Open Access
ARTICLE
Who Benefits More from Physical Exercise? On the Relations between Personality, Physical Exercise, and Well-Being
1
School of Entrepreneurship, Wuhan University of Technology, Wuhan, 430070, China
2
School of Management, Wuhan University of Bioengineering, Wuhan, 430415, China
3
School of Management, Wuhan University of Technology, Wuhan, 430070, China
* Corresponding Author: Wei Liao. Email:
International Journal of Mental Health Promotion 2023, 25(10), 1147-1157. https://doi.org/10.32604/ijmhp.2023.030671
Received 18 April 2023; Accepted 26 July 2023; Issue published 03 November 2023
Abstract
Although employers believe that encouraging and supporting physical exercise activities by purchasing fitness equipment and building sports venues can improve employees’ well-being, the utilization rate is rather low. Since most of the evidence of the well-being promotion in the workplace concentrated on the perspectives of organizational factors and psychosocial factors and focused on the reduction of the negative affect of well-being, it is still an open question whether physical exercise has benefits on both negative and positive affect of wellbeing and who benefits more from physical exercise. Thus, the purpose of this study is to investigate the impact of physical exercise on occupational well-being (job burnout and work engagement) and examine whether effectiveness depends on personality traits. Online questionnaires were distributed. The sample included 671 participants from different enterprises in China. Results showed that the effectiveness of physical exercise was also applicable to well-being in the workplace. Physical exercise was negatively correlated with job burnout and positively correlated with work engagement. The effectiveness was different among employees with different personality traits. Contrary to our expectation, individuals with neuroticism were more likely to improve their work engagement through physical exercise. Extroversion and conscientiousness weakened the benefits of physical exercise. Therefore, differences of effectiveness among different personality traits emphasize the need for a more personalized strategy in physical exercise interventions.Keywords
The mental health and well-being challenges of employees in the workplace have attracted the attention of organizations around the world [1,2]. Most recently, COVID-19 pandemic has caused a global crisis for employees’ mental health, and the economic lost due to depression and anxiety is around US $1 trillion in lost productive capacity [3]. To create a healthier workforce, physical exercise proved to be an important intervention to promote well-being [4,5] and many employers encouraged and supported physical exercise activities after work by purchasing fitness equipment, building basketball courts, gyms and other sports venues. However, the report showed that the utilization rate of sports venues is rather low [6]. In fact, employees cannot fully understand the positive affect of physical exercise on well-being, which is one of the important restrictions on their participation in physical exercise [7].
Recent studies have widely concerned the employees’ well-being promotion. Many scholars regard depression and stress as indicators of well-being [8–10], ignoring the positive affect of well-being. In fact, well-being is associated with both negative and positive affect [11]. Negative affect represents unpleasantness (e.g., stress, depression) and positive affect represents the degree to which people experience active elation (e.g., life satisfaction, meaning) [11]. Among them, job burnout and work engagement are two critical indicators representing the two obvious opposite affects. Job burnout characterized by exhaustion and cynicism, means a state of mental weariness, which represents the negative affect of well-being [12]. Work engagement characterized by vigor, dedication and absorption, means a fulfilling work-related state of mind, which represents the positive affect of well-being [12]. However, to date, there is no research that combines job burnout and work engagement to examine the promotion of employees’ well-being. On the other hand, extant researches have explored the promotion of well-being from a number of perspectives, including leadership, organizational culture and psychosocial factors [13–15]. However, the research on individual well-being from the perspective of physical exercise is still very limited. What is the influence of physical exercise on employees’ well-being? People still do not realize the influence of physical exercise on both positive and negative affect of well-being in the workplace.
Another important question is, who benefits more from physical exercise? Some studies found that physical exercise positively affected employees’ well-being [4,5], while others found that physical exercise did not positively predict well-being in the workplace [16,17]. One of the important possible explanations is that there is a regulatory mechanism for the influence of physical exercise on well-being. Personality is a measure of people’s relatively stable differences in thinking, feeling, and behavior, which can be summarized into five basic characteristics: nervousness, extroversion, openness, agreeableness, and conscientiousness [18–20]. Person–activity fit theory states that due to the differences of individual personality traits, the same types of activities will have different degrees of benefits for well-being [21]. It is essential to understand why it is easier for some people to improve their well-being from physical exercise in order to help match individual characteristics with physical exercise [22,23]. To date, however, little research has systematically examined the interplay of personality, physical exercise, and well-being.
The purpose of this study was therefore (1) to investigate the impact of physical exercise on work engagement, (2) to examine the impact of physical exercise on job burnout, and (3) to explore for whom physical exercise is more effective. The results are of great significance to occupational mental health management. We clarify the promotion affect of physical exercise on employees’ well-being, and a deeper understanding of the difference of effectiveness among different personality traits is also helpful to tailor health-promotion interventions for specific groups.
Theory Background and Hypothesis Development
The conservation of resources theory
Conservation of Resources (COR) theory includes the two spirals: the gain spiral and the loss spiral [24]. The gain spiral posits that individuals with more resources are more capable of acquiring resources [24]. The loss spiral hypothesis states that individuals lacking resources are more vulnerable to the impact of resource loss, and even experience a greater loss of future resources [25]. Studies on the COR theory argues that when individuals have more resources in their personal resource pool, they experience a higher level of well-being [25].
The role of physical exercise on work engagement at the workplace
As an important resource of personal energy, physical exercise can help employees build and replenish their personal energy levels and enable them to obtain more resources [24]. According to COR theory, we believe that physical exercise can significantly improve work engagement. First, physical exercise help individuals acquire physical energy such as glucose and insulin [26]. These resources are essential to the maintenance of high level of work engagement. Second, physical exercise is conductive to replenishing mental focus [27]. When employees feel good mentally, they are more likely to be engaged in their work. Thus, we hypothesized that:
Hypothesis 1. Physical exercise is positive related to the work engagement.
