Open Access
ARTICLE
Decision Analysis on IoV Routing Transmission and Energy Efficiency Optimization Algorithm with AmBC
1 Henan University of Science and Technology, College of Information Engineering, Luoyang, 471000, China
2 Longmen Laboratory, Research and Innovation Center of Intelligent System, Luoyang, 471000, China
3 Institute of Atmospheric Physics, Chinese Academy of Sciences (LAGEO), Beijing, 100000, China
4 YTO Group Corporation, Luoyang, 471000, China
* Corresponding Author: Baofeng Ji. Email:
(This article belongs to the Special Issue: Recent Advances in Backscatter and Intelligent Reflecting Surface Communications for 6G-enabled Internet of Things Networks)
Computer Modeling in Engineering & Sciences 2023, 137(3), 2661-2673. https://doi.org/10.32604/cmes.2023.028762
Received 06 January 2023; Accepted 10 March 2023; Issue published 03 August 2023
Abstract
The improvement of the quality and efficiency of vehicle wireless network data transmission is always a key concern in the Internet of Vehicles (IoV). Routing transmission solved the limitation of transmission distance to a certain extent. Traditional routing algorithm cannot adapt to complex traffic environment, resulting in low transmission efficiency. In order to improve the transmission success rate and quality of vehicle network routing transmission, make the routing algorithm more suitable for complex traffic environment, and reduce transmission power consumption to improve energy efficiency, a comprehensive optimized routing transmission algorithm is proposed. Based on the routing transmission algorithm, an optimization algorithm based on road condition, vehicle status and network performance is proposed to improve the success rate of routing transmission in the IoV. Relative distance difference and density are used as decision-making indicators to measure Road Side Unit (RSU) assisted transmission. And the Ambient backscatter communication (AmBC) technology and energy collection are used to reduce the energy consumption of routing relay transmission. An energy collection optimization algorithm is proposed to optimize the energy efficiency of AmBC and improve the energy efficiency of transmission. Simulation results show that the proposed routing optimization algorithm can effectively improve the success rate of packet transmission in vehicular ad hoc networks (VANETs), and the AmBC optimization algorithm can effectively reduce energy consumption in the transmission process. The proposed optimization algorithm achieves comprehensive optimization of routing transmission performance and energy efficiency.Keywords
The development of communication networks and intelligent technology applications has brought opportunities for the IoT, but also brought negative problems such as low transmission performance and high energy consumption. As one of the carriers of mobile IoT, vehicle is an important part. Compared with other mobile IoT networks, the high-speed movement of the vehicles, high randomness of driving routes, limited network transmission distance and other reasons have always affected the reliability and quality of data transmission to a certain extent. The quality and efficiency of data transmission are very important parts of the vehicle driving environment and even affect traffic safety. At the same time, the issue of energy consumption of wireless network transmission is also a topic worthy of urgent attention under the theme of a low carbon society.
In term of data transmission of IoV, the combination of routing algorithm and VANETs alleviates the problems of frequent changes in network topology, fast movement speed, short link lifetime, etc. [1]. But inevitably, the above methods can only help to a certain extent. For example, although the routing algorithm based on geographical location has a lightweight and fast routing decision making process, a single decision-making parameter makes it have poor transmission performance in the face of a complex scenario such as rapid changes in vehicle speed and uneven vehicle node density, which lead to low transmission success rate. Especially with the rapid increase of car ownership, not only is there a large number of vehicles on the road, but also the density distribution and driving route characteristics are uneven [2]. With the popularization of intelligent applications, the proportion of vehicles with intelligent transmission and interaction capability is growing [3]. This will obviously bring huge pressure on the transmission of data generated by vehicles, and also put forward strict requirements on the quality of network transmission.
In order to improve the routing transmission performance of VANETs, it is necessary to comprehensively optimize the routing algorithm [4]. It is obviously not enough to only consider the vehicle speed, driving direction, network parameters and other factors, but also the relative distance difference, RSU auxiliary transmission and other factors. To improve the routing transmission performance of VANETs, it is necessary to comprehensively optimize the routing algorithm to enable it to cope with complex road environment, vehicle state changes and other non single traffic scenarios [5].
