Open Access
ARTICLE
Colour Changes of Wood Veneer as a Function of Heat Treatment
1 Department of Bioresource Sciences, Faculty of Agriculture, Shizuoka University, 836 Ohya, Suruga-ku, 422-8529, Shizuoka, Japan
2 Faculty of Furniture Design and Wood Engineering, Transilvania University of Brasov, Universitatii 1, Brasov, 500068, Romania
3 Graduate School of Bioagricultural Sciences, Nagoya University, Furocho, Chikusa Ward, Nagoya, 464-8601, Aichi, Japan
4 Faculty of Agricultural Production and Management, Shizuoka Professional University of Agriculture, Tomigaoka 678-1, Iwata-City, 438-8577, Shizuoka-ken, Japan
5 Faculty of Forestry, Hasanuddin University, Jl. Perintis Kemerdekaan No.KM.10, Tamalanrea Indah, Kec. Tamalanrea, Kota Makassar, 90245, Sulawesi Selatan, Indonesia
6 Department of Wood Technology, Faculty of Science and Industrial Technology, Prince of Songkla University, Surat Thani Campus, Mueang, 84000, Surat Thani, Thailand
* Corresponding Author: Emilia-Adela Manea Salca. Email:
(This article belongs to the Special Issue: Advances in Eco-friendly Wood-Based Composites: Design, Manufacturing, Properties and Applications – Ⅱ)
Journal of Renewable Materials 2026, 14(2), 3 https://doi.org/10.32604/jrm.2025.02025-0152
Received 29 July 2025; Accepted 27 October 2025; Issue published 25 February 2026
Abstract
Heat treatment is applied to wood to improve various properties of the material. The present study focuses on the colour changes of wood veneer samples due to heat treatment. Native wood species from Japan and Europe, such as Japanese oak (Quercus mongolica var. crispula), field maple (Acer campestre) and Scots pine (Pinus sylvestris) were used in the experiments. A laboratory-type oven was used to apply the heat at a temperature of 190°C, in the presence of oxygen, for different periods, gradually increasing from 5 to 40 min. The CIELab system (a colour space defined by the International Commission on Illumination) and Near Infrared Spectroscopy (NIR) were employed to evaluate the colour modifications on the samples. As expected, the heat treatment affected the colour of the samples. The lightness index decreased across the three wood species during the treatment. The chroma coordinates changed for pine and maple, while little change occurred in Japanese oak. The overall total colour differences reached their maximum at the final 40-min interval for all wood types. Based on the NIR evaluation, it was found that drastic thermal denaturation of cellulose was unlikely to occur, and the changes in the intermolecular interaction of water affected the colour of the specimens. The data and information of this study could be useful for industrial applications where the veneer of such species is desired. Such heat-treated veneers can be considered as value-added products in furniture manufacturing as well as restoration of furniture units where such veneer is used as an overlay.Keywords
Heat treatment is an environmentally friendly wood modification technique used to enhance various properties of the material. These improvements include better dimensional stability, improved durability, resistance to fungal attack and outdoor exposure, and the development of a distinct and valued dark decorative colour [1–6]. Presley et al. [5] showed that thermal modification is able to improve the durability of western hemlock samples against the brown rot fungus. Therefore, such treatment represents a step toward making the treated wood product appropriate for exterior end-uses where the lumber is not in direct contact with the ground. Pinchevska et al. [3] found that the equilibrium moisture content of heat-treated ash wood decreased by 3.5%–4.0% compared to control samples, and the dimensional stability improved consistently.
The colour difference of the heat-treated wood increases with the treatment temperature and exposure time. The colour of beech and fir samples under heat-treatment in the range of 120°C–300°C continuously darkened, beech being clearly darker than fir. Such a change is a clear indicator of the chemical reactions in wood [4]. All colour coordinates are affected by the temperature and duration of the treatment, especially at high treatment temperatures [1,2,4,6].
Despite these benefits, heat-treated wood tends to have reduced mechanical strength. The Modulus of Rupture (MOR) and Modulus of Elasticity (MOE) can be reduced by up to 50% and hardness, along with abrasion resistance, are affected as well [1,2,7–10]. However, it was shown that in the case of heat-treated ash wood, the loss of bending strength by 9–33 MPa and virtually unchanged hardness in the radial and tangential directions proved that it was possible to use such wood in some structural elements of furniture [3]. Heat-treated wood is widely used in both interior and exterior applications, but it is generally not suitable for structural applications.
The heat treatment process typically involves exposing wood to temperatures ranging from 120°C to 250°C for periods between 15 min and 24 h. A low temperature treatment can be applied for a longer duration to obtain the same colouring effect achieved at higher temperatures. Under such an approach, the wood material quality and production costs require optimisation. Heat-treated wood is brittle compared to dried wood when applying treatments over 200°C. The treatment parameters depend on several factors, including the treatment method, wood species, dimensions, moisture content, and the target outcome. Chemical and physical changes in wood begin at approximately 150°C. The primary wood components degrade at different temperature thresholds: hemicelluloses around 200°C, lignin near 270°C, and cellulose at approximately 340°C [4,7]. Elevated temperatures decompose the primary organic polymer components and extractives present in wood in a short time. The colour changes observed in wood during heat treatment result from the thermal degradation processes of lignin and hemicelluloses. Hemicelluloses are the main wood constituent degraded during heat treatment [4]. These alterations can be controlled by adjusting the process parameters appropriately [8,11,12]. However, the literature reveals variation regarding the exact temperature at which hydrolysis and oxidation of wood components begin. These chemical alterations can occur at relatively low temperatures—around 65°C.
