Open Access
ARTICLE
Radiative Features of Darcy Forchheimer Flow of Entropy-Optimized Cross Flow Conveying Ternary Hybrid Nanofluid Past a Stretching Cylinder
1 Department of Mathematical Sciences, Federal Urdu University of Arts, Sciences & Technology, Gulshan-e-Iqbal, Karachi, Pakistan
2 Department of Mathematical Sciences, Sir Syed University of Engineering and Technology, Karachi, Pakistan
3 Department of Mathematics, Saveetha School of Engineering, Saveetha Institute of Medical and Technical Sciences, Saveetha University, Chennai, Tamil Nadu, India
4 Department of Mathematics, Faculty of Science, Sakarya University, Serdivan, Sakarya, Turkey
5 Department of Mathematics, University of Karachi, Karachi, Pakistan
6 Fakulti Teknologi dan Kejuruteraan Mekanikal, Universiti Teknikal Malaysia Melaka, Hang Tuah Jaya, Durian Tunggal, Melaka, Malaysia
* Corresponding Author: Najiyah Safwa Khashi’ie. Email:
(This article belongs to the Special Issue: Heat and Mass Transfer in Nanofluid Boundary Layers: Modeling, Simulation, and Applications)
Frontiers in Heat and Mass Transfer 2026, 24(1), 5 https://doi.org/10.32604/fhmt.2026.075018
Received 23 October 2025; Accepted 19 January 2026; Issue published 28 February 2026
Abstract
The purpose of the present investigation is to explore the implications of Cross fluid in a Darcy-Forchheimer porous medium due to the tri-hybrid nanofluid past a porous cylinder. Thermal radiation, heat generation, thermal convection, solutal convective and chemical reaction have been encountered in this analysis. Entropy generation has been accounted for under the fluidic friction, heat rate analysis, and porosity analysis. Three different nanoparticles of multiwall carbon nanotube (Keywords
Several researchers have studied the rate of heat transfer for boundary-layer fluid movement utilizing stretchable cylinders in recent years due to their applicability in engineering and production operations. As a result, Wang [1] demonstrated the surrounding flow of fluid in repose over the initial time using an elastic hollowed cylinder. Stretch cylinders are employed in a variety of uses, including cooling structures, crystal development, wire drawing, electronics device cooling, and paper and glass fiber manufacturing. Ashraf et al. [2] described the mechanism of magneto magneto-nanofluid of Jeffery flow induced by heat flux Cattaneo Christof upon a stretchable cylinder. Pan et al. [3] explored the mechanism of magneto-bioconvection flow for the Maxwell nanomaterial upon a cylinder using numerical computation. Sadighi et al. [4] discovered the effect of porosity flow on the convective heat through the cylinder via stability analysis. Sudarmozhi et al. [5] deliberated the magneto flow of viscoelastic fluid caused by a gyrating cylinder. Rafique et al. [6] discovered the velocity slip effect and Joule heating on tri-hybrid nanofluid due to stretching a cylinder via numerical simulation. Naveed Khan et al. [7] computed the porosity effect of a hyperbolic tangent nanomaterial past a cylinder with heated convective due to the stratified effect. Mariam et al. [8] explored the consequence of stagnation point flow for convective conditions of Cross hybrid nanoparticles containing aluminium alloy with water as base fluid past a cylinder.
Due to a rising interest in energy utilization and transmission, there has been a significant increase in research on a range of nanofluids during the past few decades. To obtain a large improvement in the transfer of heat rate, Choi and Eastman [9] established the concept of nanofluids, which are formed by adding nanoparticles into ordinary fluids. It has proved useful in a wide range of commercial and technological uses, involving combustion areas, microelectronics, engines for vehicles, and pharmaceutical manufacture. Hybrid nanofluids are more easily detected than individual nanoparticles. Hybrid nanomaterials are created by combining more than two nanoparticles and a liquid. Heating conductivities, temperatures, and molecular density concentrations, in addition to nanoparticle thicknesses and diameters, all contribute to the nanofluid hybrid’s thermal endurance. Ogunniyi et al. [10] explored the impact of convective flow on hybrid nanomaterials for the tangential hyperbolic fluid due to the nonlinear thermal radiation. Qin et al. [11] examined the effect of thermal and mass convection of hybrid nanofluid for the Blasius Stokes flow. Mukhtar and Gul [12] simulated the effect of radiative convective flow of a hybridized solar collector. Mebarek-Oudina et al. [13] elaborated on the second law study on the hybrid nanofluid past a porous surface and Lorentz force. Yahaya et al. [14] discussed the irreversibility study of thermal hybridized nanofluid on the static vertical heated convective cone. Ali Shah et al. [15] determined the analytical study of the radiative effect on the hybrid nanofluid with Lorentz force due to an accelerated exponential plate.
Ternary hybrid nanofluids are novel nanomaterials designed to enhance thermal efficiency. Nanofluids, which combine three nanomaterials with a standard liquid, offer superior thermal features as compared to regular liquids. Applications for these materials include contemporary technologies such as solar-powered gadgets for computers, cells for sunlight, sheet making, thermal transfer, thermal thermostatic gadgets, heat exchangers, and refrigeration. Amir et al. [16] elaborated the ramped thermal of tri-hybrid nanomaterial of convective heat flow subject to the Darcy Forchheimer flow using the fractional method. Ramasekhar et al. [17] explained the porosity effect of tri-hybrid nanofluid past a convective heated cylinder. Muhammad Zulfiqar Umer and Ahmad [18] elucidated the features of thermal radiation of tri-hybrid nanofluid due to a stretch surface, considering an artificial neural network. Ouyang et al. [19] illustrated the heated radiated of magnetized tri-hybrid nanofluid with viscous dissipation and convective flow condition through a moving method. Baithalu et al. [20] studied the variable thermal conductivity of tri-hybrid nanofluid of radiative friction force for Marangoni boundary condition. Ighris et al. [21] explicated the buoyancy effect on the irregular chamber for the tri-hybrid nanofluid for the mechanism of the heating process. Mohanty et al. [22] explicated the axisymmetric flow of irreversible analysis of the 3-D structure of tri-hybrid nanofluid using a statistical method. Hussain et al. [23] exhibited the impact of Lorentz force with slippage flow of tri-hybrid nanofluid through a past an exponential sheet. Sohail et al. [24] considered the axisymmetric flow of the buoyancy effect of viscoelastic tri-hybrid nanomaterial, considering the finite element method and porosity effect.
