ESs also increases. Subsequently, the offloading could be balanced among ESs; in terms of the ES to cloud, the offloading time also increases, thereby improving the total delay. Table 4 shows the makespan and probability of the cumulative distribution function (PCDF) outcomes regarding proposed and state-of-the-art approaches. Our system has received an accurate makespan

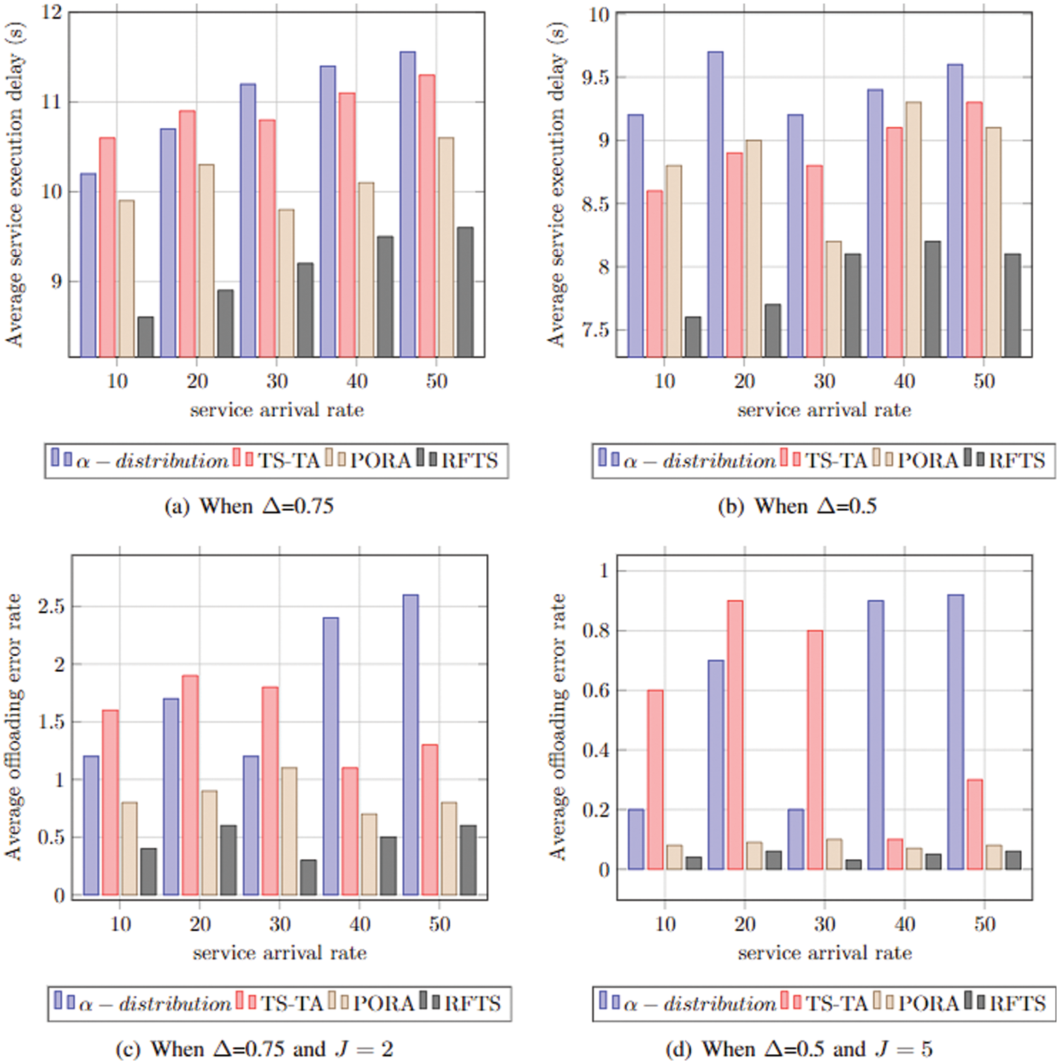
The task queue length plays an important role in achieving high system performance. In this regard, service arrival and the probability of resource scarcity are essential parameters impacting system latency. Fig. 5 shows the offloading rate and delay comparative analysis study based on the task arrival rate concerning the probability of the resource scarcity of devices. Consequently, Fig. 5a shows the performance of the proposed system according to the average service execution delay analysis when the resource scarcity probability is

Figure 5: Offloading rate and delay analysis based on task arrival rate concerning the probability of the resource scarcity of devices
Subsequently, the service offloading rate is analysed when the resource scarcity probability is

Offloading Strategy Functionality Analysis
Let us assume five servers are deployed on an IoT framework with different computation resources. The service arrival rate is also high when the server becomes overloaded. In such a scenario, the server offloads computation-intensive tasks to the suitable sever by an assessment of node-centric attributes, as listed in Table 5.