In the case of heat-treated oak samples at temperatures ranging from 160°C–200°C, a decrease in the holocellulose content caused by the degradation of non-glucosic saccharides was observed during thermal treatment and the contents of both the extractives and lignin increased [1]. In the case of beech, in the heat treatment temperature range from 120°C–200°C, only little or no change has been found in hemicellulose, cellulose and lignin content, while at temperatures over 200°C up to 300°C, changes in hemicellulose and lignin do occur [4]. As the heat temperature increases, hemicelluloses gradually decrease and lignin increases [4]. Results of other studies also showed that the hemicellulose degradation and the decrease in the cellulose polymerization degree affected the mechanical properties of heat-treated wood much more than the ramifications of lignin and crystallization of cellulose [1,7].
Extensive research studies have examined the colour changes of wood induced by heat treatment on solid wood [6,8,11–16]. Heat-treated wood is appreciated for its brown appearance, from light to dark and is a substitute for various tropical species. However, the brownish colour is not stable under light exposure. During the treatment, degradation products can be released as an unpleasant smell, but they decline within a few weeks after processing. The colour is an indicator of the degree of conversion for heat-treated wood, darker woods being more converted than lighter woods. The resulting colour has also been proposed as an indicator of the extent of thermal modification and a direct marker of underlying chemical changes [7]. Due to their thin profile, veneer sheets require shorter heat exposure times—typically between 180°C and 200°C—for thermo-densification [15,17]. At this level, hemicelluloses undergo significant degradation, leading to reduced hygroscopicity and improved stability, while lignin condensation contributes to the desired darkening of wood colour. When this process is applied to solid wood, it generally takes a significantly longer time [11]. Colour changes of wood are relevant in terms of aesthetic qualities, but also because they imply alteration of wood components, which could affect wood properties such as strength. Therefore, it is desirable to control the changes in colour during the execution of certain operations of wood treatment [12–15].
Studies have shown that brief densification treatments on veneers impact their surfaces noticeably, particularly in terms of colour change [15,17]. Significant attention is granted to heat-treated veneers in furniture manufacturing and restoration due to their enhanced properties: durability, dimensional stability, and aesthetic appeal [6,8,16]. However, little research has been done on heat-treated veneers when compared to solid wood.
These heat-treated veneers can be effectively used as overlay materials in composite products intended for furniture applications [15,17]. Additional surface treatments such as staining or varnishing—often involving chemical agents—may be unnecessary. Heat treatment, thus, is an eco-friendly alternative for producing dark-coloured veneers suitable for applications in furniture production.
To assess the effects of heat treatment, non-destructive techniques such as colour measurement and vibrational spectroscopy are commonly employed due to their rapid, low-cost, and efficient evaluation of organic materials [16,18]. The most widely used system for colour measurement is the CIELab system. Numerous studies have used the potential of the CIELab system to evaluate the colour changes caused by various treatments applied to wood material [6–17]. Near-infrared spectroscopy (NIR) has gained widespread use in assessing and predicting various wood properties such as moisture content, density, stiffness, colour and dimensional stability [18–20]. NIR can confirm that a piece of wood has been modified correctly, without needing to know anything about the treatment history of the wood [18].
In the previous study, the authors reported the relationships between colour change during heat treatment and NIR spectral response of black alder and beech [16]. Recently, principal component analysis was applied to classify heat-treated wood [18]. These two techniques have potential for integration into wood industry production lines, including for assessing the quality of heat-treated wood.
In this study, veneers produced from wood species native to Japan and Europe have been subjected to heat treatment. The colour changes of exposed veneer samples have been evaluated by using the CIELab colourimetry technique and NIR spectroscopy. The study findings can contribute to completing the colour database of heat-treated veneers of various species and be used for applications in furniture manufacturing and restoration of fine works.
Three wood species, namely Japanese oak (Quercus mongolica var. crispula), field maple (Acer campestre) and Scots pine (Pinus sylvestris) were used in this study. These species are used in furniture manufacturing; they present aesthetic characteristics and potential applicability in the restoration of fine furniture and wooden art objects, where thin veneers are essential. Commercially defect-free rotary-cut veneer sheets of 0.5 mm thickness were supplied by two local companies in Shizuoka, Japan and Brasov, Romania, respectively. A total of twenty small samples per wood species were prepared, each measuring 70 × 70 mm. The specimens were divided into five groups of four, with one group serving as the untreated control. All samples have been climatized for one week at 20°C and 60% relative humidity, resulting in a uniform moisture content of 7.5%, measured before the experiments with the help of an Infrared Moisture Determination Balance of FD 720 type. In this study, the wood samples received the following codifications: Japanese oak—JO, maple—M and pine—P. Veneers require a short period of heat exposure, typically between 180°C and 200°C, enough to gain stability and colour benefits but low enough to retain acceptable strength for thin veneers. Heat treatment was carried out in a conventional oven (ETTAS convection type) at a temperature of 190°C, in the presence of oxygen, during four durations: t1 = 5, t2 = 10, t3 = 20, and t4 = 40 min, by successively doubling the time.
