Open Access
ARTICLE
Photovoltaic Parameter Estimation Using a Parallelized Triangulation Topology Aggregation Optimization with Real-World Dataset Validation
1 Faculty of Engineering, Technology and Built Environment, UCSI University, Kuala Lumpur, 56000, Malaysia
2 School of Electrical and Electronic Engineering, Engineering Campus, Universiti Sains Malaysia, Nibong Tebal, 14300, Malaysia
3 Department of Industrial Engineering and Enterprise Information, Tunghai University, Taichung, 407224, Taiwan
4 School of Accounting, University of Economics Ho Chi Minh City, Ho Chi Minh City, 700000, Vietnam
* Corresponding Authors: Rodney H. G. Tan. Email: ; Wei Hong Lim. Email:
Computer Modeling in Engineering & Sciences 2026, 146(2), 24 https://doi.org/10.32604/cmes.2025.073821
Received 26 September 2025; Accepted 26 November 2025; Issue published 26 February 2026
Abstract
Accurate estimation of photovoltaic (PV) parameters is essential for optimizing solar module performance and enhancing resource efficiency in renewable energy systems. This study presents a process innovation by introducing, for the first time, the Triangulation Topology Aggregation Optimizer (TTAO) integrated with parallel computing to address PV parameter estimation challenges. The effectiveness and robustness of TTAO are rigorously evaluated using two standard benchmark datasets (KC200GT and R.T.C. France solar cells) and a real-world dataset (Poly70W solar module) under single-, double-, and triple-diode configurations. Results show that TTAO consistently achieves superior accuracy by producing the lowest RMSE values and faster convergence compared to state-of-the-art metaheuristic algorithms. In addition, the integration of parallel computing significantly enhances computational efficiency, reducing execution time by up to 85% without compromising accuracy. Validation using real-world data further demonstrates TTAO’s adaptability and practical relevance in renewable energy systems, effectively bridging the gap between theoretical modeling and real-world implementation for PV system monitoring and optimization, contributing to climate mitigation through improved solar energy performance.Keywords
The growing demand for renewable energy to mitigate environmental challenges and promote sustainable energy solutions has driven extensive research in photovoltaic (PV) technology. PV systems offer numerous benefits, including zero greenhouse gas emissions, long-term sustainability, and reduced reliance on fossil fuels, positioning them as a key pillar in the global transition toward clean energy [1]. By directly converting sunlight into electricity through the photovoltaic effect, PV technology has proven highly versatile, enabling applications from small-scale residential installations to large-scale industrial power plants [2]. Moreover, advances in grid integration and energy storage technologies have significantly improved PV system reliability, energy management efficiency and grid stability.
Despite these advantages, enhancing PV efficiency remains challenging. PV system performance is greatly influenced by external factors, such as solar irradiance fluctuations, temperature variations, and shading effects, directly affecting energy conversion efficiency. Accurate estimation of PV parameters is thus crucial for reliable system modeling and optimization. Traditional analytical and numerical methods, however, often struggle with the inherent nonlinearity and complexity of PV models, leading to reduced accuracy and increased computational difficulty, particularly under varying environmental conditions [3]. Consequently, researchers have increasingly adopted data-driven approaches, including metaheuristic search algorithms (MSAs), artificial intelligence, and machine learning, to tackle these limitations. Such advanced techniques can efficiently handle nonlinear problems, improving PV system accuracy, reliability, and cost-effectiveness. Nevertheless, successful implementation of these approaches requires a deep understanding of PV electrical characteristics, specifically the current-voltage (I-V) curve.
The I-V curve plays a fundamental role in PV system analysis, as it defines the relationship between output current and voltage under diverse operating conditions. Key parameters, including open-circuit voltage
The SDM, known for its simplicity and computational efficiency, consists of five parameters, i.e., photocurrent
The generalized equivalent circuit of these diode-based PV models is illustrated in Fig. 1. and the unified mathematical expression integrating SDM, DDM, and TDM is defined as:

