Open Access
ARTICLE
Effects of Wax-Based Surfactant on the Quantification of Chemical Properties, Rheological, and Activation Energy of Cup Lump Rubber Modified Asphalt Binder
1 Sustainable Asphalt Research Group (SARG), School of Civil Engineering, Tuanku Syed Sirajuddin Engineering Campus, Universiti Sains Malaysia, Nibong Tebal, Pulau Pinang, Malaysia
2 Center of Excellence in Engineering and Technology (CREaTE), Public Works Department Malaysia, Alor Gajah, Melaka, Malaysia
3 School of Materials and Mineral Resources Engineering, Tuanku Syed Sirajuddin Engineering Campus, Universiti Sains Malaysia, Nibong Tebal, Pulau Pinang, Malaysia
4 Faculty of Civil Engineering and Technology, Kompleks Pusat Pengajian Jejawi 3, Universiti Malaysia Perlis, Arau, Perlis, Malaysia
5 College of Metropolitan Transportation, Beijing University of Technology, Beijing, China
* Corresponding Authors: Mohd Rosli Mohd Hasan. Email: ; Hui Yao. Email:
Journal of Polymer Materials 2026, 43(1), 20 https://doi.org/10.32604/jpm.2026.072622
Received 31 August 2025; Accepted 13 March 2026; Issue published 03 April 2026
Abstract
The rapid increase in traffic loads and frequencies has rendered conventional asphalt pavement inadequate to maintain its durability under tropical climates. This challenge has necessitated the exploration of new sources of modified asphalt with enhanced stiffness and superior performance at high temperatures. Natural rubber (NR) is a renewable biopolymer that has received growing interest as a modifier for asphalt binders. Cup lump rubber (CLR), a type of NR, is used to enhance asphalt properties and improve the performance of road pavements. This study evaluates the influence of wax-based surfactants (WS) on CLR-modified asphalt binder (CMB). The assessment focuses on changes in chemical characteristics, rheological behaviour, activation energy, and morphology. Four concentrations of WS (0.1%, 0.15%, 0.2%, and 0.25%) were incorporated into CMB. Analysis of CMB chemical changes showed that viscosity increased due to higher sulfoxide, carbonyl, and aromatic bond indices. These chemical modifications contributed to improved resistance of the binder to heat-induced deterioration. In both unaged and aged CMB samples, the incorporation of WS reduced the sulfoxide index of the binder. Rheological analysis indicated that CMB improved rutting resistance and anti-ageing performance, while WS further enhanced fatigue resistance. Activation energy analysis suggested that the combination of CMB with 0.15% WS produced the most favourable enhancement. Micrograph results showed that WS improved binder homogeneity and interconnectivity. In conclusion, the findings indicated that incorporating 0.15% WS into CMB enhanced the performance and durability of the asphalt pavement.Keywords
Asphalt mixtures are recognised as the most common road surfacing material and are essential for road construction and maintenance. An increase in traffic volume, repeated traffic loading, and harsh climatic conditions contribute to the reduction of pavement service life [1]. Consequently, extensive research is conducted to enhance road performance using modified asphalt mixtures [2,3]. Polymer-modified asphalt has attracted significant attention from researchers and asphalt technologists due to its potential to enhance the durability of pavement [4–6]. Biopolymers derived from natural, renewable sources are increasingly being explored as alternatives to oil-based polymers. Biopolymers such as natural rubber (NR) demonstrate significant potential for asphalt modification, particularly in improving its viscoelastic properties. The growing interest in biopolymers as asphalt modifiers is primarily attributed to their potential to reduce life-cycle costs and minimise the depletion of non-renewable resources [7]. The application of biopolymers in road construction reduces maintenance costs and lowers carbon emissions, thereby contributing to climate change mitigation [8].
Sustainable asphalt development in Malaysia has gained increasing attention as the country strives to reduce carbon emissions and promote environmentally friendly infrastructure. The integration of NR into asphalt aligns with sustainability goals by reducing dependence on petroleum-based materials and utilising renewable agricultural resources [9]. Malaysia is one of the world’s leading producers of natural rubber, particularly in the Southeast Asian region. Nevertheless, rubber production in the country has steadily declined over recent decades. To strengthen the industry, the Ministry of Works (MoW) Malaysia initiated the implementation of natural rubber modified asphalt (NRMA) in road construction and maintenance projects. This initiative not only enhances the performance and durability of roads but also increases the demand for natural rubber by 90,000 metric tons per year, thereby promoting socioeconomic sustainability [10]. To further enhance environmental sustainability, the MoW in Malaysia also uses synthetic rubber-modified asphalt. This material is produced from crumb rubber processed from heavy-duty truck and aircraft tires. However, the rubber must first be processed or imported to produce the crumb rubber [11].
The NR is a high viscosity milky liquid extracted from Hevea brasiliensis plants. Enhancement of asphalt binder stiffness and elasticity can be achieved through the addition of natural rubber latex (NRL), which is a renewable elastomer characterised by weakly cross-linked polymer networks [12]. Asphalt binders modified with natural rubber latex (NRL) exhibit enhanced resistance to rutting and fatigue cracking [13]. This improvement is attributed to the polyisoprene molecular network, which tends to orient into a more linear configuration when subjected to loading and subsequently recovers to its original coiled structure once the load is released. Additionally, NRL regulates the flow characteristics of the bituminous mixture at higher temperatures by acting as a membrane, thereby enhancing shear strength [14]. NRL-modified asphalts are also known to exhibit enhanced rutting resistance at high temperatures [12,15–17]. Most studies on modified NR asphalt focus on evaluating NRL. However, the high-water content of NRL tends to cause foaming and frothing of the asphalt binder during mixing, which may reduce its effectiveness [18,19]. To address this issue, several researchers have initiated studies to investigate the use of cup lump rubber (CLR), a type of natural rubber that is assessed as a potential alternative modifier for asphalt binders [8].
The CLR is a freshly coagulated rubber collected in cups attached to trees, and it contains less water than NRL. Researchers show interest in CLR-modified asphalt binder (CMB) due to its comparable chemical characteristics to NRL. The ideal dosages of CLR, as determined by several studies, are found to be in the range of 5%–7% [18]. Many studies also report that CLR content exceeding 10% results in a considerable rise in absorption band intensity [14]. The findings indicated that CLR improved the physical, rheological, and mechanical characteristics of the asphalt binder. Furthermore, CMB demonstrates superior rutting resistance at high temperatures. CLR is also regarded as a viable long-term option to enhance domestic rubber consumption by serving as a modifier in asphalt binders. CLR is a porous material with a high carbon content, which can significantly influence the composition and viscosity of bitumen when incorporated into binders such as CMB [20]. This modification, in turn, substantially affects the physico-mechanical properties of the resulting pavement [21]. The incorporation of suitable additives is identified as a promising strategy for addressing potential challenges and optimising CMB performance.
Previous research implies that incorporating surfactants alongside natural rubber additives is effective to endure stresses and strains for boosting the performance of polymer-modified asphalts [22,23]. According to Huang et al. [24], the improvement in resistance to permanent deformation is related to the development of a microcrystalline network within the wax-based surfactant (WS) when the temperature remains below its melting point. Once the temperature rises above this point, the WS melts and behaves as a flowing phase within the asphalt binder, which lowers intermolecular friction and results in reduced viscosity [25,26]. The WS is formulated to absorb the lighter components of asphalt and crystallise into uniformly dispersed particles [27,28]. Furthermore, WS is reported to improve the miscibility, homogeneity, and stability of asphalt binders with natural rubber latex [22,29]. The resulting microcrystalline structure forms a network of interlocking crystals that effectively impedes deformation under stress. According to Poovaneshvaran et al. [30], WS facilitates the ability of NRMA to wet and coat aggregate particles, thereby enhancing the workability and compatibility of the material.