Colour measurements were performed using a Konica Minolta CR-400 Chroma Meter (Fig. 1A). Each specimen was measured three times on the same side and location, following the ISO/CIE 11664-4:2019 standard [21]. The colour evaluation was conducted using the CIELab system, a colour space defined by the International Commission on Illumination (abbreviated CIE) in 1976. It expresses colour as three values: L* for perceptual lightness and a* and b* for the four unique colours of human vision: red and green, blue and yellow, respectively [22]. The partial and total colour changes have been determined. The total colour change ΔE* was calculated according to the equation below:

Figure 1: Colour and NIR measurement. (A) Konica Minolta CR-400 Chroma Meter. (B) Matrix-F FT-NIR spectrometer (Bruker Optics)
where ΔL*, Δa*, and Δb* represent the partial colour changes and they are the differences in the lightness, green-red coordinates, and blue-yellow coordinates, respectively, of the exposed and control samples. All data have been processed using Minitab Statistical Software Version 22.2.0.
Diffuse reflectance near-infrared spectra were recorded from the veneer surfaces using a Matrix-F FT-NIR spectrometer (Bruker Optics) presented in Fig. 1B. The spectra were collected across a wavenumber range of 10,000 to 4000 cm−1, with data points taken at 3.85 cm−1 intervals. Spectral resolution was maintained at 8 cm−1. Each sample was scanned three times under controlled environmental conditions within a climatic chamber, and each spectrum represented the average of 32 individual scans. Spectral band assignments followed the methodology proposed by Schwanninger et al. [23].
Since the veneer thickness was very thin, the incident light penetrated the transmittance surface. The difference in anatomical characteristics and cell array of the wood species causes the different scattering behaviour, which results in the variation of apparent absorbance of the diffuse-reflectance spectra. Therefore, the baseline drift due to scattering should be eliminated from the spectra. Multiplicative scattering correction (MSC) is commonly used to remove the effects of light scattering; however, the process depends on the dataset. In this study, the standard normal variate (SNV) was applied as an alternative to MSC. Generally, the results of SNV treatment are similar to those of MSC-treated spectra, and the SNV process is dataset-independent. Partial Least Squares Regression (PLSR) was employed to develop predictive models for the CIElab colour coordinates, such as the lightness coordinate, a* and b*—the chroma coordinates. L*, a* and b* were used as objective variables; predictive models were built for individual wood species. A total of 19 spectra (3 for control and 16 for 4 heat treatment conditions) were used for the calibration of each model; having a small number of datasets, the maximum latent variables (LVs) were capped at 5. Before model construction, all variables were mean-centred. Leave-one-out full cross-validation was applied to evaluate the prediction accuracy and model robustness. The optimal number of LVs was selected based on the lowest standard error of validation (SEV). All data analysis was performed using MATLAB R2018a version.
3.1 Results on Colour Changes of the Samples
Upon exposure to elevated temperatures, wood undergoes visible changes in colouration, typically shifting toward yellow, brown, red, or grey hues. Regardless of the wood species, the extent of darkening due to thermal treatment is influenced by the specific parameters of the process. Visual assessment indicates that the surface tone of thermally modified samples progressively darkens with prolonged heating durations; the rate of this change varies between species, as displayed in Fig. 2. The chromatic transformations of the veneers under treatment were analysed with the CIElab colour space framework (Figs. 3–5).

Figure 2: Appearance of the control samples and samples exposed to heat treatment (HT) for 40 min at 190°C

Figure 3: Variation of Lightness (L*) as a function of exposure: (A) oak. (B) maple. (C) pine

Figure 4: Variation of a* (red-green) coordinate as a function of exposure: (A) oak. (B) maple. (C) pine

Figure 5: Variation of b* (yellow-blue) coordinate as a function of exposure: (A) oak. (B) maple. (C) pine
A decrease in the lightness index (L*) was observed across the three wood species, particularly during the first 10 min of exposure at 190°C. Continued heating up to 40 min intensified the darkening effect. Such a decrease in lightness was shown to be caused by the decrease in hemicellulose contents, especially pentosan [4,7]. A comparable gradual darkening has been recorded in pine veneers subjected to thermo-densification at 200°C for 4 min under pressures between 4 and 12 MPa [15]. Oak veneers also darkened substantially after heat treatment in an oven at 200°C for durations of 10, 20, and 30 min, contrasting with outcomes from press treatment methods [8]. Lightness (L*) is known to correlate with several wood properties—such as dimensional stability, moisture equilibrium, decay resistance, and mechanical strength (MOR)—making it a potential predictive metric [12].
