Open Access
ARTICLE
Influence of Multiple Electromagnetic Sources for Heat Transfer Improvement of Ferrofluid Flow inside the Serpentine Tube: A Computational Study
1 Department of Mechanical Engineering, Iranian Research Organization for Science and Technology (IROST), Tehran, Iran
2 Department of Mechanical Engineering, Technical and Vocational University (TVU), Tehran, Iran
3 Faculty of Mechanical Engineering, University of Tabriz, Tabriz, Iran
* Corresponding Authors: M. Barzegar Gerdroodbary. Email: ,
(This article belongs to the Special Issue: Applications of Modelling and Simulation in Nanofluids)
Computer Modeling in Engineering & Sciences 2026, 146(2), 21 https://doi.org/10.32604/cmes.2026.076115
Received 14 November 2025; Accepted 28 January 2026; Issue published 26 February 2026
Abstract
This study investigates the enhancement of convective heat transfer in a serpentine pipe using ferrofluid flow influenced by dual non-uniform magnetic sources. The primary objective is to improve thermal performance in compact cooling systems, such as those used in heat exchangers. A two-dimensional, steady-state Computational Fluid Dynamic (CFD) model is developed in ANSYS Fluent to simulate the behavior of an incompressible ferrofluid under applied constant heat flux and magnetic fields. The magnetic force is modeled using the Kelvin force, which acts on magnetized nanoparticles in response to spatially varying electromagnetic fields generated by two strategically positioned current-carrying wires. The effects of magnetic field strength, quantified by the magnetic number (Mn), on flow behavior and temperature distribution are thoroughly analyzed. The results indicate that increasing Mn leads to higher Nusselt numbers, demonstrating enhanced convective heat transfer. Secondary vortices induced by magnetic forcing improve fluid mixing, particularly in curved regions of the pipe. A mesh-independence study and model validation with benchmark data support the reliability of the numerical framework. This work highlights the potential of magnetic-field-assisted thermal control in energy-efficient cooling applications and provides a foundation for the further development of advanced ferrofluid-based heat transfer systems.Keywords
The enhancement of heat transfer in industrial applications is crucial for optimizing energy efficiency, reducing operational costs, and improving the overall performance of various systems [1–3]. One promising technique that has garnered significant attention is the use of ferrofluids in conjunction with magnetic fields. Ferrofluids, which are engineered by suspending nanoparticles in a base fluid, exhibit superior thermal properties compared to conventional fluids. When combined with the application of a magnetic field, particularly a non-uniform magnetic field, the heat transfer characteristics can be further improved. This synergy between ferrofluids and magnetic fields has the potential to revolutionize heat transfer technologies in industries such as chemical processing, power generation, and cooling systems for electronic devices [4,5].
Ferrofluids are a relatively recent innovation in the field of thermal management, offering a remarkable improvement in heat transfer compared to traditional fluids such as water, ethylene glycol, or oils. By suspending nanoparticles such as metal oxides (e.g., Al2O3, CuO) or carbon-based particles (e.g., graphene, carbon nanotubes) in a base fluid, the thermal conductivity of the fluid is significantly enhanced [6–8]. Nanoparticles, due to their high surface area-to-volume ratio and superior thermal conductivity, improve the heat conduction pathways within the fluid, allowing for more efficient energy transfer [9,10].
The thermal performance of ferrofluids is influenced by several factors, including the size, shape, and concentration of the nanoparticles, as well as the properties of the base fluid. For industrial applications, optimizing these parameters is crucial for maximizing heat transfer while maintaining the stability and flow ability of the ferrofluid. Despite the inherent improvements in thermal properties, however, ferrofluids still face challenges related to particle agglomeration, sedimentation, and increased viscosity [11–13]. These challenges can be addressed by external interventions such as the application of magnetic fields, particularly non-uniform magnetic fields, which offer an additional layer of control over the fluid’s behavior [14].