The role of physical exercise on job burnout at the workplace
As an important resource of personal energy, physical exercise can also help employees avoid the loss of resources. According to the COR theory, we believe that physical exercise can relieve job burnout. First, when doing physical exercise, bodies release endorphins and reduce cortisol to avoid the stress caused by high work demands [28]. Second, physical exercise provides a break from work-related thoughts [29]. This psychological detachment allows employees to recharge to avoid losing other valuable resources. Thus, we hypothesized that:
Hypothesis 2. Physical exercise is negative related to the job burnout.
The moderating role of personality traits
In above process, COR theory argues that, there are individual differences in the responses to resource-based loss and investment processes [30]. Personality traits include five dimensions: neuroticism, conscientiousness, agreeableness, openness, and extroversion [31]. We propose that personality is an important moderator of the relationship between physical exercise and work engagement and job burnout. Neuroticism refers to the tendency to experience negative emotions (such as paranoia and sadness) [18]. In the case of high neuroticism, individuals are more sensitive to stressors [18] and are less likely to obtain positive emotional resources from physical exercise. On the other hand, individuals with high neuroticism tend to be self-doubt [32] and feel hard to avoid the loss of mental resources. Thus, we hypothesized that:
Hypothesis 3a. Neuroticism moderates the relationship between physical exercise and work engagement and job burnout, such that the affect is stronger if the neuroticism is low.
Conscientiousness represents the characteristics such as responsibility and self-discipline [18]. In the case of high conscientiousness, individuals tend to value discipline and incorporate physical exercise into routine [33]. As a regular event, they have more opportunities to obtain energy from exercise. On the other hand, conscientious individuals are characterized with goal-oriented mindset [34] and prioritize their physical activity to avoid the loss of resources. Thus, we hypothesized that:
Hypothesis 3b. Conscientiousness moderates the relationship between physical exercise and work engagement and job burnout, such that the affect is stronger if the conscientiousness is high.
Agreeableness represents the individual’s character of kindness and trustworthiness [18]. In the case of high agreeableness, individuals tend to have better social support at work [35] and have easy access to exercise equipment, thus promoting the gain affect of physical exercise. On the other hand, agreeable individuals are more likely to avoid conflicts [36], thus avoiding the resource loss during the physical exercise. Thus, we hypothesized that:
Hypothesis 3c. Agreeableness moderates the relationship between physical exercise and work engagement and job burnout, such that the affect is stronger if the agreeableness is high.
Openness represents the individual’s curiosity and open mind [18]. When reacting to the resource-based investment process, individuals with high openness show wide interests and strong curiosity [37]. Driven by a wide range of interests, they are more likely to gain emotional resources from physical exercise. On the other hand, these interests can also help them avoid the loss of mental resources, such as meaninglessness. Thus, we hypothesized that:
Hypothesis 3d. Openness moderates the relationship between physical exercise and work engagement and job burnout, such that the affect is stronger if the openness is high.
Extroversion refers to the number and density of individual interpersonal interaction [18]. Driven by social interaction and adventure, individuals high in extroversion obtain more positive emotions from physical exercise, such as joy and excitement [38]. On the hand other, extroversive ones tend to be outgoing [38] and show less exhaustion when facing the resource-based loss processes. Thus, we hypothesized that:
Hypothesis 3e. Extroversion moderates the relationship between physical exercise and work engagement and job burnout, such that the affect is stronger if the extroversion is high.
At present, the challenges of mental health and well-being of employees in the workplace have attracted the attention of organizations around the world. Although employers believe that encouraging and supporting physical exercise activities after work by purchasing fitness equipment and building sports venues can improve employees’ well-being, the utilization rate is rather low. Whether physical exercise has benefits on employees’ well-being and who benefits more from physical exercise are still unknown. Based on the above literature, this study aims to explore the relationship between physical exercise and well-being at the workplace, and examine the interaction between different personality traits and physical exercise in the prediction of job burnout and work engagement. Based on our literature review, we developed a theoretical hypothesis model (as shown in Fig. 1). As shown in Fig. 1, we put forward the following three hypotheses: (1) Physical exercise is significantly related to the improvement of work engagement, (2) Physical exercise is significantly related to the reduction of job burnout, (3) Personality traits moderate the relationship between physical exercise and work engagement and job burnout.

Figure 1: Hypothesis model.
This study adopted a cross-sectional design and samples were randomly collected by different enterprises. Participants were recruited from companies located in southern China. With the assistance of the director of human resources, we invited employees to participate in the survey by e-mail on the company intranet. The e-mail clarified the purpose of the study and assured potential participants of the confidentiality of their answers. Employees who were interested in participating could reply by e-mail. The questionnaire consists of four scales: Physical Exercise Habit Scale, Work Engagement Scale, Job Burnout Scale and Personality Traits Scale. Social-demographic information included gender, age and level of education. A total of 781 participants completed the self-report questionnaire by June 15, 2022. Among them, 671 questionnaires (85.92%) were deemed valid. The samples included 59.6% men and 40.4% women, with a balanced proportion. Younger employees (aged 25–30 years) accounted for 29.1%, middle-aged employees (aged 31–40 years) accounted for 29.2% and older employees (aged over 40 years) accounted for 22.5%. Median education level was a 4-year college degree and the manufacturing and information transmission industries accounted for 16.1%.
Physical exercise was measured with the Physical Exercise Habit Scale [39]. This scale points out that physical exercise after work consists of two factors: repetition of exercise behavior and volition of exercise behavior. This 14-item scale includes items such as “I have been able to keep taking part in physical exercise so far,” “Physical exercise has become an important part of my daily life,” and “I can properly handle the relationship between physical exercise and other important things.” Participants responded on a five-point scale, ranging from 1 (strongly disagree) to 5 (strongly agree). Cronbach’s α was good (α = 0.89).
Work engagement was measured with nine questions taken from Schaufeli et al. [40]. This scale includes three dimensions: vigor, dedication, and absorption. Examples of the items are “In my work, I feel energetic,” “I want to go to work as soon as I get up in the morning,” and “I feel very happy when I work hard.” Participants responded on a five-point scale, ranging from 1 (never) to 5 (always). Cronbach’s α was good (α = 0.88).
