Open Access
ARTICLE
An Efficient Anti-Quantum Blind Signature with Forward Security for Blockchain-Enabled Internet of Medical Things
1 School of Information Science and Technology, North China University of Technology, Beijing, 100144, China
2 State Key Laboratory of Networking and Switching Technology, Beijing University of Posts and Telecommunications, Beijing, 100876, China
3 School of Mathematical Science, Heilongjiang University, Harbin, 150080, China
4 School of Digtial and Intelligence Industry, Inner Mongolia University of Science and Technology, Baotou, 014010, China
5 Institute for Network Sciences and Cyberspace, Tsinghua University, Beijing, 100084, China
6 Yunnan Key Laboratory of Blockchain Application Technology, Kunming, 650233, China
7 Yunnan Innovation Institute of Beihang University, Kunming, 650233, China
* Corresponding Author: Kejia Zhang. Email:
Computers, Materials & Continua 2025, 82(2), 2293-2309. https://doi.org/10.32604/cmc.2024.057882
Received 29 August 2024; Accepted 08 November 2024; Issue published 17 February 2025
Abstract
Blockchain-enabled Internet of Medical Things (BIoMT) has attracted significant attention from academia and healthcare organizations. However, the large amount of medical data involved in BIoMT has also raised concerns about data security and personal privacy protection. To alleviate these concerns, blind signature technology has emerged as an effective method to solve blindness and unforgeability. Unfortunately, most existing blind signature schemes suffer from the security risk of key leakage. In addition, traditional blind signature schemes are also vulnerable to quantum computing attacks. Therefore, it remains a crucial and ongoing challenge to explore the construction of key-secure, quantum-resistant blind signatures. In this paper, we introduce lattice-based forward-secure blind signature (LFSBS), a lattice-based forward-secure blind signature scheme for medical privacy preservation in BIoMT. LFSBS achieves forward security by constructing a key evolution mechanism using a binary tree structure. This mechanism ensures that even if future encryption keys are leaked, past data can still remain secure. Meanwhile, LFSBS realizes post-quantum security based on the hardness assumption of small integer solution (SIS), making it resistant to potential quantum computing attacks. In addition, we formally define and prove the security of LFSBS in a random oracle model, including blindness and forward-secure unforgeability. Comprehensive performance evaluation shows that LFSBS performs well in terms of computational overhead, with a reduction of 22%–73% compared to previous schemes.Keywords
The Internet of Medical Things (IoMT) has significantly transformed the traditional healthcare industry in recent years [1]. It comprises a range of smart medical devices that can sense medical data, along with transmitters that enable the secure transmission of sensitive information [2]. By interconnecting these devices and transmitters, IoMT facilitates real-time monitoring of the health status of patients. At the same time, the vast amount of sensitive medical data, such as electronic health records (EHRs), presents significant challenges for data security and privacy protection [3]. Therefore, IoMT incorporating blockchain technology has been proposed (e.g., [4–7]). The decentralized nature of blockchain and data immutability enhances the security of medical data.
However, traditional blockchain-enabled IoMT schemes [8–12] rely on public transaction records and digital signatures to ensure data integrity. Although medical information such as electronic medical records are uploaded to the blockchain after signing, they are still at risk of leakage as the data is transparent to the signer.
To overcome these obstacles, many scholars have applied blind signature technology to BIoMT [13–16], which allows users to sign without knowing the content of EHRs. Blind signatures protect the security of medical data and verify its integrity.
Unfortunately, these solutions are either ineffective against the risks associated with quantum computing attacks or face the potential for key compromise. Specifically, the key required for the user to sign in several schemes is constant after generation [13–17]. It means that if the key is compromised due to an external attack or improper storage, adversaries could potentially compromise the content of data previously signed by the signer. For instance, in the scheme [13], a trusted organization generates a pair of large numbers as public and private keys for each user. The user applies a blind signature to the data using their individual private key. However, the private key is retained by the user and remains unchanged throughout the duration of the scheme, which exposes it to the risk of key leakage [18]. On the other hand, as quantum computers advance, blind signature schemes reliant on the discrete-logarithm problem or number-theoretic hard problems, including Elliptic Curve Cryptography (ECC) [19] and Rivest-Shamir-Adleman (RSA) [12], will cease to be secure. The computational prowess offered by quantum computers can convert these hard problems into polynomial time-solvable ones through the application of Shor’s algorithm [20].