Moisture damage in asphalt pavements arises when the presence of water weakens the bond between the asphalt binder and the aggregate surface, causing stripping and potentially resulting in early pavement deterioration. Stripping in the asphalt pavement results from this separation, and its progression leads to premature failure [31,32]. This phenomenon involves the breakdown of the bond between aggregate particles and the asphalt binder or the degradation of the asphalt binder’s structure. The bond between asphalt aggregate components weakens when water interacts with the interface. This interaction causes the binder to separate from the aggregate surface, resulting in a breakdown of the asphalt mortar’s cohesiveness [33]. One such WS is tough fix hyper (TFH), which is produced in Japan. TFH is developed by modifying the interfacial tension between the asphalt and rubber particles. This modification inhibits the formation of a brittle matrix over time and improves overall durability [32]. As a result, asphalt mixtures incorporating TFH exhibit enhanced resistance to thermal and fatigue cracking, particularly under varying environmental conditions and traffic loads [34,35]. Studies find that TFH decreases the sensitivity of asphalt mixtures to creep deformation while simultaneously increasing their resistance to stripping [30].
This study examines the effect of incorporating WS into CMB under different temperatures and loading conditions. The primary objective of this study is to assess the rheological properties and activation energy of CMB with and without WS. In addition, this study analyses the effects of WS on CMB with respect to its alterations in chemical composition and morphology. This analysis also considers the modified binder’s ability to withstand oxidative ageing and, ultimately, its influence on the pavement’s long-term performance. Collectively, this study aims to optimise pavement longevity, especially in Malaysia’s tropical climate, where heavy rainfall can rapidly compromise poorly performing surfaces.
In this study, a 60/70 penetration grade asphalt binder served as the conventional base binder. The CMB contained 5% CLR was sourced from a local manufacturer, with its characteristics listed in Table 1. WS was incorporated as a modifier at four different contents, specifically 0.1%, 0.15%, 0.2%, and 0.25%. Meanwhile, Table 2 summarises the physical and chemical characteristics of WS.


Establishing the optimal mixing temperature was critical for achieving uniform dispersion and ensuring physicochemical compatibility between the modifier and the asphalt binder. Following the obtained values, the CMB was heated at 170°C and blended with WS (to the weight of bitumen) at four dosage levels of 0.1%, 0.15%, 0.2%, and 0.25%. Using a propeller mixer, the blending process was carried out for 30 min at a rotational speed of 1000 rpm. To simulate short-term ageing (STA), all binders were conditioned using the rolling thin film oven test (RTFOT). The test was conducted at a temperature of 163°C for 85 min, in accordance with ASTM D2872 [36]. The RTFOT-aged binders were further conditioned in a pressurised ageing vessel (PAV) at a temperature of 100°C for 20 h to replicate long-term ageing (LTA). The chemical, rheological, and morphological properties of the asphalt binders were subsequently determined at 100°C for 20 h to replicate long-term ageing (LTA) based on ASTM D6521 [37].
2.3 Functional Groups Analysis Using Fourier Transform Infrared Spectroscopy (FTIR)
Fourier transform infrared spectroscopy (FTIR) was used to evaluate the influence of ageing on the chemical group of the asphalt binder. Approximately 1.5 g of asphalt binder was applied onto the base plate using a spatula and subsequently compressed, with the crystal positioned between the spindle and the base platform. Thirty-two scans were performed on the sample at a spectral resolution of 4 cm−1. The bond index was determined as the proportion of the peak area of the targeted functional group relative to the total peak area between 3000 and 700 cm−1. The peak height of functional groups, measured using wavenumber, was interpreted as an indicator of ageing and other related phenomena. The results obtained showed aliphatic compounds (O-H) at 2852 cm−1. Aromatic (C=C) indices were calculated using the peak area technique, with peaks centred at 1600 cm−1. The carbonyl (C=O) band area was calculated based on the peak area observed around 1650 cm−1. Additionally, the alkane (C-H) index was calculated using two peaks: (CH3) at 1375 cm−1 and (CH2) at 1454 cm−1. The sulfoxide (S=O) band area was calculated using the peak area at 1030 cm−1. Similarly, the alkene (C-H) band area was calculated through peak areas (C=C) at 862 cm−1 [38,39].
A HAAKE Rheo Stress 6000 Dynamic Shear Rheometer (DSR) was utilised to assess the rheological behaviour of the control and modified asphalt binders. The temperature sweep test was conducted on both unaged and STA asphalt binders. The test was conducted over a temperature range of 46°C to 82°C with increments of 6°C. A parallel plate configuration of 25 mm diameter plate with 1 mm testing gap was employed for the evaluation of both unaged and STA samples. The LTA asphalt binders were evaluated over a temperature range of 16°C to 31°C. Parallel plates with a diameter of 8 mm and a gap thickness of 2 mm were used for the testing. An oscillation frequency of 1.59 Hz was used, with the binder subjected to a 5% strain at an angular velocity of 10 rad/s, following ASTM D7175 [40]. The MSCR test evaluated the binder’s elasticity and resistance to permanent deformation. Tests were carried out at 64°C, applying stress levels of 100 and 3200 Pa in compliance with ASTM D7405 [41]. For every sample, 10 creep–recovery cycles were conducted, each consisting of a 1-s stress phase and a 10-s recovery phase. Eqs. (1) and (2) were used to calculate the average percentage of recovery (R) and non-recoverable creep compliance (Jnr) of the asphalt binders. The values of R and Jnr were determined by calculating the mean of 10 creep cycles using Eqs. (1) and (2).
where ε1 is the shear strain after 1 s of loading; ε10 is the shear strain after 10 s of loading; τ is the mean value of shear stress; Jnr100 is the non-recoverable creep compliance at a stress level of 100 Pa for 10 cycles; Jnr3200 is the non-recoverable creep compliance at a stress level of 3200 Pa for a total of 10 cycles.
2.5 Activation Energy Analysis
Viscosity is commonly described as the resistance of a fluid to flow. To confirm adequate fluidity of the binder for mixing at the asphalt plant, the Brookfield rotational viscometer (RV) test was employed to assess flow behaviour and workability. Binder samples, in both unaged and STA conditions, were assessed as the temperature increased from 120°C to 180°C in 10°C intervals. Binder viscosity was evaluated using a No. 27 spindle immersed in a thermo-cell containing the sample, following the testing method outlined in ASTM D4402 [42]. Previous studies have also analysed energy activation through viscosity flow behaviour [17,22]. The Arrhenius Eq. (3) describes the relationship between viscosity and temperature, with temperature serving as an indicator of intermolecular force strength in viscous flow.
where A is the material constant; T is the temperature in kelvin; R is the universal gas constant (8.314 J/mol/K); and
The microstructural characteristics of the asphalt binders were observed using optical microscopy under visible light at a magnification of 100×. The binders were heated to achieve a flow state and subsequently spread onto clean glass slides. The samples were evaluated after cooling to room temperature. The testing was conducted following the procedure outlined in [43].