Job burnout was measured with the Maslach Burnout Inventory-General Survey [41]. This scale points out that job burnout consists of three factors: emotional exhaustion, cynicism, and low sense of achievement. This 15-item scale includes items such as “I feel exhausted when I get off work,” “I’m not as enthusiastic about my work as before,” and “I do not feel very happy when I finish some things at work.” Participants responded on a five-point scale, ranging from 1 (never) to 5 (always). Cronbach’s α was good (α = 0.88).
Personality traits were measured with 15 questions taken from Zhang et al. [42]. This scale includes five dimensions: neuroticism, conscientiousness, agreeableness, openness, and extroversion. The three-item scale of neuroticism includes “I often worry about trifles.” The three-item scale of conscientiousness includes “I like to plan things from scratch.” The three-item scale of agreeableness includes “I think most people are kind.” The three-item scale of openness includes “I like taking risks.” The three-item scale of extroversion includes “I like to attend social and entertainment parties.” Participants responded on a five-point scale, ranging from 1 (disagree strongly) to 5 (agree strongly). The Cronbach’s α coefficients were 0.76, 0.63, 0.78, 0.85, and 0.61 for neuroticism, conscientiousness, agreeableness, openness, and extroversion, respectively.
Prior studies have shown that gender, age and level of education affect work engagement and job burnout [43–45]. Thus, we controlled the participants’ gender (0 = male, 1 = female), age, and level of education (1 = primary school and below, 2 = junior high school, 3 = senior high school/technical secondary school/technical school, 4 = college, 5 = undergraduate, 6 = master’s degree and above).
First, we used Mplus 8.0 to perform confirmatory factor analysis to test the validity of discrimination among the core constructs in this study. The results showed that the eight-factor model of neuroticism, conscientiousness, agreeableness, openness, extroversion, physical exercise, work engagement, and job burnout (χ2 = 712.76, df = 211, χ2/df = 3.38, CFI = 0.92, TLI = 0.90, SRMR = 0.08, RMSEA = 0.06) fitted well. Generally, the eight-factor model was significantly better than the fitting index results of other competitive models. Therefore, our measurement model had good discriminant validity.
Second, according to the suggestion of Podsakoff et al. [46], we tested the common method deviation. The test results showed that the model has not been significantly improved compared with the eight-factor model assumed in theory after adding the method factor (χ2 = 614.74, df = 184, CFI = 0.94, TLI = 0.92, SRMR = 0.08, RMSEA = 0.05, ∆CFI = 0.02; ∆TLI = 0.02; ∆RMSEA = 0.01; ∆SRMR = 0.00). Therefore, there was no obvious common method variance in the present study.
Following the advice of Kraimer et al. [47], we next analyzed whether it was necessary to control for three demographics variables. The results showed that in separate regression equations, gender, age and level of education significantly predicted work engagement and job burnout. Therefore, we controlled for three demographics variables in the case of work engagement and job burnout as the criterion variables.
Table 1 reports the results of descriptive statistical analysis and Pearson’s correlation analysis of all variables.

As can be noted, physical exercise was negatively correlated with job burnout (r = −0.22, p < 0.001) and positively correlated with work engagement (r = 0.46, p < 0.001). Therefore, there was a certain degree of positive correlation between physical exercise and well-being in the workplace. The results preliminarily confirmed the hypothesis that physical exercise has a positive affect on work engagement and a negative affect on job burnout. To further examine the hypotheses, we used the hierarchical regression method (see Table 2).

As can be noted, after controlling the demographic variables, physical exercise still had a significant predictive affect and incremental influence on job burnout (b = −0.13, se = 0.02, p < 0.001) and work engagement (b = 0.32, se = 0.02, p < 0.001). Physical exercise positively predicted the well-being of people in the workplace. In order to further investigate whether the effectiveness varies across individuals and who is more likely to benefit from physical exercise, we examined the interaction between personality traits (neuroticism, conscientiousness, agreeableness, openness, extroversion) and physical exercise in the prediction of job burnout and work engagement (see Table 3).

We used the “bootstrap method” for 5,000 times to test the interaction between physical exercise and personality traits in the prediction of job burnout and work engagement (see Tables 3 and 4). As can be noted, as far as the influence of physical exercise on work engagement is concerned, the interaction between some personality traits (neuroticism, conscientiousness, openness, extroversion) and physical exercise in predicting work engagement was significant: there are significant differences between the two groups in neuroticism (b = 0.059, 95%CI = [0.010, 0.107]). Specifically, this affect was significant in the high neuroticism group (b = 0.339, 95%CI = [0.282, 0.396]), and in the low neuroticism group (b = 0.239, 95%CI = [0.171, 0.308]). There were also significant differences between the two groups in conscientiousness (b = −0.132, 95%CI = [−0.199, −0.066]), openness (b = −0.067, 95%CI = [−0.112, −0.021]), and extroversion (b = −0.068, 95%CI = [−0.116, −0.019]). However, the interaction between agreeableness and physical exercise in the prediction of work engagement was not significant (b = −0.012, 95%CI = [−0.075, 0.052]). Similarly, in the process of interaction between physical exercise and personality traits in the prediction of job burnout, only one interaction is significant: there are significant differences between the two groups in neuroticism (b = −0.070, 95%CI = [0.029, 0.110]). Specifically, this affect was significant in the high neuroticism group (b = −0.089, 95%CI = [−0.129, −0.049]), and in the low neuroticism group (b = −0.148, 95%CI = [−0.206, −0.091]). However, the interaction between other personality traits and physical exercise in the prediction of job burnout was not significant. Therefore, different personality traits did not consistently regulate the internal relationship between physical exercise, work engagement, and job burnout. There are individual differences in the effectiveness of physical exercise on the well-being of people in the workplace.