Thermic radiative fluxing is a phenomenon that happens when a surface heats up sufficiently to generate electromagnetic waves, mostly in the infrared region. The friction of the material’s atoms and molecules causes this emission. These emitted photons interact with other surfaces via digestion, transmission, or reflection as they carry energy away from them. In practice, thermal radiation is required for a variety of heat transfer applications, including solar energy consumption, thermal control of electronic devices, the development of thermal insulation materials, and heating and cooling systems. A detailed understanding of thermal radiation is required to maximize the efficacy and efficiency of many industrial and technological heat transfer technologies. Asghar et al. [25] conducted a 3-D axisymmetric magnetic flow of heat radiation on the hybrid nanomaterial using a numerical study. Shah et al. [26] illustrated the effect of heat radiation of nanomaterial within a non-Newtonian fluid past a wedge a shape using machine learning. Wahid et al. [27] delineated the buoyancy effect of a hybrid nanofluidic for the heated radiation via a heated convective condition and time-dependent flow. Abdal et al. [28] computed the radiative flow of Maxwell nanomaterial for the bioconvection of heated flux condition. Ahmad et al. [29] expressed the effect of the homogenous and heterogenous reaction on the hybridized nanofluid of the heated radiation via numeric simulation. Salahuddin et al. [30] narrated the stagnant flow of activated energy for the Darcy Forchheimer flow and heated radiation. Sharma et al. [31] traced the mechanism of nanomaterial of viscoelastic flow of heated radiation of irreversibility analysis in solar features. Rehman et al. [32] reported the mechanism of dual diffusive of Reiner-Philippoff of thermal radiation with Darcy Forchheimer flow.
When an impact is applied to the fluid, it causes an alteration in its physical form or framework, which is referred to as distortion. Newtonian and non-Newtonian fluids are elaborated on the relation between the shear rate exerted and deform. Examples include toothbrushes, vinegar colour, blood, and starches. Here are several mathematical models available to investigate the characteristics of non-Newtonian fluids, including the Prandtl, Reiner-Rivlin, Casson, Ree-Eyring, Sisko, and Oldroyd-B models, which do not account for fluid characteristics at different stress rates, among other limitations. Cross [33] exploited the Cross-fluid model to simulate fluid characteristics at different shear rates. Sahu et al. [34] explained the significance of the inertia coefficient of Cross hybridized nanoparticles with a stretching cylinder and mixed convective. Sajid et al. [35] reported the effect of heat generation on the Tiwary-Das model of the Cross-tetra nanoparticles subject to the artery stenosed blood flow and thermal radiation. Mandal and Pal [36] narrated the second law analysis on the Cross hybridized nanomaterial containing GO-Ag/KO past a stretchable sheet with Lorentz force. Jan et al. [37] computed the magnetised Cross tri-hybridised nanomaterial through a porous cylinder through a self-similar solution. Farooq et al. [38] traced the effect of the microorganism of Cross nanomaterial subject to the MHD flow past a stretchable cylinder via a numeric study. Darvesh et al. [39] expressed the impact of Hall ion significance of Cross comprising hybrid nanomaterial past a porous cone through numerical solution. Saleem et al. [40] outlined the mechanism of stratification for the microorganism, Cross radiative flow of nanomaterial.
The existing research highlights an important lack in comprehending the entropy generation for the thermal radiation and heated source/sink on the tri-hybrid nanomaterial via a porous cylinder. The article analyses the flow and heat exchanger properties of Cross tri-hybridised nanomaterial (MWCNT-Al2O3-Ag) upon a stretching cylinder with entropy minimization. Tri-hybridised comprises the comprising the multiwall carbon nanotube (MWCNT), aluminum oxide (Al2O3), and silver (Ag), along with base fluid ethylene glycol (EG). Heat and mass transports have been computed through thermal and solutal convective conditions. It takes into account the impacts of chemical reaction and thermal radiation to assess their potential for improving thermal and mass performance in industrial uses. Differential expression is considered via the appropriate transformation and the bvp4c technique, provided on the transmuted differential equation. The accuracy of the present technique is tested through contrasting findings with previously published data. The study examines and addresses how getting factors affect critical flow features like the distribution of temperatures, velocity distribution, Nusselt number, and coefficient of drag at the stretched cylinder. The accuracy of the present technique is tested through contrasting findings with previously published data. The study examines and addresses how getting factors affect critical flow features like the distribution of temperatures, velocity distribution, Nusselt number, and coefficient of drag at the stretched cylinder.
2 Physical Description of the Model Mathematical Formulation
This study examines the radiative flow of Cross fluid with trihybrid nanomaterial (