We introduce lattice based forward-secure blind signature (LFSBS), an efficient lattice-based blind signature scheme with forward security for blockchain-enabled IoMT, aimed at enhancing the protection of sensitive medical data. The scheme is not only resistant to quantum attacks, but also supports forward security. LFSBS addresses two key challenges in blockchain-enabled IoMT, as outlined below.
The first challenge is to achieve quantum resistance for blind signatures. The security of lattice-based cryptosystems relies on the intractability of problems on the lattice, such as the least integer solution (SIS). These problems also have no significant computational advantage on quantum computers. Therefore, lattice-based cryptographic regimes are considered to be resistant to attacks on quantum computation. LFSBS constructs an anti-quantum blind signature protocol based on the lattice theory. In addition, computational complexity and communication efficiency are taken into account in the protocol design to ensure that the anti-quantum nature is satisfied while still maintaining efficient execution performance.
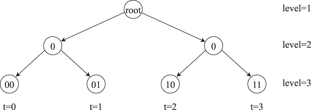
The second challenge is how to design a forward-secure key evolution mechanism, which provides strong forward security to ensure that past keys are not compromised by leakage of existing keys. LFSBS assigns time periods to the leaf nodes of a binary tree. When the time period changes, the corresponding leaf nodes change accordingly. The
In summary, the contributions of this work are shown below:
• We introduce a quantum-resistant forward-secure blind signature scheme, LFSBS, which realizes an attack on quantum computing based on the SIS assumption. In addition, we further design a forward secure key evolution mechanism for LFSBS to prevent key leakage.
• We formally define and prove the blindness and forward unforgeability of LFSBS in the Random Oracle Model (ROM). We show through comprehensive experimental results that LFSBS has significant efficiency advantages over previous techniques in signature generation and verification. For instance, when
As blockchain technology rapidly advances and is widely adopted in the IoMT, privacy protection has increasingly become a significant concern. Blockchain offers a new approach for securely transmitting and storing medical data through its decentralized and tamper-proof characteristics [22]. However, IoMT devices face serious privacy challenges when collecting and transmitting sensitive health data. How to effectively protect user privacy while securing data has become an urgent challenge. Garg et al. [6] introduced a novel blockchain-based scheme for authentication and key management called BAKMP-IoMT, which ensures the reliability of medical data during transmission by establishing a secret pairing key between an individual, a medical device, and a server, but it involves a large number of key management issues. In [11], Rachakonda et al. introduced the SaYoPillow system, which designs secure data transmission, storage, and communication protocols for uploading and retrieval in order to reduce malicious attacks on medical data during interaction with the blockchain, but it suffers from deficiencies in data validity validation, which may affect its security and reliability in practical applications. Nie et al. [23] proposed a novel blockchain-assisted data transfer scheme in which Bloom filters with hash functions were designed to ensure data authenticity. Meanwhile, Bhattacharjya et al. [24] used elliptic curve digital signature for signing medical information to verify the reliability of data. However, in these designs, the signer has high visibility to the specific content of the data, which may affect the effectiveness of privacy protection. To further protect the data privacy of distributed ledgers in blockchain-enabled IoMT and improve the reliability of transactions, a privacy-preserving scheme utilizing ElGamal blind signatures was proposed by Le et al. [12]. Meanwhile, Li et al. [14] introduced the concept of ‘swarm’ on the basis of blind signatures, and implemented the mechanism of co-signing by multiple entities in the blockchain, which improves the security of the signing process.