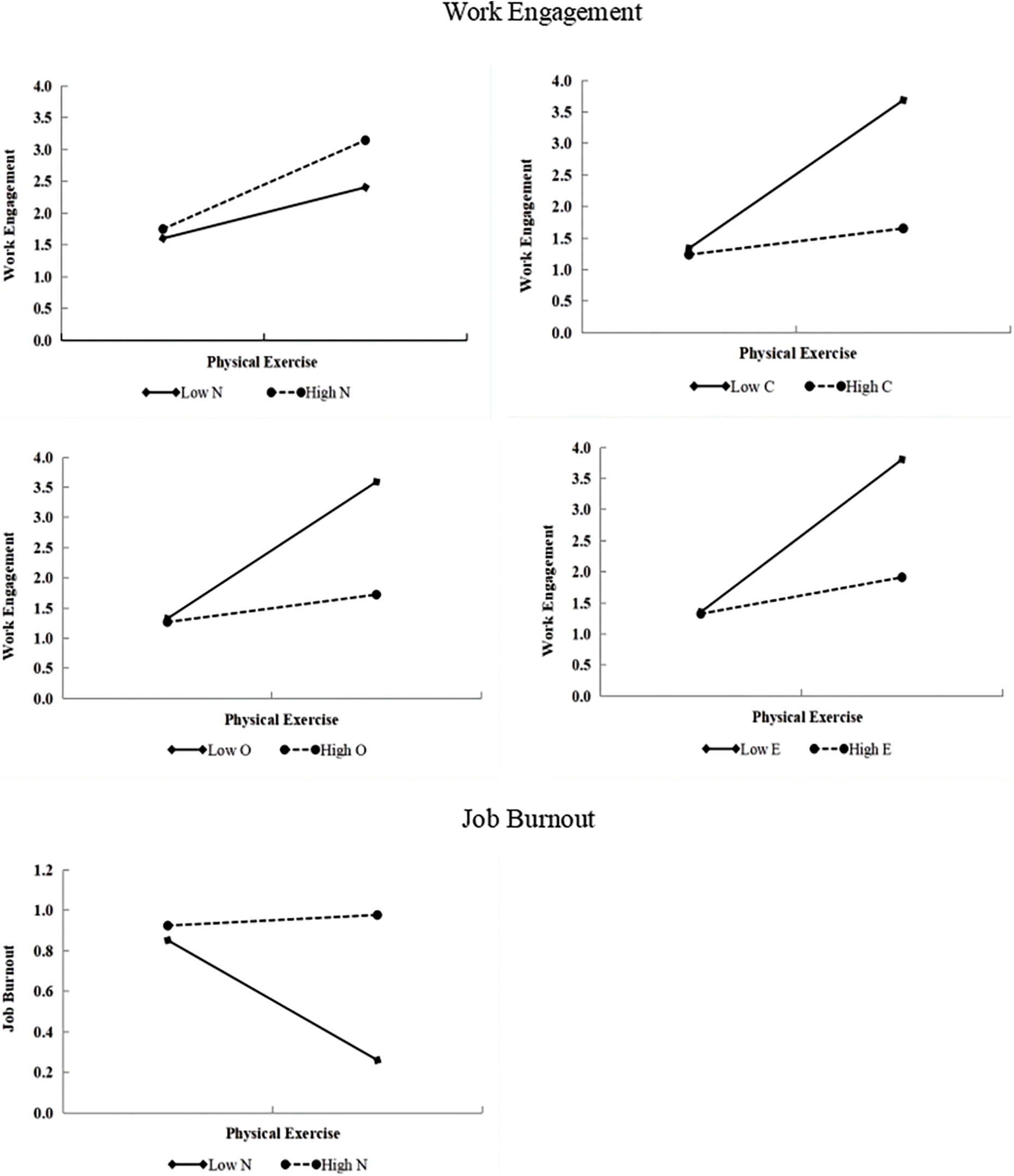
To clearly show the interaction of different personality traits and physical exercise in the prediction of work engagement and job burnout, we further drew a moderating affect diagram of different personality characteristics (see Fig. 2). As can be noted, the effectiveness of physical exercise on the well-being of people in the workplace varied across individuals with different personality traits. Personality traits increased and weakened the effectiveness of physical exercise on the work engagement and job burnout in the workplace. Particularly, conscientiousness, openness, and extroversion weakened the effectiveness of physical exercise on work engagement, while neuroticism enhanced the effectiveness and even changed the direction of the relationship symbol of the affect of physical exercise on job burnout.

Figure 2: The moderation affect of personality traits. Note. N = neuroticism, C = conscientiousness, A = agreeableness, O = openness, E = extroversion.
Different extent of exercise and types of job have the possibility to have the impact on the effectiveness of physical exercise. To further examine the effectiveness of different extent of exercise on people’s well-being in the workplace and examine the impact of different types of work on results, we added the extent of exercise and types of work as control variables. The extent of exercise was measured by 5-point scale (1 = slight intensity, 2 = low-intensity, 3 = medium strength, 4 = high-intensity, 5 = extremely high strength). The types of work were measured by 20-point scale (1 = agriculture, forestry, animal husbandry and fishery, 2 = mining industry, 3 = manufacturing industry, 4 = electricity industry, 5 = construction industry, 6 = transportation industry, 7 = information transmission industry, 8 = wholesale and retail trade, 9 = accommodation and catering industry, 10 = financial industry, 11 = real estate industry, 12 = leasing and business services industries, 13 = scientific research industry, 14 = environmental industry, 15 = resident service industry, 16 = education industry, 17 = health industry, 18 = social security industry, 19 = cultural industry, 20 = entertainment industry). The first step was to input demographic variables and extent of exercise and types of work as dummy variables to control their influence on job burnout and work engagement. On this basis, the second step was to add physical exercise to investigate the real incremental impact of physical exercise on job burnout and work involvement (see Tables 5 and 6).


As can be noted, after controlling the demographic variables and extent of exercise, physical exercise still had a significant predictive affect and incremental influence on job burnout (b = −0.20, se = 0.04, p < 0.001) and work engagement (b = 0.33, se = 0.03, p < 0.001). The results showed that extent of exercise did not change the affect and the findings were consistent. On the other hand, after controlling the demographic variables and types of work, physical exercise still had a significant predictive affect and incremental influence on job burnout (b = −0.15, se = 0.03, p < 0.001) and work engagement (b = 0.32, se = 0.03, p < 0.001). The results showed that extent of exercise and types of work did not change the affect and the findings were consistent.