AmBC technology is an energy friendly technology with low power consumption. The transmission is carried out by reflecting the existing signal in the communication network environment [6,7]. This technology can transmit the transmission signals passively. The relay node in the transmission process can transmit data and collect energy from the source node [8]. Therefore, it has significant help for energy saving of wireless network transmission. In the process of routing transmission of the VANETs, relay transmission is a necessary step. Therefore, the application of AmBC technology in the routing process of the VANETs to achieve energy saving is of certain research significance [9–11].
This paper applies the above optimization scheme to improve the routing transmission performance and success rate of the VANETs, while saving energy consumption and improving the energy efficiency ratio to a certain extent. On the basis of the routing algorithm based on geographical location, the factors affecting routing transmission, such as vehicle driving status, network parameters and traffic environment, are comprehensively optimized. A comprehensive optimization decision formula is established to select the optimal relay transmission vehicle node. The optimized decision content includes vehicle speed, node density, network parameters, link time, and driving state changes. In the process of routing relay transmission, AmBC energy efficiency maximization optimization algorithm is considered and proposed to achieve the effect of low power consumption and high energy efficiency in the transmission process.
The rest of this paper is as follows: Section 2 analyzes the current research on VANETs routing and AmBC, Section 3 introduces the system model and environment, Section 4 analyzes the proposed algorithm, Section 5 analyzes the proposed algorithm with simulation experiments, and Section 6 makes a conclusion.
As a necessary link of vehicle network transmission, the routing algorithm of the VANETs has become a long term concern of many researchers in order to continuously improve the efficiency and quality of the IoV transmission. Many researchers have proposed some routing optimization algorithms in different directions and ideas.
Chen et al. [12] proposed an optimal routing algorithm, based on the parameters of vehicle link transmission quality (LTQ) and density of vehicle nodes, promoted the packet delivery ratio (PDR) and diminished the end to end delay. Khan et al. [13] used reinforcement learning algorithm Q-learning to optimize the decision-making of intersection routes. RSU and server respectively monitor road status and analyze road congestion. Finally, the Q-learning algorithm determines the optimal next hop node to improve the transmission rate and achieve better delay. Q-learning algorithm is considered by many researchers as an effective method to achieve path decision optimization through greedy features. Luo et al. [14] proposed Q-learning algorithm to analyze the historical traffic flow and network load monitoring data at intersections, and decided the optimal path relay node. And on the basis of the above, the strategy of greedy selection is improved. The proposed algorithm not only reduced the communication network overhead and performance, but also effectively improves the success rate of packet delivery. Ji et al. [5] applied the multi weight decision algorithm to the routing algorithm based on geographical location. On the basis of the algorithm, the vehicle driving state, network performance, traffic conditions and other factors are comprehensively considered. The application of smart contract and machine learning technology effectively stimulates the performance of vehicle network bandwidth, and can effectively improve the delivery rate and throughput of routing transmission packets. Punia et al. [15] found that maintaining QoS (Quality of Service) under complex traffic conditions and vehicle driving conditions is the key to improving the transmission efficiency of the IoV. EK-PGRP (Extended Kalman filter—Predictive Geographic Routing Protocol) is proposed to predict the location of neighbor nodes. Kalman filter is applied to select the most appropriate neighbor node in vehicle transmission environment. Simulation results show that the proposed algorithm can effectively reduce routing overhead. Sennan et al. [16] proposed a mobility aware dynamic clustering based routing (MADCR), which aims to increase the network link life and reduce the end to end delay. Cluster formation and cluster head (CH) selection process are applied to form clusters according to Euclidean distance. Using Mayfly optimization algorithm (MOA) to select CH. Compared with Ant colony optimization (ACO), Comprehensive learning particle swarm optimization (CLPSO) and Clustering algorithm for IoV based on dragonfly optimizer (CAVDO), the proposed routing algorithm can effectively reduce the delay and increase the packet delivery rate.