The observed colour changes stem from thermal degradation processes in extractives, lignin, and hemicelluloses, with diminished L* values often linked to the breakdown of pentosans within hemicellulose [12]. Each wood species’ specific extractive content contributes to its colour, as captured by the a* (red-green) and b* (yellow-blue) coordinates. In particular, red hues are closely related to extractive content and the yellow colour component of wood is influenced by the photochemistry of lignin, involving compounds like quinones and stilbenes [16,18]. In the case of radiata pine under heat treatment at 220°C, the carbohydrate and lignin levels remained similar to those of untreated wood [18]. Throughout the heating duration, the a* values rose steadily in pine and maple, while in Japanese oak, the red coordinate slowly increased. Pine, in particular, showed the greatest reddening up to the 40-min mark, followed by maple samples. For Japanese oak, the b* value (yellow component) didn’t change too much during the treatment. A slight increase in b* values was noticed for maple samples during the first 10 min of treatment. After that, the yellow coordinate was kept almost constant to the end of the treatment. Conversely, Scots pine exhibited a progressive increase in b* during the treatment, suggesting a transition toward orange as a result of combined increases in a* and b*. Such a combination of change in chromaticity was also noticed for maple samples. Similar chromatic dynamics in a* and b* under thermal exposure have been reported for maple and pine samples [6,9,10]. In the case of pine wood, Kucerova found that the kinetic curves for a* and b* presented different monotonicity, explained by chemical structure or chemical composition only [10]. The most surprising kinetic curve was noticed for the a* coordinate. The ascending a* trend was found to be determined by changes in holocellulose, while the descending a* trend was determined by changes in lignin [10]. In this study, the red coordinate presented an increased trend only.
Partial colour differences (ΔL*, Δa*, Δb*) and total colour variation (ΔE*) were influenced by treatment conditions (Fig. 6). For all wood veneers, ΔL* consistently decreased with longer heating periods. The most substantial drop in L* occurred at 40 min, with values of ΔL* = −15.90 for maple, ΔL* = −12.66 for Scots pine and ΔL* = −7.47 for Japanese oak. Such colour response in a decreasing lightness among species is likely due to the hemicellulose degradation [7]. A gradual increase in the degree of chromaticity variation was noticed for the veneer samples. A higher degree of redness variation was observed in pine (Δa* = 6.52) and maple (Δa* = 6.17), compared to Japanese oak (Δa* = 1.57). In the case of yellowness variation, a similar degree of progress was shown; at the end of treatment, maple presented a peak of Δb* value of 9.77, much more consistent than the value for maple of about 5.54. The overall colour difference (ΔE*) reached its maximum at the final 40-min interval for all wood types. The difference in colour stimulus was visible (≥3) starting with the first time of exposure for pine and maple, and progressively rose as the exposure time increased to 17.26 and 17.93, respectively. For Japanese oak, the difference was visible after 20 min of exposure only and did not change much by the end of treatment. Pine and maple samples significantly changed their colour along the treatment, while oak samples showed little colour change during the heat exposure, as presented in Fig. 7. In the case of maple and oak, Feher et al. [6] stated that at temperature intervals of 160°C–200°C, the difference in colour stimulus was visible (more than 3) or large (more than 6) as the exposure time increased. Čabalová et al. [1] also reported in the case of pedunculate oak that the colour characteristics were affected by the temperature and duration of the treatment, especially at high treatment temperatures (180°C and 200°C).

Figure 6: Variation of partial and total colour changes after heat treatment

Figure 7: Interaction plot for the total colour changes of the samples
Therefore, the progressive darkening of the heat-treated wood is due not only to oxidation reactions but mainly by the increasing proportions of the black furanic compounds generated by the degradation of hemicelluloses [4].
The results on colour changes obtained for these species under heat treatment are in line with those found in the specialty literature [1,6,8,12,15,16]. Analysis of Variance ANOVA was applied for the partial and total colour changes at the significance level of 0.05, as displayed in Table 1.

The analysis showed that the partial changes in the yellow colour coordinate were significantly influenced by the wood species, while the period of exposure significantly influenced the differences in lightness (p-value ≤ 0.05). The period of exposure influenced the total colour changes of the samples (p-value ≤ 0.05).