3.1 Fourier Transform Infrared Spectroscopy Analysis
FTIR spectroscopy is used to analyse the functional groups of the 60/70 asphalt binder and CMB, both with and without WS. The samples are subjected to different ageing conditions to detect and measure variations in the chemical constitution resulting from different types of asphalt binders. Fig. 1a–f shows the different absorbance peaks of the infrared spectra of the asphalt binders within the range of 700–3000 cm−1 under various ageing conditions. The presence of unsaturated bonds in CMB increases with the addition of higher WS content. CMB exhibits a larger absorbance compared to the unaged conventional (60/70) and modified binders, indicating the presence of more pronounced functional group peaks. The CMB absorption band is reduced in the STA and LTA spectra, as shown in Fig. 1b. A comparison of the FTIR spectra in Fig. 1c–f reveals that the addition of WS leads to intensified absorption peaks under LTA conditions. This demonstrates that WS acts as a cross-linking agent, enhancing intermolecular chemical reactions between the polymer and bitumen. Heat-induced ageing, similar to LTA, facilitates the evaporation of aliphatic chains and other oily constituents [44].

Figure 1: Spectra of asphalt binders under different conditions: (a) Conventional 60/70; (b) CMB; (c) CMB-0.1%WS; (d) CMB-0.15%WS; (e) CMB-0.2%WS; (f) CMB-0.25%WS.
3.2 Chemical Composition of Asphalt Binders
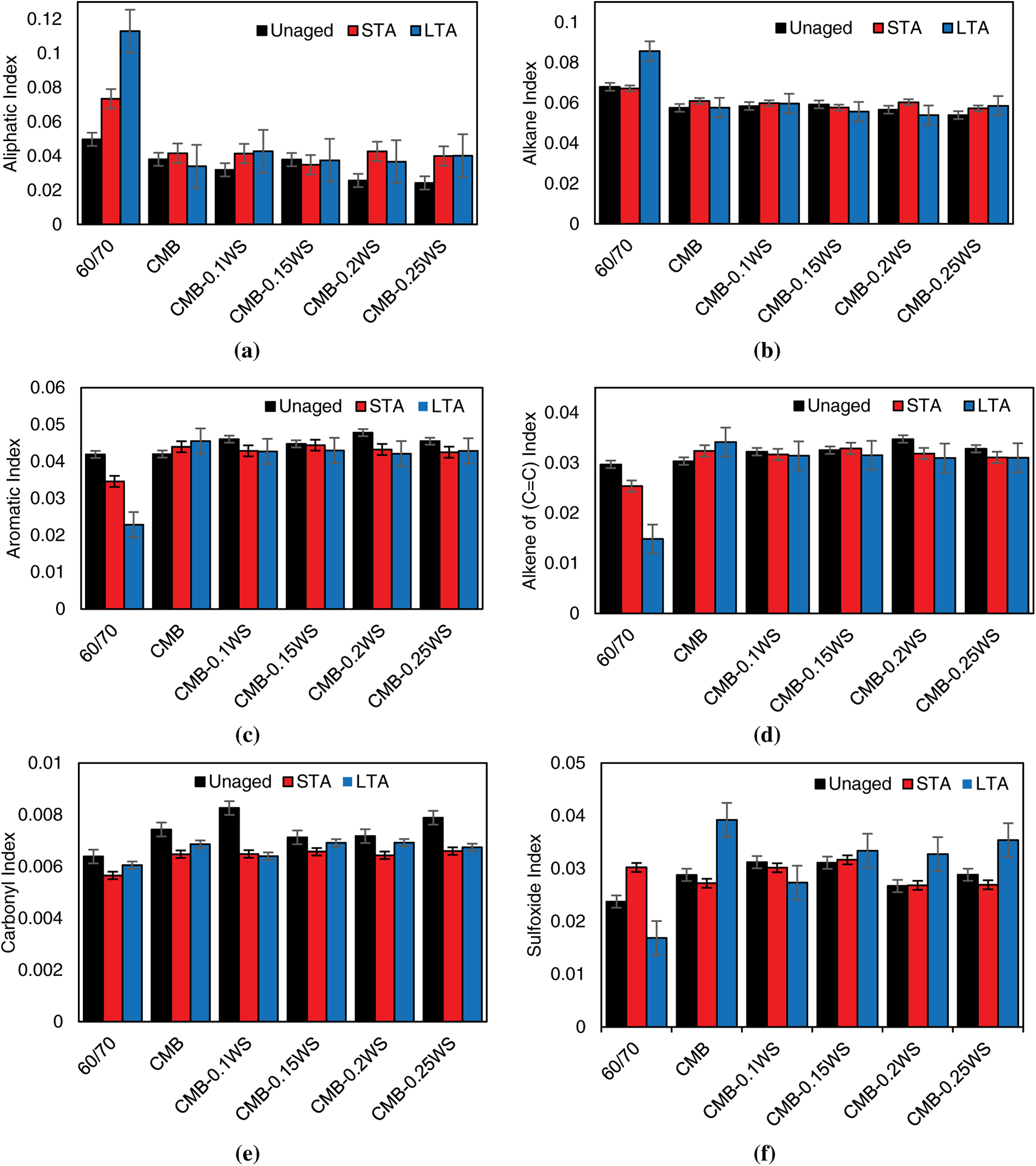
Fig. 2a,b demonstrates that the aliphatic and alkane indices in CMB, with and without WS, have lower values compared to the 60/70 asphalt binder. This indicates that the 60/70 asphalt binder favours saturated groups, which contain more aliphatic hydrocarbons. Aliphatic hydrocarbons are mainly found in the maltene component of asphalt, which contributes to asphalt’s fluidity and workability. Aliphatic compounds are more mobile, thereby influencing their viscosity and temperature susceptibility. The unsaturated characteristics of CMB, with and without WS, favour the development of aromatic groups due to increased intensity of C=C bonds [45]. Asphalt becomes stiffer as aliphatic compounds transform into more polar, less mobile structures. Alkanes in CMB, with or without WS, yield nearly identical results, even under ageing conditions. This suggests that alkanes in asphalt are flexible, saturated hydrocarbon chains that help the material remain workable and less brittle.

Figure 2: Indices of conventional 60/70 and modified binders under various ageing conditions: (a) Aliphatic index; (b) Alkane index; (c) Aromatic index; (d) Alkene of (C=C) index; (e) Carbonyl index; (f) Sulfoxide index.
Fig. 2c,d illustrates that the aromatic and alkene components in CMB increase with the addition of higher WS contents. The dominant unsaturated ring systems in the aromatic bonds of CMB with WS enhance its ability to dissolve other high-molecular-weight hydrocarbons. Aromatics, like aromatic hydrocarbons, are produced when low-molecular-weight compounds or resins react with oxygen. This reaction is also associated with an increase in the carbon-to-hydrogen ratio as a side effect of the dehydrogenation process. In addition, compared to the control binder, the light component of a foamed binder converts more readily into larger compounds [46–48].
Fig. 2e shows that CMB, with and without WS, exhibits an increase in the carbonyl index of the asphalt binder. This state persists even after the PAV-ageing procedure. The degree of a binder’s oxidative ageing is indicated by the abundance of oxide groups like sulfoxides, carbonyls, and aromatics [47]. Due to oxidation by atmospheric oxygen, compounds in the asphalt binder with low molecular weights often transform into high-molecular-weight compounds [49]. Oxidation causes the polar and aromatic fractions of asphalt to agglomerate. This agglomeration reduces their mobility and reactivity. The carbonyl groups present in CMB, with and without WS, contribute to reinforcing the aggregate coating in the asphalt and improve its mechanical performance.
Fig. 2f shows that CMB-0.1WS and CMB-0.15WS exhibit an increased sulfoxide (S=O) index in the unaged condition, which contributes to the stiffening of the asphalt binder. However, the high mixing temperature of 170°C disrupts the chemical bonds in rubber, causing a significant decrease in its molecular weight. Desulphurisation causes the rubber network of S-S or S-C bonds to break [50]. Hence, the rubber releases the oil absorbed from WS into the bitumen. This process lowers the S=O index and in CMB-0.2WS and CMB-0.25WS, which results in a relatively softer binder. It is assumed that the asphalt binder oxidises during RTFOT and PAV ageing, as indicated by an increase in the S=O bond indices. Thus, this study demonstrates that functional groups play a crucial role in influencing the performance of modified asphalt binders.