However, none of the above schemes considered security under quantum attacks, Li et al. [25] then developed a blind signature scheme using lattice assumptions to counter quantum attacks. Qu et al. [26] designed a novel quantum blockchain-based system for medical data processing (QB-IMD). The system features a quantum blockchain framework that leverages quantum signatures and authentication to guarantee data integrity and protection against tampering. The above blind signature techniques, nevertheless, are still unable to cope with the risk of key leakage, leading to the fact that even with anti-quantum blind signatures to enhance data protection, the security of historical data may still be threatened in case of key leakage. Therefore, introducing forward security in blind signatures can effectively solve this problem by periodically updating the key or using a new key in each session to ensure that past data remains secure even if the key is cracked in the future. Currently, most solutions [27–30] are based on number-theoretic assumptions or only support ordinary signatures, and thus lack security against quantum attacks.
We present the preparatory knowledge involved in the program in this section.
Definition 1. Let the matrix
Definition 2. Given a matrix
Definition 3 [31]. For any parameter
Lemma 1(Rejection Sampling) [16, Lemma 4.5]. Given a subset
Moreover, the probability that
Lemma 2 [16]. For any
3.3 Difficult Assumptions in Lattice
Definition 4
Lemma 3 [34]. For any
This section provides a formal description of the target problem addressed in this paper. We first briefly describe the system model for LFSBS. Following that, we present the LFSBS definition and security model. Details of the notations used can be found in Table 1.

An LFSBS scheme consists of the following four entities, as depicted in Fig. 1. They are the smart medical devices in the perception layer, the accounting nodes and the blockchain-enabled IoMT in the network layer and the medical personnel in the application layer.

Figure 1: system model
• Smart Medical Devices: Smart medical devices monitor and record the patient’s physiological parameters, such as blood glucose and blood pressure. in real time through inbuilt sensors within the perceptual layer of the system. The raw medical data collected by these devices is initially processed to generate an electronic medical record and transmitted to the accounting node via a secure communication protocol.
• Accounting Nodes: The accounting node is responsible for ensuring the authenticity and privacy protection of the data. Upon receiving the electronic medical records, the accounting node will sign the data blindly to maintain privacy. It also ensures the non-repudiation of the signature due to the non-forgeability of the blind signature, which enhances the trustworthiness of the entire system. The master accounting node that obtains the right to establish the block broadcasts the signature data to other accounting nodes in the chain, which use the public key to verify the data with the signature. When all nodes have completed the verification, they return the results to the master accounting node, which eventually embeds the data in the transaction record and incorporates it into the blockchain network.
• Medical Blockchain Network: The medical blockchain network is responsible for storing and verifying the data. All signed data verified by the accounting node is recorded in the distributed ledger. The decentralised nature of the blockchain ensures that each piece of data cannot be tampered with after it is written and the integrity of the data is confirmed through a consensus mechanism.
• Medical Personnel: The data on the blockchain can be accessed by medical personnel through a permission management system for necessary analyses and decision making.
A set of probabilistic polynomial time (PPT) algorithms
•
•
•
•
We introduce two security concepts for the LFSBS scheme: one is called blindness in order to ensure privacy during the signature process; the other is called forward unforgeability for the reliability of the signature.
The unforgeability of LFSBS is determined by the interaction between
Challenge: The attacker
Output:
We define the advantage of the attacker in the blindness game as
Definition 1: If the
4.3.2 Forward-Secure Unforgeability
The unforgeability of LFSBS is determined by the interaction between
Query: At a time period
1) Key oracle
2) Hash oracle
3) Signing oracle
4) Intrusion oracle
Output:
We define
Definition 2: If the
We describe in detail the individual algorithms involved in the LFSBS scheme in this section.
The system is initialized by the authorized agency through the execution of the algorithm
The KGC obtains the keys of all internal nodes that can generate previous keys by executing the algorithm
Each time period

Figure 2: Binary tree with depth
The update from the private key
The accounting node acts as a signer generates the signature by interacting with the user executing the algorithm
Step 1: The signer first constructs a matrix
Step 2: The user obtains the vector
Step 3: The signer computes the blind signature
Step 4: The user receives a blind signature
Step 5: If the
The validity of the signature
In this section, we provide a comprehensive assessment of the security of the LFSBS scheme with respect to the following three aspects: correctness, blindness, and forward-secure unforgeability.