Figure 1: Geometry of the cross darcy forchheimer model of tri-hybrid nanoparticles.
The mathematical models on Cross tri-hybrid for the constitutive equation are (see refs. [35,36]).
Furthermore, the cross-THNF’s thermo-physical properties are distinguished as follows [41]:
The following is how the boundary constraints are used [26]:
here,
2.1 Thermophysical Properties of the Ternary Hybrid Nanofluids
The tri-hybrid nanofluid employed in this mathematical study is made up of aluminum oxide (


Using the following appropriate transformation,
Using the transformation of Eqs. (2)–(4) and (7),
The transformation BCs are articulated:
The physical features of tri-hybrid nanofluid is given below
Non-dimensionless governing variables are porosity variable
Drag force, Nusselt and Sherwood number are illustrated as
The physical quantities of
The subsequent formula, which captures the complex interaction of the laws of thermodynamics as well as fluid behavior, expresses a volumetric rate at which entropy accumulates inside the setting of the cross trihybrid nanofluid, especially when taking into account the significant effects induced by the presence of the rate of heat, fluid expression, and porosity [42].
The characteristics of entropy formation is found as
Bejan number is explained as
Through choosing a suitable conversion and adding pertinent boundary conditions, a set of parametric differential equations is transformed into ODEs, which, using the BVP method called BVP4c, the resulting Eqs. (8)–(10) and the BCs (11) are carried out numerically. The above equations are reformed using freshly established variables into first-order formulations for this study. The flow chart is displayed in Fig. 2.
subject to the BC’s