3.2 Results on NIR Evaluation of the Samples
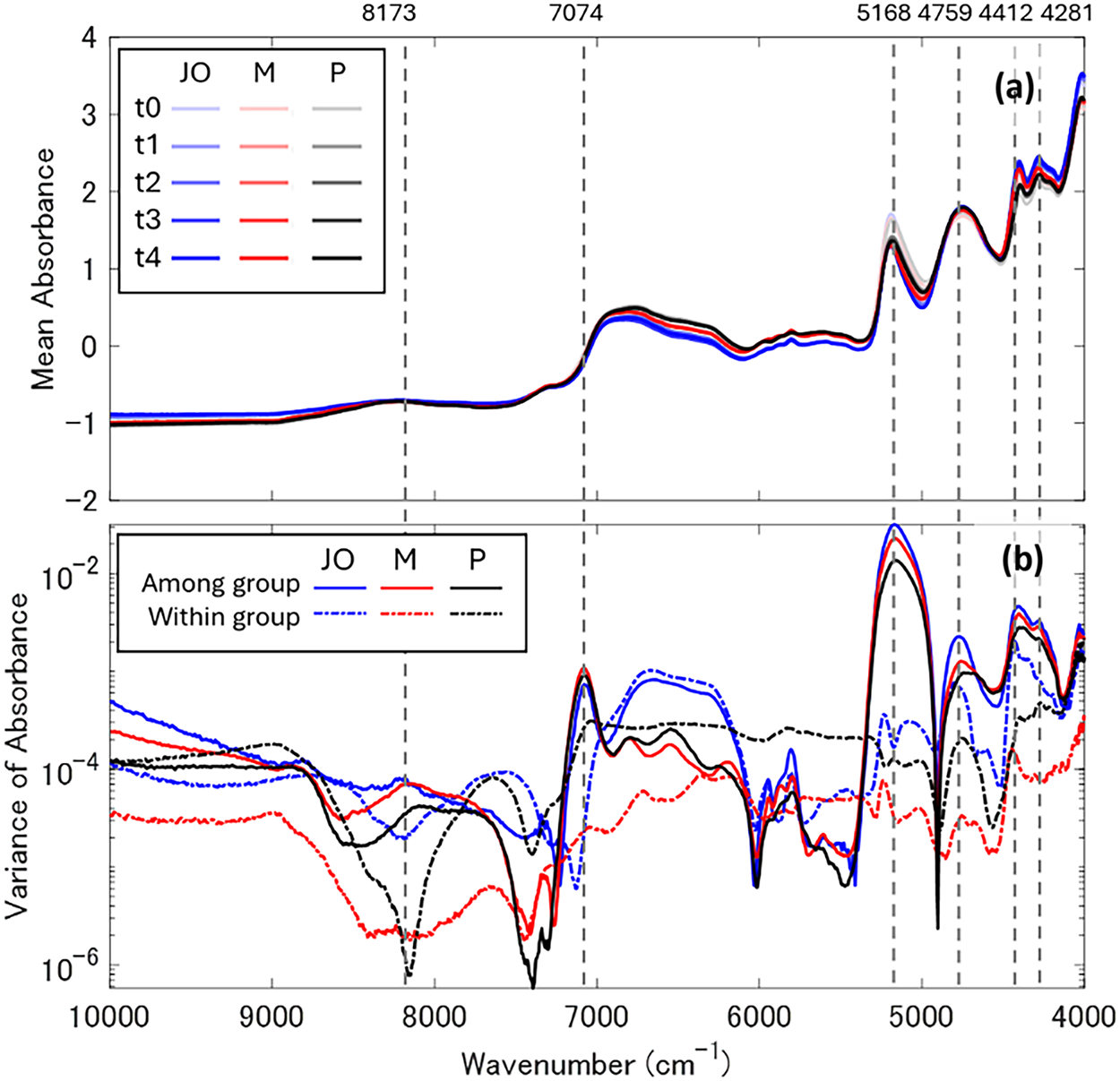
The mean spectra for each treatment condition are shown in Fig. 8a. All spectra were transformed by SNV to eliminate the baseline drift. Most of the spectra were overlapped, and no notable differences were observed among conditions. The most notable absorption was observed at 5168 cm−1, which is assigned as the combination of OH stretching and deformation of water. With a longer treatment duration, the absorbance decreased. Fig. 8b indicates the spectral variation among and within the treatment conditions. In this paper, the variance for the mean spectra of each treatment condition was regarded as the spectral variation due to the treatment condition. On the other hand, variance within each condition was averaged to evaluate the spectral variation due to the sample. Several wavenumbers where the spectral variation due to the treatment is greater than that due to the sample were also picked up. The greatest spectral variation was observed at 5168 cm−1, which indicates that heat treatment or related hysteresis lowered the equilibrium moisture content. A broad absorption around 6000–7000 cm−1 in Fig. 8a consists of several absorption bands due to the first overtone of the OH stretching vibration by water and cell wall components. Within this region, 7074 cm−1 showed the highest spectral variation among the treatments.

Figure 8: Mean spectra. (a) Mean spectra for each wood species with different treatments. (b) The variance of mean spectra for the different treatment conditions and the mean spectra of variance within each treatment condition
A previous study on microcrystalline cellulose reported that the wavenumber is due to the OH of water-water hydrogen bonding. Samples used in this study were air-dried; therefore, observed variation at this wavenumber is due to the loss of bond water within the cell wall. Absorption peaks at 8173, 4759 and 4281 cm−1 are assigned as the second overtone of CH stretching vibration due to cellulose, a combination of CH, OH deformation and OH stretching vibration due to cellulose and xylan, and a combination of CH deformation and stretching of cellulose and hemicellulose, respectively. For all species, these absorption peaks showed greater spectral variation among treatment conditions. Considering the low temperatures and short duration of heat treatment in this study, drastic thermal denaturation of cellulose is unlikely to occur.