The application of AmBC in IoT and other environments can effectively reduce energy consumption and achieve green communication due to its own characteristics. Khan et al. [17] proposed an IoV network energy saving resource allocation framework supporting AmBC. Under incomplete Successive Interference Cancellation (SIC) decoding, the total power of each RSU, the power distribution coefficient of IoV and the reflected power of BackTags are jointly optimized. Compared with the transmission performance of traditional IoV framework, the proposed algorithm has better performance. In the two hop relay wireless transmission scheme, Ji et al. [9] proposed a joint optimization algorithm based on the maximum energy efficiency criterion in AmBC. The number of source node antennas, transmission power and transmission allocation factor are jointly optimized to obtain better energy efficiency gain. Li et al. [18] proposed an AmBC transmission scheme in vehicles and pedestrians (V2P) system assisted by source noise of environmental radio frequency (RF) sources, and analyzes the system’s asymptotic behavior and hierarchical gain performance. Although the scheme can improve system security, it sacrifices reliability to some extent. The traditional AmBC system is optimized by Yang et al. [8], and a Cooperative AmBC (CABC) system is proposed. The reader recovers information from Ambient backscatter device (ABD) and RF source information. When the ABD symbol period is longer than the RF source symbol period, compared with the traditional Single input multiple output (SIMO) system without ABD, the presence of signals in the CABC system can significantly enhance the Maximum likelihood (ML) detection performance of RF source signals. In the routing transmission process of the IoV, each relay transmission that is not directly transmitted to the destination can be regarded as a two hop relay transmission process. The application environment of AmBC can be applied to the routing transmission process of the IoV to realize the optimization of routing transmission energy efficiency [19–21].
2.3 Motivation and Contribution
In the above research contents, there are comprehensive decisions on route transmission optimization parameters of the VANETs, innovative processing of route transmission schemes, and AmBC energy consumption optimization schemes. However, the integrity of the multi-parameter decision-making factors of the VANETs needs to be improved. More parameter indicators obviously help to optimize the routing transmission quality. At the same time, during the routing process of the VANETs, the assistance of AmBC can reduce the transmission power consumption and significantly improve the transmission energy efficiency. According to the above optimization ideas, a comprehensive optimization scheme of VANETs routing is proposed. The driving characteristics of vehicle nodes, node density, driving direction, speed change, link lifetime, and vehicle change degree are all parameters of routing decision. Based on these parameters, a comprehensive decision optimization formula is established, so that the optimization of multiple parameters can provide higher performance for transmission quality improvement. In RSU auxiliary transmission, the relative distance difference is used as the decision threshold of RSU auxiliary transmission. At the same time, RSU, vehicle and other roadside communication and computing infrastructure are equipped with ABD for AmBC routing communication. The roadside node and vehicle node are regarded as the two hop nodes of relay transmission, and an optimization algorithm is proposed to comprehensively optimize the source antenna and transmission power of AmBC, so as to reduce the transmission power consumption and improve the energy efficiency ratio. The contributions of this paper are as follows:
(1) Optimize the routing decision of the VANETs routing algorithm, optimize the decision making process and improve the routing transmission efficiency and performance by combining environmental parameters and relative distance difference.
(2) Proposed an AmBC auxiliary framework under the routing transmission environment of the VANETs, which can reduce the communication transmission power consumption and improve the energy consumption ratio.
(3) An energy efficiency optimization algorithm is proposed for AmBC transmission to improve the energy efficiency of the system.
In the network of vehicles routing transmission system environment, all vehicles are equipped with on board unit (OBU) with communication and Global Positioning System (GPS) functions to provide transmission and positioning. The system model is shown in Fig. 1. There are roadside infrastructures, such as RSU and edge server, in which roadside units and vehicles are equipped with ABD to meet the needs of AmBC transmission. Vehicle and neighbor vehicle nodes and RSU periodically broadcast information, collect information of surrounding nodes, and establish and maintain neighbor information table. The vehicle speed, direction change, network status and other decision optimization data are collected and updated by the surrounding nodes and RSU.