Figure 2: Flow chart of bvp4c.
Finding the missing
The present part examines the impact of entropy minimization aspects in Cross tri-hybrid nanofluids on the velocity, temperature, and concentration fields. Entropy minimization has been displayed in Figs. 3–8. Furthermore, we existing the variation in drag force, heat/mass transfer via tabular estimation and graphical explanation. This section examines how parameters such as inertia coefficient (

Figure 3: (a):

Figure 4: (a):

Figure 5: (a):

Figure 6: (a):

Figure 7: (a):

Figure 8: (a):
The consequences of the velocity distribution
Fig. 4a,b exhibits the significance of porosity variable (
Fig. 5a,b establishes the mechanism of thermal Biot number (
Fig. 7a,b displays the significance of solutal Biot number (
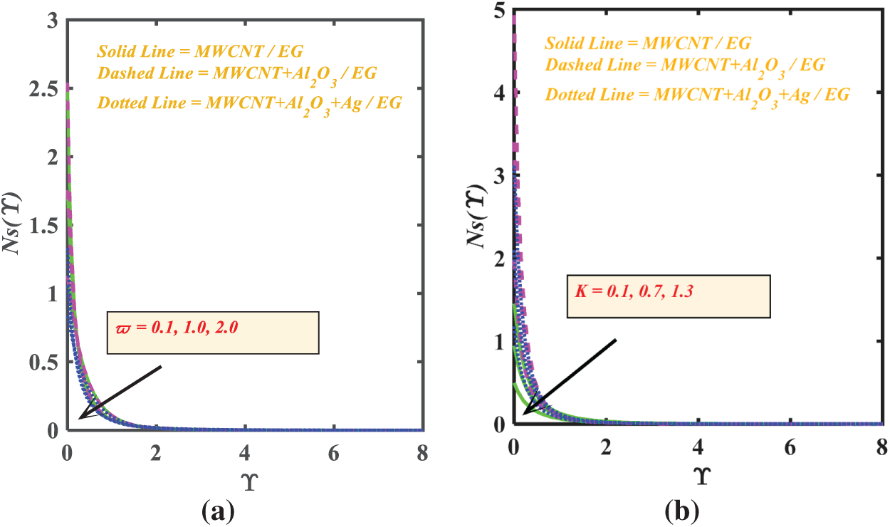
The entropy generation

Figure 9: (a):

Figure 10: (a):
The effect of the Weissenberg variable (

Figure 11: (a):

Figure 12: (a):
Fig. 13a–c shows the contour for the tri-hybrid nanofluid, hybrid, and nanofluid. Fig. 14a–c reveals the drag force

Figure 13: (a): Tri-hybrid nanofluid (

Figure 14: (a):