In this study, we investigated the influence of physical exercise on the well-being of people in the workplace (work engagement, job burnout) and the interaction between different personality traits (neuroticism, conscientiousness, agreeableness, openness, extroversion) and physical exercise in the prediction of well-being in the workplace. The first two hypotheses were confirmed, and it was noted that physical exercise had both affects on the positive affect and negative affect of well-being. In the epidemic situation, if people in the workplace persist in physical exercise, they will have a higher level of work engagement and be less prone to job burnout. The effectiveness of physical exercise on the job burnout and work engagement in the workplace vary across individuals, and different personality characteristics enhance or weaken the benefits of physical exercise.
However, the third hypothesis was not confirmed from the expectation in data analysis, and some of the observed results were even contrary to our hypothesis. For example, we observed a smaller association between physical exercise and work engagement for people with high conscientiousness and extroversion and a larger association between physical exercise and work engagement for people with high neuroticism. Initially, we suggested that extroverts might be more likely to benefit from social activities from physical exercise through need fulfillment because they have more successful socializing [48]. However, due to the home office policy, the distance between people was widened, and physical exercise during the pandemic could not meet the social needs of extroverts. This may be the explanation for the negative interaction between extroversion and physical exercise in the prediction of work engagement we found here and is also similar to the idea that extroverts need more stimulation for optimal levels [48]. In addition, neurotic individuals may have more difficulty regulating their emotions during stressful times. Physical activity has been shown to improve emotional regulation by releasing endorphins and promoting relaxation [28]. Neuroticism may positively moderate the relationship by amplifying the emotional regulation benefits of physical activity. These unexpected findings are worthy of attention and further exploration.
Our findings have practical implications for formulating interventions aimed at improving the participation rate and effectiveness of physical exercise among people in the workplace. First, in the face of the crisis of other epidemic diseases such as influenza, the policy agency should pay attention to the special appeal to employees. Due to sitting for a long time, people in the workplace are more susceptible to viral infection, and job burnout is an obvious symptom [49]. Physical exercise is an effective measure to reduce people’s job burnout and improve their well-being in the workplace. Measures to encourage people to engage in physical exercises off the screen to improve professional well-being are desirable. Besides, personality traits predict the individual differences of correlation strength between physical exercise and well-being. In order to improve the effectiveness of physical exercise, the policy agent can advise people with different personalities in the workplace to do physical exercise selectively.
Secondly, enterprises should invest resources to provide convenience for employees to carry out physical exercises. To date, although most enterprises are committed to improving employees’ occupational well-being, the results have not reached the expected level [50]. Setting individual physical exercise goals for employees with different personality traits provides a new perspective for enterprises to improve employees’ well-being.
Finally, employees should pay attention to getting up from the sofa and choose personalized ways to improve professional well-being. Participating in physical exercise can increase work engagement and reduce job burnout. It can be noted that physical exercise is an effective means to promote employees’ long-term development on the road of career growth and health.
The present study has both strengths and limitations. One of the strengths is that we integrated both positive and negative affect of well-being (work engagement and job burnout), while previous studies concentrated on one aspect of well-being [51–53]. Although one study considered work engagement and other negative affect of well-being (e.g., psychological distress) [54], there may also be other more obvious opposites in concept and it is widely recognized that the conceptual opposite of work engagement is job burnout [55]. Secondly, we examined the promotion of well-being from a new perspective. Previous studies have explored the promotion of well-being from a number of perspectives, including leadership, organizational culture and psychosocial factors [13–15]. However, the research on individual well-being from the perspective of physical exercise is still very limited. In fact, although employers believe that encouraging and supporting physical exercise activities can improve well-being, the utilization rate is rather low. People still do not know whether physical exercise have benefits on well-being. Thirdly, we investigated the individual differences in the effectiveness of physical exercise on well-being in the work field. Although people are encouraged to engage in physical exercise, different personality traits enhance or weaken the effectiveness of physical exercise. To date, however, there is no research to examine who is more likely to benefit from physical exercise. We provide new ideas for improving the effectiveness of physical exercise interventions.
Regarding limitations, our approach was cross-sectional, and the present study was not able to determine the causal inference between physical exercise and work engagement and job burnout. We inferred that physical exercise had a negative impact on job burnout based on Conservation of Resources theory. Although our study has originality, there might be other possibilities. For example, people who have burn out may be less likely to exercise. Future research can use a more rigorous longitudinal research design to replicate our results and examine the causal inference among physical exercise, job burnout, and work engagement. Secondly, although we investigated the positive influence of physical exercise on well-being, it is not clear how the influence happened. Therefore, future research can further investigate the mechanism between physical exercise and work engagement and job burnout to better understand how physical exercise affects employees’ well-being in the work field. Thirdly, although we found that the interaction between some personality traits and physical exercise in the prediction of well-being was significant, there may still be other reasons to explain the individual differences in the effectiveness of physical exercise besides personality traits. Therefore, future research should further explore which individual difference variables are related to the benefits from physical exercise.
Prior research showed that well-being mainly consisted of the negative affect, ignoring the positive affect. Besides, although quite a considerable literature focused on the well-being promotion in the workplace, they concentrated on the perspective of organizational factors and psychosocial factors, and whether physical exercise has benefits on well-being is still unknown. The present study further integrated the both positive and negative affect of well-being to confirm that physical exercise has both benefits on the reduction of job burnout and the improvement of work engagement. In addition, the effectiveness of physical exercise on well-being in the workplace varies across individuals. Personality is one of the important reasons to explain the difference in effectiveness. Different personality traits enhance or weaken the influence of physical exercise on work engagement and job burnout. The implication of the findings is that the degree of effectiveness of physical exercise on the occupational well-being depends on personality traits, and physical exercise interventions need a more personalized strategy.
Acknowledgement: The authors thank research participants for their participation in this study.
Author Contributions: The authors confirm contribution to the paper as follows: study conception and design: Wei Liao, Baoguo Xie; data collection: Wei Liao; analysis and interpretation of results: Jialing Miao; draft manuscript preparation: Jialing Miao, Wei Liao, Baoguo Xie. All authors reviewed the results and approved the final version of the manuscript.