According to Lemma 2, the probability of
Assuming that an adversary
Proof. In the following, we employ users
Initialization. The adversary
Challenge: Adversary
Analysis: The adversary
6.3 Forward-Secure Unforgeability
Assuming an adversary
Proof. Consider an instance of the
Initialization. Algorithm
Queries:
Algorithm
Key oracle
Hash oracle
Signing oracle
Intrusion queries
Output:
Analysis: Let
In the following we consider the case where adversary
7 Performance Evaluation and Comparison
We conducted a thorough experimental evaluation of the LFSBS and compared its performance with other schemes. All experiments were carried out on a Windows 11 operating system using an 11th Gen Intel(R) Core(TM) i5-8250U @ 1.60 GHz processor and 12 GB of RAM. The LFSBS scheme was fully implemented in the Python. Finally, the relevant parameter settings involved in the experiment are presented in Table 2.

We assessed the effectiveness of our LFSBS scheme in this section, particularly focusing on the signature generation and verification algorithms, as these are the most time-consuming operations in LFSBS.
We assessed the computational overhead associated with the

7.1.2 Storage and Communication Overhead
In our LFSBS scheme, both public and private keys are composed of matrices. We evaluated the storage and communication costs of the

We compare four schemes in terms of blindness, quantum resistance and unforgeability, respectively in the Table 5. It’s evident that our scheme offers functional advantages and improved feasibility.
We provide an analytical comparison of the performance with the current lattice-based blind signatures schemes [9,35,36] in this section.
The running times of the verification and signature algorithms for our LFSBS scheme and those suggested in [9,35,36] are shown in Fig. 3. As shown, our LFSBS scheme outperforms the others significantly. For example, when

Figure 3: Comparison of the computation overhead associated with the attributes between our LFSBS and current lattice-based blind signature schemes [9,35,36]
In summary, our LFSBS scheme exhibits higher efficiency in signature generation and verification compared to existing lattice-based blind signature schemes. In addition, the scheme is not only resistant to attacks from quantum computers, but also possesses forward security, which better ensures the long-term security of the system and the integrity of the data.
The LFSBS designed in this paper is an anti-quantum blind signature scheme with forward security for BIoMT, which provides blind signatures for auditing users in BIoMT to protect medical information. Meanwhile, we introduce forward security to prevent key leakage and rely on lattice cryptography to defend against potential attacks from quantum computing. Experimental results show that the overhead of the algorithms in this scheme is effective for medical data sharing scenarios. In the future, we would like to further experiment this scheme in real BIoMT environments to ensure its performance and stability in real applications.
Acknowledgement: The authors extend their gratitude to the members of the research group for their invaluable support.
Funding Statement: This work was funded by the Yunnan Key Laboratory of Blockchain Application Technology (202105AG070005, 202305AG340008) & YNB202301, NSFC (Grant Nos. 72293583, 72293580, 62476007, 62176273, 62271234), and the Open Foundation of State Key Laboratory of Networking and Switching Technology (Beijing University of Posts and Telecommunications) (SKLNST-2024-1-06), the Project of Science and Technology Major Project of Yunnan Province (202302AF080006), Open Foundation of State Key Laboratory of Public Big Data (Guizhou University) under Grant No. PBD2022-16, Double First-Class Project for Collaborative Innovation Achievements in Disciplines Construction in Heilongjiang Province under Grant No. GXCG2022-054.
Author Contributions: The authors confirm their contributions to the paper as follows: study conception, design, simulation, analysis, interpretation of results and draft manuscript preparation: Gang Xu, Xinyu Fan, Xin Liu; interpretation of results and draft manuscript preparation: Xiu-Bo Chen, Zongpeng Li, Yanhui Mao, Kejia Zhang. All authors reviewed the results and approved the final version of the manuscript.
Availability of Data and Materials: Data is unavailable due to the nature of this research; participants did not provide consent for their data to be publicly shared. Therefore, supporting data is not accessible.
Ethics Approval: Not applicable.
Conflicts of Interest: The authors declare no conflicts of interest to report regarding the present study.