The Table 5 enables two colours of tuples, where the red-coloured one offloads the computation-intensive tasks to the suitable device, which is in green, based on a set of measurements, in addition to the behavioural association rate and adulation factor. In brief, these include the targeted node task frequency, waiting time concerning the task length, task completion time and residual memory to accommodate the offloaded services. The green tuple of server j = 5 is selected because it is potentially rich with computation resources. Using this offloading strategy, the server performance has increased more than the state-of-the-art approaches, which can be observed in the below section.
In this paper, we examined the performance of the reinforcement learning-based flexible task and resource scheduling (RFTRS) approach to reduce the average latency and errand completion time, stifled by potential battery capacity and the sub-task deadline. The designed adaptive online status predictive model accurately prognosticates the asset requirement of upcoming tasks to make float decisions. In our proposed offloading strategy, a flat collaboration is conceded with nearby ESs and an uplink collaboration with the cloud server for offloading. Furthermore, the RFTRS system considered the communication and computation delay by estimating queuing and local computing time before the service offloading decision using a set of node-centric measurements, as well as the behavioural association rate and adulation factor. The proposed system achieved an average of 0.89% of the service offloading rate, with
In future, we would like to implement an adaptive mix-integer linear programming (MILP) optimization strategy to increase the system performance to meet the delay-sensitive applications. Subsequently, balancing the performance and convergence time represents a global challenge for accelerating offloading decisions.
Acknowledgement: The authors wish to express their appreciation to the reviewers for their helpful suggestions which greatly improved the presentation of this paper.
Funding Statement: Zulqar and Kim’s research was supported in part by the Basic Science Research Program through the National Research Foundation of Korea (NRF) funded by the Ministry of Education (NRF-2021R1A6A1A03039493) and in part by the NRF grant funded by the Korea government (MSIT) (NRF-2022R1A2C1004401). Mekala’s research was supported in part by the Basic Science Research Program of the Ministry of Education (NRF-2018R1A2B6005105) and in part by the National Research Foundation of Korea (NRF) grant funded by the Korea Government (MSIT) (no. 2019R1A5A8080290).
Conflicts of Interest: The authors declare that they have no conflicts of interest to report regarding the present study.
References
1. J. Singh, P. Singh and S. S. Gill, “Fog computing: A taxonomy, systematic review, current trends and research challenges,” Journal of Parallel and Distributed Computing, vol. 157, no. c, pp. 56–85, 2021. [Google Scholar]
2. A. A. A. Sen and M. Yamin, “Advantages of using fog in IoT applications,” International Journal of Information Technology, vol. 13, no. 3, pp. 829–837, 2021. [Google Scholar]
3. O. K. Shahryari, H. Pedram, V. Khajehvand and M. D. TakhtFooladi, “Energy and task completion time trade-off for task offloading in fog-enabled IoT networks,” Pervasive and Mobile Computing, vol. 74, pp. 101395, 2021. [Google Scholar]
4. U. M. Malik, M. A. Javed, S. Zeadally and S. u. Islam, “Energy-efficient fog computing for 6G-enabled massive IoT: Recent trends and future opportunities,” IEEE Internet of Things Journal, vol. 9, no. 16, pp. 14572–14594, 2022. https://doi.org/10.1109/JIOT.2021.3068056. [Google Scholar]
5. A. Islam, A. Debnath, M. Ghose and S. Chakraborty, “A survey on task offloading in multi-access edge computing,” Journal of Systems Architecture, vol. 118, pp. 102225, 2021. [Google Scholar]