Figure 1: Generalized equivalent circuit representation of PV cell models
In Eq. (1),
Accurate parameter estimation is crucial these parameters directly influence PV system efficiency by governing charge carrier transport, resistive losses, and recombination processes. However, manufacturers typically provide only basic electrical specifications, such as open-circuit voltage (
Metaheuristic search algorithms (MSAs) have been extensively applied to a wide range of real-world optimization problems due to their flexibility, adaptability, and strong global search capabilities. They have achieved notable success across domains such as antenna array design [9], industrial control optimization [10], robotic path planning [11], robust controller design [12], intelligent fault diagnosis [13], and other challenging global optimization problems [14]. Given their robustness and superior global exploration capabilities [15], MSAs are broadly classified into four major categories, namely: (a) evolutionary algorithms, inspired by natural selection and genetic inheritance; (b) swarm intelligence algorithms, modeled after the collective behaviors of biological populations such as flocking and foraging; (c) human-based algorithms, mimicking cognitive and behavioral learning processes; and (d) physics-based algorithms, which derive their inspiration from fundamental physical and mathematical principles such as gravity, motion, and energy transfer.
Recently, the implications of the No-Free-Lunch (NFL) theorem, stating that no single algorithm can universally excel, have motivated researchers to develop novel MSAs, often inspired by unique natural or physical phenomena. While many of these emerging MSAs demonstrate promising theoretical foundations, their evaluation is often limited to simple mathematical benchmarks that fails to reflect the complexities of real-world optimization problems [16]. Although such benchmarks can highlight the potential of newly developed algorithms, they provide limited insight into practical effectiveness. In many studies, algorithm validation remains confined to standardized test suites, making it unclear whether these novel MSAs offer significant advantages over conventional methods or are genuinely suitable for solving real-world optimization problems with complex fitness landscapes. Addressing this gap requires rigorous experimentation on representative real-world problems, where factors such as solution quality, computational cost, and robustness are critical. One particularly demanding real-world application is PV parameter estimation, due to the complex, nonlinear nature of PV models and their sensitivity to environmental fluctuations.
The recently proposed Triangulation Topology Aggregation Optimizer (TTAO) by Zhao et al. [17] exemplifies a novel physics-based metaheuristic algorithm that warrants deeper investigation. Inspired by geometric properties of triangular topology and the principle of triangular similarity, TTAO utilizes variable-sized triangular topological units to guide its search process dynamically. It incorporates two primary aggregation strategies: generic aggregation, which enhances global exploration, and local aggregation, which refines the search process through intensified local exploitation. This dynamic information exchange mechanism between search agents improves convergence speed and optimization accuracy, making TTAO a promising candidate for solving complex optimization problems. Since its inception, TTAO has shown strong theoretical foundations and promising results in several engineering domains, including transmission expansion planning [18] and controller design [19]. However, the applicability and robustness of TTAO for PV parameter estimation remain unexplored.
Beyond the lack of prior applications of TTAO in PV parameter estimation, another two major research gaps persist in current MSA-based PV parameter estimation studies. First, most existing studies [20–24] rely on publicly available benchmark datasets, which often fail to capture real-world complexities such as temperature variations, irradiance fluctuations, degradation effects, and partial shading. While these datasets provide a standardized platform for algorithm comparison, they do not fully represent practical operating conditions, thereby limiting the generalizability and robustness of the extracted parameters when applied to real-world PV systems [8]. To ensure greater accuracy and practical relevance, it is essential to evaluate MSAs using real-world datasets that account for environmental variability and operational uncertainties [25]. Second, most existing studies [26–30] apply MSAs to PV parameter estimation without leveraging parallel computing, despite its potential to significantly improve optimization efficiency. MSAs typically require multiple iterations and population-based search strategies, making them inherently computationally expensive, particularly for high-dimensional PV models such as the TDM. Without parallel processing, these MSAs often suffer from prolonged execution times, rendering them impractical for large-scale applications. Parallel computing techniques allow computational tasks to be distributed across multiple processors, thereby accelerating convergence while maintaining solution accuracy. However, studies that integrate parallel computing with MSAs for PV parameter estimation remain scarce, representing a critical gap in the current research landscape.
This study aims to bridge these research gaps by introducing a comprehensive evaluation of TTAO for PV parameter estimation, leveraging parallel computing and incorporating real-world PV datasets. The key contributions of this study are as follows:
• While most novel MSAs are validated exclusively on mathematical benchmark functions, offering limited insight to their real-world effectiveness, this study represents the first attempt, to be best of the author’s knowledge, to evaluate TTAO in the context of PV parameter estimation. This study aims to assess its performance, robustness, and computational efficiency in extracting accurate PV parameters under varying conditions.
• Existing research on MSAs for PV estimation neglects parallel computing, despite its potential to significantly accelerate convergence speed and improve computational efficiency. In this study, TTAO is coupled with a parallel computing framework, enabling faster optimization while preserving solution accuracy. This enhancement makes TTAO a more scalable and practical solution for large-scale PV applications.
• Most studies on PV parameter estimation rely on public benchmark datasets, which fail to capture real-world operational complexities, such as temperature fluctuations, aging effects, shading and irradiance variability. This study incorporates a real-world PV dataset, ensuring that the extracted parameters reflect practical operating conditions, thereby improving PV model reliability and system optimization.
• Extensive simulation studies are conducted to evaluate TTAO, integrated with parallel computing, against state-of-the-art MSAs in solving PV parameter estimation problems using both benchmark and real-world PV datasets. The evaluation is performed using SDM, DDM and TDM configurations. Results confirm that TTAO outperforms other MSAs in terms of solution accuracy and convergence speed, demonstrating its superiority in tackling complex PV parameter estimation problems.
The remainder of this paper is structured as follows. Section 2 presents the literature review, including the problem formulation of PV parameter estimation under the SDM, DDM, and TDM configurations, as well as a review of existing MSAs applied to PV parameter estimation. Section 3 details the proposed methodology, focusing on the search mechanism of TTAO and its integration with a parallel computing framework to enhance computational efficiency. Section 4 provides extensive simulation analyses to evaluate the performance of TTAO in solving PV parameter estimation problems using benchmark and real-world PV datasets under SDM, DDM, and TDM configurations. Finally, Section 5 presents the conclusions and key findings of this study.
2.1 Objective Function for PV Parameter Estimation
To accurately simulate the PV cell behavior using the mathematical models described in Eq. (1), precise estimation of the model parameters is essential. As discussed in Section 1, the diode parameters (i.e.,
To quantify this discrepancy, an appropriate objective function must be carefully chosen. In this study, the Root Mean Square Error (RMSE) is selected as the objective function
where N is the total number of measured data points,
The objective of PV parameter estimation is thus to identify the optimal values of X that minimize RMSE, resulting in the best-fit approximation of the measured I-V characteristics. Accurate parameter estimation using the RMSE criterion allows PV models, whether SDM, DDM or TDM, to capture PV cell and module behaviors under realistic conditions, such as variables irradiance and temperature, partial shading, and degradation effects [33]. Although alternative formulations like Total Least Squares (TLS) exist, RMSE-based objective functions remain the most prevalent and computationally efficient approach for PV parameter extraction, as they provide stable and interpretable performance metrics without introducing additional model complexity.
2.2 Applications of Various MSAs for PV Parameter Estimation
MSAs have gained considerable attention in PV parameter estimation due to their effectiveness in addressing complex optimization problems inherent in solar PV systems. Recent applications involving various original and modified MSAs have successfully overcome challenges posed by nonlinear I-V characteristics and varying environmental conditions. These advanced optimization methods demonstrate superior performance in accurately determining critical PV parameters, resulting in improved efficiency, robustness, and practical applicability of PV systems.
Elazab et al. [34] proposed an innovative application of the Whale Optimization Algorithm (WOA) for parameter estimation of PV models, addressing the SDM, DDM, and TDM configurations. In contrast to conventional methods that often rely on parameter simplifications, the WOA was applied without approximations, directly minimizing the RMSE between estimated and experimental current values across a range of voltages. This approach was validated using experimental data from the Kyocera KC200GT polycrystalline PV module under standard test conditions (STC) and varying environmental scenarios. The WOA demonstrated outstanding performance, achieving exceptionally low RMSE values of 1.93E−08 (SDM), 2.75E−08 (DDM), and 9.85E−08 (TDM). It outperformed traditional metaheuristics, including Genetic Algorithm (GA), Particle Swarm Optimization (PSO), and Simulated Annealing (SA), in terms of convergence speed, computational simplicity, and current prediction accuracy. Notably, the maximum power point error for TDM was exceptionally low (0.08%), outperforming both DDM (0.3%) and SDM (1.6%). Similarly, Xiong et al. [22] proposed an Improved Whale Optimization Algorithm (IWOA) to overcome the premature convergence issues inherent in the original WOA. By integrating two novel prey-searching strategies to enhance the balance between global exploration and local exploitation, IWOA achieved improved accuracy, robustness, and faster convergence. The IWOA was validated on standard PV models (SDM, DDM, and module models) and real-world data from a PV power station operated by Guizhou Power Grid, China. IWOA consistently outperformed WOA and its advanced variants, yielding lower RMSE values of 9.8602E−04 for SDM, 9.8255E−04 for DDM, and 2.4251E−03 for the module model.
Qais et al. [35] introduced the Transient Search Optimization (TSO), i.e., a novel MSA inspired by the transient responses of inductive and capacitive electrical circuits, for accurate estimation of PV module parameters directly from manufacturer datasheet. By incorporating oscillation-based and exponential decay functions, TSO achieved a balanced trade-off between exploration and exploitation. The algorithm effectively handled the complexity of the TDM, which involves nine unknown parameters. When benchmarked against the Grey Wolf Optimizer (GWO), Whale Optimization Algorithm (WOA), and Sunflower Optimization (SFO) on commercial PV modules (i.e., Kyocera KC200GT, Solarex MSX-60, and Canadian Solar CS6K-280M), TSO demonstrated superior convergence behavior, lower objective function values, and high fidelity in replicating experimental I–V and P–V characteristics across diverse environmental conditions. In related work, Bayoumi et al. [36] proposed a Modified Three-Diode Model (MTDM) as an enhancement of the previously established Modified Double-Diode Model (MDDM), aiming to improve accuracy in modeling multi-crystalline silicon solar cells (MCSSCs). The key advancement in MTDM was the incorporation of a third diode to explicitly capture recombination losses at defect sites, grain boundaries, and leakage paths. For parameter estimation, two MSAs were employed, i.e., Closed-Loop Particle Swarm Optimization (CLPSO) and Elephant Herd Optimization (EHO), with the latter featuring clan-based updating and separation strategies to enhance exploration and exploitation. Experimental validation using data from Q6-1380 MCSSCs, CS6P-240P solar modules, and R.T.C. France solar cells under diverse irradiance and temperature conditions showed that MTDM significantly outperformed MDDM in terms of parameter accuracy and solution quality. Among the tested MSAs, EHO demonstrated superior convergence behavior and achieved notably low RMSE values, recording an RMSE of 1.823E−05 for the Q6-1380 cell under low-illumination condition.
Furthermore, Ellithy et al. [23] proposed a hybrid Particle Swarm and Grey Wolf Optimization (PSOGWO) algorithm tailored for accurate parameter estimation in PV modules using the TDM. This hybrid approach leverages the global exploration strength of PSO and the exploitation capability of GWO. This approach was evaluated on two commercial PV modules, i.e., Kyocera KC200GT and Canadian Solar CS6K-280M, using manufacturer datasheet values under STC and experimental measurements conducted in Egypt. PSOGWO outperformed traditional MSAs such as GA, WOA, and Sunflower Optimization (SFO), achieving remarkably low RMSE values of 3.14E−10 for KC200GT and 1.59E−10 for CS6K-280M, along with absolute current errors of just 0.08% and 0.07%, respectively. In another study, Alam et al. [21] introduced the Flower Pollination Algorithm (FPA) for estimating PV parameters using SDM and DDM configurations. Inspired by the natural pollination behavior of flowering plants, the FPA was modified to enhance convergence speed and estimation accuracy by incorporating Levy flight-based search steps to balance global exploration and local exploitation. The algorithm was validated using three distinct datasets, i.e., experimental results from the literature, laboratory measurements, and datasheet values for various PV technologies including multicrystalline (KC200GT), monocrystalline (SM55), and thin-film (ST40) modules. Using RMSE as the objective function, the FPA achieved an error as low as 7.73E−04 and outperformed GA, PSO, and Differential Evolution (DE) in terms of convergence speed and reliability, particularly under challenging environmental conditions such as low irradiance. Expanding on hybrid strategies, Premkumar et al. [24] developed an enhanced Gradient-Based Optimizer (GBO) known as the Criss-Cross-based Nelder–Mead simplex Gradient-Based Optimizer (CCNMGBO) for PV parameter estimation. This hybrid combines the Criss-Cross (CC) algorithm, which promotes population diversity and prevents premature convergence, with the Nelder–Mead simplex (NMs) method to enhance local search and accelerate convergence. The CCNMGBO was tested on SDM, DDM, and TDM configurations using experimental datasets from the R.T.C. France solar cells and the PhotoWatt-PWP201 module under varying temperature and irradiance levels. RMSE was used to assess the accuracy between simulated and experimentally measured I–V characteristics. Results showed that CCNMGBO consistently outperformed other leading algorithms including the original GBO, GWO, WOA, Harris Hawks Optimizer (HHO), Sine Cosine Algorithm (SCA), and Equilibrium Optimizer (EO). It achieved the lowest RMSE values of 9.8602E−04 (SDM), 9.8252E−04 (DDM), and 9.823E−04 (TDM), and was ranked first based on Friedman’s statistical test.
Lo et al. [37] introduced an innovative method for PV parameter estimation by integrating an Artificial Neural Network (ANN) with a Numerical Current Predictor (NCP) layer. The proposed ANN-NCP algorithm augments the traditional ANN structure by embedding a numerical prediction layer, which iteratively refines the ANN’s output through numerical current adjustments. This hybrid approach leverages V–I data obtained from perturbation tests on PV panels, with additional training datasets generated via simulation using diverse parameter configurations. The single-diode PV model was employed, and the sum of squared errors between predicted and measured currents served as the objective function. Experimental validation using an 80 W Sungen SG-NH80-GG amorphous silicon (a-Si) PV panel under varying temperatures demonstrated that ANN-NCP achieved an average parameter estimation error of approximately 6%, outperforming conventional ANN models lacking the NCP layer. Building on this work, Lo et al. [38] proposed a hybrid ANN-PSO method for enhanced PV parameter estimation. In this approach, a Model Parameter Range Classifier (MPRC), based on ANN, was introduced to improve particle initialization in PSO by predicting realistic parameter ranges using dynamic I–V datasets. The training data included both experimental measurements from the same 80 W a-Si PV panel and simulated datasets under diverse environmental conditions. The RMSE between predicted and actual current values was used as the objective function, with SDM as the basis for estimation. Results demonstrated that ANN-PSO significantly reduced the average estimation error to 3.3%, outperforming traditional ANN (6.7%), ANN-NCP (6.15%), and classical PSO (14.9%).
Kumari et al. [20] proposed the Electric Eel Foraging Optimization (EEFO) algorithm for PV parameter estimation, inspired by the coordinated hunting behavior of electric eels. To enhance solution precision for the nonlinear equations involved in PV modeling, the EEFO algorithm was integrated with the Newton–Raphson method. The study focused on the SDM, employing experimental PV data and using the RMSE between measured and calculated currents as the objective function. Results demonstrated that EEFO outperformed conventional algorithms, including PSO, GWO, and Improved GWO (IGWO), achieving the lowest RMSE of 7.7425E−04. In a related advancement, Chen et al. [39] proposed the Improved Simultaneous Heat Transfer Search (ISHTS) algorithm for accurate parameter estimation across multiple PV models. Two key enhancements were introduced to the original HTS algorithm, i.e., (a) a simultaneous heat transfer strategy that concurrently executes radiation search phases to strengthen global exploration, and (b) an elitist perturbation strategy with adaptive amplitude control to improve local exploitation. ISHTS was validated on four PV models (i.e., SDM, DDM, TDM, and a commercial module) using datasets from the RTC France solar cell and the Photowatt-PWP201 polycrystalline module. RMSE between measured and simulated currents served as the optimization objective. The EEFO achieved exceptionally low RMSE values, i.e., 9.8602E−04 for SDM, 9.8248E−04 for both DDM and TDM, and 2.4251E−03 for the practical module. Moreover, ISHTS demonstrated very low standard deviation across multiple runs, consistently outperforming other MSAs such as Artificial Bee Colony (ABC), Teaching–Learning-Based Optimization (TLBO), Differential Evolution/Biogeography-Based Optimization (DE/BBO), and the original HTS algorithm.
Sharma et al. [40] introduced a novel MSA called TLBO with Unique Exemplar Generation Scheme (TLBO-UEGS) tailored for PV module parameters estimation. This enhanced variant of original TLBO incorporates several key improvements. A modified initialization scheme using multiple chaotic maps and oppositional-based learning increases population diversity, while adaptive learning strategies guided by fitness values strengthen the balance between exploration and exploitation. The algorithm further features a unique exemplar generation mechanism in the teacher phase and collaborative learning in the learner phase. The TLBO-UEGS algorithm was evaluated using SDM with experimental data from three distinct PV modules, i.e., Photowatt-PWP201 (polycrystalline), Leibold Solar LSM20 (monocrystalline), and Leybold Solar STE4/100 (polycrystalline). RMSE between actual and estimated I–V characteristics was employed as the objective function. TLBO-UEGS achieved highly competitive results, yielding RMSE values of 3.5644E−04, 1.3237E−04, and 6.6016E−06 for the respective modules, outperforming other contemporary MSAs. In a broader comparative analysis, Sharma et al. [41] evaluated eight state-of-the-art MSAs for PV parameter extraction, i.e., Spotted Hyena Optimizer (SHO), Sooty Tern Optimization (STO), Aquila Optimization (AO), Harris Hawks Optimization (HHO), Wild Horse Optimization (WHO), Arithmetic Optimization Algorithm (AOA), Atom Search Optimization (ASO), and Coot Bird Optimization (CBO). This study used the SDM to analyze performance on four PV models, i.e., R.T.C. France solar cell, LSM20 (monocrystalline), Solarex MSX-60 (polycrystalline), and SS2018P (polycrystalline), spanning various technologies and environmental conditions. Among the evaluated MSAs, CBO demonstrated the highest accuracy for the R.T.C. France and LSM20 modules, achieving RMSE values of 1.0264E−05 and 1.8694E−03, respectively. WHO performed best for the Solarex MSX-60 and SS2018P modules, with corresponding RMSEs of 2.6961E−03 and 4.7571E−05.
Building upon earlier work, Sharma et al. [42] introduced the Tunicate Swarm Algorithm (TSA), a novel MSA inspired by the swarming and jet-propulsion behavior of tunicates, for PV parameter estimation. TSA was specifically designed to maintain a strong balance between exploration and exploitation without relying on hybridization strategies. It was applied to the SDM using experimental I–V data from the Photowatt PWP201 module under standard test conditions. The RMSE was employed as the primary objective function, complemented by metrics such as internal absolute error (IAE), relative error (RE), convergence speed, and statistical indicators. TSA achieved an RMSE of 5.06E−04, outperforming several well-known MSAs, including the Gravitational Search Algorithm (GSA), Particle Swarm–Gravitational Search (PSOGSA), SCA, and WOA. Expanding on this work, Sharma et al. [43] introduced the Opposition-Based Tunicate Swarm Algorithm (OTSA), which integrates an opposition-based learning (OBL) mechanism to further enhance global search efficiency. OTSA was validated using the SDM on three PV modules, i.e., Solarex MSX-60, SS2018P (polycrystalline), and LSM20 (monocrystalline), under varying irradiance conditions. RMSE, Sum of Absolute Error (SAE), and Mean Absolute Error (MAE) were employed as objective functions. OTSA achieved superior performance, with RMSE values of 2.057E−04, 6.83E−04, and 4.48E−06 for the respective modules. It reduced objective costs by up to 99.80% compared to TSA and consistently outperformed benchmark MSAs such as WOA, GWO, SCA, ALO, and PSOGSA.
Further advancements were introduced by Farayola et al. [44], who developed the Improved Jellyfish Search Optimization (IJSO) algorithm for PV parameter estimation and Global Maximum Power Point Tracking (GMPPT). The IJSO enhances the original JSO by incorporating Lévy flight dynamics from the Cuckoo Search algorithm to better balance global exploration and local exploitation, thereby mitigating premature convergence. The IJSO was validated across multiple PV configurations (i.e., SDM, DDM and TDM) using experimental data from standard PV modules under diverse environmental conditions. IJSO demonstrated superior convergence speed, robustness, and accuracy compared to HHO, Mayfly Optimization (MO), and Flying Squirrel Search Optimization (FSSO), achieving RMSE values of 9.853E−04 for the R.T.C. France solar cell and 1.450E−04 for the PV module. It also exhibited reliable GMPPT performance under partial shading conditions. Similarly, Izci et al. [45] introduced the Enhanced Prairie Dog Optimization (En-PDO) algorithm for efficient PV parameter extraction. The En-PDO significantly improves the original PDO by integrating two advanced mechanisms: random learning (RL) and logarithmic spiral search (LSS). These enhancements improve both exploration and exploitation capabilities while addressing issues such as premature convergence and limited population diversity. En-PDO was rigorously tested across various PV models, including SDM, DDM, TDM and practical PV modules, using experimental datasets from R.T.C. France solar cells and Photowatt-PWP201 modules. This optimization process employed RMSE as the objective function to quantify the discrepancy between estimated and measured I-V data. Results revealed that En-PDO consistently outperformed the original PDO and other state-of-the-art MSAs, achieving remarkably low RMSE values of 7.7299E−04 (SDM), 7.4248E−04 (DDM), 7.3832E−04 (TDM), and 2.0528E−03 for the PV module. Singh et al. [46] introduced the STO algorithm for PV parameter estimation. Inspired by the migratory and predatory behaviors of sooty terns, STO employs bio-inspired mechanisms that effectively balance exploration and exploitation. The study adopted SDM involving five unknown parameters, which were optimized using STO. Two experimental datasets were used, i.e., the R.T.C. France solar cell and the SS2018P polycrystalline PV module, both under standard test conditions. RMSE between simulated and measured I–V data served as the objective function. STO demonstrated strong performance, achieving notably lower RMSE values (i.e., 8.61E−04 for R.T.C. France and 6.19E−05 for SS2018P), outperforming established MSAs such as GSA, SCA, GWO, and WOA.
NoorMohammed Bakhit et al. [47] introduced the AOA with Modified Initialization Scheme (AOA-MIS) to enhance PV parameter estimation. This improved version of the original AOA integrates chaotic maps and dynamic oppositional learning (DOL) to generate a more diverse and high-quality initial population, reducing the risk of premature convergence. AOA-MIS was evaluated on the R.T.C. France solar cell using both SDM and DDM, with RMSE as the objective metric. Results showed substantial improvements over the original AOA, i.e., for SDM, RMSE decreased from 5.3572E−03 to 3.2507E−03, and for DDM, from 1.4479E−01 to 1.7050E−01. Statistical analyses further confirmed AOA-MIS’s superiority, with consistently lower mean RMSE and standard deviation across multiple runs.
Sharma et al. [48] introduced an enhanced Moth Flame Optimization (MFO) algorithm known as OBLVMFO for accurate PV parameter extraction. Key enhancements include the incorporation of OBL for improving population initialization and Levy Flight Distribution for avoiding local optima. The OBLVMFO was tested on the SDM using both standard and experimental datasets from STE 4/100 (polycrystalline), LSM 20 (monocrystalline), and SS2018P (polycrystalline) modules. RMSE was used as the objective function. OBLVMFO significantly outperformed the original MFO and other MSAs such as Ant Lion Optimizer (ALO), SCA, Modified Randomized Firefly Optimization (MRFO), and WOA, achieving RMSE values of 6.060E−04, 1.3600E−05, and 7.0001E−06 for the three modules, respectively. Furthermore, it reduced convergence time by 61% and decreased the objective cost by 34.34%, 85.82%, and 28.95% for the respective modules.
3.1 Overview of Proposed Methodology
This study proposes the TTAO as an efficient and robust approach for accurately estimating PV cell parameters. TTAO operates through two main optimization phases, i.e., a Generic Aggregation (Exploration) phase that systematically explores diverse regions of the parameter search space, and a Local Aggregation (Exploitation) phase that refines promising solutions for precise convergence. By effectively balancing exploration and exploitation, TTAO optimizes critical PV parameters, including photocurrent
To address the high computational demands associated with complex and high-dimensional models such as the TDM, TTAO is integrated with a parallel computing framework. This integration significantly enhances computational efficiency by concurrently evaluating multiple candidate solutions, thereby accelerating convergence and improving scalability for large-scale PV applications. In addition to commonly used benchmark datasets for algorithm validation, this study also incorporates a real-world PV dataset collected under varying irradiance and temperature conditions. Incorporating real measurement data allows for a more rigorous evaluation of TTAO’s robustness, adaptability, and resilience to experimental noise and system anomalies, further reinforcing its practicality and real-world applicability.
Importantly, the proposed TTAO framework is not restricted to specific datasets or model types. It can be seamlessly applied to any new or modified equivalent-circuit PV model, provided that complete I-V measurement data are available. This flexibility ensures that TTAO can adapt to emerging PV technologies, novel circuit topologies, or hybrid models without modification to its underlying structure or search strategy. Such scalability makes TTAO a strong candidate for future extensions toward advanced PV modeling frameworks, including dynamic degradation models or hybrid electro-thermal configurations.
As illustrated in Fig. 2, the workflow begins with importing measured I-V data from benchmark or real-world PV modules. The user specifies the desired model type (e.g., SDM, DDM, or TDM) and defines parameter bounds prior to initialization. The proposed algorithm then initializes a triangular population structure and executes the two main optimization phases, i.e., Generic Aggregation for global search and Local Aggregation for local refinement. Implemented within a multi-core parallel environment, these operations enable simultaneous fitness evaluations of multiple triangular units, substantially reducing runtime. The fitness of each candidate is computed using the RMSE between measured and modeled currents, ensuring accurate and stable parameter estimation. Finally, the optimized parameters are validated through a comparison between simulated and experimental I-V and P-V characteristics, confirming the algorithm’s accuracy, efficiency, and adaptability across both benchmark and real-world PV datasets. The detailed mathematical formulations and search mechanisms of TTAO are elaborated in the subsequent subsections.