References
1. X. Chen, S. Xu, Y. He, Y. Cui, J. He and S. Gao, “LFS-AS: Lightweight forward secure aggregate signature for e-health scenarios,” in IEEE Int. Conf. Commun., Seoul, Republic of Korea, 2022, pp. 1239–1244. [Google Scholar]
2. C. Li et al., “Efficient privacy-preserving in IoMT with blockchain and lightweight secret sharing,” IEEE Internet Things J., vol. 10, no. 24, pp. 22051–22064, 2023. doi: 10.1109/JIOT.2023.3296595. [Google Scholar] [CrossRef]
3. X. Chen, S. Xu, T. Qin, Y. Cui, S. Gao and W. Kong, “AQ-ABS: Anti-quantum attribute-based signature for EMRs sharing with blockchain,” in IEEE Wireless Commun. Netw. Conf. (WCNC), Austin, TX, USA, 2022, pp. 1176–1181. [Google Scholar]
4. G. Xu et al., “PPSEB: A postquantum public-key searchable encryption scheme on blockchain for E-healthcare scenarios,” Secur. Commun. Netw., vol. 2022, no. 1, 2022, Art. no. 3368819. doi: 10.1155/2022/3368819. [Google Scholar] [CrossRef]
5. J. Miao, Z. Wang, Z. Wu, X. Ning, and P. Tiwari, “A blockchain-enabled privacy-preserving authentication management protocol for Internet of Medical Things,” Expert. Syst. Appl., vol. 237, 2024, Art. no. 121329. doi: 10.1016/j.eswa.2023.121329. [Google Scholar] [CrossRef]
6. N. Garg, M. Wazid, A. K. Das, D. P. Singh, J. J. Rodrigues and Y. Park, “BAKMP-IoMT: Design of blockchain enabled authenticated key management protocol for internet of medical things deployment,” IEEE Access, vol. 8, pp. 95956–95977, 2020. doi: 10.1109/ACCESS.2020.2995917. [Google Scholar] [CrossRef]
7. S. Xu, X. Chen, Y. Guo, S. Yiu, S. Gao and B. Xiao, “Efficient and secure post-quantum certificateless signcryption for internet of medical things,” Crypt. ePrint Arch., vol. 2024, 2024, Art. no. 965. [Google Scholar]
8. S. F. Ahmed, M. S. B. Alam, S. Afrin, S. J. Rafa, N. Rafa and A. H. Gandomi, “Insights into Internet of Medical Things (IoMTData fusion, security issues and potential solutions,” Inf. Fusion, vol. 102, 2024, Art. no. 102060. doi: 10.1016/j.inffus.2023.102060. [Google Scholar] [CrossRef]
9. N. A. Alkadri, Nabil, R. E. Bansarkhani, and J. Buchmann, “BLAZE: Practical lattice-based blind signatures for privacy-preserving applications,” in Int. Conf. Financial Cryptog. Data Secur., Kota Kinabalu, Malaysia, 2020, pp. 484–502. [Google Scholar]
10. G. Xu, F. Yun, S. Xu, Y. Yu, X. Chen and M. Dong, “A blockchain-based log storage model with efficient query,” Soft Comput., vol. 27, no. 19, pp. 13779–13787, 2023. doi: 10.1007/s00500-023-08975-3. [Google Scholar] [CrossRef]
11. L. Rachakonda, A. K. Bapatla, S. P. Mohanty, and E. Kougianos, “SaYoPillow: A blockchain-enabled, privacy-assured framework for stress detection, prediction and control considering sleeping habits,” 2020, arXiv:2007.07377. [Google Scholar]
12. H. Le, D. H. Duong, and W. Susilo, “A blind ring signature based on the short integer solution problem,” in Inform. Secur. Appl: 20th Int. Conf., WISA 2019, Jeju Island, Republic of Korea, Aug. 21–24, 2019, pp. 92–111. [Google Scholar]
13. Y. Sun, J. Liu, K. Yu, M. Alazab, and K. Lin, “PMRSS: Privacy-preserving medical record searching scheme for intelligent diagnosis in IoT healthcare,” IEEE Trans. Ind. Inform., vol. 18, no. 3, pp. 1981–1990, 2021. doi: 10.1109/TII.2021.3070544. [Google Scholar] [CrossRef]