6. M. S. Mekala and P. Viswanathan, “A survey: Energy-efficient sensor and VM selection approaches in green computing for X-IoT applications,” International Journal of Computers and Applications, vol. 42, no. 3, pp. 290–305, 2020. [Google Scholar]
7. Q. Qi, J. Wang, Z. Ma, H. Sun, Y. Cao et al., “Knowledge-driven service offloading decision for vehicular edge computing: A deep reinforcement learning approach,” IEEE Transactions on Vehicular Technology, vol. 68, no. 5, pp. 4192–4203, 2019. [Google Scholar]
8. K. Gasmi, S. Dilek, S. Tosun and S. Ozdemir, “A survey on computation offloading and service placement in fog computing-based IoT,” The Journal of Supercomputing, vol. 78, no. 2, pp. 1983–2014, 2022. [Google Scholar]
9. X. Xu, H. Li, W. Xu, Z. Liu, L. Yao et al., “Artificial intelligence for edge service optimization in Internet of Vehicles: A survey,” Tsinghua Science and Technology, vol. 27, no. 2, pp. 270–287, 2021. [Google Scholar]
10. X. Xu, C. He, Z. Xu, L. Qi, S. Wan et al., “Joint optimization of offloading utility and privacy for edge computing enabled IoT,” IEEE Internet of Things Journal, vol. 7, no. 4, pp. 2622–2629, 2019. [Google Scholar]
11. M. S. Mekala and P. Viswanathan, “Equilibrium transmission bi-level energy efficient node selection approach for internet of things,” Wireless Personal Communications, vol. 108, no. 3, pp. 1635–1663, 2019. [Google Scholar]
12. G. Manogaran, G. Srivastava, B. A. Muthu, S. Baskar, P. M. Shakeel et al., “A response-aware traffic offloading scheme using regression machine learning for user-centric large-scale Internet of Things,” IEEE Internet of Things Journal, vol. 8, no. 5, pp. 3360–3368, 2020. [Google Scholar]
13. L. Liu, Z. Chang, X. Guo, S. Mao and T. Ristaniemi, “Multiobjective optimization for computation offloading in fog computing,” IEEE Internet of Things Journal, vol. 5, no. 1, pp. 283–294, 2017. [Google Scholar]
14. K. Wang, “Energy-efficient resource allocation optimization algorithm in industrial IoTs scenarios based on energy harvesting,” Sustainable Energy Technologies and Assessments, vol. 45, pp. 101201, 2021. [Google Scholar]
15. Y. Yang, K. Wang, G. Zhang, X. Chen, X. Luo et al., “MEETS: Maximal energy efficient task scheduling in homogeneous fog networks,” IEEE Internet of Things Journal, vol. 5, no. 5, pp. 4076–4087, 2018. [Google Scholar]
16. A. Paranjothi, M. S. Khan, R. Patan, R. M. Parizi and M. Atiquzzaman, “VANETomo: A congestion identification and control scheme in connected vehicles using network tomography,” Computer Communications, vol. 151, pp. 275–289, 2020. [Google Scholar]
17. Y. Yang, S. Zhao, W. Zhang, Y. Chen, X. Luo et al., “DEBTS: Delay energy balanced task scheduling in homogeneous fog networks,” IEEE Internet of Things Journal, vol. 5, no. 3, pp. 2094–2106, 2018. [Google Scholar]
18. J. Xue and Y. An, “Joint Task offloading and resource allocation for multi-task multi-server NOMA-MEC networks,” IEEE Access, vol. 9, pp. 16152–16163, 2021. [Google Scholar]
19. E. Haber, T. M. Nguyen and C. Assi, “Joint optimization of computational cost and devices energy for task offloading in multi-tier edge-clouds,” IEEE Transactions on Communications, vol. 67, no. 5, pp. 3407–3421, 2019. [Google Scholar]
20. H. Zheng, K. Xiong, P. Fan, L. Zhou and Z. Zhong, “SWIPT-aware fog information processing: Local computing vs. fog offloading,” Sensors, vol. 18, no. 10, pp. 3291, 2018. [Google Scholar]
21. H. Huang, Q. Ye and Y. Zhou, “Deadline-aware task offloading with partially-observable deep reinforcement learning for multi-access edge computing,” IEEE Transactions on Network Science and Engineering, pp. 1, 2021. [Google Scholar]
22. M. S. Mekala and P. Viswanathan, “Energy-efficient virtual machine selection based on resource ranking and utilization factor approach in cloud computing for IoT,” Computers, & Electrical Engineering, vol. 73, no. 3, pp. 227–244, 2019. [Google Scholar]