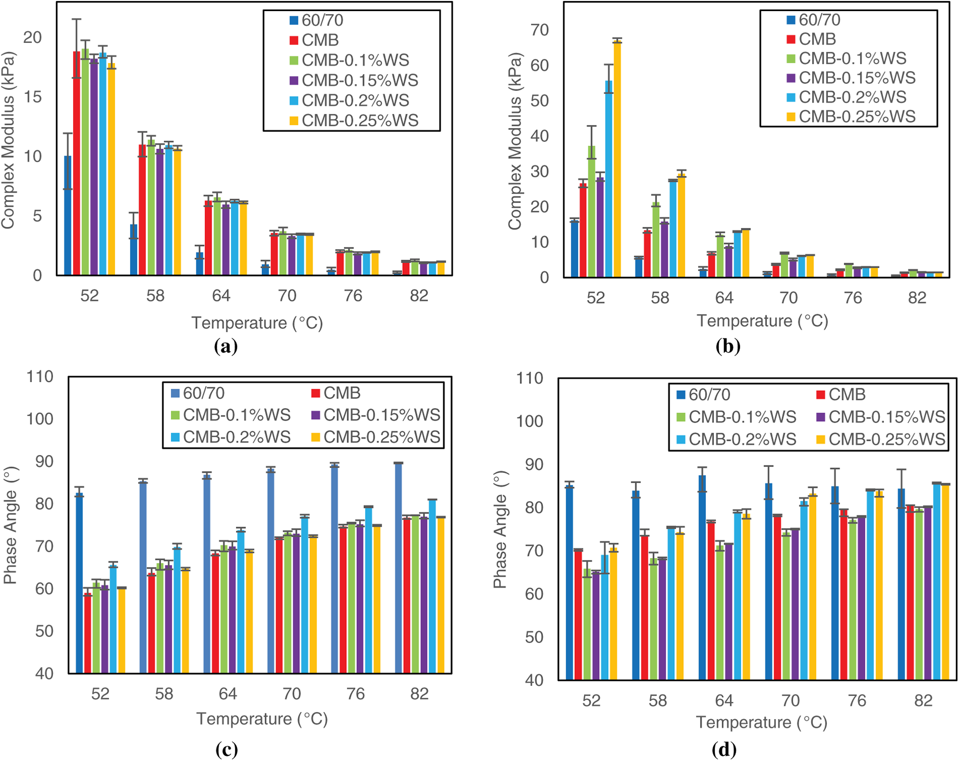
The complex modulus (G*) characterises the resistance of a material to deformation and its thermal performance, while the phase angle (δ) indicates its elastic recovery capability. The G* of asphalt binders in both unaged and aged conditions at various temperatures is shown in Fig. 3a,b. The G* values of CMB, both with and without WS, are higher than those of conventional 60/70 asphalt binder. This indicates that CMB exhibits enhanced resistance to deformation. CMB with WS also demonstrates superior resistance to deformation at higher temperatures. This trend is consistent with earlier studies by Jitsangiam et al. [38] and Al-Mansob et al. [51], which examined modified asphalt binders containing NR tested across various temperatures. Fig. 3b demonstrates that the G* value of CMB modified with WS under STA is greater than that of the unaged asphalt binder, reflecting improved stiffness and resistance to rutting. This behaviour is attributed to the high sulfoxide index in CMB with and without WS, as described in Section 3.2. During oxidation, sulfoxides are produced in the asphalt. These sulfoxides are the primary contributors to the increased viscosity of oxidised asphalt.

Figure 3: Temperature sweep results of conventional and modified asphalt binders: (a) Complex modulus of unaged binders; (b) Complex modulus of STA binders; (c) Phase angle of unaged binders; (d) Phase angle of STA binders.
Fig. 3c,d shows the δ values obtained under unaged and STA conditions at various temperatures. A reduction in δ is observed for CMB, CMB-0.1%WS, CMB-0.15%WS, CMB-0.2%WS, and CMB-0.25%WS. Notably, CMB, with and without WS, enhances the elasticity of the asphalt binder. Both CMB-0.1%WS and CMB-0.15%WS show similar performance across various temperatures under both unaged and STA conditions. This similarity is reflected in their phase angles. They also respond more consistently to temperature changes, as a substantial increase in their δ values is observed with a temperature rise from 52°C to 82°C. This indicates that CMB-0.1%WS and CMB-0.15%WS also exhibit better resistance to dynamic stress and strain compared to the 60/70 binder. In contrast, CMB-0.2%WS and CMB-0.25%WS exhibit slightly higher δ values. At 76°C under STA conditions, both CMB-0.2%WS and CMB-0.25%WS show results comparable to those of the 60/70 asphalt. Previous research has shown that incorporating surfactants together with additives plays a vital role in enhancing the performance of polymer-modified asphalts. One such additive is NR, which exhibits stability at high temperatures and pressures. The addition of WS is observed to enhance the uniformity and stability of the natural rubber-modified asphalt binder [32,43].
3.4 Rutting Resistance Analysis
The rutting parameter (G*/Sinδ) is used to evaluate the rutting resistance of the unmodified binder and CMB, both with and without WS. This parameter assesses the binder’s ability to withstand permanent deformation under controlled loading conditions. For adequate rutting resistance, the asphalt binder should exhibit sufficient stiffness and elasticity [16,34,51]. Fig. 4 demonstrates that, under unaged conditions, CMB, with and without WS, exhibits similar rutting resistance across the entire temperature range tested. After ageing, the incorporation of WS improves rutting resistance. A higher WS content yields better performance, as shown in Fig. 5. At 70°C, both unaged and STA binders have a G*/Sinδ value larger than 2.2 kPa. It can therefore be concluded that CMB containing WS shows greater improvement in rutting resistance under STA conditions. This performance surpasses that of CMB without WS. CMB incorporating WS can withstand higher temperatures than the 60/70 binder. This is significant, as pavement temperatures in Malaysia can reach around 60°C under hot conditions. This suggests that the incorporation of WS in the binder increases its elastic modulus [52]. WS also enhances the stripping resistance of the mixture. The stripping phenomenon leads to additional undesirable defects and often begins with rutting [30,32].

Figure 4: G*/Sinδ of unaged asphalt binders.

Figure 5: G*/Sinδ of STA asphalt binders.
3.5 Fatigue Resistance Analysis
The fatigue parameter (G*Sinδ) is used to evaluate the fatigue resistance of asphalt binders. Fatigue damage in asphalt pavements occurs when the asphalt binder ages and loses its capacity to maintain adhesion with aggregate particles, thereby reducing its ability to resist repeated traffic loading. Fatigue cracking usually initiates at the surface of the asphalt mixture and propagates downward through the pavement layers. Asphalt binders with lower G*Sinδ values indicate superior fatigue resistance. Fig. 6 presents the effect of temperature on G*Sinδ within the range of 16°C to 31°C under LTA, following the Superpave™ temperature guidelines. These temperatures are used to estimate fatigue resistance in tropical climates. CMB is shown to have reduced fatigue resistance, with G*Sinδ values exceeding 5000 kPa at temperatures ranging from 16°C to 20°C. This suggests that CMB significantly contributes to fatigue damage. In contrast, the addition of WS to CMB is shown to mitigate fatigue damage under LTA conditions. This finding demonstrates that LTA has a significant influence on the deformation behaviour and elasticity of the asphalt binder.

Figure 6: G*Sinδ of LTA asphalt binders.