Figure 15: (a): Grid analysis for the






This research examines the Darcy-Forchheimer flow Cross Tri-hybrid nanoparticles upon a stretchable cylinder, taking into account the second law analysis. Thermal radiation, heat source/sink, and chemical reaction have been assumed. Thermal and solutal convective conditions have been used to compute the heat and mass. Multiwall carbon nanotube (
• The greater the curvature parameter leads the enhanced the velocity field for the
• The velocity field is reduced due to the increasing inertia coefficient, porous variable, and Weissenberg number for the
• The
• The
• The chemical reaction (
• The porosity effect reduces the entropy production and Bejan number for the scenario of
The main limitation of the temperature-independent thermophysical properties; this limits accuracy at very large temperature differences.
Acknowledgement: The authors acknowledge Universiti Teknikal Malaysia Melaka for the research support through grants ANTARABANGSA(IRMG)-TEL-U/2025/FTKM/A00086.
Funding Statement: This research was funded by Universiti Teknikal Malaysia Melaka.
Author Contributions: The authors confirm contribution to the paper as follows: study conception and mathematical formulation: M. Faizan, Syed Sohaib Zafar, Farhan Ali, Umair Khan; data collection: M. Faizan, Syed Sohaib Zafar, Farhan Ali, Umair Khan, Aurang Zaib; analysis and interpretation of results: Farhan Ali, Umair Khan, Aurang Zaib, Najiyah Safwa Khashi’ie; draft manuscript preparation: M. Faizan, Syed Sohaib Zafar, Farhan Ali, Umair Khan, Aurang Zaib, Najiyah Safwa Khashi’ie. All authors reviewed and approved the final version of the manuscript.
Availability of Data and Materials: All data are available within the manuscript.
Ethics Approval: Not applicable.
Conflicts of Interest: The authors declare no conflicts of interest.
Nomenclature
| Biot number (-) | |
| Mass biot number (-) | |
| Bejan rate (-) | |
| Brikman number (-) | |
| Concentration ( | |
| Convective surface | |
| Ambient concentration | |
| Is the heat capacity ( | |
| Chemical reaction rate | |
| Inertia coefficient | |
| K | Porosity parameter (-) |
| Heat source/sink (-) | |
| Radiation term (-) | |
| Skin friction (-) | |
| Nusselt number (-) | |
| Sherwood number (-) | |
| Schmidth number (-) | |
| Fluid temperature (K) | |
| Convective fluid temperature (-) | |
| Surface and ambient temperature (-) | |
| We | Weissenberg number (-) |
| Greek Symbol | |
| Material constant time (-) | |
| Curvature variable (-) | |
| Temperature ratio parameter | |
| Dynamic viscosity of tri-hybrid nanofluid ( | |
| Mean absorption ( | |
| Stefan-Boltzmann ( | |
| Heat Conductivity | |
| Density of tri-hybrid nanofluid ( | |
| Kinematic viscosity ( | |
References
1. Wang CY. Fluid flow due to a stretching cylinder. Phys Fluids. 1988;31(3):466–8. doi:10.1063/1.866827. [Google Scholar] [CrossRef]
2. Ashraf MB, Rafiullah, Tanveer A, Ulhaq S. Effects of Cattaneo-Christov heat flux on MHD Jeffery nano fluid flow past a stretching cylinder. J Magn Magn Mater. 2023;565:170154. doi:10.1016/j.jmmm.2022.170154. [Google Scholar] [CrossRef]
3. Pan H, Yousaf A, Imran M, Tahir M, Farooq U. Numerical simulation of Maxwell nanofluid with MHD and bio-convective flow passing through a stretching cylinder. Int J Thermofluids. 2023;20:100423. doi:10.1016/j.ijft.2023.100423. [Google Scholar] [CrossRef]
4. Sadighi S, Afshar H, Ashtiani HAD, Jabbari M. MHD flow and conductive heat transfer on a permeable stretching cylinder: benchmark solutions. Case Stud Therm Eng. 2023;44:102886. doi:10.1016/j.csite.2023.102886. [Google Scholar] [CrossRef]
5. Sudarmozhi K, Iranian D, Khan I. Heat and mass transport of MHD viscoelastic fluid flow towards a permeable stretching cylinder. Int Commun Heat Mass Transf. 2023;145:106864. doi:10.1016/j.icheatmasstransfer.2023.106864. [Google Scholar] [CrossRef]