Funding Statement: Our study was funded by National Natural Science Foundation of China (Project No. 72272117).
Availability of Data and Materials: The data will be provided upon request to the corresponding author.
Conflicts of Interest: The authors declare that they have no conflicts of interest to report regarding the present study.
References
1. Huth KBS, Chung-Yan GA. Quantifying the evidence for the absence of the job demands and job control interaction on workers’ well-being: a Bayesian meta-analysis. J Appl Psychol [Internet]. 2022;108(6):1060–72. doi:https://doi.org/10.1037/apl0001066. [Google Scholar] [PubMed] [CrossRef]
2. Kurhan F, Kamis GZ, Çim EFA, Atli A, Dinc D. Relationship between obsessive-compulsive symptoms and anxiety levels during the COVID-19 pandemic in healthcare professionals vs. non-healthcare professionals. Int J Ment Health Promot [Internet]. 2022;24(3):399–413. doi:https://doi.org/10.32604/ijmhp.2022.019013. [Google Scholar] [CrossRef]
3. World Health Organization. Mental health at work: policy brief. Available from: https://www.who.int/publications/i/item/9789240057944. [Accessed 2022]. [Google Scholar]
4. Xiao Z, Doig S, Wu H, Wang L. Associations of sport participation with depression and anxiety among Chinese minority adolescents. Int J Ment Health Promot [Internet]. 2022;24(5):739–47. doi:https://doi.org/10.32604/ijmhp.2022.019395. [Google Scholar] [CrossRef]
5. Su J, Wei E, Clark C, Liang K, Sun X. Physical exercise, sedentary behaviour, sleep and depression symptoms in Chinese young adults during the COVID-19 pandemic: a compositional isotemporal analysis. Int J Ment Health Promot [Internet]. 2022;24(5):759–69. doi:https://doi.org/10.32604/ijmhp.2022.020152. [Google Scholar] [CrossRef]
6. Bernard P, Chevance G, Kingsbury C, Baillot A, Romain A, Molinier V, et al. Climate change, physical activity and sport: a systematic review. Sports Med [Internet]. 2021;51:1041–59. doi:https://doi.org/10.1007/s40279-021-01439-4. [Google Scholar] [PubMed] [CrossRef]
7. Grawitch MJ, Gottschalk M, Munz DC. The path to a healthy workplace: a critical review linking healthy workplace practices, employee well-being, and organizational improvements. Consult Psychol J: Pract Res [Internet]. 2006;58(3):129–47. doi:https://doi.org/10.1037/1065-9293.58.3.129. [Google Scholar] [CrossRef]
8. Schwinger M, Trautner M, Kärchner H, Otterpohl N. Psychological impact of corona lockdown in Germany: changes in need satisfaction, well-being, anxiety, and depression. Int J Environ Res Public Health [Internet]. 2020;17(23):9083. doi:https://doi.org/10.3390/ijerph17239083. [Google Scholar] [PubMed] [CrossRef]
9. Harju LK, van Hootegem A, de Witte H. Bored or burning out? Reciprocal effects between job stressors, boredom and burnout. J Vocat Behav [Internet]. 2022;139:103807. doi:https://doi.org/10.1016/j.jvb.2022.103807. [Google Scholar] [CrossRef]
10. Nolan MT, Diefendorff J, Erickson RJ, Lee MT. Psychological compassion climate: examining the nomological network of perceptions of work group compassion. J Vocat Behav [Internet]. 2022;133:103688. doi:https://doi.org/10.1016/j.jvb.2021.103688. [Google Scholar] [CrossRef]
11. Narainsamy K, van der Westhuizen S. Work related well-being: burnout, work engagement, occupational stress and job satisfaction within a medical laboratory setting. J Vocat Behav [Internet]. 2013;23:467–74. doi:https://doi.org/10.1080/14330237.2013.10820653. [Google Scholar] [CrossRef]
12. Schaufeli WB, Taris TW, van Rhenen W. Workaholism, burnout, and work engagement: three of a kind or three different kinds of employee well-being? Appl Psychol [Internet]. 2008;57:173–203. doi:https://doi.org/10.1111/j.1464-0597.2007.00285.x. [Google Scholar] [CrossRef]
13. Giessner SR, Dawson JF, Horton KE, West M. The impact of supportive leadership on employee outcomes during organizational mergers: an organizational-level field study. J Appl Psychol [Internet]. 2022;108:686–97. doi:https://doi.org/10.1037/apl0001042. [Google Scholar] [PubMed] [CrossRef]
14. Capone V, Joshanloo M, Sang-Ah Park M. Job satisfaction mediates the relationship between psychosocial and organization factors and mental well-being in schoolteachers. Int J Environ Res Public Health [Internet]. 2023;20(1):593. doi:https://doi.org/10.3390/ijerph20010593. [Google Scholar] [PubMed] [CrossRef]
15. Lu L, Ko YM, Chen HY, Chueh JW, Chen PY, Cooper CL. Patient safety and staff well-being: organizational culture as a resource. Int J Environ Res Public Health [Internet]. 2022;19(6):3722. doi:https://doi.org/10.3390/ijerph19063722. [Google Scholar] [PubMed] [CrossRef]
16. Zhou X, Krishnan A. What predicts exercise maintenance and well-being? Examining the influence of health-related psychographic factors and social media communication. Health Commun [Internet]. 2019;34(6):589–97. doi:https://doi.org/10.1080/10410236.2018.1428851. [Google Scholar] [PubMed] [CrossRef]
17. Cordier D, Gerber M, Brand S. Effects of two types of exercise training on psychological well-being, sleep, quality of life and physical fitness in patients with high-grade glioma (WHO III and IVstudy protocol for a randomized controlled trial. Cancer Communications [Internet]. 2019;39(1):1–10. doi:https://doi.org/10.1186/s40880-019-0390-8. [Google Scholar] [PubMed] [CrossRef]