WS acted as a more elastic solid at the pavement’s lowest service temperature. This indicates that WS enhances polymer dispersion and reduces the polarity of the binder, thereby strengthening the bond between the aggregate and the asphalt binder. WS reduces the complex modulus and elasticity of the CMB within the temperature range of 16°C to 31°C. WS enhances polymer dispersion and decreases binder polarity. These effects strengthen the bond between the aggregate and the asphalt binder [34]. Among the modified binders, CMB-0.15%WS shows superior fatigue resistance at intermediate temperatures. This indicates that CMB-0.15%WS exhibits better resistance to the influence of dynamic stress and strain. Furthermore, CMB-0.15%WS decreases the creep stiffness and the asphalt binder’s resistance to creep loading. This suggests that CMB-0.15%WS exhibits low energy dissipation. However, the fatigue resistance of the asphalt binder declines when the WS content exceeds 0.2%. Recent studies indicate that incorporating WS above 0.2% lowers the surface tension of CMB. This occurs because higher WS content reduces cohesion within the modified asphalt binder. This effect is observed in CMB-0.2WS and CMB-0.25WS [32].
3.6 Multiple Stress Creep and Recovery
The MSCR test is designed based on creep and recovery work carried out on asphalt binders. Table 3 illustrates the effect of CMB, with and without WS, on the average non-recoverable creep compliance (Jnr) at 64°C. A lower Jnr value corresponds to higher rutting resistance at elevated temperatures. The results demonstrate that CMB, with and without WS, increases the stiffness of the modified binder, thereby improving rutting resistance. Additionally, the asphalt binders show higher Jnr values at a higher creep load (3200 Pa) compared to a lower creep load (100 Pa). This confirms that rutting resistance decreases under higher creep loads at elevated temperatures. According to AASHTO M332 [53], the Jnr value at a stress level of 3200 Pa is required to have a maximum of 0.004 Pa−1 for standard traffic loading. Table 3 shows that the Jnr values at a stress level of 3200 Pa for CMB, with and without WS, are below 0.004 Pa−1. This demonstrates that CMB, with and without WS, performs effectively as an asphalt binder at an elevated temperature of 64°C, regardless of standard traffic loading.

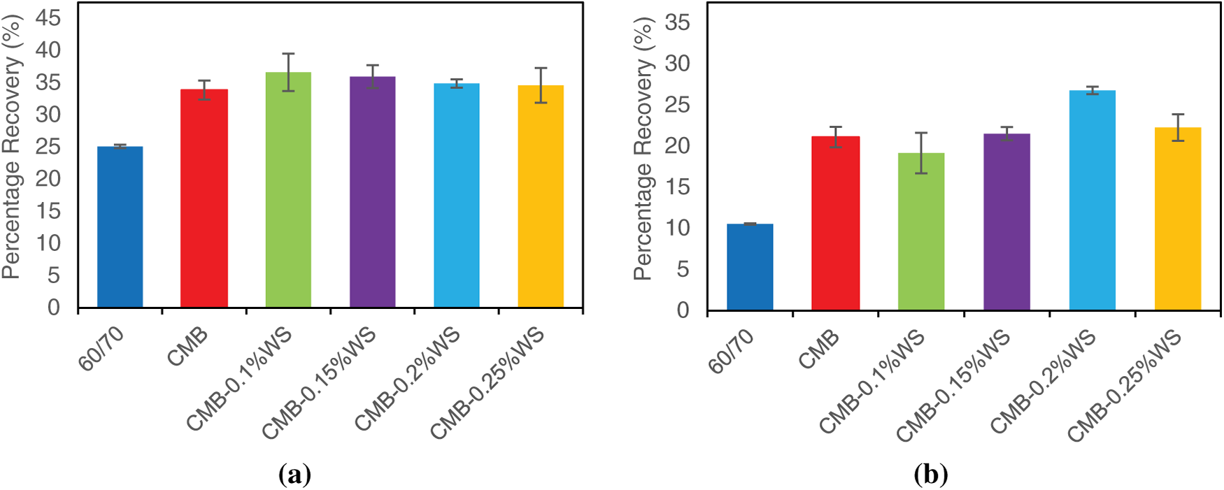
Fig. 7a,b shows the recovery of the asphalt binders after being subjected to creep loads ranging from 100 to 3200 Pa. The CMB with WS displays a higher percentage recovery than the 60/70 control binder under both loading conditions. However, recovery declines when the WS content exceeds 0.15%, indicating that 0.15% WS is the optimum dosage for asphalt binder modification. A similar trend is reported by Ameri et al. [54], where excessive additive content beyond the optimum reduces recovery. This reduction is attributed to the binder’s chemical composition, leading to poor compatibility between the asphalt binder and WS [55]. Nevertheless, all CMB binders containing WS demonstrate the ability to recover their original shape under creep loading, with CMB-0.1%WS achieving the best recovery performance. At a stress level of 100 Pa, CMB-0.1%WS exhibits higher recovery than CMB. This behaviour is associated with an increased sulfoxide content in CMB with WS, as described in Section 3.1, enhancing binder stiffness. Furthermore, the combination of the elastic properties of CMB and the addition of 0.1% WS increases the absorbance in CMB-0.1%WS, as discussed in Section 3.2. This synergistic effect enables CMB-0.1%WS to achieve the highest overall recovery. Overall, the addition of WS to CLR improves binder flexibility and reduces susceptibility to asphalt deformation. These results align with earlier research indicating that asphalt binders modified with surfactants and elastomers are effective in mitigating permanent deformation [52].

Figure 7: Percentage recovery of asphalt binders at different stress levels: (a) 100 Pa; (b) 3200 Pa.
3.7 Activation Energy Analysis
Fig. 8a,b illustrates the viscosity of the 60/70 asphalt binder modified with CLR and CMB, with or without WS, under various ageing conditions and temperatures. In the unaged state, the modified asphalt binders exhibit maximum viscosity at 120°C, as shown in Fig. 8a. Across the temperature range of 120°C to 180°C, CMB binders exhibit the highest viscosity, differing significantly from the 60/70 control binder. In contrast, the differences among WS dosages (0.1%, 0.15%, 0.2%, and 0.25%) remain relatively small. Notably, the viscosity of CMB with WS decreases slightly as the temperature increases. Fig. 8b shows that the viscosity of CMB binders under STA conditions is marginally lower than that of the unaged CMB. This behaviour is likely due to the presence of CLR in the asphalt binders. The STA modified binders follow a trend similar to that of the unaged binders. CMB binders, with or without WS, demonstrate significantly higher viscosity than the conventional 60/70 binder. Among the WS dosages, the CMB with 0.15% WS exhibits the lowest viscosity at higher temperatures compared to the other WS-modified binders. Lower viscosity leads to a more uniform coating. This improves aggregate–binder bonding, which in turn enhances the structural, mechanical, and adhesive performance of the asphalt mixtures.

Figure 8: Viscosity of asphalt binders at different ageing conditions: (a) Unaged binder; (b) STA binder.