Figure 1: System mode
When the vehicle is routing transmission, first judge the relative distance difference and choose whether to perform vehicle routing transmission or RSU assisted transmission. Because RSU uses optical fiber cable transmission, the transmission speed and quality are better than vehicle wireless network transmission. During relay transmission, both RSU and vehicle are regarded as nodes. In the two hop AmBC of relay transmission, the sending end is the source node, the relay node is the receiving and forwarding node, and the destination node is the receiving node. At the same time, it can continue to send information by collecting the signal energy sent by the relay node.
The AmBC model is shown in Fig. 2. Both vehicle and RSU can be regarded as source nodes, including the relationship between the destination node of relay transmission and the next hop node. The source node is the active end, equipped with multiple antennas, which sends information to the relay node and collects energy by the relay node. The relay node completes the resource allocation of received signal through power shunting. In the second hop, the relay node uses the collected energy to send information to the destination node. In the transmission process, each vehicle node selected by routing decision can be seen as the next hop relay node of AmBC transmission. The system analysis process is two-hop transmission. Therefore, in the process of AmBC transmission, each relay forwarding is considered as an independent two-hop transmission analysis.

Figure 2: AmBC model
4 Optimization Algorithm and Analysis
In the proposed routing optimization algorithm, the optimization of routing decision parameters needs to involve the comprehensive decision of each parameter to evaluate the optimal next hop node. The optimization algorithm analysis of this section is divided into two parts. the first part is the comprehensive decision-making algorithm for the routing optimization of the VANETs the second part is the energy consumption optimization algorithm of AmBC in the routing transmission environment of the VANETs.
4.1 Routing Decision Optimization Algorithm
The density of vehicles around nodes in the environment determines the degree of traffic congestion, which is an important parameter that seriously affects the transmission efficiency. The density impact assessment formula can be expressed as:
Link time is a parameter comprehensively determined according to vehicle speed, direction of driving, relative distance difference and other factors. It is an important decision-making factor in the routing optimization process. The link time
where
The sum of the above decision parameters and its weight coefficient is the decision value of the routing transmission relay node. The weight value is the normalization coefficient, and the sum result is one. The flow chart of routing optimization decision algorithm is shown in Fig. 3.

Figure 3: Routing optimization algorithm process
In the proposed optimization algorithm, the process of the algorithm was demonstrated and analyzed. The algorithm is divided into two parts: routing optimization and AmBC relay forwarding. The routing optimization algorithm is shown in Algorithm 1. First, collect and update node information, when routing transmission is required, the relative distance value is calculated. These collected parameter values serve as decision-making content for optimizing routing nodes. The link lifetime value is not only one of the comprehensive decision values for routing transmission, also used to measure the relationship between routing transmission time and link lifetime, in order to avoid low transmission efficiency caused by frequent link disconnections. Subsequently, the above decision parameter values are obtained based on node information, and the link life time is used as a transmission time decision factor to select the next hop relay node based on the decision parameter values. When the life time of the link exceeds the transmission time, the previous decision value calculation step are executed to select other candidate nodes.

AmBC relay forwarding process is shown in Algorithm 2. When routing relay forwarding is required, energy collection and forwarding of relay nodes can be achieved by applying AmBC. When the relay is transmitted to the destination node, the node collects information about the routing transmission by AmBC. When the information cannot be successfully transmitted to the destination node, the destination node provides feedback on the routing transmission failure information.

The simulation process application software is MATLAB2020. During the route transmission simulation of the VANETs, the communication range is 150 m, the moving direction of the vehicle node is random, the vehicle speed is 5–40 m/s, the number of vehicle nodes is 20–80, and the simulation protocol is IEEE 802.11p.