6. Rafique K, Mahmood Z, Usman A, Farooq U, Emam W. Numerical study of MHD flow over stretching cylinder with variable Prandtl number and viscous dissipation in ternary hybrid nanofluids with velocity and thermal slip conditions. Mod Phys Lett B. 2025;39(11):2450465. doi:10.1142/s0217984924504657. [Google Scholar] [CrossRef]
7. Naveed Khan M, Alhowaity A, Wang Z, Gepreel KA, Hussien M. Numerical analysis of the heat transfer application on a convective tangent hyperbolic nanofluid flow over a porous stretching cylinder with stratification effects. Numer Heat Transf Part A Appl. 2025;86(21):7705–21. doi:10.1080/10407782.2024.2353881. [Google Scholar] [CrossRef]
8. Mariam A, Salamat N, Abdal S, Hussain S, Siddique I, Yaseen ZM, et al. Enhancing thermal transport in industrial applications: a study on AA7072–AA7075 hybrid nanofluid over a stretching cylinder with MHD and heat source/sink effects. Proc Inst Mech Eng Part N J Nanomater Nanoeng Nanosyst. 2025;19:1492. doi:10.1177/23977914251356729. [Google Scholar] [CrossRef]
9. Choi SUS, Eastman JA. Enhancing thermal conductivity of fluids with nanoparticles. Lemont, IL, USA: Argonne National Lab (ANL); 1995. [Google Scholar]
10. Ogunniyi PO, Gbadeyan AJ, Agarana MC, Yusuf TA. Nonlinear thermal radiation on MHD tangential hyperbolic hybrid nanofluid over a stretching wedge with convective boundary condition. Heat Transf. 2022;51(6):5417–40. doi:10.1002/htj.22553. [Google Scholar] [CrossRef]
11. Qin L, Ahmad S, Khan MN, Ahammad NA, Gamaoun F, Galal AM. Thermal and solutal transport analysis of Blasius-Rayleigh-Stokes flow of hybrid nanofluid with convective boundary conditions. Waves Random Complex Medium. 2025;35(3):5615–33. doi:10.1080/17455030.2022.2072018. [Google Scholar] [CrossRef]
12. Mukhtar S, Gul T. Solar radiation and thermal convection of hybrid nanofluids for the optimization of solar collector. Mathematics. 2023;11(5):1175. doi:10.3390/math11051175. [Google Scholar] [CrossRef]
13. Mebarek-Oudina F, Chabani I, Vaidya H, Ismail AAI. Hybrid-nanofluid magneto-convective flow and porous media contribution to entropy generation. Int J Numer Meth Heat Fluid Flow. 2024;34(2):809–36. doi:10.1108/hff-06-2023-0326. [Google Scholar] [CrossRef]
14. Yahaya RI, Mustafa MS, Arifin NM, Pop I, Wahid NS, Ali FM, et al. Mixed convection hybrid nanofluid flow over a stationary permeable vertical cone with thermal radiation and convective boundary condition. Z Angew Math Mech. 2024;104(4):e202300428. doi:10.1002/zamm.202300428. [Google Scholar] [CrossRef]
15. Ali Shah N, Ali F, Yook SJ, Faizan M, Zafar SS, Sidi MO. Dynamics of chemical reactive on magneto Hybrid Nanomaterial with heat radiation due to porous exponential plate: laplace transform technique for the heat and mass. J Radiat Res Appl Sci. 2025;18(1):101295. doi:10.1016/j.jrras.2025.101295. [Google Scholar] [CrossRef]
16. Amir M, Ali Q, Raza A, Almusawa MY, Hamali W, Ali AH. Computational results of convective heat transfer for fractionalized Brinkman type tri-hybrid nanofluid with ramped temperature and non-local kernel. Ain Shams Eng J. 2024;15(3):102576. doi:10.1016/j.asej.2023.102576. [Google Scholar] [CrossRef]
17. Ramasekhar G, Divya A, Jakeer S, Reddy SRR, Algehyne EA, Jawad M, et al. Heat transfer innovation of engine oil conveying SWCNTs-MWCNTs-TiO2 nanoparticles embedded in a porous stretching cylinder. Sci Rep. 2024;14:16448. doi:10.1038/s41598-024-65740-8. [Google Scholar] [PubMed] [CrossRef]
18. Muhammad Zulfiqar Umer C, Ahmad I. Intelligent computing applications to study the tri-hybrid nanofluid past over the stretched surface. Results Phys. 2024;65:107972. doi:10.1016/j.rinp.2024.107972. [Google Scholar] [CrossRef]