Table 4 presents the correlation between viscosity and temperature for unaged and STA-conditioned 60/70, CMB, and CMB with WS asphalt binders. The R-square (R2) is a statistical parameter that indicates the degree of fit between the observed data and the regression line. A strong correlation is observed between viscosity and temperature for the asphalt binders under both unaged and STA conditions (R2 > 0.97). Table 5 shows the activation energy of unaged and STA-conditioned 60/70, CMB, and CMB with WS asphalt binders. These values are calculated across high temperatures using the Arrhenius equation. The findings indicate that the modified asphalt binders have larger activation energies under both unaged and STA conditions. The RV test shows that, in an unaged state, incorporating 0.1% WS into CMB increases the activation energy to 59.86 kJ/mol, while incorporating 0.15% WS slightly reduces it. Under STA conditions, the RV test indicates that CMB-0.15%WS has the lowest activation energy at 59.16 kJ/mol, whereas CMB-0.2%WS exhibits the highest value of 71.68 kJ/mol. The higher


Micrographs of the samples have been obtained using an optical microscope at 100× magnification to examine the microscale morphology of the 60/70, CMB, and CMB with WS at various concentrations, namely, 0.1%, 0.15%, 0.2%, and 0.25%. Fig. 9a shows the 60/70 binder, displaying scattered spots. In contrast, CMB exhibits a non-continuous spot dot microstructure, as depicted in Fig. 9b. This observation is consistent with previous studies [16,43,57]. Additionally, CLR modified with WS displays a rougher surface texture, as shown in Fig. 9c. Increasing the WS content in the CMB binders results in the formation of a compacted structure, as shown in Fig. 9c–f. This indicates that incorporating WS into asphalt binders is crucial for achieving more uniform and interconnected structures, suggesting that the integration of WS involves both absorption and evaporation processes. This also implies that the unsaturated ring systems within the aromatic bonds of CMB asphalt enhance their ability to dissolve other high-molecular-weight hydrocarbons in the WS. Additionally, the findings indicate that as the WS content in CMB increases, the aromatic fractions begin to agglomerate. This agglomeration reduces their mobility and reactivity, as outlined in Section 3.2. Consequently, binders modified with WS exhibit increased resistance to shear stress [4,58]. Higher WS content in the asphalt mixtures also contributes to improved stripping resistance.

Figure 9: Polarising images of (a) 60/70; (b) CMB; (c) CMB-0.1%WS; (d) CMB-0.15%WS; (e) CMB-0.2%WS; (f) CMB-0.25%WS.
FTIR analysis showed that adding WS to CMB improved its performance under various ageing conditions. The analysis of CMB chemical alterations revealed an increase in viscosity, which was attributed to elevated sulfoxide, carbonyl, and aromatic bond indices. These changes inadvertently enhanced resilience to heat-induced deterioration. For both unaged and aged samples, the presence of WS lowered the sulfoxide index within the binder. This indicated that the incorporation of WS into CMB significantly minimised asphalt binder degradation. It also offers potential improvements in adhesive failure resistance within the asphalt mixture.
The rheological properties of CMB, with and without WS, were evaluated through testing under unaged, STA, and LTA conditions. The test results showed that incorporating CLR increased the stiffness of the binder. This improvement enhanced the complex modulus and rutting resistance, while reducing its non-recoverable compliance and elasticity. Additionally, incorporating 0.15% WS improved the fatigue resistance of CMB. Moreover, the inclusion of WS enhanced elastic recovery under creep loads ranging from 100 to 3200 Pa. The degree of change in rheological characteristics was largely influenced by WS dosage.
An activation energy analysis, based on viscosity testing under high-temperature conditions, was conducted to evaluate the thermal susceptibility of binders containing varying WS dosages in CMB. The modified asphalt binders exhibited higher activation energies under both unaged and STA conditions. CMB with 0.15% WS demonstrated lower thermal susceptibility compared to the other modified binders. This indicated greater resistance to temperature variations.
Unaged samples were examined using optical microscopy. The incorporation of WS improved absorption and assimilation, subsequently strengthening asphalt binder interconnectivity and homogeneity. Improved stability and miscibility were also observed when WS was added to CMB. Thus, the findings suggested that the addition of 0.15% WS represents a promising approach for enhancing CMB performance. However, a cost-benefit analysis is required to determine the optimal WS dosage in CMB for improving the long-term fatigue and rutting resistance of asphalt mixtures.
Acknowledgement: Not applicable.
Funding Statement: The authors would like to acknowledge the Malaysian Ministry of Higher Education for the financial support provided under the Fundamental Research Grant Scheme (FRGS), Project Code: FRGS/1/2021/TK01/USM/02/1, which made this research possible. The kind assistance and collaboration of all material suppliers were also gratefully acknowledged. Additional appreciation is extended to the Public Works Department Malaysia for the scholarship provided through the Hadiah Latihan Persekutuan programme for professional and managerial officers pursuing doctoral studies (JPA-1-840622086040). The APC was funded by Prof. Hui Yao from Beijing University of Technology.
Author Contributions: The authors confirm contribution to the paper as follows: Zainiah Mohd Zin contributed to data curation, methodology, analysis and interpretation of results, and manuscript writing, review, and editing. Mohd Rosli Mohd Hasan was responsible for conceptualization, methodology, funding acquisition, project administration, resources, supervision, visualization, and manuscript review and editing. Azura A. Rashid contributed to methodology, validation, and manuscript review and editing. Muhammad Munsif Ahmad, Mohd Fahmi Haikal Mohd Ghazali, and Hui Yao contributed to manuscript review and editing. All authors reviewed and approved the final version of the manuscript.
Availability of Data and Materials: The data that supports the findings of this study are available from the corresponding authors upon reasonable request.
Ethics Approval: Not applicable.
Conflicts of Interest: The authors declare no conflicts of interest.
References
1. Liu T, Yang S, Liao B, Yang E, Jiang X. Contribution of climate change and traffic load on asphalt pavement carbon emissions. J Clean Prod. 2024;434(16):140553. doi:10.1016/j.jclepro.2023.140553. [Google Scholar] [CrossRef]
2. Airey GD. Fundamental binder and practical mixture evaluation of polymer modified bituminous materials. Int J Pavement Eng. 2004;5(3):137–51. doi:10.1080/10298430412331314146. [Google Scholar] [CrossRef]