As shown in Fig. 4, the proposed routing optimization algorithm is compared with the Greedy perimeter stateless routing (GSPR) routing algorithm and the routing algorithm proposed in reference [5] through simulation experiments. It can be seen that the proposed optimization algorithm can improve the packet delivery rate compared with the other two algorithms, and the improvement is more obvious in the scenario of low vehicle nodes. This is because the proposed algorithm performs more detailed decision analysis on multiple routing decision optimization parameters, so that the negative impact of these factors on packet transmission can be reduced. At the same time, RSU auxiliary transmission also has a more stable network, higher bandwidth and lower delay than vehicle wireless network transmission.

Figure 4: Packet delivery rate under different nodes
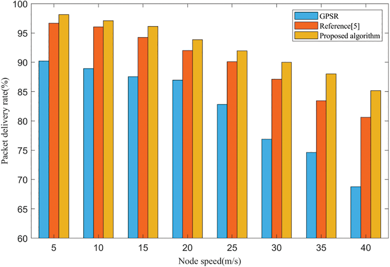
Fig. 5 shows the simulation result of PDR at different driving speeds. As shown in the result, with the continuous improvement of vehicle driving speed, the PDR of the three routing algorithms show a downward trend. The increase of vehicle speed will speed up the change of the topology of the VANETs network, resulting in an increase in the frequency of disconnection, and affecting the efficiency of data packet transmission. As the speed increases, it can be seen that the proposed routing algorithm has a higher PDR than the other two comparison algorithms. This is not only because of the decision optimization of comprehensive parameters, but also because the RSU auxiliary transmission can alleviate the above problems to a certain extent.

Figure 5: Packet delivery rate under different node speed
Fig. 6 describes the throughput of different vehicle nodes. As shown in the Fig. 6, the increase in the number of vehicle nodes can improve the throughput. This is because the increase in vehicle density increases the transmission success rate and throughput. In the case of different number of vehicle nodes, the proposed routing optimization algorithm has higher throughput. When the number of vehicle nodes increases from 50 to 60, the throughput will decrease significantly, because when the vehicle density is too large for the routing transmission system, the operation such as updating and maintaining the vehicle neighbor table will cause a negative impact. Therefore, it can be seen that the more vehicle density is not the better, only in a certain quantity range can better results be achieved.

Figure 6: Throughput under different nodes
Fig. 7 shows the throughput of the routing transmission system at different node speed. It can be seen that, corresponding to the previous simulation results, as the node speed increases, the throughput shows a decreasing trend. When the degree of node speed improvement is less, the impact of speed on throughput is relatively light. When the speed is increased to a higher extent, the decrease in throughput will continue to increase. Excessive node speed leads to a rapid increase in the instability of the routing transmission system, thereby affecting the performance of the entire routing transmission.

Figure 7: Throughput under different node speed
Aiming at the problems of transmission quality, efficiency and energy consumption of VANETs routing, an optimization algorithm for VANETs routing decision is proposed. Compared with the existing algorithms, the comprehensive optimization decision algorithm can improve the routing transmission performance and packet delivery rate. At the same time, the proposed algorithm can also have high transmission performance in the scenarios of few nodes and high speed. AmBC energy consumption optimization algorithm is proposed to reduce energy consumption in the routing transmission environment of the VANETs and improve system energy efficiency. In the following research, reinforcement learning and other technologies are considered to be used in the decision optimization of routing parameters.
Funding Statement: This work was supported in part by the National Natural Science Foundation of China under Grant 62271192, in part by Central Plains Talents Plan under Grant ZYYCYU202012173, in part by the National Key R&D Program of China under Grant 2020YFB2008400, in part by the Program of CEMEE under Grant 2022Z00202B, in part by the LAGEO of Chinese Academy of Sciences under Grant LAGEO-2019-2, in part by the Program for Science and Technology Innovation Talents in the University of Henan Province under Grant 20HASTIT022, in part by the Natural Science Foundation of Henan under Grant 202300410126, in part by the Program for Innovative Research Team in University of Henan Province under Grant 21IRTSTHN015, in part by the Equipment Pre-Research Joint Research Program of Ministry of Education under Grant 8091B032129, in part by the Training Program for Young Scholar of Henan Province for Colleges and Universities under Grant 2020GGJS172, in part by the Program for Science and Technology Innovation Talents in Universities of Henan Province under Grant 22HASTIT020, and in part by the Henan Province Science Fund for Distinguished Young Scholars under Grant 222300420006.