Therefore, in cellulose, a partial decrease of OH on the amorphous region and a decrease of bound water may result in this spectral change [24]. On the other hand, thermal denaturation of hemicellulose begins at a much lower temperature than cellulose [25]. Hence, these spectral variations indicate the thermal denaturation of hemicellulose in some treatment conditions. 4412 cm−1 is assigned to the combination of OH and CO stretching vibration by lignin. Thermal degradation of lignin also begins at lower than 190°C [25]. This spectral variation also suggests the thermal denaturation of lignin in some treatment conditions.
Table 2 shows the notable absorption peaks and the correlation coefficient between peak intensity and colour coordinates. In the case of Japanese oak, most of the correlation coefficients are lower than 0.7 except for L* of 4412 and 4281 cm−1. Especially for b*, all absorption peaks did not have a high correlation. In contrast, b* of maple and pine were highly correlated with all absorption.

The PLS models were built to clarify the relationship between spectral variation and L*, a* and b*. The prediction accuracy of PLS models for each colour coordinate is summarised in Table 3. Because of the limited number of samples, each sample within the same heat treatment condition was regarded as a different data point. Note that those models include not only the colour change by heat treatment, but also the colour variation among the samples themselves. Except for a* and b* of Japanese oak, the determinant coefficient of the calibration (R2c) was higher than 0.9. The lightness L* of Japanese oak and maple, chroma a* and b* of pine showed over 0.7 of R2 for validation (R2v).

These colour coordinates have a linear relationship between spectral changes. On the other hand, the ratio of performance to deviation (RPD) of a* for Japanese oak, maple and b* of Japanese oak was less than 2, indicating the poor prediction accuracy. Therefore, changes in these colour coordinates may not be consistent with spectral changes. Kučerová et al. [10] reported the changes in the chemical components of Pinus sylvestris as a function of heat treatment time and temperature. Holocellulose and lignin content monotonically decrease and increase with both treatment time and temperature. In contrast, extractive content showed a non-linear increment and decrement. Decrement of extractives was probably caused by the decomposition of extractives into volatile products, whereas the increment of them is due to the decomposition of hemicellulose and lignin [10]. Hardwood has a more complex lignin structure than softwood; it contains both G-units (guaiacyl) and S-units (syringyl) lignin, while softwood lignin is entirely G-units. In this study, a poor prediction model (RPD < 2) of a* and b* of hardwood species was noticed. Those nonlinear extractive interactions may cause the limitation of the prediction accuracy of PLSR. This indicates the limitation of linear regression between NIR spectra and colour coordinates for several wood species.
PLS regression vectors are shown in Fig. 9. Since the prediction value is calculated by an inner product between the pre-treated spectrum and regression vector, significant wavenumbers related to the colour coordinates can be specified from a regression vector. When focusing on the wavenumbers described above, 8173 cm−1 due to CH of cellulose did not contribute to all prediction models. In contrast, 4759 cm−1 due to OH of cellulose and xylan contributed to the prediction for many models, except for Japanese oak. Hence, this implies the degradation of hydroxyl groups in hemicellulose drives L* shifts. Regression coefficients at 5168 and 4412 cm−1, assigned as the absorption peaks of water and lignin, were almost 0; however, both neighbors of the wavenumber region showed notable positive and negative peaks. This relates to the peak shift by a heat treatment; the peak shift occurs due to a change in intermolecular interaction. Thus, the changes in intermolecular interaction concerning OH groups by a heat treatment may result in the colour change. The 7074 cm−1 due to the intermolecular H-bond of water also showed higher regression values for maple and pine. This is also indirect evidence that the changes in the intermolecular interaction of water may affect the colour of the specimen (Fig. 9).

Figure 9: Regression vectors for each predictive model (a) for L* (b) for a* (c) for b* coordinates
Focusing on the sign of the regression coefficient, a* and b* of maple and pine showed a similar combination for those wavenumbers. The same phenomena were observed in the sign of the correlation coefficient, summarised in Table 3. Therefore, the spectral response towards a* b* is similar on maple and pine. The smaller absolute value of the regression coefficient for L*, a* and b* of Japanese oak than that of the remaining species is due to the smaller variation of ΔE*. However, the shape of the regression vector of Japanese oak differs from that of maple and pine; the sign at 7074 cm−1 for Japanese oak is opposite to that of maple and pine in all colour coordinates. This wavenumber relates to the loss of bond water within the cell wall. The decrease in bound water is the result of hydrophobization due to the denaturation of hemicellulose and lignin. The opposite sign of the regression coefficient at 7074 cm−1 suggests that the colour change of Japanese oak differs from that of maple and pine under this treatment condition.
This study examined the effects of thermal exposure at 190°C on the surface colour of Japanese oak, maple and Scots pine veneers over varying durations. The extent of colour transformation differed between the three species, with pine and maple exhibiting more pronounced discolouration under identical treatment conditions compared to Japanese oak. The primary driver of the colour shift was a decline in lightness and a combined increase in a* and b* chroma.