3. do Nascimento Camargo IG, Ben Dhia T, Loulizi A, Hofko B, Mirwald J. Anti-aging additives: proposed evaluation process based on literature review. Road Mater Pavement Des. 2021;22(sup1):S134–53. doi:10.1080/14680629.2021.1906738. [Google Scholar] [CrossRef]
4. Behnood A, Modiri Gharehveran M. Morphology, rheology, and physical properties of polymer-modified asphalt binders. Eur Polym J. 2019;112(3):766–91. doi:10.1016/j.eurpolymj.2018.10.049. [Google Scholar] [CrossRef]
5. Diab A, Pais J, Chen S, Gupta A, Li X, You L, et al. High, intermediate and low temperature performance appraisal of elastomeric and plastomeric asphalt binders and mixes. J Elastomers Plast. 2022;54(2):225–46. doi:10.1177/00952443211038663. [Google Scholar] [CrossRef]
6. Jin D, Boateng KA, Chen S, Xin K, You Z. Comparison of rubber asphalt with polymer asphalt under long-term aging conditions in Michigan. Sustainability. 2022;14(17):10987. doi:10.3390/su141710987. [Google Scholar] [CrossRef]
7. Fini EH, Al-Qadi IL, You Z, Zada B, Mills-Beale J. Partial replacement of asphalt binder with bio-binder: characterisation and modification. Int J Pavement Eng. 2012;13(6):515–22. doi:10.1080/10298436.2011.596937. [Google Scholar] [CrossRef]
8. Yan Y, Huan H, Guo R, He Y, Tang K. Effect of vulcanisation on the properties of natural rubber-modified asphalt. Ind Crops Prod. 2024;214:118588. doi:10.1016/j.indcrop.2024.118588. [Google Scholar] [CrossRef]
9. Zahid A. Malaysia perlu cari jalan keluar tukar kaedah hasil getah beku kepada lateks. Berita Harian; 2023 [cited 2020 Mar 12]. (In Malay). Available from: https://www.bharian.com.my/berita/nasional/2023/02/1069077/malaysia-perlu-cari-jalan-tukar-kaedah-hasil-getah-beku-kepada. [Google Scholar]
10. Zin MRM. Khabar gembira untuk pekebun kecil getah. Utusan; 2023 [cited 2020 Mar 12]. (In Malay). Available from: https://www.utusan.com.my/commentary/khabar. [Google Scholar]
11. Azahar NM, Hassan NA, Jaya RP, Kadir MAA, Yunus NZM, Mahmud MZH. An overview on natural rubber application for asphalt modification. Int J Agric For Plant. 2016;2:212–8. [Google Scholar]
12. Luo X, Muttaqin F, Zhang Y. Investigating non-petroleum-based biodegradable polymers as eco-friendly and sustainable materials in asphalt modification: a review on natural rubbers and natural oils. J Clean Prod. 2024;436(4):140483. doi:10.1016/j.jclepro.2023.140483. [Google Scholar] [CrossRef]
13. Mashaan NS, Ali AH, Karim MR, Abdelaziz M. Effect of crumb rubber concentration on the physical and rheo-logical properties of rubberised bitumen binders. Int J Phys Sci. 2011;6(4):684–90. [Google Scholar]
14. Hazoor Ansari A, Jakarni FM, Muniandy R, Hassim S, Elahi Z, Meftah Ben Zair M. Effect of cup lump rubber as a sustainable bio-modifier on the properties of bitumen incorporating polyphosphoric acid. Constr Build Mater. 2022;323(6):126505. doi:10.1016/j.conbuildmat.2022.126505. [Google Scholar] [CrossRef]
15. Al-Mansob RA, Ismail A, Yusoff NIM, Albrka SI, Azhari CH, Karim MR. Rheological characteristics of unaged and aged epoxidised natural rubber modified asphalt. Constr Build Mater. 2016;102(7):190–9. doi:10.1016/j.conbuildmat.2015.10.133. [Google Scholar] [CrossRef]
16. Wen Y, Wang Y, Zhao K, Sumalee A. The use of natural rubber latex as a renewable and sustainable modifier of asphalt binder. Int J Pavement Eng. 2017;18(6):547–59. doi:10.1080/10298436.2015.1095913. [Google Scholar] [CrossRef]
17. Yan Y, Guo R, Cheng C, Fu C, Yang Y. Viscosity prediction model of natural rubber-modified asphalt at high temperatures. Polym Test. 2022;113(1):107666. doi:10.1016/j.polymertesting.2022.107666. [Google Scholar] [CrossRef]
18. Ansari AH, Jakarni FM, Muniandy R, Hassim S, Elahi Z. Natural rubber as a renewable and sustainable bio-modifier for pavement applications: a review. J Clean Prod. 2021;289:125727. doi:10.1016/j.jclepro.2020.125727. [Google Scholar] [CrossRef]
19. Samuel EO, Sunny EI, Anselm II, Michael OD. Natural rubber (Hevea brasiliensis Mell.-Arg.) production, processing, and rubber wastes utilization: challenges and prospects for economic diversification and sustainable development of Nigeria. Afr J Plant Sci. 2021;15(1):8–19. doi:10.5897/ajps2020.2058. [Google Scholar] [CrossRef]
20. Azahar NM, Hassan NA, Jaya RP, Hainin MR, Yusoff NIM, Kamaruddin NHM, et al. Properties of cup lump rubber modified asphalt binder. Road Mater Pavement Des. 2021;22(6):1329–49. doi:10.1080/14680629.2019.1687007. [Google Scholar] [CrossRef]
21. Rohayzi NF, Katman HYB, Ibrahim MR, Norhisham S, Rahman NA. Potential additives in natural rubber-modified bitumen: a review. Polymers. 2023;15(8):1951. doi:10.3390/polym15081951. [Google Scholar] [PubMed] [CrossRef]
22. Poovaneshvaran S, Zheng LW, Hasan MRM, Yang X, Diab A. Workability, compactibility and engineering properties of rubber-modified asphalt mixtures prepared via wet process. Int J Pavement Res Technol. 2021;14(5):560–9. doi:10.1007/s42947-020-1006-z. [Google Scholar] [CrossRef]
23. Ziari H, Naghavi M, Imaninasab R. Performance evaluation of rubberised asphalt mixes containing WMA additives. Int J Pavement Eng. 2018;19(7):623–9. doi:10.1080/10298436.2016.1199874. [Google Scholar] [CrossRef]
24. Huang J, Chen B, Cai Y, Yue J, Hong B, Tang G. Research on the influence of different wax-based warm mix additives on rheological and aging behaviors of high-viscosity modified asphalt. Polymers. 2026 Mar 6;18(5):646. doi:10.3390/polym18050646. [Google Scholar] [PubMed] [CrossRef]
25. Duan P, Lei T, Han Y, Dai H, Hou M, Yao W, et al. Effect of warm-mixing wax’s molecular weights on microstructure, rheological and mechanical properties of asphalt composites. Constr Build Mater. 2023;408(12):133620. doi:10.1016/j.conbuildmat.2023.133620. [Google Scholar] [CrossRef]
26. Ingrassia LP, Lu X, Canestrari F, Ferrotti G. Tribological characterization of bituminous binders with warm mix asphalt additives. Constr Build Mater. 2018;172(1):309–18. doi:10.1016/j.conbuildmat.2018.03.275. [Google Scholar] [CrossRef]
27. Kovinich J, Hesp SAM, Ding H. Modulated differential scanning calorimetry study of wax-doped asphalt binders. Thermochim Acta. 2021;699(4):178894. doi:10.1016/j.tca.2021.178894. [Google Scholar] [CrossRef]
28. Han Y, Duan P, Yu F, Yang A, Zeng S, Chen P, et al. Tuning high- and low-temperature rheological properties of warm-mixing asphalt composites by functionalized waxes. Mater Today Commun. 2024;39(4):109094. doi:10.1016/j.mtcomm.2024.109094. [Google Scholar] [CrossRef]
29. Wang H, Liu X, Zhang H, Apostolidis P, Scarpas T, Erkens S. Asphalt-rubber interaction and performance evaluation of rubberised asphalt binders containing non-foaming warm-mix additives. Road Mater Pavement Des. 2020;21(6):1612–33. doi:10.1080/14680629.2018.1561380. [Google Scholar] [CrossRef]
30. Poovaneshvaran S, Jamshidi A, Mohd Hasan MR, Mohd Ghazali MFH, Gul WA, Jaya RP. Moisture sensitivity and heavy metal leaching potentials of asphalt mixtures incorporating rubber modifiers and wax-based admixture. Phys Chem Earth Parts A B C. 2023;132(9):103404. doi:10.1016/j.pce.2023.103404. [Google Scholar] [CrossRef]
31. Kakar MR, Hamzah MO, Akhtar MN, Saleh JM. Evaluating the surface free energy and moisture sensitivity of warm mix asphalt binders using dynamic contact angle. Adv Civ Eng. 2019;2019(1):9153603. doi:10.1155/2019/9153603. [Google Scholar] [CrossRef]