23. Y. Huang, H. Xu, H. Gao, X. Ma and W. Hussain, “SSUR: An approach to optimizing virtual machine allocation strategy based on user requirements for cloud data center,” IEEE Transactions on Green Communications and Networking, vol. 5, no. 2, pp. 670–681, 2021. [Google Scholar]
24. J. Liu, A. Zhou, C. Liu, T. Zhang, L. Qi et al., “Reliability-enhanced task offloading in mobile edge computing environments,” IEEE Internet of Things Journal, pp. 1, 2021. [Google Scholar]
25. T. Bahreini, H. Badri and D. Grosu, “Mechanisms for resource allocation and pricing in mobile edge computing systems,” IEEE Transactions on Parallel and Distributed Systems, vol. 33, no. 3, pp. 667–682, 2021. [Google Scholar]
26. Q. Fan and N. Ansari, “Application aware workload allocation for edge computing-based IoT,” IEEE Internet of Things Journal, vol. 5, no. 3, pp. 2146–2153, 2018. [Google Scholar]
27. T. G. Rodrigues, K. Suto, H. Nishiyama and N. Kato, “Hybrid method for minimizing service delay in edge cloud computing through VM migration and transmission power control,” IEEE Transactions on Computers, vol. 66, no. 5, pp. 810–881, 2016. [Google Scholar]
28. J. Yao and N. Ansari, “QoS-aware fog resource provisioning and mobile device power control in IoT networks,” IEEE Transactions on Network and Service Management, vol. 16, no. 1, pp. 167–175, 2018. [Google Scholar]
29. X. Gao, X. Huang, S. Bian, Z. Shao, Y. Yang et al., “PORA: Predictive offloading and resource allocation in dynamic fog computing system,” IEEE Internet of Things Journal, vol. 7, no. 1, pp. 72–87, 2019. [Google Scholar]
30. T. S. Kumar, S. D. S. Mustapha, P. Gupta and R. P. Tripathi, “Hybrid approach for resource allocation in cloud infrastructure using random forest and genetic algorithm,” Scientific Programming, 2021. [Google Scholar]
31. A. Lakhan, M. A. Mohammed, A. N. Rashid, S. Kadry, K. H. Abdulkareem et al., “Restricted Boltzmann machine assisted secure serverless edge system for Internet of Medical Things,” IEEE Journal of Biomedical and Health Informatics, pp. 1, 2022. [Google Scholar]
32. A. Lakhan, M. A. Mohammed, S. Kadry, S. A. AlQahtani, M. S. Maashi et al., “Federated learning-aware multi-objective modeling and blockchain-enabled system for IoT applications,” Computers and Electrical Engineering, vol. 100, pp. 107839, 2022. [Google Scholar]
33. A. Lakhan, M. A. Mohammed, M. Elhoseny, M. D. Alshehri and K. H. Abdulkareem, “Blockchain multi-objective optimization approach-enabled secure and cost-efficient scheduling for the Internet of Medical Things (IoMT) in fog-cloud system,” Soft Computing, vol. 26, no. 13, pp. 1–14, 2022. [Google Scholar]
34. A. Lakhan, M. A. Mohammed, J. Nedoma, R. Martinek, P. Tiwari et al., “Federated-learning based privacy preservation and fraud-enabled blockchain IoMT system for healthcare,” IEEE Journal of Biomedical and Health Informatics, pp. 1, 2022. [Google Scholar]
35. A. Lakhan, M. A. Mohammed, O. I. Obaid, C. Chakraborty, K. H. Abdulkareem et al., “Efficient deep-reinforcement learning aware resource allocation in SDN-enabled fog paradigm,” Automated Software Engineering, vol. 29, no. 1, pp. 1–25, 2022. [Google Scholar]
36. J. Yao and N. Ansari, “QoS-aware fog resource provisioning and mobile device power control in IoT networks,” IEEE Transactions on Network and Service Management, vol. 16, no. 1, pp. 167–175, 2018. [Google Scholar]
Cite This Article
Copyright © 2023 The Author(s). Published by Tech Science Press.This work is licensed under a Creative Commons Attribution 4.0 International License , which permits unrestricted use, distribution, and reproduction in any medium, provided the original work is properly cited.


Submit a Paper
Propose a Special lssue
View Full Text
Download PDF
Downloads
Citation Tools