The lightness index decreased across the three wood species, particularly during the first 10 min of heat exposure, and the darkening effect intensified to the end of treatment. Throughout the heating duration, the red coordinate values rose steadily in pine and maple, while in Japanese oak, they slowly increased. A slight or progressive increase in the yellow coordinate values was noticed for maple and pine, respectively, while no change during the treatment was found in the case of Japanese oak. The overall total colour differences reached their maximum at the final 40-min interval for all wood types.
Generally, L* could be predicted by NIR spectra for all species, whereas the prediction models of a* and b* of hardwood species had poor prediction accuracy. This indicates the limitation of linear regression between NIR spectra and colour coordinates for several wood species. As the next step, the application of a nonlinear regression model should be investigated. Further investigation, such as calibrating NIR models with HPLC data, could quantify lignin’s role in chromaticity.
The results of the study can have brief industrial applications. Such heat-treated veneers can be used in furniture manufacturing to obtain value-added products or in restoration furniture works where thin wood is necessary. Pine and maple samples rapidly darkened, which suits time-efficient finishes, while oak’s stability recommends it for heritage restoration.
Acknowledgement: The authors acknowledge the support received from Shizuoka University and Nagoya University in Japan, Losan Company, and Forest Products Laboratory from Transilvania University of Brasov, Romania, to perform this study.
Funding Statement: The authors received no specific funding for this study.
Author Contributions: The authors confirm contribution to the paper as follows: conceptualization, Hikaru Kobori and Emilia-Adela Manea Salca; methodology, Hikaru Kobori, Emilia-Adela Manea Salca and Tetsuya Inagaki; software, Hikaru Kobori, Emilia-Adela Manea Salca and Tetsuya Inagaki; validation, Shigehiko Suzuki and Tetsuya Inagaki; formal analysis, Hikaru Kobori, Sahriyanti Saad and Aujchariya Chotikhun; investigation, Hikaru Kobori and Emilia-Adela Manea Salca; resources, Sahriyanti Saad and Aujchariya Chotikhun; data curation, Hikaru Kobori; writing—original draft preparation, Hikaru Kobori and Emilia-Adela Manea Salca; writing—review and editing, Hikaru Kobori and Emilia-Adela Manea Salca; visualization, Hikaru Kobori; supervision, Shigehiko Suzuki; project administration, Hikaru Kobori; funding acquisition, Emilia-Adela Manea Salca. All authors reviewed the results and approved the final version of the manuscript.
Availability of Data and Materials: Not applicable.
Ethics Approval: Not applicable.
Conflicts of Interest: The authors declare no conflicts of interest to report regarding the present study.
References
1. Čabalová I, Kačík F, Lagaňa R, Výbohová E, Bubeníková T, Čaňová I, et al. Effect of thermal treatment on the chemical, physical, and mechanical properties of pedunculate oak (Quercus robur L.) wood. BioResources. 2017;13(1):157–70. doi:10.15376/biores.13.1.157-170. [Google Scholar] [CrossRef]
2. Hermida de Paula M, Gonçalez JC, Ananías RA, Janin G. Effect of heat treatment on physical, mechanical and chemical properties of angelim wood. Maderas–Ciencia y Tecnologia. 2023;25(10):1–12. doi:10.4067/s0718-221x2023000100410. [Google Scholar] [CrossRef]
3. Pinchevska O, Horbachova O, Bаrdarov N, Zavialov D, Davydov V, Oliynyk R. Properties of heat-treated ash wood. Ukr J For Wood Sci. 2025;16(2):25–41. doi:10.31548/forest/2.2025.25. [Google Scholar] [CrossRef]
4. Zhang B, Petrissans M, Petrissans A, Pizzi A, Colin B. Furanic polymerization causes the change, conservation and recovery of thermally-treated wood hydrophobicity before and after moist conditions exposure. Polymers. 2022;15(1):221. doi:10.3390/polym15010221. [Google Scholar] [PubMed] [CrossRef]
5. Presley G, Cappellazzi J, Eastin I. Durability of thermally modified western hemlock lumber against wood decay fungi. Front Glob Change. 2022;5:813080. doi:10.3389/ffgc.2022.813080. [Google Scholar] [CrossRef]
6. Fehér S, Komán S, Börcsök Z, Taschner R. Modification of hardwood veneers by heat treatment for enhanced colors. BioResources. 2014;9(2):3456–65. doi:10.15376/biores.9.2.3456-3465. [Google Scholar] [CrossRef]
7. Hill C, Altgen M, Rautkari L. Thermal modification of wood—a review: chemical changes and hygroscopicity. J Mater Sci. 2021;56(11):6581–614. doi:10.1007/s10853-020-05722-z. [Google Scholar] [CrossRef]