Conflicts of Interest: The authors declare that they have no conflicts of interest to report regarding the present study.
References
1. Chen, C., Li, H., Li, X., Zhang, J., Wei, H. et al. (2021). A geographic routing protocol based on trunk line in VANETs. Digital Communications and Networks, 7(4), 479–491. https://doi.org/10.1016/j.dcan.2021.03.001 [Google Scholar] [CrossRef]
2. Ji, B., Wang, Y., Song, K., Li, C., Wen, H. et al. (2021). A survey of computational intelligence for 6G: Keytechnologies, applications and trends. IEEE Transactions on Industrial Informatics, 17(10), 7145–7154. https://doi.org/10.1109/MNET.012.2000527 [Google Scholar] [CrossRef]
3. Ji, B., Han, Y., Li, P., Mumtaz, S., Song, K. et al. (2021). Research on secure transmission performance of electric vehicles under Nakagami-m channel. IEEE Transactions on Intelligent Transportation Systems, 22(3), 1881–1891. https://doi.org/10.1109/TITS.2020.3030540 [Google Scholar] [CrossRef]
4. Zhao, M., Li, J., Tang, F., Asif, S., Zhu, Y. (2022). Learning based massive data offloading in the IoV: Routing based on Pre-RLGA. IEEE Transactions on Network Science and Engineering, 9(4), 2330–2340. https://doi.org/10.1109/TNSE.2022.3163193 [Google Scholar] [CrossRef]
5. Ji, B., Zhang, M., Xing, L., Li, X., Li, C. et al. (2023). Research on optimal intelligent routing algorithm for IoV with machine learning and smart contract. Digital Communications and Networks, 9(1), 47–55. https://doi.org/10.1016/j.dcan.2022.06.012 [Google Scholar] [CrossRef]
6. Hu, Y., Wang, P., Lin, Z., Ding, M., Liang, Y. (2021). Performance analysis of ambient backscatter systems with LDPC-coded source signals. IEEE Transactions on Vehicular Technology, 70(8), 7870–7884. https://doi.org/10.1109/TVT.2021.3093912 [Google Scholar] [CrossRef]
7. Li, X., Liu, H., Li, G., Liu, Y., Zeng, M. et al. (2022). Effective capacity analysis of AmBC-NOMA communication systems. IEEE Transactions on Vehicular Technology, 71(10), 11257–11261. https://doi.org/10.1109/TVT.2022.3186871 [Google Scholar] [CrossRef]
8. Yang, G., Zhang, Q., Liang, Y. (2018). Cooperative ambient backscatter communications for green Internet-of-Things. IEEE Internet of Things Journal, 5(2), 1116–1130. https://doi.org/10.1109/JIOT.2018.2799848 [Google Scholar] [CrossRef]
9. Ji, B., Chen, Z., Chen, S., Zhou, B., Li, C. et al. (2020). Joint optimization for ambient backscatter communication system with energy harvesting for IoT. Mechanical Systems and Signal Processing, 135, 106412. https://doi.org/10.1016/j.ymssp.2019.106412 [Google Scholar] [CrossRef]
10. Li, X., Zheng, Y., Khan, W. U., Zeng, M., Li, D. et al. (2021). Physical layer security of cognitive ambient backscatter communications for green Internet-of-Things. IEEE Transactions on Green Communications and Networking, 5(3), 1066–1076. https://doi.org/10.1109/TGCN.2021.3062060 [Google Scholar] [CrossRef]
11. Cui, D., Huang, G., Zheng, Y., Guo, H., Li, J. et al. (2022). Performance analysis of ABCom NOMA systems for 6G with generalized hardware impairments. Physical Communication, 54(3), 101851. https://doi.org/10.1016/j.phycom.2022.101851 [Google Scholar] [CrossRef]