The application of magnetic fields in heat transfer systems, especially in conjunction with ferrofluids, is a burgeoning area of research. Magneticfields can be used to manipulate the flow and distribution of particles within the fluid, thereby enhancing heat transfer processes. This is especially true for magnetic particles in base fluid, also known as ferrofluids, which contain magnetically responsive nanoparticles [15–17]. When subjected to a magnetic field, these particles align along the field lines, creating pathways for improved thermal conduction.
The impact of a magnetic field on heat transfer is described by magnetohydrodynamics, which refers to the study of the behavior of electrically conductive fluids in the presence of a magnetic field [18–20]. In the case of ferrofluids, even non-magnetic particles can exhibit MHD (Magneto-hydrodynamic)-like effects due to the influence of the magnetic field on the base fluid and the convective heat transfer processes. The magnetic field alters the fluid flow, induces secondary flows, and can even suppress turbulence, all of which contribute to a modified heat transfer profile.
Recent studies on ferrofluid heat transfer have advanced our understanding of magnetic field-driven flow dynamics. For instance, Zhang and Zhang [16] demonstrated that uniform magnetic fields enhance thermal conductivity in straight microchannels by aligning nanoparticles into chain-like structures, while Pishkar et al. [17] reported a 25% improvement in heat transfer using oscillating magnetic fields in flat-plate solar collectors. However, these studies predominantly focus on simplified geometries (e.g., straight channels) or homogeneous magnetic fields. In contrast, practical industrial systems often involve curved or complex geometries where non-uniform magnetic fields and flow curvature synergistically influence heat transfer—a scenario underexplored in current literature. Recent work by Feizi khosroshahi and Goharkhah [18] highlighted the potential of localized magnetic sources in serpentine channels but did not address the combined effects of curvature-induced secondary flows and magnetic field gradients. Furthermore, while the role of Reynolds number in ferrofluid heat transfer has been studied in straight pipes [21,22], its interplay with spatially varying magnetic fields in curved geometries remains unresolved [23,24]. This gap limits the design of efficient cooling systems for applications like compact heat exchangers or electronics with non-linear flow paths. The present investigation addresses this by analyzing ferrofluid flow in a curved pipe with strategically placed magnetic wires, explicitly examining how non-uniform magnetic fields (via wire positioning) and Reynolds number modulate vortex generation, boundary layer disruption, and thermal performance. Unlike prior studies, this work quantifies the synergy between geometric curvature, magnetic field gradients, and flow regime, providing actionable insights for optimizing real-world thermal management systems.
A non-uniform magnetic field refers to a magnetic field whose strength and direction vary over space, as opposed to a uniform magnetic field that is constant throughout the system [21–23]. Non-uniform magnetic fields introduce several distinct advantages over uniform fields, particularly in the context of heat transfer in pipes. Non-uniform magnetic fields allow for localized control of the ferrofluid flow and particle distribution. Tyagi et al. [23] present a comprehensive state-of-the-art review of nanofluid spray and jet impingement cooling, emphasizing how nanoparticle addition, jet configuration, flow regime, and thermophysical property modification collectively enhance convective heat transfer compared with conventional fluids. Their review highlights that mechanisms such as enhanced thermal conductivity, micro-mixing, and secondary vortical structures play a dominant role in heat transfer augmentation, while also noting practical challenges including particle agglomeration, erosion, and pressure-drop penalties. Complementing this perspective, the coupled thermo-electro-hydrodynamics of nanofluids under conjugate heat transfer conditions, focusing on entropy generation minimization as a rigorous performance metric has been investigated in various researches [23,24]. Their numerical analysis demonstrates that the interaction between electric fields, flow structures, and solid–fluid thermal coupling significantly alters temperature distribution, flow behavior, and irreversibility, enabling optimized thermal performance through appropriate control of electrical and flow parameters. Together, these studies provide a strong theoretical and computational foundation for understanding both heat-transfer enhancement mechanisms and thermodynamic optimization strategies in advanced nanofluid-based thermal systems. By adjusting the magnetic field strength and gradient, it is possible to concentrate nanoparticles in specific regions, thereby increasing the local thermal conductivity and improving heat dissipation [25–27]. The varying magnetic field strength in a non-uniform field can induce magnetic convection, which enhances the fluid motion and, consequently, the convective heat transfer. In industrial applications where natural convection is the primary mode of heat transfer, the addition of a non-uniform magnetic field can significantly boost the overall heat transfer coefficient by promoting stronger fluid circulation of the challenges of using ferrofluids is the tendency of nanoparticles to sediment over time, especially in low-flow or stagnant regions of the pipe. A non-uniform magnetic field can mitigate this issue by continuously redistributing the particles throughout the fluid [28–30].