8. Denes L, Lang EM. Photodegradation of heat treated hardwood veneers. J Photochem Photobiol B. 2013;118:9–15. doi:10.1016/j.jphotobiol.2012.09.017. [Google Scholar] [PubMed] [CrossRef]
9. Danihelová A, Vidholdová Z, Gergel’ T, Spišiaková Kružlicová L, Pástor M. Thermal modification of spruce and maple wood for special wood products. Polymers. 2022;14(14):2813. doi:10.3390/polym14142813. [Google Scholar] [PubMed] [CrossRef]
10. Kučerová V, Hrčka R, Hýrošová T. Chemical composition as the indicator of thermally treated pine (Pinus sylvestris L.) wood colour. Forests. 2024;15(7):1186. doi:10.3390/f15071186. [Google Scholar] [CrossRef]
11. Pinchevska O, Sedliačik J, Horbachova O, Spirochkin A, Rohovskyi I. Properties of hornbeam (Carpinus betulus) wood thermally treated under different conditions. Acta Fac Xylologiae Zvolen. 2019;61(2):25–39. doi:10.17423/afx.2019.61.2.03. [Google Scholar] [CrossRef]
12. Priadi T, Suharjo AAC, Karlinasari L. Dimensional stability and colour change of heat-treated young teak wood. Int Wood Prod J. 2019;10(3):119–25. doi:10.1080/20426445.2019.1679430. [Google Scholar] [CrossRef]
13. Xue J, Xu W, Zhou J, Mao W, Wu S. Effects of high-temperature heat treatment modification by impregnation on physical and mechanical properties of poplar. Materials. 2022;15(20):7334. doi:10.3390/ma15207334. [Google Scholar] [PubMed] [CrossRef]
14. Doe J, Smith A, Lee X. Effects of heat treatment on colour, swelling, and hygroscopicity in Afrormosia and Newtonia wood using air vs. palm-oil medium. Polymers. 2023;15(3):774. doi:10.3390/polym15030774. [Google Scholar] [PubMed] [CrossRef]
15. Bekhta P, Proszyk S, Krystofiak T. Colour in short-term thermo-mechanically densified veneer of various wood species. Eur J Wood Wood Prod. 2014;72(6):785–97. doi:10.1007/s00107-014-0837-1. [Google Scholar] [CrossRef]
16. Salca EA, Kobori H, Inagaki T, Kojima Y, Suzuki S. Effect of heat treatment on colour changes of black alder and beech veneers. J Wood Sci. 2016;62(4):297–304. doi:10.1007/s10086-016-1558-3. [Google Scholar] [CrossRef]
17. Salca EA, Bekhta P. Effects of thermo-mechanical densification applied to veneers of fast-growing species to produce value-added plywood panels. In: Cutting-edge research in agricultural sciences. Vol. 9. Labège, France: Book Publisher International; 2021. p. 161–77. doi:10.9734/bpi/cras/v9/8628d. [Google Scholar] [CrossRef]
18. Thumm A, Sargent R, Dovey S, Singh T, Nicholson C, Howat C, et al. A comparison of NIR spectroscopy and colour measurements for the classification of radiata pine timber thermally modified over a narrow temperature range. Eur J Wood Wood Prod. 2025;83(3):117. doi:10.1007/s00107-025-02268-2. [Google Scholar] [CrossRef]
19. Ma T, Schimleck L, Dahlen J, Yoon SC, Inagaki T, Tsuchikawa S, et al. Comparative performance of NIR-hyperspectral imaging systems. Foundations. 2022;2(3):523–40. doi:10.3390/foundations2030035. [Google Scholar] [CrossRef]
20. Tsuchikawa S, Ma T, Inagaki T. Application of near-infrared spectroscopy to agriculture and forestry. Anal Sci. 2022;38(4):635–42. doi:10.1007/s44211-022-00106-6. [Google Scholar] [PubMed] [CrossRef]
21. SO/CIE 11664-4:2019. Colorimetry—part 4: CIE 1976 L* a* b* colour space. Geneva, Switzerland: International Organization for Standardization; 2019. [Google Scholar]
22. McLaren K. XIII—the development of the CIE 1976 (L* a* b*) uniform colour space and colour-difference formula. J Soc Dye Colour. 1976;92(9):338–41. doi:10.1111/j.1478-4408.1976.tb03301.x. [Google Scholar] [CrossRef]
23. Schwanninger M, Rodrigues JC, Fackler K. A review of band assignments in near infrared spectra of wood and wood components. J Infrared Spectrosc. 2011;19(5):287–308. doi:10.1255/jnirs.955. [Google Scholar] [CrossRef]
24. Shimazu F, Sterling C. Effect of wet and dry heat on structure of cellulose. J Food Sci. 1966;31(4):548–51. doi:10.1111/j.1365-2621.1966.tb01902.x. [Google Scholar] [CrossRef]
25. Senneca O, Cerciello F, Russo C, Wütscher A, Muhler M, Apicella B. Thermal treatment of lignin, cellulose and hemicellulose in nitrogen and carbon dioxide. Fuel. 2020;271:117656. doi:10.1016/j.fuel.2020.117656. [Google Scholar] [CrossRef]
Cite This Article
Copyright © 2026 The Author(s). Published by Tech Science Press.This work is licensed under a Creative Commons Attribution 4.0 International License , which permits unrestricted use, distribution, and reproduction in any medium, provided the original work is properly cited.


Submit a Paper
Propose a Special lssue
View Full Text
Download PDF
Downloads
Citation Tools