12. Chen, C., Liu, L., Qiu, T., Jiang, J., Pei, Q. et al. (2022). Routing with traffic awareness and link preference in Internet of Vehicles. IEEE Transactions on Intelligent Transportation Systems, 23(1), 200–214. https://doi.org/10.1109/TITS.2020.3009455 [Google Scholar] [CrossRef]
13. Khan, M. U., Hosseinzadeh, M., Mosavi, A. (2022). An intersection-based routing scheme using Q-learning in vehicular ad hoc networks for traffic management in the intelligent transportation system. Mathematics, 10(20), 3731. https://doi.org/10.3390/math10203731 [Google Scholar] [CrossRef]
14. Luo, L., Sheng, L., Yu, H., Sun, G. (2022). Intersection-based V2X routing via reinforcement learning in vehicular ad hoc networks. IEEE Transactions on Intelligent Transportation Systems, 23(6), 5446–5459. https://doi.org/10.1109/TITS.2021.3053958 [Google Scholar] [CrossRef]
15. Punia, D., Kumar, R. (2022). A novel extended Kalman filter-based optimized routing approach for IoV environmen. Advances in Engineering Software, 173(1), 103250. https://doi.org/10.1016/j.advengsoft.2022.103250 [Google Scholar] [CrossRef]
16. Sennan, S., Ramasubbareddy, S., Balasubramaniyam, S., Nayyar, A., Kerrache, C. A. et al. (2021). MADCR: Mobility aware dynamic clustering-based routing protocol in Internet of Vehicles. China Communications, 18(7), 69–85. https://doi.org/10.23919/JCC.2021.07.007 [Google Scholar] [CrossRef]
17. Khan, W. U., Javed, M. A., Nguyen, T. N., Khan, S., Elhalawany, B. M. (2022). Energy-efficient resource allocation for 6G backscatter-enabled NOMA IoV networks. IEEE Transactions on Intelligent Transportation Systems, 23(7), 9775–9785. https://doi.org/10.1109/TITS.2021.3110942 [Google Scholar] [CrossRef]
18. Li, M., Yang, X., Khan, F., Jan, M. A., Chen, W. et al. (2022). Improving physical layer security in vehicles and pedestrians networks with ambient backscatter communication. IEEE Transactions on Intelligent Transportation Systems, 23(7), 9380–9390. https://doi.org/10.1109/TITS.2021.3117887 [Google Scholar] [CrossRef]
19. Zhou, Y., Chen, L., Zhao, X., Yang, Z. (2020). An anonymous authentication scheme with controllable linkability for vehicle sensor networks. Computer Modeling in Engineering & Sciences, 125(3), 1101–1118. https://doi.org/10.32604/cmes.2021.013289 [Google Scholar] [CrossRef]
20. Li, X., Zheng, Y., Alshehri, M. D., Hai, L., Balasubramanian, V. et al. (2021). Cognitive AmBC-NOMA IoV-MTS networks with IQI: Reliability and security analysis. IEEE Transactions on Intelligent Transportation Systems, 11, 1–12. https://doi.org/10.1109/TITS.2021.3113995 [Google Scholar] [CrossRef]
21. Ji, B., Li, Y., Cao, D., Li, C., Mumtaz, S. et al. (2022). Secrecy performance analysis of UAV assisted relaytransmission for cognitive network with energy harvesting. IEEE Transactions on Vehicular Technology, 69(7), 7404–7415. https://doi.org/10.1109/TVT.2020.2989297 [Google Scholar] [CrossRef]
Cite This Article
Copyright © 2023 The Author(s). Published by Tech Science Press.This work is licensed under a Creative Commons Attribution 4.0 International License , which permits unrestricted use, distribution, and reproduction in any medium, provided the original work is properly cited.


Submit a Paper
Propose a Special lssue
View Full Text
Download PDF
Downloads
Citation Tools