Figure 2: Proposed framework of TTAO-based PV parameter estimation integrated with parallel computing and validated using benchmark and real-world PV datasets
3.2 Descriptions of PV Datasets
To ensure a comprehensive evaluation of PV parameter estimation across different PV models, diverse PV technologies and configurations are employed in this study. Both publicly available benchmark datasets and a newly collected real-word datasets are utilized, allowing a rigorous assessment of the proposed optimization methodology under various environmental and practical conditions.
First, the KC200GT 200W Multi-crystalline Solar Panel manufactured by Kyocera, obtained from the IEEE Data Port [49], is selected as a benchmark dataset. This module is widely recognized for its reliable performance and has frequently been utilized in parameter extraction studies, making it suitable reference for comparative analyses. Additionally, the R.T.C France poly-crystalline solar cell dataset [41], widely adopted in PV parameter estimation research, is included to provide further benchmarking under well-established test conditions. To complement these benchmark datasets and ensure practical relevance, this study employs an experimentally collected dataset from a real-world Poly-crystalline 70 W solar module, measured using the PROVA 1011 PV Solar System Analyzer. This dataset incorporates measures under diverse irradiance and temperature scenarios, providing realistic validation and insight into practical operational behaviors of PV systems.
The combination of benchmark and real-world PV datasets ensure rigorous validation of TTAO’s effectiveness, robustness, and adaptability across different module technologies and realistic operational conditions. Table 1 summarizes the technical characteristics of each dataset used in this study.

This study proposes the employment of TTAO integrated with a parallel computing framework to addresses PV parameter estimation problems by systematically searching for optimal diode parameters, as previously defined in Eq. (3), with the primary objective of minimizing the RMSE fitness function in Eq. (2). The search strategy of TTAO leverages the inherent characteristics of triangular topology, i.e., a fundamental and robust geometric structure frequently employed in mathematical and engineering, due to its simplicity and stability. As the simplest polygonal shape capable of maintaining rigidity, triangles provide a reliable foundation in planar geometry and serve as essential building blocks in both theoretical and applied domains, including image process, structural engineering, computational geometry and etc.
Central to the TTAO search strategy is the principle of triangular similarity, an essential concept from Euclidean geometry. Triangular similarity ensures that corresponding sides and angles of two triangles remain proportional, preserving their geometric properties regardless of scaling or orientation. The concept of triangular similarity is governed by several well-established geometric theorems, summarized as follows [17]:
Theorem 1: A triangle formed by drawing a line parallel to one side of a given triangle, intersecting extensions of the remaining sides, is similar to the original triangle.
Theorem 2: Two triangles are similar if their corresponding sides are proportional, and their corresponding angles are congruent.
Theorem 3: Two triangles are similar if the ratios of corresponding sides are equal.
Theorem 4: Triangles possessing identical sets of corresponding angles are similar.
Guided by these geometric theorems, TTAO iteratively generates triangular units within the solution search space, each containing three external vertices and one randomly position internal vertex. Acting as evolutionary search agents, these triangular units dynamically explore the solution landscape by systematically adjusting their sizes and positions. To further enhance search efficiency, TTAO incorporates an innovative aggregation strategy to facilitate effective information exchange both within and across triangular units. Such aggregation significantly improves the convergence characteristics by maintaining a balanced interaction between global exploration and local exploitation. Additionally, geometric consistency is ensured by designing all triangular units within TTAO as equilateral triangles, in accordance with the similarity theorems previously described. Consequently, the iterative optimization in TTAO comprises two complementary phases: aggregation across triangular units (exploration), enabling a broad global search, and aggregation within triangular units (exploitation), providing precise refinement of promising solutions. The detailed mechanisms of these aggregation strategies, as well as the exploration and exploitation processes within TTAO, are presented comprehensively in subsequent sections.
3.3.2 Initialization of TTAO Population
The optimization procedure in TTAO begins by generating an initial population comprising diverse candidate solutions that are randomly distributed throughout the defined solution search space. This initial population diversity plays a critical role in promoting comprehensive exploration and mitigating premature convergence toward local optima.
In this context, let NP represents the total population size, and D denotes the dimensionality of the PV parameter estimation problem. Each candidate solution (or search agent) within TTAO is represented as a solution vector encoding the PV parameters to be optimized. Specifically, the dimension D depends on the diode model employed, i.e.,
Each initial candidate solution
where
3.3.3 Formation of Triangular Topological Units in TTAO
TTAO address complex multi-dimensional optimization problems by constructing equilateral triangular units within two-dimensional projection of the higher-dimensional search space. These triangular topological units are formulated using transformations between polar and Cartesian coordinates to systematically position vertices.
For each n-th triangular topological unit, a direction vector denoted by
The third vertex
The length of each triangle’s edge l dynamically adapts throughout the optimization process according to an exponentially decaying function, defined as:
where t and
The directional vectors
where
Additionally, each n-th triangular unit incorporates a fourth vertex
where
In every t-th iteration, each n-th triangular topological unit is reconstructed using dynamic edge lengths l, facilitating continuous exploration and refinement of the solution space. Within each triangular topological unit, the vertex demonstrating the best fitness value is designated as the lead vertex to guide the optimization search of the remaining vertices. The detailed mechanism of guiding information exchange among vertices within and across triangular topological units, namely generic aggregation (exploration phase) and local aggregation (exploitation phase), are elaborated in the subsequent sections.
3.3.4 Generic Aggregation: Exploration Phase of TTAO
The generic aggregation mechanism of TTAO promotes global exploration by facilitating effective information exchange between high-quality vertices from different triangular topological units. This approach draws conceptual inspiration from the crossover operator in Genetic Algorithm, where offspring solutions are generated by combining genetic traits from two distinct parent solutions. Through this process, TTAO maintains a high degree of population diversity and continuously explores multiple regions of the search space.
In each t-th iteration, the TTAO identifies the vertex (search agent) with the best fitness within each n-th triangular topological unit, denoted as
where
The fitness value of the newly generated vertex,
This competitive update rule ensures that only fitter vertices are retained while preserving diversity within each triangular topological unit. Through continuous cross-unit information exchange, the generic aggregation phase establishes a dynamic balance between exploration and exploitation, where superior solutions guide the search toward promising regions while random interactions maintain global diversity.
Importantly, this distributed and partially independent triangular topology naturally mitigates premature convergence, as each subpopulation continues exploring distinct regions of the high-dimensional PV parameter space. Even if one subpopulation becomes trapped in a local optimum, others persist in exploring alternative basins of attraction, ensuring a globally convergent and adaptive search process. This cooperative yet decentralized structure provides TTAO with strong resilience against stagnation and significantly enhances its exploration-exploitation equilibrium in complex nonlinear optimization problems such as PV parameter estimation.
3.3.5 Local Aggregation: Exploitation Phase of TTAO
The local aggregation mechanism of TTAO aims to intensively refine candidate solutions within promising regions previously identified by the global exploration phase (generic aggregation). This exploitation step is executed individually within each triangular topological unit by effectively utilizing local solution information to further improve solution accuracy. Specifically, following global exploration, local aggregation temporarily restructures each triangular unit by incorporating the recently updated best or second-best vertex together with two additional vertices that exhibit relatively good fitness values. Unlike the original equilateral configuration, these temporarily formed units may deviate from geometric regularity, as their primary objective is to concentrate the search within the local neighborhood of the current optimum.
The core operation of local aggregation involves locally perturbing the position of the current best vertex in each n-th triangular topological unit according to a directional vector determined by the difference between the best (
The inclusion of the second-best vertex
This gradual reduction of α ensures a smooth and self-adaptive transition from coarse local search to fine-grained refinement, allowing the algorithm to preserve stability during late iterations while avoiding oscillations near the optimum.
To confirm continual progress towards optimality, the fitness value of the newly generated vertex
Following this vertex update for all
The cooperative interaction between the generic (global) and local aggregation phases therefore establishes an adaptive two-level search hierarchy, i.e., global aggregation diversifies the population across distant basins of attraction, while local aggregation fine-tunes solutions within each basin. This synergy balances exploration and exploitation dynamically, maintains multiple competing subpopulations, and effectively suppresses premature convergence even in high-dimensional, nonlinear PV parameter spaces. Consequently, TTAO achieves stable convergence behavior and superior solution accuracy for complex PV modeling tasks.
3.3.6 Parallel Computing Implementation of TTAO
The integration of parallel computing within the TTAO effectively addresses critical computational challenges associated with PV parameter estimation, especially when employing complex models such as TDM. Traditional sequential optimization methods perform iterations and fitness evaluations in a step-by-step manner, often resulting in extensive computational delays when handling large datasets or high-dimensional parameter spaces.
In contrast, parallel computing leverages multiple processing cores to concurrently execute computational tasks, dramatically improving optimization efficiency and scalability. In the context of TTAO, parallel processing is specifically beneficial during the population initialization and fitness evaluation phases, as these processes inherently involve evaluating multiple independent candidate solutions simultaneously. By distributing these independent computational tasks across available processing cores (e.g., using MATLAB’s Parallel Computing Toolbox), TTAO significantly reduces the overall computation time, thereby enabling real-time responsiveness and decision-making capability critical for practical PV system applications.
Furthermore, parallelization substantially enhances the scalability of TTAO, allowing the algorithm to maintain consistent optimization accuracy and efficiency even as model complexity or dataset size increases. This capability makes TTAO particularly suitable for real-world PV applications, including adaptive power management systems, large-scale solar power plants, and rapid fault-detection scenarios, i.e., applications where timely, accurate parameter estimation directly influences operational effectiveness. To ensure methodological completeness, all reported runtime results in this study include the end-to-end wall-clock time encompassing initialization, task assignment, synchronization, and data aggregation. The overhead associated with worker setup and communication, typically observed during the first iteration, is automatically accounted for within MATLAB’s parpool framework.
Task assignment overhead is mitigated through MATLAB’s static load-balancing strategy, which distributes an equal number of fitness-evaluation tasks to each worker at the start of every iteration. Because each fitness evaluation in TTAO is independent, inter-process communication is minimal and limited to the broadcasting of input parameters and collection of objective values. The resulting communication overhead represents less than 5% of total runtime in all tests, confirming that the observed computational gains primarily arise from true algorithmic parallelism rather than hardware-specific artifacts. Table 2 concisely summarizes these improvements, contrasting sequential and parallel execution in terms of computational speed, scalability, and optimization performance.