19. Ouyang Y, Md Basir MF, Naganthran K, Pop I. Unsteady magnetohydrodynamic tri-hybrid nanofluid flow past a moving wedge with viscous dissipation and Joule heating. Phys Fluids. 2024;36(6):062009. doi:10.1063/5.0208608. [Google Scholar] [CrossRef]
20. Baithalu R, Mishra SR, Panda S. Marangoni convection with variable thermal conductivity and impact of inertial drag on radiative tri-hybrid nanofluid flow over a Riga plate with non-uniform heat emission/release. J Therm Anal Calorim. 2024;149(24):15291–304. doi:10.1007/s10973-024-13766-5. [Google Scholar] [CrossRef]
21. Ighris Y, Qaffou M, Baliti J, Elguennouni Y, Hssikou M. Thermal management optimization of natural convection in a triangular chamber: role of heating positions and ternary hybrid nanofluid. Phys Fluids. 2024;36(9):092002. doi:10.1063/5.0226427. [Google Scholar] [CrossRef]
22. Mohanty D, Mahanta G, Shaw S, Katta R. Entropy and thermal performance on shape-based 3D tri-hybrid nanofluid flow due to a rotating disk with statistical analysis. J Therm Anal Calorim. 2024;149(21):12285–306. doi:10.1007/s10973-024-13592-9. [Google Scholar] [CrossRef]
23. Hussain SM, Mishra MK, Alraddadi I, Al-Luhaybi IAM. Thermal analysis of trihybrid (Co+ZrO2+Au/H2O) nanofluid flow through the exponentially deformable surface with Lorentz force and Navier’s slippage constraint. Int J Numer Meth Heat Fluid Flow. 2025;35(5):1680–712. doi:10.1108/hff-03-2025-0140. [Google Scholar] [CrossRef]
24. Sohail M, Nazir U, Singh A, Alhushaybari A, Alharthi AM. Morphological applications of triadic hybridized nanoparticles in complex fluid with variable thermal radiations and bouncy force employing the Galerkin finite element method. Numer Heat Transf Part B Fundam. 2025;86(5):1356–73. doi:10.1080/10407790.2024.2312952. [Google Scholar] [CrossRef]
25. Asghar A, Ali Lund L, Shah Z, Vrinceanu N, Deebani W, Shutaywi M. Effect of thermal radiation on three-dimensional magnetized rotating flow of a hybrid nanofluid. Nanomaterials. 2022;12(9):1566. doi:10.3390/nano12091566. [Google Scholar] [PubMed] [CrossRef]
26. Shah SZH, Ayub A, Bhatti S, Khan U, Ishak A, Sherif EM, et al. Aspects of inclined magnetohydrodynamics and heat transfer in a non-Newtonian tri-hybrid bio-nanofluid flow past a wedge-shaped artery utilizing artificial neural network scheme. Z Angew Math Mech. 2024;104(12):e202400278. doi:10.1002/zamm.202400278. [Google Scholar] [CrossRef]
27. Wahid NS, Arifin NM, Khashi’ie NS, Pop I, Bachok N, Hafidzuddin MEH. Unsteady MHD mixed convection flow of a hybrid nanofluid with thermal radiation and convective boundary condition. Chin J Phys. 2022;77:378–92. doi:10.1016/j.cjph.2022.03.013. [Google Scholar] [CrossRef]
28. Abdal S, Siddique I, Afzal S, Chu YM, Ahmadian A, Salahshour S. On development of heat transportation through bioconvection of Maxwell nanofluid flow due to an extendable sheet with radiative heat flux and prescribed surface temperature and prescribed heat flux conditions. Math Meth Appl Sci. 2023;46(10):11355–72. doi:10.1002/mma.7722. [Google Scholar] [CrossRef]
29. Ahmad B, Abbas T, Fatima K, Duraihem FZ, Saleem S. Nonlinear flow of hybrid nanofluid with thermal radiation: a numerical investigation. Z Angew Math Mech. 2024;104:e202200170. doi:10.1002/zamm.202200170. [Google Scholar] [CrossRef]
30. Salahuddin T, Fatima G, Awais M, Khan M. Investigating the stagnation point and Darcy-Forchheimer flow of heat and mass transport with thermal radiation and activation energy. Results Eng. 2023;20:101534. doi:10.1016/j.rineng.2023.101534. [Google Scholar] [CrossRef]
31. Sharma BK, Kumar A, Gandhi R, Bhatti MM, Mishra NK. Entropy generation and thermal radiation analysis of EMHD Jeffrey nanofluid flow: applications in solar energy. Nanomaterials. 2023;13(3):544. doi:10.3390/nano13030544. [Google Scholar] [PubMed] [CrossRef]