14. C. Li, B. Jiang, Y. Guo, and X. Xin, “Efficient group blind signature for medical data anonymous authentication in blockchain-enabled IoMT,” Comput. Mater. Contin., vol. 76, no. 1, pp. 591–606, 2023. doi: 10.32604/cmc.2023.038129. [Google Scholar] [CrossRef]
15. M. Bhavin, S. Tanwar, N. Sharma, S. Tyagi, and N. Kumar, “Blockchain and quantum blind signature-based hybrid scheme for Healthcare 5.0 applications,” J. Inf. Secur. Appl., vol. 56, 2021, Art. no. 102673. doi: 10.1016/j.jisa.2020.102673. [Google Scholar] [CrossRef]
16. V. Lyubashevsky, “Lattice signatures without trapdoors,” in Annual Int. Conf. Theory Appl. Cryptograph. Tech., Cambridge, UK, Apr. 15–19, 2012, pp. 738–755. [Google Scholar]
17. G. Xu et al., “A model value transfer incentive mechanism for federated learning with smart contracts in AIoT,” IEEE Internet Things J., 2024. doi: 10.1109/JIOT.2024.3468443. [Google Scholar] [CrossRef]
18. S. Xu, Y. Cao, X. Chen, Y. Zhao, and S. Yiu, “Post-quantum public-key authenticated searchable encryption with forward security: General construction, and applications,” in Int. Conf. Inform. Secur. Crypt., Hangzhou, China, Dec. 9–10, 2023, pp. 274–298. [Google Scholar]
19. S. H. Islam, R. Amin, G. P. Biswas, M. S. Obaidat, and M. K. Khan, “Provably secure pairing-free identity-based partially blind signature scheme and its application in online e-cash system,” Arab. J. Sci. Eng., vol. 41, no. 8, pp. 3163–3176, 2016. doi: 10.1007/s13369-016-2115-5. [Google Scholar] [CrossRef]
20. J. Howe, T. Pöppelmann, M. O’neill, E. O’sullivan, and T. Güneysu, “Practical lattice-based digital signature schemes,” ACM Trans. Embed. Comput. Syst., vol. 14, no. 3, pp. 1–24, 2015. doi: 10.1145/2724713. [Google Scholar] [CrossRef]
21. S. Agrawal, D. Boneh, and X. Boyen, “Efficient lattice (H)IBE in the standard model,” in Adv. Crypt.–EUROCRYPT 2010: 29th Annual Int. Conf. Theory Appl. Cryptog. Tech., Riviera, French, May 30–Jun. 3, 2010, pp. 553–572. [Google Scholar]
22. X. Chen, S. Xu, Y. Cao, Y. He, and K. Xiao, “AQRS: Anti-quantum ring signature scheme for secure epidemic control with blockchain,” Comput. Netw., vol. 224, 2023, Art. no.109595. doi: 10.1016/j.comnet.2023.109595. [Google Scholar] [PubMed] [CrossRef]
23. X. Nie, A. Zhang, J. Chen, Y. Qu, and S. Yu, “Blockchain-empowered secure and privacy-preserving health data sharing in edge-based IoMT,” Secur. Commun. Netw., vol. 2022, no. 1, 2022, Art. no. 8293716. doi: 10.1155/2022/8293716. [Google Scholar] [CrossRef]
24. A. Bhattacharjya, K. Kozdrój, G. Bazydło, and R. Wisniewski, “Trusted and secure blockchain-based architecture for Internet-of-Medical-Things,” Electronics, vol. 11, no. 16, 2022, Art. no. 2560. doi: 10.3390/electronics11162560. [Google Scholar] [CrossRef]
25. C. Li, Y. Tian, X. Chen, and J. Li, “An efficient anti-quantum lattice-based blind signature for blockchain-enabled systems,” Inf. Sci., vol. 546, no. 6, pp. 253–264, 2021. doi: 10.1016/j.ins.2020.08.032. [Google Scholar] [CrossRef]