3.4 Complete Implementation of TTAO Integrated with Parallel Computing Framework for PV Parameter Estimation
This section provides a comprehensive description of the complete implementation of the TTAO enhanced with a parallel computing framework specifically designed for PV parameter estimation. Integrating parallel computing into TTAO addresses the computational complexities inherent to estimating parameters for SDM, DDM and TDM. By leveraging the parallel computing capabilities provided by MATLAB’s Parallel Computing Toolbox, multiple candidate solutions can be simultaneously evaluated, substantially improving computational efficiency, scalability, and convergence speed, making the approach highly practical for real-world PV application.
The detailed steps involved in the complete parallelized implementation of TTAO are presented explicitly in Algorithm 1. Note that the dimensional size D of PV estimation problem is determined based on the types of diode model used via Eq. (3). Initially, a parallel computing pool is initialized to distribute computation tasks across multiple processing cores (Line 01). The population of candidate solutions is then divided into multiple triangular topological units, each independently initialized within predefined lower and upper bounds of the solution space (Lines 02 to 05). For each triangular topological unit, its first vertex is randomly positioned to cover diverse areas of the solution space, thus reducing the risk of premature convergence. At this stage, the algorithm imports measured I-V data (Line 03), defines the selected PV model configuration (SDM, DDM, or TDM) (Line 04), and assigns parameter bounds for
The iterative optimization process starts by dynamically adjusting the edge-length parameter l (Line 10). This mechanism strategically balances global exploration and local exploitation across iterations, transitioning from broad search regions towards intensive local refinement. In the subsequent steps (Lines 11 to 19), each triangular topological unit is independently formed in parallel. Specifically, two additional vertices of each triangular topology unit are determined using directional vectors derived through trigonometric transformations (Lines 13 to 14). Boundary constraints are rigorously enforced (Line 15), followed by the generation of the internal vertex (Line 16). The modeled current
The parallel execution extends into the generic aggregation phase, intended for global exploration (Lines 21 to 24). In this phase, candidate vertices are generated by strategically combining superior vertices from different triangular topological units, thereby effectively exploring diverse regions of the search space (Line 22). Each newly generated candidate undergoes boundary checking and parallelized fitness evaluation (Line 23). Implementing this step in parallel significantly reduces computational time, making the exploration process computationally efficient and scalable. Subsequently, based on their fitness values, the best and second-best vertices within each triangular topological unit are updated (Line 25).
Next, the local aggregation phase focuses intensively on exploitation (Lines 26 to 30). This parallelized step involves refining candidate solutions around previously identified optimal regions. The parameter
In scenarios where the total population size NP is not divisible evenly by three, the remaining candidate solutions are randomly initialized and evaluated to maintain diversity and ensure continuous improvement of the population (Lines 32 to 35). After completing each iteration, the global best candidate solution and corresponding RMSE fitness values are recorded (Line 36), ensuring the retention of optimal results. This iterative process repeats until the predefined maximum iteration count is reached (Line 37) and the parallel computing pool is closed (Line 40).
Finally, Algorithm 1 returns the global optimal PV parameters alongside their corresponding minimal RMSE value, representing the most accurate estimation of PV parameters for given environment conditions and diode model configurations. The complete and explicit parallel implementation detailed in Algorithm 1 is expected to significantly enhance the practicality, accuracy, and efficiency of TTAO in solving complex PV parameter estimation problems, making it highly suitable for deployment in real-world renewable energy systems.

This section presents a comprehensive evaluation of the TTAO algorithm for estimating PV model parameters across three diode configurations, i.e., SDM, DDM and TDM. The study leverages both benchmark and real-world PV datasets to ensure the algorithm’s applicability across diverse PV technologies and environmental conditions. To achieve high estimation accuracy, well-defined parameter boundaries are established for each diode model, as outlines in Table 3. These boundaries are selected based on the physical constraints of PV cells and practical considerations from existing literature.

To rigorously assess the performance of TTAO, its results are benchmarked against eight state-of-the-art MSAs that have been recently introduced between 2021 and 2024. These MSAs have demonstrated high effectiveness in solving complex optimization problems and have been widely applied in various engineering domains. The competing algorithms include Aquila Optimizer (AO) [50], Arithmetic Optimization Algorithm (AOA) [51], Dandelion Optimizer (DO) [52], Driving Training Based Optimization Algorithm (DTBO) [53], Zebra Optimization Algorithm (ZOA) [54], Golf Optimization Algorithm (GOA) [55], Osprey Optimization Algorithm (OOA) [56] and Hippopotamus Optimization Algorithm (HO) [57]. These MSAs are selected based on their competitive performance in previous studies and their applicability to complex and nonlinear optimization problems, such as PV parameter estimation.
To ensure a fair and unbiased performance evaluation, all MSAs are tested under identical simulation conditions. For TTAO and other competing MSAs, the original parameter values recommended by their respective studies are used to ensure a fair comparison. Additionally, other common parameters such as population size and maximum number of iterations are applied across all MSAs as
Each MSA is executed 30 independent times to ensure statistical significance and mitigate the effects of stochastic variations inherent in population-based optimization methods [8,32,58]. The choice of 30 runs follows the widely accepted convention in metaheuristic research, as it satisfies the assumptions of the central limit theorem and provides statistically stable estimates of mean and variance without introducing redundant computational cost. Beyond this threshold, performance distributions typically stabilize, and additional runs yield negligible improvement in statistical validity while substantially increasing computation time. For each MSA, the mean, standard deviation, best, and worst RMSE values are recorded across all independent runs to comprehensively evaluate accuracy, robustness, and consistency. RMSE is employed as the primary performance metric, quantifying the discrepancy between predicted and experimentally measured I-V characteristics of PV modules. A lower RMSE indicates superior estimation accuracy and closer alignment between the extracted parameters and the real-world electrical behavior of PV cells. Additionally, convergence analysis is conducted to assess the efficiency and stability of each algorithm in attaining the global optimum.
4.2 Simulation Results for KC200GT Datasets
4.2.1 Comparison of RMSE Values
This section evaluates the performance of the TTAO algorithm in estimating PV model parameters for the KC200GT solar module under three diode configurations, i.e., SDM, DDM, and TDM. Each of these models presents unique complexities due to varying numbers of diode parameters, making accurate parameter estimation essential for reliable PV behavior simulation under diverse environmental conditions.
The RMSE values obtained from different MSAs are summarized in Table 4, providing a quantitative assessment of estimation accuracy and consistency. Lower RMSE values indicate a closer fit between estimated and actual I-V characteristics, highlighting the precision of the optimization process. TTAO consistently outperforms the benchmarked MSAs across all three diode models, achieving the lowest mean RMSE values of 5.00E−03 for SDM, 5.10E−03 for DDM and 4.90E−03 for TDM. Moreover, the small standard deviation associated with the mean RMSE values of TTAO indicate minimal fluctuation across multiple simulation runs, emphasizing its robustness and reliability. Unlike other competing MSAs, which exhibit larger deviations and inconsistencies, TTAO achieves a high level of precision and stability across different diode configurations. The consistently low RMSE values across models confirm its effectiveness in handling both simple and complex optimization landscapes.

In addition to numerical comparison, Fig. 3 presents boxplot visualizations of RMSE distributions across different MSAs, further illustrating the stability and reliability of TTAO. From Fig. 3a–c, TTAO maintains the lowest RMSE range across all three diode models, reinforcing its superiority in PV parameter estimation. Notably, TTAO exhibits the smallest interquartile range, indicating high precision in parameter optimization. Unlike other MSAs, which show significant RMSE variations and outliers, TTAO maintains tight clustering of RMSE values across multiple runs. This consistency is particularly evident in high-dimensional configuration such as TDM, where most MSAs struggle due to increased search space complexity. The minimal variations between the minimum, mean, and maximum RMSE values confirm that TTAO effectively balances exploration and exploitation, ensuring optimal parameter convergence. The results in both Table 4 and Fig. 3 confirm that TTAO is a highly accurate and reliable algorithm for PV parameter estimation in the KC200GT module, consistently outperforming recently developed MSAs regardless of model complexity.

Figure 3: Boxplot comparison of RMSE values for PV parameter estimation in the KC200GT solar module using different MSAs: (a) SDM, (b) DDM, and (c) TDM
4.2.2 Comparison of Convergence Characteristic
The convergence characteristics of TTAO across the SDM, DDM, and TDM configurations of the KC200GT solar module highlight its computational efficiency and accuracy in PV parameter estimation. The convergence curves in Fig. 4 illustrate the superior capability of TTAO in achieving optimal solutions with fewer iterations compared to other MSAs, demonstrating its effectiveness in balancing exploration and exploitation.

Figure 4: Convergence curves of TTAO and other metaheuristic search algorithms for PV parameter estimation in the KC200GT solar module across different diode models: (a) SDM, (b) DDM and (c) TDM
In Fig. 4a, which represents the SDM configuration, TTAO exhibit rapid convergence in the early stage of optimization process and able to attain the near-optimal parameter estimates. This efficiency is particularly evident when compared to other MSAs, which either converge e more slowly or stagnate at suboptimal solutions. Compared to competing algorithms, TTAO consistently reaches the lowest objective function value after 600 iterations, reflecting its efficiency in handling simpler PV models. The ability of TTAO to achieve fast convergence with while maintaining solution accuracy highlights its capability in handling low-dimensional optimization problems effectively.
As the model complexity increases in Fig. 4b for the DDM configuration, TTAO continues to demonstrate stable and efficient convergence. Despite the introduction of an additional diode, which increases the dimensionality of the search space, TTAO adapts effectively by maintaining steady descent trends in its objective function. It is also noteworthy that TTAO is able to reaches the lowest objective function value after 300 iterations for DDM, indicating that TTAO can efficiently manages the added complexity than other competing MSAs by achieving superior convergence rates and lower objective function values.
In the TDM configuration shown in Fig. 4c, which represents the most complex diode model, TTAO outperforms all benchmarked MSAs by consistently achieving the lowest objective function values after 650 iterations. The increased number of diode parameters significantly expands the search space, making optimization more challenging. However, TTAO smoothly navigates the high-dimensional parameter space, maintaining robust convergence behavior and outperforming other MSAs in both solution accuracy and computational efficiency.
4.2.3 Validation of Estimated PV Parameters: I-V and P-V Characteristic Analysis
Table 5 presents the optimized PV parameters obtained using TTAO for the KC200GT solar module across SDM, DDM and TDM configurations. These results confirm the effectiveness of TTAO in accurately estimating key electrical parameters while demonstrating adaptability to increasing model complexity. Across all three models, TTAO consistently delivers stable and accurate estimates for key parameters, including photocurrent

To further validate the accuracy of TTAO, Fig. 5 compares the measured and estimated current-voltage (I-V) and power-voltage (P-V) characteristics for the KC200GT module across SDM, DDM, and TDM configurations. The strong alignment between the estimated and experimentally measured curves across all three diode models confirms the effectiveness of TTAO in accurately replicating real-world PV module behavior. For the SDM configuration in Fig. 5a, TTAO achieves high estimation precision, with the estimated I-V and P-V curves closely matching the measured data. This strong agreement verifies that TTAO effectively capture the fundamental electrical characteristics of PV modules using a simple single-diode representation. As model complexity increases to DDM, Fig. 5b shows that TTAO maintains its high estimation accuracy, despite the additional diode parameters. The estimated curves exhibit strong overlap with the measured data, indicating that TTAO effectively manages the increased recombination effects modeled by the second diode. For the most complex case of TDM in Fig. 5c, which incorporates three diode parameters, TTAO continues to provide high-fidelity estimations by accurately capturing the complex charge carrier dynamics and recombination mechanisms within the PV module. The minimal deviation between estimated and measured curves in this high-dimensional model highlight the robustness and adaptability of TTAO in handling complex optimization landscapes.