32. Rehman MIU, Chen H, Hamid A, Guedri K. Analysis of Cattaneo-Christov heat flux and thermal radiation on Darcy-Forchheimer flow of Reiner-Philippoff fluid. Int J Mod Phys B. 2024;38(3):2450046. doi:10.1142/s0217979224500462. [Google Scholar] [CrossRef]
33. Cross MM. Rheology of non-Newtonian fluids: a new flow equation for pseudoplastic systems. J Colloid Sci. 1965;20(5):417–37. doi:10.1016/0095-8522(65)90022-X. [Google Scholar] [CrossRef]
34. Sahu SK, Shaw S, Thatoi DN, Nayak MK. A thermal management of Darcy-Forchheimer SWCNT-MWCNT Cross hybrid nanofluid flow due to vertical stretched cylinder with and without inertia effects. Waves Random Complex Medium. 2025;35(4):7501–27. doi:10.1080/17455030.2022.2088889. [Google Scholar] [CrossRef]
35. Sajid T, Jamshed W, Eid MR, Cieza Altamirano G, Aslam F, Mahal Alanzi A, et al. Magnetized cross tetra hybrid nanofluid passed a stenosed artery with nonuniform heat source (sink) and thermal radiation: novel tetra hybrid Tiwari and Das nanofluid model. J Magn Magn Mater. 2023;569:170443. doi:10.1016/j.jmmm.2023.170443. [Google Scholar] [CrossRef]
36. Mandal G, Pal D. Estimation of entropy generation and heat transfer of magnetohydrodynamic quadratic radiative Darcy-Forchheimer cross hybrid nanofluid (GO + Ag/kerosene oil) over a stretching sheet. Numer Heat Transf Part A Appl. 2023;84(8):853–76. doi:10.1080/10407782.2022.2163944. [Google Scholar] [CrossRef]
37. Jan A, Mushtaq M, Hussain M. Heat transfer enhancement of forced convection magnetized cross model ternary hybrid nanofluid flow over a stretching cylinder: non-similar analysis. Int J Heat Fluid Flow. 2024;106:109302. doi:10.1016/j.ijheatfluidflow.2024.109302. [Google Scholar] [CrossRef]
38. Farooq U, Liu T, Jan A, Farooq U, Majeed S. Numerical investigation of magnetized bioconvection and heat transfer in a cross-ternary hybrid nanofluid over a stretching cylinder. Multidiscip Model Mater Struct. 2024;20(6):913–36. doi:10.1108/mmms-03-2024-0079. [Google Scholar] [CrossRef]
39. Darvesh A, Collantes Santisteban LJ, Riaz MB, Sánchez-Chero M, Akgül A, Garalleh AL, et al. Inclusion of Hall and Ion slip consequences on inclined magnetized cross hybrid nanofluid over a heated porous cone: spectral relaxation scheme. Results Eng. 2024;22:102206. doi:10.1016/j.rineng.2024.102206. [Google Scholar] [CrossRef]
40. Saleem M, Khouqeer GA, Haq F, Sallah M. Entropy modeling in bioconvective stratified magnetohydrodynamic cross hybrid nanofluid flow with thermal radiation. J Radiat Res Appl Sci. 2025;18(2):101415. doi:10.1016/j.jrras.2025.101415. [Google Scholar] [CrossRef]
41. Hemmat Esfe M. The investigation of effects of temperature and nanoparticles volume fraction on the viscosity of copper oxide-ethylene glycol nanofluids. Period Polytech Chem Eng. 2017;62(1):43–50. doi:10.3311/ppch.9741. [Google Scholar] [CrossRef]
42. Hussain Z, Aljuaydi F, Ayaz M, Islam S. Enhancing thermal efficiency in MHD kerosene oil-based ternary hybrid nanofluid flow over a stretching sheet with convective boundary conditions. Results Eng. 2024;22:102151. doi:10.1016/j.rineng.2024.102151. [Google Scholar] [CrossRef]
43. Rangi RR, Ahmad N. Boundary layer flow past a stretching cylinder and heat transfer with variable thermal conductivity. Appl Math. 2012;3(3):205–9. doi:10.4236/am.2012.33032. [Google Scholar] [CrossRef]
Cite This Article
Copyright © 2026 The Author(s). Published by Tech Science Press.This work is licensed under a Creative Commons Attribution 4.0 International License , which permits unrestricted use, distribution, and reproduction in any medium, provided the original work is properly cited.


Submit a Paper
Propose a Special lssue
View Full Text
Download PDF
Downloads
Citation Tools