26. Z. Qu, Y. Meng, B. Liu, G. Muhammad, and P. Tiwari, “QB-IMD: A secure medical data processing system with privacy protection based on quantum blockchain for IoMT,” IEEE Internet Things J., vol. 11, no. 1, pp. 40–49, 2021. doi: 10.1109/JIOT.2023.3285388. [Google Scholar] [CrossRef]
27. M. Drijvers and G. Neven, “Forward-secure multi-signatures,” Crypt. ePrint Arch., vol. 2019, 2019, Art. no. 261. [Google Scholar]
28. M. Abdalla, F. Benhamouda, and D. Pointcheval, “On the tightness of forward-secure signature reductions,” J. Cryptol., vol. 32, no. 1, pp. 84–150, 2019. doi: 10.1007/s00145-018-9283-2. [Google Scholar] [CrossRef]
29. Q. Xue, Z. Lu, and T. Zhang, “Attribute-based proxy signature scheme with dynamic strong forward security,” Int. J. Sens. Netw., vol. 44, no. 4, pp. 214–225, 2024. doi: 10.1504/IJSNET.2024.138518. [Google Scholar] [CrossRef]
30. J. Lee, J. E. Kim, and H. K. Oh, “Forward-secure multi-user aggregate signatures based on zk-SNARKs,” IEEE Access, vol. 9, pp. 97705–97717, 2021. doi: 10.1109/ACCESS.2021.3093925. [Google Scholar] [CrossRef]
31. S. Xu et al., “Lattice-based public key encryption with authorized keyword search: Construction, implementation, and applications,” Crypt. ePrint Arch., vol. 2023, 2023, Art. no. 1715. [Google Scholar]
32. C. Ma, H. Gao, and B. Hu, “Ciphertext policy attribute-based encryption scheme supporting Boolean circuits over ideal lattices,” J. Inf. Secur. Appl., vol. 84, 2024, Art. no. 103822. doi: 10.1016/j.jisa.2024.103822. [Google Scholar] [CrossRef]
33. S. Xu, X. Chen, C. Wang, Y. He, K. Xiao and Y. Cao, “A lattice-based ring signature scheme to secure automated valet parking,” in Int. Conf. Wireless Algor., Syst. Appl., Nanjing, China, Jun. 25–27, 2021, pp. 70–83. [Google Scholar]
34. H. Q. Le et al., “Lattice blind signatures with forward security,” in Inform. Secur. Priv.: 25th Australasian Conf., ACISP 2020, Perth, Australia, Nov. 30–Dec. 2, 2020, pp. 3–22. [Google Scholar]
35. H. Yu and L. Baim, “Post-quantum blind signcryption scheme from lattice,” Front. Inform. Techn. Elect. Eng., vol. 22, no. 6, pp. 891–901, 2021. doi: 10.1631/FITEE.2000099. [Google Scholar] [CrossRef]
36. N. A. Alkadri, N. Dottling, and S. Pu, “Practical lattice-based distributed signatures for a small number of signers,” in Int. Conf. App. Crypt. Netw. Secur., Abu Dhabi, United Arab Emirates, Mar. 01, 2024, pp. 367–402. [Google Scholar]
37. E. Crites, C. Komlo, M. Maller, S. Tessaro, and C. Zhu, “Snowblind: A threshold blind signature in pairing-free groups,” in Annual Int. Crypt. Conf., Santa Barbara, CA, USA, Aug. 09, 2023, pp. 710–742. [Google Scholar]
38. G. Xu et al., “A novel post-quantum blind signature for log system in blockchain,” Comput. Syst. Sci. Eng., vol. 41, no. 3, pp. 945–958, 2022. doi: 10.32604/csse.2022.022100. [Google Scholar] [CrossRef]
Cite This Article
Copyright © 2025 The Author(s). Published by Tech Science Press.This work is licensed under a Creative Commons Attribution 4.0 International License , which permits unrestricted use, distribution, and reproduction in any medium, provided the original work is properly cited.


Submit a Paper
Propose a Special lssue
View Full Text
Download PDF
Downloads
Citation Tools