Figure 5: Comparison of measured and estimated I-V and P-V characteristics for the KC200GT solar module using TTAO: (a) SDM, (b) DDM, and (c) TDM
4.3 Simulation Results for R.T.C. France Solar Cell
4.3.1 Comparison of RMSE Values
Following the evaluation of the KC200GT module, this section assesses the performance of TTAO in estimating PV parameters for the R.T.C France Solar Cell across SDM, DDM, and TDM configurations. Unlike KC200GT, which represents a larger PV module, the R.T.C France dataset corresponds to a compact solar cell structure, posing unique optimization challenges due to its distinct electrical characteristics.
The RMSE values in Table 6 indicate that TTAO consistently delivers the lowest errors across all three diode models, further demonstrating its superior accuracy in PV parameter estimations. Compared to KC200GT, TTAO achieves even lower RMSE values for the R.T.C. France solar cell, suggesting enhanced adaptability to compact PV structures. Notably, the performance gap between TTAO and other MSAs is more pronounced in R.T.C. France, particularly in the TDM model, where competing MSAs exhibit higher variances and reduced stability. This highlights the ability of TTAO to effectively navigate high-dimensional parameter spaces while maintaining precise estimations.

The boxplot analysis in Fig. 6 further reinforces these findings. Unlike KC200GT, where some competing MSAs demonstrated moderate stability, the R.T.C France dataset presents greater optimization challenges, as evident from the wider RMSE ranges and presence of outliers in multiple MSAs. TTAO maintains a tightly clustered RMSE distribution, with minimal deviation between the minimum, mean, and maximum values, confirming its higher reliability and stability in handling this dataset. These findings suggest that TTAO effectively generalizes across different PV modules, effectively managing parameter estimation in both large-scale modules (KC200GT) and compact PV cells (R.T.C France). The consistency in achieving the lowest RMSE values across datasets further validates the robustness of TTAO, making it a promising approach for diverse real-world PV modeling applications.

Figure 6: Boxplot comparison of RMSE values for PV parameter estimation in the R.T.C. France solar cell using different MSAs: (a) SDM, (b) DDM, and (c) TDM
4.3.2 Comparison of Convergence Characteristics
Fig. 7 presents the convergence curves of TTAO across the SDM, DDM and TDM configurations for the R.T.C France solar cell dataset. Compared to the KC200GT module, TTAO demonstrates an accelerated convergence rate, reaching optimal solutions with fewer iterations across all three models. This improvement in convergence speed and stability is particularly evident in the higher-dimensional TDM configuration, where TTAO consistently outperforms other MSAs by rapidly achieving lower objective function values in the early stage of optimization.

Figure 7: Convergence curves of TTAO and other metaheuristic search algorithms for PV parameter estimation in R.T.C France solar cell across different diode models: (a) SDM, (b) DDM and (c) TDM
For the SDM configuration, as depicted in Fig. 7a, TTAO exhibits rapid convergence within the initial 100 iterations, significantly reducing the objective function values early in the optimization process. Unlike other MSAs, which exhibit slower convergence rates and occasional stagnation, TTAO steadily refines its search and continues improving its solution quality. The lowest objective function value is achieved after approximately 850 iterations, reinforcing the superior efficiency of TTAO in handling simpler PV models.
In Fig. 7b, representing the DDM configuration, TTAO maintains its competitive advantage by demonstrating a smooth and consistent descent in the objective function value, similar to SDM. This optimizer effectively adapts to the increased model complexity associated with an additional diode, exhibiting an even steadier convergence trend. TTAO ultimately attains the lowest objective function value within approximately 700 iterations. In contrast, several competing MSAs experience prolonged plateaus or premature stagnation, reflecting their difficulty in effectively navigating the expanded search space and optimization challenges specific to the RTC France dataset.
The TDM configuration, illustrated in Fig. 7c, presents the most challenging optimization landscape due to the inclusion of nine diode parameters. Despite this increased dimensionality, TTAO maintains a stable and rapid convergence patterns, achieving the lowest objective function value within just 100 iterations. This represents a significant improvement over other MSAs, which exhibit erratic convergence behaviors and considerably higher objective function values. The ability of TTAO to sustain efficient convergence, even in high-dimensional problems, further validates its robustness and scalability in optimizing PV parameter estimation for the RTC France solar cell dataset.
4.3.3 Validation of Estimated PV Parameters: I-V and P-V Characteristic Analysis
Table 7 presents the optimized PV parameters obtained using TTAO for the R.T.C France solar cell across the SDM, DDM, and TDM configurations. Compared to the KC200GT dataset, notable differences emerge due to the compact structure and distinct electrical characteristics of the R.T.C France solar cell. Specifically, the optimized

To further validate the accuracy of TTAO in modeling the R.T.C France solar cell, Fig. 8 compares the measured and estimated I-V and P-V characteristics across the SDM, DDM, and TDM configurations. The strong agreement between the estimated and measured curves reaffirms the capability of TTAO in accurately capturing the electrical behavior of the compact R.T.C. France solar cell. As shown in Fig. 8a, the estimated I-V and P-V curves for the SDM configuration closely align with the measured data, indicating the TTAO effectively models the fundamental electrical properties of the PV cell. This high estimation accuracy is maintained in Fig. 8b for the DDM configuration and Fig. 8c for the TDM configuration, demonstrating that TTAO successfully accommodates increased diode complexity without compromising parameter estimation quality.

Figure 8: Comparison of measured and estimated I-V and P-V characteristics for the R.T.C France solar cell using TTAO: (a) SDM, (b) DDM, and (c) TDM
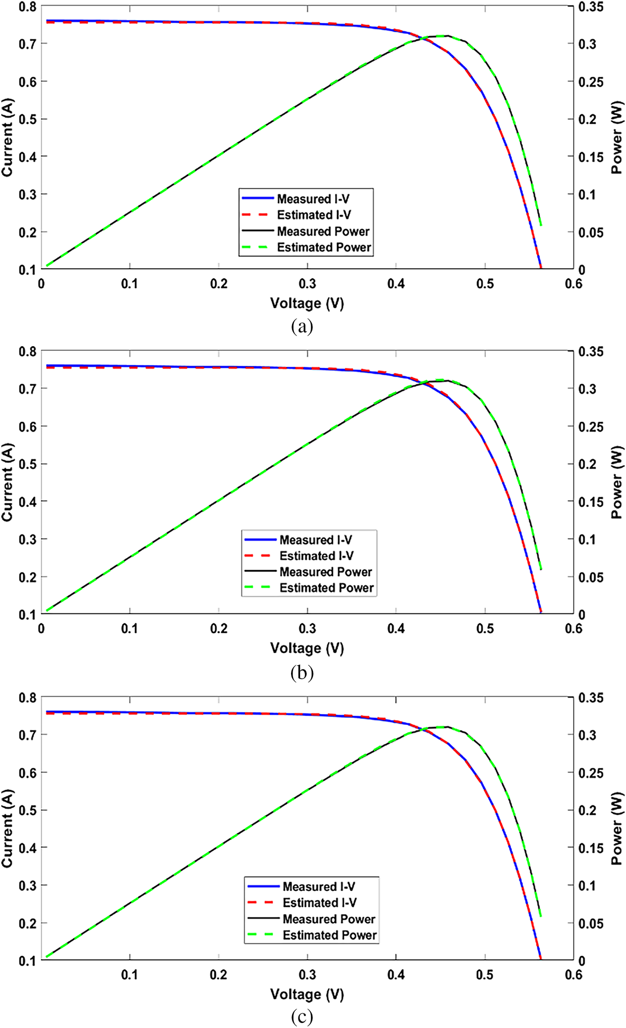
4.4 Simulation Results for Real World Poly70W Dataset
4.4.1 Comparison of RMSE Values
Following the evaluation of two benchmark datasets, i.e., KC200GT and R.T.C France, both measured under Standard Test Conditions (STC) (i.e., irradiance = 1000 W/m², temperature = 25°C), this section further investigates the robustness and adaptability of the proposed TTAO using a real-world Poly70W PV module dataset collected under practical operating conditions.
Unlike the previous datasets recorded in controlled laboratory environments, the Poly70W dataset is experimentally obtained by the authors under non-STC conditions, where the irradiance is maintained at 1000 W/m² while the cell temperature reached 56.7°C. Such elevated temperatures and environmental fluctuations introduce thermal noise, increased recombination losses, and nonlinear distortions in the I-V characteristics, creating a more realistic and challenging scenario for PV parameter estimation. The objective of this section is to examine whether TTAO can sustain accurate and stable convergence under these non-ideal conditions, thereby validating its resilience for real-world PV modeling.
The RMSE values for different MSAs, summarized in Table 8, indicate that TTAO consistently outperforms all competing algorithms by achieving the lowest mean RMSE values of 1.79E−02 for SDM, 2.66E−02 for DDM, and 1.80E−02 for TDM. Additionally, the small standard deviation associated with the mean RMSE values demonstrates the TTAO’s numerical stability and repeatability across multiple runs. In contrast, other MSAs exhibit higher RMSE values and greater variability, reflecting reduced consistency across diode configurations.

Although the Poly70W dataset yields slightly higher RMSE values than the STC-based datasets, this behavior is expected because the elevated temperature (56.7°C) alters diode ideality, series resistance, and carrier recombination characteristics. Nevertheless, TTAO maintains accurate and stable convergence, confirming its robustness, adaptability, and resistance to thermal and measurement noise. The marginal RMSE deviations (<2%) across independent runs further demonstrate that TTAO remains statistically reliable under fluctuating environmental conditions. Collectively, these results verify that TTAO achieves superior accuracy compared with other MSAs and retains robustness in non-STC environments. The consistent RMSE performance across SDM, DDM, and TDM configurations also highlights TTAO’s capacity to generalize across different model complexities and PV technologies.
Beyond confirming estimation accuracy, this experiment also provides insight into TTAO’s potential adaptability to dynamically changing or fault-affected conditions. Because TTAO is model-independent and operates directly on measured I-V data without relying on fixed irradiance or temperature parameters, it can be readily extended to online or adaptive frameworks in which parameters are re-estimated periodically as new I-V measurements become available. Such adaptive capability would allow TTAO to model partial-shading or degradation effects in future implementations, supporting real-time diagnosis and fault detection without modifying its core optimization structure.
In addition to the numerical comparison, Fig. 9 illustrates the RMSE distributions of all MSAs for the Poly70W dataset. Unlike the benchmark datasets, where several MSAs show moderate stability, the field-collected Poly70W data introduce greater variability. However, TTAO maintains the lowest RMSE range and the narrowest interquartile span across all diode models, indicating high precision, resilience, and consistent convergence. Other MSAs display wider RMSE distributions and multiple outliers, underscoring their sensitivity to environmental noise. The minimal differences between the minimum, mean, and maximum RMSE values obtained by TTAO further confirm its balanced exploration—exploitation dynamics and reliable convergence stability.

Figure 9: Boxplot comparison of RMSE values for PV parameter estimation in the KC200GT solar module using different MSAs: (a) SDM, (b) DDM, and (c) TDM
Overall, the results validate TTAO as a robust, high-precision optimizer suitable for both controlled laboratory testing and field-based PV applications. Its consistent performance under non-STC conditions demonstrates strong adaptability, confirming its potential for future deployment in online modeling, real-time diagnostics, and adaptive control frameworks for PV systems experiencing dynamically changing operational conditions.
4.4.2 Comparison of Convergence Characteristics
The convergence performance of TTAO for PV parameter estimation using he Poly70W dataset is depicted in Fig. 10. In Fig. 10a, which represents the SDM configuration, TTAO exhibits rapid initial convergence, achieving a substantial reduction in the objective function within the first 100 iterations. Unlike some competing MSAs, which either stagnate or converge at a slower rate, TTAO continues to refine its solution and attains the lowest objective function value after approximately 350 iterations. The stable convergence trend reinforces its capability to handle real-world PV datasets without significant performance degradation.