32. Mohd Zin Z, Mohd Hasan MR, A Rashid A, Ahmad MM, Wong TLX, Yao H. Assessment of moisture resistance and bonding behavior of cup lump rubber modified asphalt mixture containing wax-based surfactant. Mater Res Express. 2025;12(1):015305. doi:10.1088/2053-1591/ada730. [Google Scholar] [CrossRef]
33. Kakar MR, Hamzah MO, Akhtar MN, Woodward D. Surface free energy and moisture susceptibility evaluation of asphalt binders modified with surfactant-based chemical additive. J Clean Prod. 2016;112(1):2342–53. doi:10.1016/j.jclepro.2015.10.101. [Google Scholar] [CrossRef]
34. Sani A, Mohd Hasan MR, Shariff KA, Jamshidi A, Poovaneshvaran S, Shahid KA. Physico-mechanical and morphological properties of wax latex-modified asphalt binder. Iran J Sci Technol Trans Civ Eng. 2021;45(2):865–78. doi:10.1007/s40996-020-00422-9. [Google Scholar] [CrossRef]
35. Abed AH, Bahia HU. Enhancement of permanent deformation resistance of modified asphalt concrete mixtures with nano-high density polyethylene. Constr Build Mater. 2020;236(4):117604. doi:10.1016/j.conbuildmat.2019.117604. [Google Scholar] [CrossRef]
36. ASTM D2872. Test method for effect of heat and air on a moving film of asphalt (rolling thin-film oven test). West Conshohocken, PA, USA: ASTM International; 2022. doi:10.1520/D2872-22. [Google Scholar] [CrossRef]
37. ASTM D6521. Practice for accelerated aging of asphalt binder using a pressurized aging vessel (PAV). West Conshohocken, PA, USA: ASTM International; 2022. doi:10.1520/D6521-22. [Google Scholar] [CrossRef]
38. Jitsangiam P, Nusit K, Phenrat T, Kumlai S, Pra-ai S. An examination of natural rubber modified asphalt: effects of rubber latex contents based on macro- and micro-observation analyses. Constr Build Mater. 2021;289(12):123158. doi:10.1016/j.conbuildmat.2021.123158. [Google Scholar] [CrossRef]
39. Hou X, Lv S, Chen Z, Xiao F. Applications of Fourier transform infrared spectroscopy technologies on asphalt materials. Measurement. 2018;121(4):304–16. doi:10.1016/j.measurement.2018.03.001. [Google Scholar] [CrossRef]
40. ASTM D7175. Test method for determining the rheological properties of asphalt binder using a dynamic shear rheometer. West Conshohocken, PA, USA: ASTM International; 2015. doi:10.1520/D7175-15. [Google Scholar] [CrossRef]
41. ASTM D7405. Test method for multiple stress creep and recovery (MSCR) of asphalt binder using a dynamic shear rheometer. West Conshohocken, PA, USA: ASTM International; 2020. doi:10.1520/D7405-20. [Google Scholar] [CrossRef]
42. ASTM D4402. Test method for viscosity determination of asphalt at elevated temperatures using a rotational viscometer. West Conshohocken, PA, USA: ASTM International; 2006. doi:10.1520/D4402-06. [Google Scholar] [CrossRef]
43. Sani A, Mohd Hasan MR, Shariff KA, Jamshidi A, Ibrahim AH, Poovaneshvaran S. Engineering and microscopic characteristics of natural rubber latex modified binders incorporating silane additive. Int J Pavement Eng. 2020;21(14):1874–83. doi:10.1080/10298436.2019.1573319. [Google Scholar] [CrossRef]
44. Jamal M, Giustozzi F. Enhancing the asphalt binder’s performance against oxidative ageing and solar radiations by incorporating rubber from waste tyres. Constr Build Mater. 2022;350(1):128803. doi:10.1016/j.conbuildmat.2022.128803. [Google Scholar] [CrossRef]
45. Mouazen M, Poulesquen A, Bart F, Masson J, Charlot M, Vergnes B. Rheological, structural and chemical evolution of bitumen under gamma irradiation. Fuel Process Technol. 2013;114:144–53. doi:10.1016/j.fuproc.2013.03.039. [Google Scholar] [CrossRef]
46. Yang X, You Z, Mills-Beale J. Asphalt binders blended with a high percentage of biobinders: aging mechanism using FTIR and rheology. J Mater Civ Eng. 2015;27(4):04014157. doi:10.1061/(asce)mt.1943-5533.0001117. [Google Scholar] [CrossRef]
47. Lamontagne J, Dumas P, Mouillet V, Kister J. Comparison by Fourier transform infrared (FTIR) spectroscopy of different ageing techniques: application to road bitumens. Fuel. 2001;80(4):483–8. doi:10.1016/S0016-2361(00)00121-6. [Google Scholar] [CrossRef]
48. Namutebi M, Birgisson B, Bagampadde U. Foaming effects on binder chemistry and aggregate coatability using foamed bitumen. Road Mater Pavement Des. 2011;12(4):821–47. doi:10.1080/14680629.2011.9713896. [Google Scholar] [CrossRef]
49. Wang H, Liu X, Apostolidis P, van de Ven M, Erkens S, Skarpas A. Effect of laboratory aging on chemistry and rheology of crumb rubber modified bitumen. Mater Struct. 2020;53(2):26. doi:10.1617/s11527-020-1451-9. [Google Scholar] [CrossRef]
50. Wang M, Liu L. Investigation of microscale aging behavior of asphalt binders using atomic force microscopy. Constr Build Mater. 2017;135(9):411–9. doi:10.1016/j.conbuildmat.2016.12.180. [Google Scholar] [CrossRef]
51. Al-Mansob RA, Ismail A, Alduri AN, Azhari CH, Karim MR, Yusoff NIM. Physical and rheological properties of epoxidized natural rubber modified bitumens. Constr Build Mater. 2014;63(9):242–8. doi:10.1016/j.conbuildmat.2014.04.026. [Google Scholar] [CrossRef]
52. Xiao F, Punith VS, Amirkhanian SN. Effects of non-foaming WMA additives on asphalt binders at high performance temperatures. Fuel. 2012;94(7):144–55. doi:10.1016/j.fuel.2011.09.017. [Google Scholar] [CrossRef]
53. AASHTO M332. Standard specification for performance-graded asphalt binder using multiple stress creep recovery (MSCR) test. Washington, DC, USA: AASHTO; 2014. [Google Scholar]
54. Ameri M, Afshin A, Ebrahimzadeh Shiraz M, Yazdipanah F. Effect of wax-based warm mix additives on fatigue and rutting performance of crumb rubber modified asphalt. Constr Build Mater. 2020;262(7):120882. doi:10.1016/j.conbuildmat.2020.120882. [Google Scholar] [CrossRef]
55. Chen Q, Li Y, Lin Z, Yu H. Surface activation of wax-based additives to enhance asphalt rheological properties via rotating plasma treatment. Buildings. 2023;13(2):514. doi:10.3390/buildings13020514. [Google Scholar] [CrossRef]
56. Jamshidi A, Hamzah MO, Shahadan Z, Yahaya AS. Evaluation of the rheological properties and activation energy of virgin and recovered asphalt binder blends. J Mater Civ Eng. 2015;27(3):04014135. doi:10.1061/(asce)mt.1943-5533.0001024. [Google Scholar] [CrossRef]
57. Ramm A, Sakib N, Bhasin A, Downer MC. Optical characterization of temperature- and composition-dependent microstructure in asphalt binders. J Microsc. 2016;262(3):216–25. doi:10.1111/jmi.12353. [Google Scholar] [PubMed] [CrossRef]
58. Poulikakos LD, Partl MN. Investigation of porous asphalt microstructure using optical and electron microscopy. J Microsc. 2010;240(2):145–54. doi:10.1111/j.1365-2818.2010.03388.x. [Google Scholar] [PubMed] [CrossRef]
Cite This Article
Copyright © 2026 The Author(s). Published by Tech Science Press.This work is licensed under a Creative Commons Attribution 4.0 International License , which permits unrestricted use, distribution, and reproduction in any medium, provided the original work is properly cited.


Submit a Paper
Propose a Special lssue
View Full Text
Download PDF
Downloads
Citation Tools