18. Wu CH, Wang Y, Parker SK, Griffin MA. Effects of chronic job insecurity on big five personality change. J Appl Psychol [Internet]. 2020;105(11):1308–26. doi:https://doi.org/10.1037/apl0000488. [Google Scholar] [PubMed] [CrossRef]
19. Luchetti M, Terracciano A, Stephan Y, Sutin AR. Personality and cognitive decline in older adults: data from a longitudinal sample and meta-analysis. J Gerontol-B Psychol Sci [Internet]. 2016;71(4):591–601. doi:https://doi.org/10.1093/geronb/gbu184. [Google Scholar] [PubMed] [CrossRef]
20. Stephan Y, Sutin AR, Bovier-Lapierre G, Terracciano A. Personality and walking speed across adulthood: prospective evidence from five samples. Soc Psychol Personal Sci [Internet]. 2018;9(7):773–80. doi:https://doi.org/10.1177/1948550617725152. [Google Scholar] [CrossRef]
21. Lyubomirsky S, Layous K. How do simple positive activities increase well-being? Curr Dir Psychol Sci [Internet]. 2013;22(1):57–62. doi:https://doi.org/10.1177/0963721412469809. [Google Scholar] [CrossRef]
22. Kuper N, Kroencke L, Harari GM, Denissen JJA. Who benefits from which activity? On the relations between personality traits, leisure activities, and well-being. J Pers Soc Psychol [Internet]. 2023;125(1):141–72. doi:https://doi.org/10.1037/pspp0000438. [Google Scholar] [PubMed] [CrossRef]
23. Collado-Mateo D, Lavín-Pérez AM, Peñacoba C, Del Coso J, Leyton-Román M, Luque-Casado A, et al. Key factors associated with adherence to physical exercise in patients with chronic diseases and older adults: an umbrella review. Int J Environ Res [Internet]. 2021;18(4):2023. doi:https://doi.org/10.3390/ijerph18042023. [Google Scholar] [PubMed] [CrossRef]
24. Hobfoll SE. Conservation of resource caravans and engaged settings. J Occup Organ Psychol [Internet]. 2011;84:116–22. doi:https://doi.org/10.1111/j.2044-8325.2010.02016.x. [Google Scholar] [CrossRef]
25. Hobfoll SE, Halbesleben J, Neveu JP, Westman M. Conservation of resources in the organizational context: the reality of resources and their consequences. Annu Rev Organ Psychol Organ Behav [Internet]. 2018;5:103–28. doi:https://doi.org/10.1146/annurev-orgpsych-032117-104640. [Google Scholar] [CrossRef]
26. Loh R, Stamatakis E, Folkerts D, Allgrove JE, Moir HJ. Effects of interrupting prolonged sitting with physical activity breaks on blood glucose, insulin and triacylglycerol measures: a systematic review and meta-analysis. Sports Med [Internet]. 2020;50:295–330. doi:https://doi.org/10.1007/s40279-019-01183-w. [Google Scholar] [PubMed] [CrossRef]
27. Janssen KW, van Mechelen W, Verhagen EA. Bracing superior to neuromuscular training for the prevention of self-reported recurrent ankle sprains: a three-arm randomised controlled trial. Br J Sports Med [Internet]. 2014;48(16):1235–9. doi:https://doi.org/10.1136/bjsports-2013-092947. [Google Scholar] [PubMed] [CrossRef]
28. Saeed NB, Melhem MB, Al-Ababneh H. The impact of some types of physical activity on the level of releasing serotonin hormone (A comparative study). Educ Psychol Sci Ser [Internet]. 2023;2(1):119–34 (in Chinese). doi:https://doi.org/10.59759/educational.v2i1.121. [Google Scholar] [CrossRef]
29. Bennett AA, Gabriel AS, Calderwood C. Examining the interplay of micro-break durations and activities for employee recovery: a mixed-methods investigation. J Occup Health Psychol [Internet]. 2020;25(2):126–42. doi:https://doi.org/10.1037/ocp0000168. [Google Scholar] [PubMed] [CrossRef]
30. Grandey AA, Cropanzano R. The conservation of resources model applied to work-family conflict and strain. J Vocat Behav [Internet]. 1999;54(2):350–70. doi:https://doi.org/10.1006/jvbe.1998.1666. [Google Scholar] [CrossRef]
31. Milfont TL, Sibley C. The big five personality traits and environmental engagement: associations at the individual and societal level. J Environ Psychol [Internet]. 2012;32(2):187–95. doi:https://doi.org/10.1016/j.jenvp.2011.12.006. [Google Scholar] [CrossRef]
32. Amestoy ME, D’Amico D, Fiocco AJ. Neuroticism and stress in older adults: the buffering role of self-esteem. Int J Environ Res Public Health [Internet]. 2023;20(12):6102. doi:https://doi.org/10.3390/ijerph20126102. [Google Scholar] [PubMed] [CrossRef]
33. Sutin AR, Aschwanden D, Stephan Y, Terracciano A. The association between facets of conscientiousness and performance-based and informant-rated cognition, affect, and activities in older adults. J Pers [Internet]. 2022;90(2):121–32. doi:https://doi.org/10.1111/jopy.12657. [Google Scholar] [PubMed] [CrossRef]
34. Breevaart K, de Vries RE. Followers’ HEXACO personality traits and preference for charismatic, relationship-oriented, and task-oriented leadership. J Bus Psychol [Internet]. 2021;36:253–65. doi:https://doi.org/10.1007/s10869-019-09671-6. [Google Scholar] [CrossRef]
35. Si W, Yan Q, Wang W, Meng L, Zhang M. Research on the influence of non-cognitive ability and social support perception on college students’ entrepreneurial intention. Int J Environ Res Public Health [Internet]. 2022;19(19):11981. doi:https://doi.org/10.3390/ijerph191911981. [Google Scholar] [PubMed] [CrossRef]
36. Tehrani HD, Yamini S. Personality traits and conflict resolution styles: a meta-analysis. Pers Individ Differ [Internet]. 2020;157:109794. doi:https://doi.org/10.1016/j.paid.2019.109794. [Google Scholar] [CrossRef]