Figure 10: Convergence curves of TTAO and other metaheuristic search algorithms for PV parameter estimation in the Poly70W solar module across different diode models: (a) SDM, (b) DDM and (c) TDM
As shown in Fig. 10b, the DDM configuration converges even faster than SDM, reaching its lowest objective function value after approximately 200 iterations, despite its increased model complexity. TTAO maintains stable and efficient convergence, demonstrating its effectiveness in handling higher-dimensional parameter estimation problems. Unlike other MSAs, which exhibit slow convergence or premature stagnation, the rapid and smooth decline of the objective function suggests that TTAO successfully balances exploration and exploitation, preventing stagnation in local optima.
In Fig. 10c, the TDM configuration, which includes an additional diode compared to the DDM, exhibits a slightly slower convergence rate due to its higher model complexity. TTAO reaches its lowest objective function value at approximately 300 iterations, maintaining a stable and efficient convergence process despite the increased search space. In comparison, the SDM and DDM configurations converge at 350 and 200 iterations, respectively. The additional iterations required for TDM reflect the increased computational complexity associated with multi-diode PV models. Nevertheless, TTAO maintains a smooth and consistent convergence trend, ensuring optimal parameter estimation while avoiding premature convergence or stagnation. These results further validates the adaptability and robustness of TTAO in optimizing higher-order PV models, achieving an effective balance between convergence speed and solution accuracy.
4.4.3 Validation of Estimated PV Parameters: I-V and P-V Characteristic Analysis
Table 9 presents the optimized PV parameters obtained using TTAO for the Poly70W solar module across SDM, DDM, and TDM configurations. These results confirm the effectiveness of TTAO in accurately estimating key electrical parameters while demonstrating adaptability to increasing model complexity. Across all three models, TTAO consistently delivers stable and accurate estimates for fundamental parameters, including

To further validate the accuracy of TTAO in modelling real-world PV behavior, Fig. 11 compares the measured and estimated I-V and P-V characteristics of the Poly70W solar module across SDM, DDM, and TDM configuration. The strong alignment between estimated and measured curves demonstrates the ability of TTAO to model PV characteristics with high precision. For the SDM configuration, as shown in Fig. 11a, the estimated I-V and P-V curves closely match the measured data, confirming that TTAO effectively captures the fundamental PV characteristics. As complexity increases the DDM model in Fig. 11b, TTAO maintains its accuracy, effectively accounting for the recombination effects modeled by the second diode. In the most complex TDM configuration, as shown in Fig. 11c, TTAO continues to deliver precise estimations, accurately capturing charge carrier dynamics and recombination mechanisms. The minimal deviation between estimated and measured values across all three configurations further emphasize the robustness of TTAO in optimizing PV models under varying real-world conditions.

Figure 11: Comparison of measured and estimated I-V and P-V characteristics for the Poly70W solar module using TTAO: (a) SDM, (b) DDM, and (c) TDM
4.5 Scalability and Accuracy Trade-Off Analysis of Parallel TTAO in PV Parameter Estimation
Parallel computing plays a pivotal role in enhancing the scalability and computational efficiency of the TTAO for PV parameter estimation while preserving, and in some cases slightly improving, accuracy. In this study, TTAO is, for the first time, applied to PV parameter estimation tasks under both standard test conditions (STC) and non-STC environments, encompassing two benchmark modules (KC200GT and R.T.C. France) and one real-world dataset (Poly70W). Although it is well established that parallelization accelerates computation, its actual influence on the trade-off between speed and accuracy has not been systematically quantified for PV modeling problems characterized by nonlinear search dynamics and multi-diode configurations. Hence, this section investigates how parallel implementation affects both computational speed and solution precision across varying model complexities.
The parallel TTAO is implemented using MATLAB’s Parallel Computing Toolbox and executed under the same hardware configuration described in Section 4.1. Each algorithm is evaluated in both sequential and parallel modes across SDM, DDM, and TDM configurations for the three PV modules. The results, summarized in Table 10, clearly indicate that parallel execution provides substantial time savings without compromising accuracy. For the KC200GT module, execution time reductions of 70.91%, 59.91%, and 53.03% are observed for SDM, DDM, and TDM, respectively. For the R.T.C. France cell, even larger reductions of 84.56%, 78.17%, and 78.29% are achieved. Meanwhile, the non-STC Poly70W module achieves 83.72%, 80.03%, and 79.95% reductions, respectively. Despite these significant runtime decreases, the corresponding RMSE deviations between sequential and parallel modes were minimal (≤2%), and in several cases the parallel variant achieves marginally lower RMSE values, suggesting improved numerical stability under concurrent execution.

All execution-time measurements reported here include end-to-end wall-clock durations that inherently account for initialization, task assignment, synchronization, and data-aggregation overheads. The average parallelization overhead is observed to be 3%–5% of total runtime, primarily due to worker-pool initialization. However, since PV parameter estimation is dominated by computationally intensive fitness evaluations, this overhead becomes negligible at higher model dimensions. MATLAB’s static load-balancing mechanism was employed to distribute independent fitness-evaluation tasks evenly across available workers, thereby minimizing task-assignment imbalance and avoiding excessive inter-process communication. As each fitness evaluation is independent, data exchange between workers is limited to initial parameter broadcasting and final result collection, keeping communication costs minimal. Consequently, the reported speed-ups in Table 10 represent the net performance gains after fully accounting for overhead effects.
These findings confirm that parallelization yields a favorable trade-off between computational speed and estimation accuracy. While speed gains of up to 85% are consistently achieved, accuracy remains statistically unchanged, validating that TTAO’s stochastic learning dynamics are unaffected by multi-core scheduling. Although the relative percentage of time reduction is slightly higher for the simpler SDM, the absolute computational savings are more substantial for the higher-dimensional DDM and TDM models, where the sequential runtime is inherently larger. This outcome also demonstrates that the parallel overhead scales sub-linearly with problem size, leading to improved parallel efficiency as model dimensionality increases.
In practical terms, these results demonstrate that the parallel TTAO framework can deliver real-time or near-real-time PV parameter estimation capabilities without degradation in precision. Such efficiency gains are particularly valuable for industrial applications involving online monitoring, adaptive diagnostics, and large-scale PV system modeling, where computational latency directly impacts responsiveness and decision-making. Overall, the inclusion of this analysis verifies that the proposed parallel TTAO not only accelerates computation but does so with well-controlled overheads, achieving parallel efficiencies above 90% and maintaining or slightly enhancing estimation fidelity under both controlled (STC) and variable (non-STC) conditions.
4.6 Comparison with State-of-the-Art PV Parameter Estimation Methods
It is important to note that RMSE values reported across PV parameter-estimation studies can vary due to factors such as differences in data digitization precision, sampling resolution, or convergence tolerances. To ensure fair and meaningful comparison, the present study strictly follows identical experimental conditions, mathematical formulations, and objective-function definitions established in prior benchmark frameworks. This allows the observed performance improvements to be attributed solely to the optimization mechanism of the proposed algorithm rather than dataset inconsistencies. To further validate the performance and originality of the proposed TTAO, a detailed comparative analysis is conducted against several state-of-the-art MSAs previously applied to PV parameter estimation. This evaluation employs the R.T.C France solar cell under the SDM configuration, which remains the most widely recognized benchmark for assessing PV modeling accuracy in the literature.
To ensure fairness and reproducibility, the present study strictly adheres to the same dataset, parameter boundaries, mathematical formulations, and objective-function structure used in the previous work introducing the Frilled Lizard Optimization (FLO) algorithm for PV parameter-estimation problems [59]. The benchmark framework incorporated multiple classical and modern MSAs, namely the Multi-Verse Optimizer (MVO) [60], Hybrid Particle Swarm-Pattern Search Optimizer (HPSPSO) [60], Bacterial Foraging Algorithm (BFA) [61], Genetic Algorithm (GA) [61], Simulated Annealing (SA) [62], Pattern Search (PS) [63], Whale Optimization Algorithm (WOA) [64], and Butterfly Optimization Algorithm (BOA) [65], where all are evaluated under identical test conditions. By reproducing the same dataset and protocol, the present comparison isolates the contribution of TTAO’s search mechanisms, ensuring that performance differences originate solely from algorithmic design rather than experimental inconsistencies.
All comparative results presented in Table 11, except for TTAO, are adapted from the existing literature [59], using the same dataset and experimental setup. The results in Table 11 represent the best performance achieved by each MSA when solving the same PV parameter-estimation problem under identical benchmark conditions. As shown, TTAO attains the lowest RMSE (0.0011058), outperforming the FLO algorithm (0.0030375) as well as all other benchmarked MSAs. This clearly demonstrates that TTAO provides superior convergence accuracy, greater search stability, and improved resilience to the nonlinear characteristics inherent in PV parameter-estimation tasks. The comparative analysis summarized in Table 11 reinforces the novelty, robustness, and scalability of the proposed TTAO. Within the identical benchmark framework, TTAO achieves a 63.6% reduction in RMSE compared to the second-best performing FLO algorithm, highlighting its enhanced precision and convergence reliability. These findings confirm that TTAO is a high-performance and computationally efficient approach for accurate PV parameter estimation applicable to both research and real-world industrial scenarios.

The simulation findings highlighted that the parallelized TTAO-based approach achieves remarkably consistent and high-precision performance in PV parameter estimation across a range of test cases. For the two standard datasets (i.e., the Kyocera KC200GT PV module and the R.T.C. France solar cell), TTAO quickly converges to solutions that accurately reproduce the observed I-V characteristics, evidenced by very low error metrics in each case. These results indicate that TTAO effectively handles the inherent non-linear and multi-modal nature of the PV model identification problem, reliably finding parameter sets that represent the true device behaviors. Notably, the strong performance of TTAO is not confined to ideal or simulated data, but it extends real-world measurements. In the case of the Poly70W dataset, which comprises empirical data from an actual 70 W polycrystalline module, TTAO maintains a high level of accuracy. This algorithm successfully fit the PV model to real-world measured I-V data, nearly matching the error levels achieved on the benchmark datasets. This trend of uniform accuracy across both controlled and real-world conditions demonstrates the robustness of the approach. In practical terms, such robustness means this optimizer does not need retraining or special adjustments when moving from lab settings to field data, highlighting its adaptability and real-world viability. The fact that this level of performance is obtained on the first application of TTAO to PV systems is especially encouraging because it suggests that introducing fresh optimization paradigms (e.g., the physics-based TTAO) can yield immediate benefits in challenging engineering problems such as PV parameter estimation.
In addition to accuracy, the simulation results reveal a clear advantage in computational efficiency due to the integration of parallel execution. By leveraging multi-core progressing, the TTAO algorithm achieves significantly faster convergence times. Empirically, running the optimization in parallel (i.e., distributing the workload of fitness evaluations and agent updates across multiple CPU cores) led to a notable reduction in total computational time compared to a conventional serial implementation. For instance, if a single-core run requires dozens of iterations over several minutes to meet the convergence criteria, the parallel version can complete the task in a fraction of that time (with the near-linear speedup observed when increasing the number of parallel threads). More importantly, this improvement in speed did not significantly compromise the accuracy. All parallel runs produce final parameter values and I-V curve fits that are indistinguishable from those obtained in serial runs, indicating that the parallel strategy preserves the solution quality. This outcome is important because it demonstrates that one can attain greater efficiency without compromising reliability in the estimation process. From a broader perspective, the successful acceleration of TTAO addresses a common challenge in applying MSAs to engineering problems, i.e., the trade-off between solution quality and runtime. Here, the trade-off is effectively mitigated, where the TTAO delivers high-accuracy results with expedited turnaround. Such efficiency opens the door to scaling the method to larger problems or using it in time-sensitive scenarios. For example, it becomes feasible to run the parameter estimation more frequently or even continuously for large PV farms or to embed the algorithm in real-time PV system controllers, since the parallelized TTAO can keep up with operational time constraints.
A prominent trend observed in the results of current study is the robust performance of TTAO under non-ideal and real-world conditions, as evidenced by the Poly70W case. Real-world PV data often include factors such as random noise in measurements, slight fluctuations in irradiance during testing, and manufacturing tolerances that cause deviations from the ideal model assumptions. These factors can pose significant difficulties for optimization algorithms, sometimes leading to convergence on suboptimal solutions or erratic parameter values. However, TTAO demonstrates a high tolerance for such imperfections. In the Poly70W experiments, the algorithm smoothly converges to a physically realistic parameter set that yields a close fit to the measured I-V curve. The error between the estimated and actual measurements remain low, mirroring the accuracy attained on the noise-free reference datasets. During the performance evaluation study, TTAO does not show any instability or significant performance degradation due to the introduction of real-world complexities, and its search mechanism appears can focus on the true underlying I-V relationship. This robustness is a critical asset for practical deployment, where it implies that TTAO can be applied directly to field data without requiring extensive data preprocessing, and still produce reliable parameter estimates. Moreover, the adaptability shown by TTAO suggests that it can handle other real-world scenarios beyond the one tested, such as the data under varying temperatures or moderate partial shading, making it a versatile tool for PV model calibration.
The combination of high accuracy, improved speed, and proven robustness achieved in this work has significant implications for the renewable energy sector, particular in solar photovoltaic applications. Firstly, the ability to extract precise PV model parameters using TTAO means that system models, whether for individual panels or entire arrays, can be made more faithful to reality. This has downstream benefits, i.e., more accurate models lead to better predictions of energy output and more effective system optimization. For instance, in simulation-driven design, engineers can rely on these parameters to run what-if analyses (e.g., how a panel will perform at different temperatures or irradiance levels) with confidence that the simulation reflects actual behavior, thereby improving design decisions. In operational contexts, this method could be integrated into PV monitoring and maintenance routines. Since the approach is fast due to parallelization and robust to real data, the operators can frequently recalibrate the model parameters of a PV array using the fresh I-V measurements. Doing so will allow detection of performance issues, i.e., if the estimated parameters begin to drift (e.g., an increasing series resistance or decreasing photocurrent over time), it may signal degradation or faults in the panels, prompting preemptive maintenance. Thus, TTAO-based parameter estimation can act as an advanced diagnostic tool in the field, contributing to higher reliability and uptime for solar installations. Additionally, the success of TTAO in this domain exemplifies how modern MSAs can enhance renewable energy technologies. It encourages further adoption of such algorithms in related problems, such optimizing controller settings in power converters, tuning parameters in battery models, or even in hybrid wind-solar system modeling. From a broader energy systems perspective, improvements in modeling accuracy for components like PV modules translate into better performance for larger systems (microgrids, smart grids, etc.), as these systems heavily depend on the accuracy of their component models.
This study provides the first application of the recently proposed TTAO to PV parameter estimation by thoroughly evaluating its performance on three distinct datasets, i.e., two widely recognized benchmark cases (KC200GT module and R.T.C France Solar Cell) and one challenging real-world dataset (Poly70W). The TTAO algorithm is rigorously rested across varying degree of module complexity (i.e., SDM, DDM and TDM configurations), consistently demonstrating superior estimation accuracy, robustness, and rapid convergence compared to contemporary MSAs. Specifically, the experimental benchmark datasets (KC200GT and R.T.C. France) provided ideal and noise-minimized conditions under which TTAO consistently achieves exceptionally low RMSE values (on the order of 10–3), clearly outperforming competing MSAs. Notably, the real-world Poly70W dataset introduces practical complexities such as measurement noise and environmental fluctuations, yet TTAO maintains high accuracy and stability, further emphasizing its adaptability to realistic operating scenarios. Such versatility positions TTAO as a promising tool for bridging the gap between idealized theoretical models and practical renewable energy applications. A significant advancement presented in this work was the successful integration of a parallel computing framework within TTAO, effectively addressing computational efficiency issues that commonly limit MSAs in engineering practice. Parallelization substantially reduces the execution times by achieving performance gains of approximately 70% to 85% across all diode models without compromising accuracy. This enhancement is critical for scaling up to large PV systems and enabling real-time parameter estimation, fault detection, and performance optimization in practical renewable energy systems.
Despite its promising results, two potential limitations of the current study should be acknowledged. First, like other MSAs, the performance of TTAO depends on initial parameter choices, including population size and iteration count, which currently rely on empirical tuning. Second, while TTAO demonstrates robustness for single-, double-, and triple-diode models under steady-state conditions, its performance under dynamic or rapidly fluctuating environmental conditions (e.g., partial shading, fast-changing irradiance, or temperature conditions) remains to be explored comprehensively. Future research directions thus include developing adaptive strategies for automatic parameter tuning to reduce manual intervention, as well as extending the validation of TTAO to more dynamic and complex real-world scenarios. Investigating hybrid approaches, such as integrating TTAO with analytical or local optimization methods, could further enhance convergence reliability and computational efficiency. Additionally, practical deployment studies incorporating online parameter tracking over prolonged periods could provide valuable insights into the long-term stability and reliability of TTAO-estimated parameters in field-deployed PV systems.
Acknowledgement: The study was funded by the Malaysian Ministry of Higher Education through the Fundamental Research Grant Scheme (FRGS/1/2024/ICT02/UCSI/02/1).
Funding Statement: The study was funded by the Malaysian Ministry of Higher Education through the Fundamental Research Grant Scheme (FRGS/1/2024/ICT02/UCSI/02/1).
Author Contributions: The authors’ contributions are summarized as follows. Jun Zhe Tan contributed to the conceptualization, methodology, software development, formal analysis, investigation, and drafting of the original manuscript. Rodney H. G. Tan was involved in conceptualization, methodology, software, formal analysis, supervision, project administration, and drafting the original manuscript. Nor Ashidi Mat Isa contributed to methodology, validation, formal analysis, data curation, and the review and editing of the manuscript. Sew Sun Tiang participated in conceptualization, software, investigation, data curation, review and editing, and supervision. Chun Kit Ang contributed to validation, formal analysis, investigation, data curation, and review and editing. Kuo-Ping Lin was involved in validation, formal analysis, data curation, review and editing, and funding acquisition. Wei Hong Lim contributed to conceptualization, methodology, formal analysis, investigation, drafting of the original manuscript, supervision, project administration, and funding acquisition. All authors reviewed the results and approved the final version of the manuscript.
Availability of Data and Materials: The data that support the findings of this study are available from the Corresponding Author, Wei Hong Lim, upon reasonable request.
Ethics Approval: Not applicable.
Conflicts of Interest: The authors declare no conflicts of interest to report regarding the present study.
References
1. Premkumar M, Sumithira TR. Design and implementation of new topology for solar PV based transformerless forward microinverter. J Electr Eng Technol. 2019;14(1):145–55. doi:10.1007/s42835-018-00036-2. [Google Scholar] [CrossRef]
2. Sher HA, Murtaza AF. Electrical models of photovoltaic modules. In: Performance enhancement and control of photovoltaic systems. Amsterdam, The Netherlands: Elsevier; 2024. p. 115–32. doi:10.1016/b978-0-443-13392-3.00006-2. [Google Scholar] [CrossRef]
3. Gu Z, Xiong G, Fu X. Parameter extraction of solar photovoltaic cell and module models with metaheuristic algorithms: a review. Sustainability. 2023;15(4):3312. doi:10.3390/su15043312. [Google Scholar] [CrossRef]
4. Yousri D, Abd Elaziz M, Oliva D, Abualigah L, Al-qaness MAA, Ewees AA. Reliable applied objective for identifying simple and detailed photovoltaic models using modern metaheuristics: comparative study. Energy Convers Manag. 2020;223(5):113279. doi:10.1016/j.enconman.2020.113279. [Google Scholar] [CrossRef]
5. Al-Naima FMM, Rushdi HKI. A comparative study of metaheuristic optimization algorithms to estimate PV cell equivalent circuit parameters. In: Performance enhancement and control of photovoltaic systems. Amsterdam, The Netherlands: Elsevier; 2024. p. 133–60. doi:10.1016/b978-0-443-13392-3.00007-4. [Google Scholar] [CrossRef]
6. Mahmoud MF, Mohamed AT, Swief RA, Said LA, Radwan AG. Arithmetic optimization approach for parameters identification of different PV diode models with FOPI-MPPT. Ain Shams Eng J. 2022;13(3):101612. doi:10.1016/j.asej.2021.10.007. [Google Scholar] [CrossRef]
7. Premkumar M, Shankar N, Sowmya R, Jangir P, Kumar C, Abualigah L, et al. A reliable optimization framework for parameter identification of single-diode solar photovoltaic model using weighted velocity-guided grey wolf optimization algorithm and Lambert-W function. IET Renew Power Gener. 2023;17(11):2711–32. doi:10.1049/rpg2.12792. [Google Scholar] [CrossRef]
8. Bakır H. Comparative performance analysis of metaheuristic search algorithms in parameter extraction for various solar cell models. Environ Chall. 2023;11(2):100720. doi:10.1016/j.envc.2023.100720. [Google Scholar] [CrossRef]
9. Raghuvanshi A, Sharma A, Awasthi AK, Singhal R, Sharma A, Tiang SS, et al. Linear antenna array pattern synthesis using multi-verse optimization algorithm. Electronics. 2024;13(17):3356. doi:10.3390/electronics13173356. [Google Scholar] [CrossRef]