37. Kashdan TB, Disabato DJ, Goodman FR, McKnight PE. The five-dimensional curiosity scale revised (5DCRbriefer subscales while separating overt and covert social curiosity. Pers Individ Differ [Internet]. 2020;157:109836. doi:https://doi.org/10.1016/j.paid.2020.109836. [Google Scholar] [CrossRef]
38. Ju C, Gu Q, Fang Y, Bao F. Research on user influence model integrating personality traits under strong connection. Sustainability [Internet]. 2020;12(6):2217. doi:https://doi.org/10.3390/su12062217. [Google Scholar] [CrossRef]
39. Weng MQ. A study on physical exercise habits of middle school students in China (Ph.D. Thesis). 2015. Shaanxi Normal University: Shaanxi, China; 2015. [Google Scholar]
40. Schaufeli WB, Bakker AB, Salanova M. The measurement of work engagement with a short questionnaire: a cross-national study. Educ Psychol Meas [Internet]. 2006;66(4):701–16. doi:https://doi.org/10.1177/0013164405282471. [Google Scholar] [CrossRef]
41. Li CP, Shi K. The influence of distributed justice and procedural justice on job burnout. Acta Psychologica Sinica [Internet]. 2003;35:677–84. doi:https://doi.org/10.1177/0013164405282471. [Google Scholar] [CrossRef]
42. Zhang X, Wang MC, He L, Jie L, Deng J. The development and psychometric evaluation of the Chinese big five personality inventory-15. PLoS One [Internet]. 2019;14:e0221621. doi:https://doi.org/10.1371/journal.pone.0221621. [Google Scholar] [PubMed] [CrossRef]
43. Pai M, Kim J. Formal volunteering and mental health in South Korea: does age matter? Int J Ment Health Promot [Internet]. 2021;23(1):27–42. doi:https://doi.org/10.32604/IJMHP.2021.011996. [Google Scholar] [CrossRef]
44. Zeng X, Zhang X, Chen M, Liu J, Wu C. The influence of perceived organizational support on police job burnout: a moderated mediation model. Front Psychol [Internet]. 2020;11:948. doi:https://doi.org/10.3389/fpsyg.2020.00948. [Google Scholar] [PubMed] [CrossRef]
45. Zhang S. Impact of work engagement on organizational citizenship behaviors in China. J Bus Ethics [Internet]. 2014;120:165–74. doi:https://doi.org/10.1007/s10551-013-1654-x. [Google Scholar] [CrossRef]
46. Podsakoff PM, MacKenzie SB, Lee JY, Podsakoff NP. Common method biases in behavioral research: a critical review of the literature and recommended remedies. J Appl Psychol [Internet]. 2003;88(5):879–903. doi:https://doi.org/10.1037/0021-9010.88.5.879. [Google Scholar] [PubMed] [CrossRef]
47. Kraimer ML, Seibert SE, Wayne SJ, Liden RC, Bravo J. Antecedents and outcomes of organizational support for development: the critical role of career opportunities. J Appl Psychol [Internet]. 2011;96(3):485–500. doi:https://doi.org/10.1037/a0021452. [Google Scholar] [PubMed] [CrossRef]
48. Geen RG. Preferred stimulation levels in introverts and extroverts: effects on arousal and performance. J Pers Soc Psychol [Internet]. 1984;46(6):1303–12. doi:https://doi.org/10.1037/0022-3514.46.6.1303. [Google Scholar] [CrossRef]
49. Su Z, McDonnell D, Ahmad J, Cheshmehzangi A, Xiang YT. Mind the worry fatigue amid Omicron scares. Brain Behav Immun [Internet]. 2022;101:60–1. doi:https://doi.org/10.1016/j.bbi.2021.12.023. [Google Scholar] [PubMed] [CrossRef]
50. McKinsey Health Institution. Available from: https://www.mckinsey.com/mhi/our-insights/addressing-employee-burnout-are-you-solving-the-right-prob. (Accessed on 27 May 2022). [Google Scholar]
51. Slimani M, Bragazzi N, Hammami A, Znazen H, Yu Q, Kong ZW, et al. The acute effects of aerobic dance exercise with and without face mask use on attention, perceived exertion and mood states. Int J Ment Health Promot [Internet]. 2021;23(4):513–20. doi:https://doi.org/10.32604/IJMHP.2021.017639. [Google Scholar] [CrossRef]
52. Gil-Beltrán E, Meneghel I, Llorens S, Salanova M. Get vigorous with physical exercise and improve your well-being at work!. Int J Environ Res Public Health [Internet]. 2020;17(17):6384. doi:https://doi.org/10.3390/ijerph17176384. [Google Scholar] [PubMed] [CrossRef]
53. Haufe S, Kahl KG, Kerling A, Protte G, Bayerle P, Stenner HT, et al. Employers with metabolic syndrome and increased depression/anxiety severity profit most from structured exercise intervention for work ability and quality of life. Front Psychiatry [Internet]. 2020;11:562. doi:https://doi.org/10.3389/fpsyt.2020.00562. [Google Scholar] [PubMed] [CrossRef]
54. Jindo T, Kai Y, Kitano N, Tsunoda K, Nagamatsu T, Arao T. Relationship of workplace exercise with work engagement and psychological distress in employees: a cross-sectional study from the MYLS study. Prev Med Rep [Internet]. 2020;17:101030. doi:https://doi.org/10.1016/j.pmedr.2019.101030. [Google Scholar] [PubMed] [CrossRef]
55. Leiter MP, Maslach C. Burnout and engagement: contributions to a new vision. Burn Res [Internet]. 2017;5:55–7. doi:https://doi.org/10.1016/j.burn.2017.04.003. [Google Scholar] [CrossRef]
Cite This Article
Copyright © 2023 The Author(s). Published by Tech Science Press.This work is licensed under a Creative Commons Attribution 4.0 International License , which permits unrestricted use, distribution, and reproduction in any medium, provided the original work is properly cited.


Submit a Paper
Propose a Special lssue
View Full Text
Download PDF
Downloads
Citation Tools