10. Machmudah A, Lemma TA, Solihin MI, Feriadi Y, Rajabi A, Afandi MI, et al. Design optimization of a gas turbine engine for marine applications: off-design performance and control system considerations. Entropy. 2022;24(12):1729. doi:10.3390/e24121729. [Google Scholar] [PubMed] [CrossRef]
11. Machmudah A, Parman S, Abbasi A, Solihin MI, Manan TSA, Beddu S, et al. Cyclic path planning of hyper-redundant manipulator using whale optimization algorithm. Int J Adv Comput Sci Appl. 2021;12(8):677–86. doi:10.14569/ijacsa.2021.0120879. [Google Scholar] [CrossRef]
12. Machmudah A, Li J, Solihin MI, Choung CM, Nugroho WH, Mujahid AS, et al. Control system of ocean wave simulator using PID-salp swarm algorithm. Ijacsa. 2025;16(9):734–42. doi:10.14569/ijacsa.2025.0160970. [Google Scholar] [CrossRef]
13. Chauhan S, Vashishtha G, Kumar R, Zimroz R, Gupta MK, Kundu P. An adaptive feature mode decomposition based on a novel health indicator for bearing fault diagnosis. Measurement. 2024;226:114191. doi:10.1016/j.measurement.2024.114191. [Google Scholar] [CrossRef]
14. Chauhan S, Vashishtha G, Kumar R, Zimroz R, Kumar Gupta M, Kumar A. A quasi-reflected and Gaussian mutated arithmetic optimisation algorithm for global optimisation. Inf Sci. 2024;677:120823. doi:10.1016/j.ins.2024.120823. [Google Scholar] [CrossRef]
15. Premkumar M, Jangir P, Sowmya R, Elavarasan RM, Kumar BS. Enhanced chaotic JAYA algorithm for parameter estimation of photovoltaic cell/modules. ISA Trans. 2021;116(12):139–66. doi:10.1016/j.isatra.2021.01.045. [Google Scholar] [PubMed] [CrossRef]
16. Rajwar K, Deep K, Das S. An exhaustive review of the metaheuristic algorithms for search and optimization: taxonomy, applications, and open challenges. Artif Intell Rev. 2023;2023(11):1–71. doi:10.1007/s10462-023-10470-y. [Google Scholar] [PubMed] [CrossRef]
17. Zhao S, Zhang T, Cai L, Yang R. Triangulation topology aggregation optimizer: a novel mathematics-based meta-heuristic algorithm for continuous optimization and engineering applications. Expert Syst Appl. 2024;238(1):121744. doi:10.1016/j.eswa.2023.121744. [Google Scholar] [CrossRef]
18. Almalaq A, Alqunun K, Abbassi R, Ali ZM, Refaat MM, Abdel Aleem SHE. Integrated transmission expansion planning incorporating fault current limiting devices and thyristor-controlled series compensation using meta-heuristic optimization techniques. Sci Rep. 2024;14(1):13046. doi:10.1038/s41598-024-63331-1. [Google Scholar] [PubMed] [CrossRef]
19. Ahmed Zeidan M, Hammad MR, Ibrahim Megahed A, AboRas KM, Alkuhayli A, Gowtham N. Enhancement of a hybrid electric shipboard microgrid’s frequency stability with triangulation topology aggregation optimizer-based 3DOF-PID-TI controller. IEEE Access. 2024;12(3):66625–45. doi:10.1109/access.2024.3399325. [Google Scholar] [CrossRef]
20. Kumari P, Rahman M, Mani Sankar M. Parameter estimation of solar PV module employing electric EEL foraging optimization algorithm. IOP Conf Ser Earth Environ Sci. 2024;1375(1):012011. doi:10.1088/1755-1315/1375/1/012011. [Google Scholar] [CrossRef]
21. Alam DF, Yousri DA, Eteiba MB. Flower Pollination Algorithm based solar PV parameter estimation. Energy Convers Manag. 2015;101(9):410–22. doi:10.1016/j.enconman.2015.05.074. [Google Scholar] [CrossRef]
22. Xiong G, Zhang J, Shi D, He Y. Parameter extraction of solar photovoltaic models using an improved whale optimization algorithm. Energy Convers Manag. 2018;174(8):388–405. doi:10.1016/j.enconman.2018.08.053. [Google Scholar] [CrossRef]
23. Ellithy HH, Taha AM, Hasanien HM, Attia MA, El-Shahat A, Abdel Aleem SHE. Estimation of parameters of triple diode photovoltaic models using hybrid particle swarm and grey wolf optimization. Sustainability. 2022;14(15):9046. doi:10.3390/su14159046. [Google Scholar] [CrossRef]
24. Premkumar M, Jangir P, Ramakrishnan C, Kumar C, Sowmya R, Deb S, et al. An enhanced Gradient-based Optimizer for parameter estimation of various solar photovoltaic models. Energy Rep. 2022;8(6):15249–85. doi:10.1016/j.egyr.2022.11.092. [Google Scholar] [CrossRef]
25. Eker E, Izci D, Ekinci S, Salman MS, Rashdan M. Performance evaluation of logarithmic spiral search and selective mechanism based arithmetic optimizer for parameter extraction of different photovoltaic cell models. PLoS One. 2024;19(7):e0308110. doi:10.1371/journal.pone.0308110. [Google Scholar] [PubMed] [CrossRef]
26. Ismail HA, Diab AAZ. An efficient, fast, and robust algorithm for single diode model parameters estimation of photovoltaic solar cells. IET Renew Power Gener. 2024;18(5):863–74. doi:10.1049/rpg2.12958. [Google Scholar] [CrossRef]
27. Murugaiyan NK, Chandrasekaran K, Manoharan P, Derebew B. Leveraging opposition-based learning for solar photovoltaic model parameter estimation with exponential distribution optimization algorithm. Sci Rep. 2024;14(1):528. doi:10.1038/s41598-023-50890-y. [Google Scholar] [PubMed] [CrossRef]
28. Mohamed R, Abdel-Basset M, Sallam KM, Hezam IM, Alshamrani AM, Hameed IA. Novel hybrid Kepler optimization algorithm for parameter estimation of photovoltaic modules. Sci Rep. 2024;14(1):3453. doi:10.1038/s41598-024-52416-6. [Google Scholar] [PubMed] [CrossRef]
29. Singsathid P, Wetweerapong J, Puphasuk P. Parameter estimation of solar PV models using self-adaptive differential evolution with dynamic mutation and pheromone strategy. Int J Math Comput Sci. 2024;19(1):13–21. doi:10.11591/eei.v13i1.6590. [Google Scholar] [CrossRef]
30. Ganesh CSS, Kumar C, Premkumar M, Derebew B. Enhancing photovoltaic parameter estimation: integration of non-linear hunting and reinforcement learning strategies with golden jackal optimizer. Sci Rep. 2024;14(1):2756. doi:10.1038/s41598-024-52670-8. [Google Scholar] [PubMed] [CrossRef]
31. Yang B, Wang J, Zhang X, Yu T, Yao W, Shu H, et al. Comprehensive overview of meta-heuristic algorithm applications on PV cell parameter identification. Energy Convers Manag. 2020;208(5):112595. doi:10.1016/j.enconman.2020.112595. [Google Scholar] [CrossRef]
32. Moustafa G, Alnami H, Ginidi AR, Shaheen AM. An improved Kepler optimization algorithm for module parameter identification supporting PV power estimation. Heliyon. 2024;10(21):e39902. doi:10.1016/j.heliyon.2024.e39902. [Google Scholar] [PubMed] [CrossRef]
33. Chen X, Yue H, Yu K. Perturbed stochastic fractal search for solar PV parameter estimation. Energy. 2019;189:116247. doi:10.1016/j.energy.2019.116247. [Google Scholar] [CrossRef]
34. Elazab OS, Hasanien HM, Elgendy MA, Abdeen AM. Parameters estimation of single- and multiple-diode photovoltaic model using whale optimisation algorithm. IET Renew Power Gener. 2018;12(15):1755–61. doi:10.1049/iet-rpg.2018.5317. [Google Scholar] [CrossRef]
35. Qais MH, Hasanien HM, Alghuwainem S. Transient search optimization for electrical parameters estimation of photovoltaic module based on datasheet values. Energy Convers Manag. 2020;214(2):112904. doi:10.1016/j.enconman.2020.112904. [Google Scholar] [CrossRef]
36. Bayoumi AS, El-Sehiemy RA, Mahmoud K, Lehtonen M, Darwish MMF. Assessment of an improved three-diode against modified two-diode patterns of MCS solar cells associated with soft parameter estimation paradigms. Appl Sci. 2021;11(3):1055. doi:10.3390/app11031055. [Google Scholar] [CrossRef]
37. Lo WL, Chung HSH, Hsung RTC, Fu H, Shen TW. PV panel model parameter estimation by using neural network. Sensors. 2023;23(7):3657. doi:10.3390/s23073657. [Google Scholar] [PubMed] [CrossRef]
38. Lo WL, Chung HS, Hsung RT, Fu H, Shen TW. PV panel model parameter estimation by using particle swarm optimization and artificial neural network. Sensors. 2024;24(10):3006. doi:10.3390/s24103006. [Google Scholar] [PubMed] [CrossRef]
39. Chen X, Wang S, He K. Parameter estimation of various PV cells and modules using an improved simultaneous heat transfer search algorithm. J Comput Electron. 2024;23(3):584–99. doi:10.1007/s10825-024-02153-w. [Google Scholar] [CrossRef]
40. Sharma A, Lim WH, El-Kenawy EM, Tiang SS, Bhandari AS, Alharbi AH, et al. Identification of photovoltaic module parameters by implementing a novel teaching learning based optimization with unique exemplar generation scheme (TLBO-UEGS). Energy Rep. 2023;10(5):1485–506. doi:10.1016/j.egyr.2023.08.019. [Google Scholar] [CrossRef]
41. Sharma A, Sharma A, Averbukh M, Jately V, Rajput S, Azzopardi B, et al. Performance investigation of state-of-the-art metaheuristic techniques for parameter extraction of solar cells/module. Sci Rep. 2023;13(1):11134. doi:10.1038/s41598-023-37824-4. [Google Scholar] [PubMed] [CrossRef]
42. Sharma A, Dasgotra A, Tiwari SK, Sharma A, Jately V, Azzopardi B. Parameter extraction of photovoltaic module using tunicate swarm algorithm. Electronics. 2021;10(8):878. doi:10.3390/electronics10080878. [Google Scholar] [CrossRef]
43. Sharma A, Sharma A, Dasgotra A, Jately V, Ram M, Rajput S, et al. Opposition-based tunicate swarm algorithm for parameter optimization of solar cells. IEEE Access. 2021;9:125590–602. doi:10.1109/access.2021.3110849. [Google Scholar] [CrossRef]
44. Farayola A, Sun Y, Ali A, Khan B. Application of improved Jellyfish search algorithm for 9-parameters cell extraction and GMPPT in PV systems. Sci Rep. 2024;14(1):24602. doi:10.1038/s41598-024-75619-3. [Google Scholar] [PubMed] [CrossRef]
45. Izci D, Ekinci S, Hussien AG. Efficient parameter extraction of photovoltaic models with a novel enhanced prairie dog optimization algorithm. Sci Rep. 2024;14(1):7945. doi:10.1038/s41598-024-58503-y. [Google Scholar] [PubMed] [CrossRef]
46. Singh A, Sharma A, Rajput S, Mondal AK, Bose A, Ram M. Parameter extraction of solar module using the sooty tern optimization algorithm. Electronics. 2022;11(4):564. doi:10.3390/electronics11040564. [Google Scholar] [CrossRef]
47. Noor Mohammed Bakhit RM, Sharma A, Lim TH, Wong CH, Chong KS, Pan L, et al. Tackling photovoltaic (PV) estimation challenges: an innovative AOA variant for improved accuracy and robustness. Proc Int Conf Artif Life Robot. 2024;29:871–6. doi:10.5954/icarob.2024.os26-8. [Google Scholar] [CrossRef]
48. Sharma A, Sharma A, Averbukh M, Rajput S, Jately V, Choudhury S, et al. Improved moth flame optimization algorithm based on opposition-based learning and Lévy flight distribution for parameter estimation of solar module. Energy Rep. 2022;8(2):6576–92. doi:10.1016/j.egyr.2022.05.011. [Google Scholar] [CrossRef]
49. Michael P. LabVIEW virtual instrument 6 parameter PV model graph [Internet]. [cited 2025 Nov 1]. Available from: https://ieee-dataport.org/documents/labview-virtual-instrument-6-parameter-pv-model-graph. [Google Scholar]
50. Abualigah L, Yousri D, Abd Elaziz M, Ewees AA, Al-qaness MAA, Gandomi AH. Aquila Optimizer: a novel meta-heuristic optimization algorithm. Comput Ind Eng. 2021;157(11):107250. doi:10.1016/j.cie.2021.107250. [Google Scholar] [CrossRef]
51. Abualigah L, Diabat A, Mirjalili S, Abd Elaziz M, Gandomi AH. The arithmetic optimization algorithm. Comput Meth Appl Mech Eng. 2021;376(2):113609. doi:10.1016/j.cma.2020.113609. [Google Scholar] [CrossRef]
52. Zhao S, Zhang T, Ma S, Chen M. Dandelion Optimizer: a nature-inspired metaheuristic algorithm for engineering applications. Eng Appl Artif Intell. 2022;114(2):105075. doi:10.1016/j.engappai.2022.105075. [Google Scholar] [CrossRef]
53. Dehghani M, Trojovská E, Trojovský P. Driving training-based optimization: a new human-based metaheuristic algorithm for solving optimization problems. Res Sq. 2022:1–13. doi:10.21203/rs.3.rs-1506972/v1. [Google Scholar] [CrossRef]
54. Trojovská E, Dehghani M, Trojovský P. Zebra optimization algorithm: a new bio-inspired optimization algorithm for solving optimization algorithm. IEEE Access. 2022;10:49445–73. doi:10.1109/access.2022.3172789. [Google Scholar] [CrossRef]
55. Montazeri Z, Niknam T, Aghaei J, Malik OP, Dehghani M, Dhiman G. Golf optimization algorithm: a new game-based metaheuristic algorithm and its application to energy commitment problem considering resilience. Biomimetics. 2023;8(5):386. doi:10.3390/biomimetics8050386. [Google Scholar] [PubMed] [CrossRef]
56. Dehghani M, Trojovský P. Osprey optimization algorithm: a new bio-inspired metaheuristic algorithm for solving engineering optimization problems. Front Mech Eng. 2023;8:1126450. doi:10.3389/fmech.2022.1126450. [Google Scholar] [CrossRef]
57. Amiri MH, Hashjin NM, Montazeri M, Mirjalili S, Khodadadi N. Hippopotamus optimization algorithm: a novel nature-inspired optimization algorithm. Sci Rep. 2024;14(1):5032. doi:10.1038/s41598-024-54910-3. [Google Scholar] [PubMed] [CrossRef]
58. Ranga MR, Bathina VR, Kotni S. Improved grey wolf optimization for parameter extraction of polycrystalline and mono crystalline solar PV panels using double diode model. Frankl Open. 2025;11(2):100273. doi:10.1016/j.fraope.2025.100273. [Google Scholar] [CrossRef]
59. Dal S, Sezgin N. Estimation of uncertain parameters in single and double diode models of photovoltaic panels using frilled lizard optimization. Electronics. 2025;14(4):796. doi:10.3390/electronics14040796. [Google Scholar] [CrossRef]
60. Wang M, Zhao X, Heidari AA, Chen H. Evaluation of constraint in photovoltaic models by exploiting an enhanced ant lion optimizer. Sol Energy. 2020;211(4):503–21. doi:10.1016/j.solener.2020.09.080. [Google Scholar] [CrossRef]
61. Oliva D, Cuevas E, Pajares G. Parameter identification of solar cells using artificial bee colony optimization. Energy. 2014;72(5):93–102. doi:10.1016/j.energy.2014.05.011. [Google Scholar] [CrossRef]
62. El-Naggar KM, AlRashidi MR, AlHajri MF, Al-Othman AK. Simulated Annealing algorithm for photovoltaic parameters identification. Sol Energy. 2012;86(1):266–74. doi:10.1016/j.solener.2011.09.032. [Google Scholar] [CrossRef]
63. AlHajri MF, El-Naggar KM, AlRashidi MR, Al-Othman AK. Optimal extraction of solar cell parameters using pattern search. Renew Energy. 2012;44(4):238–45. doi:10.1016/j.renene.2012.01.082. [Google Scholar] [CrossRef]
64. Oliva D, Abd El Aziz M, Ella Hassanien A. Parameter estimation of photovoltaic cells using an improved chaotic whale optimization algorithm. Appl Energy. 2017;200:141–54. doi:10.1016/j.apenergy.2017.05.029. [Google Scholar] [CrossRef]
65. Long W, Wu T, Xu M, Tang M, Cai S. Parameters identification of photovoltaic models by using an enhanced adaptive butterfly optimization algorithm. Energy. 2021;229(2018):120750. doi:10.1016/j.energy.2021.120750. [Google Scholar] [CrossRef]
Cite This Article
Copyright © 2026 The Author(s). Published by Tech Science Press.This work is licensed under a Creative Commons Attribution 4.0 International License , which permits unrestricted use, distribution, and reproduction in any medium, provided the original work is properly cited.


Submit a Paper
Propose a Special lssue
View Full Text
Download PDF
Downloads
Citation Tools