The magnetic field gradient exerts a force on the nanoparticles, preventing them from settling at the bottom of the pipe and ensuring a uniform suspension, which is critical for maintaining consistent heat transfer performance. The potential industrial applications of non-uniform magnetic fields combined with ferrofluids are vast, ranging from cooling systems for high-performance electronics to heat exchangers in power plants. In the chemical processing industry, where precise temperature control is crucial for reactions and separations, this approach offers a way to enhance heat transfer efficiency while minimizing energy consumption. Similarly, in the automotive and aerospace industries, where weight and space constraints limit the size of heat exchangers, the use of ferrofluids and non-uniform magnetic fields allows for more compact, high-performance cooling solutions. Furthermore, in renewable energy systems, such as solar thermal collectors and geothermal heat exchangers, the combination of ferrofluids and magnetic fields can improve the efficiency of energy capture and conversion, making these systems more viable for large-scale deployment.
Previous research often focused on uniform magnetic fields or simplified geometries, limiting practical applicability. This work bridges the gap by providing a spatially adaptive magnetic field solution for real-world curved systems. Besides, this work will quantify how magnetic field strength (Mn) and flow regime (Re) jointly govern thermal performance. Also, this study Offers a blueprint for designing energy-efficient, compact cooling systems with magnetically tunable heat transfer. In essence, the study pioneers a multiphysics approach (magnetic + fluid + thermal) to tackle industrial thermal challenges, marking a significant leap beyond conventional passive cooling methods.
In conclusion, the use of non-uniform magnetic fields to enhance heat transfer in ferrofluid-based systems represents a promising advancement for industrial applications. In this context, the use of a non-uniform magnetic field for enhancing heat transfer with ferrofluids inside pipes represents a cutting-edge approach that leverages the unique properties of both the fluid and the magnetic forces. This technique not only improves the thermal conductivity of the fluid but also introduces additional mechanisms such as ferrohydrodynamic (FHD) effects that further enhance the overall heat transfer rate. The present work investigates the use of the Multiple magnetic source for the improvement of the heat transfer through serpentine tube. Computational studies have been performed to evaluate the role of the non-uniform magnetic sources on the ferrofluid flow stream within serpentine pipe as shown in Fig. 1. The pipe has a bent or curved section, which is an area of interest for potential heat transfer enhancements. This bending could also alter the flow characteristics, increasing local convective heat transfer.

Figure 1: Serpentine model (a) dimension and (b) boundary condition.
The primary objective of this study is to numerically investigate the enhancement of convective heat transfer in a serpentine pipe using ferrofluid flow subjected to dual, spatially non-uniform magnetic sources. Specifically, this work aims to: (i) quantify the effect of magnetic field strength, expressed through the magnetic number (Mn), on flow structure, vortex formation, and Nusselt number distribution; (ii) examine the role of strategically positioned magnetic wires within curved regions of the pipe in promoting secondary flows and thermal boundary-layer disruption; (iii) analyze the interaction between Reynolds number and magnetic forcing to elucidate their combined influence on heat transfer performance; and (iv) validate the proposed numerical framework through mesh independence testing and comparison with benchmark data. These objectives collectively seek to provide practical design insights for magnetically tunable, high-efficiency cooling systems in compact heat exchanger applications.
2 Model Description and Computational Methodology
Fig. 1 shows a schematic of a pipe with an applied constant heat flux (q″) that is constant throughout the system. Inside the curved section of the pipe, two red points labeled as “wirel” and “wire2” are placed at specific positions, measured using the distances (al), (a2), and (b). These wires, positioned nearby the pipe, likely represent magnetic sources (electrically charged wires or conductors) that are placed to influence the flow or thermal behavior inside the pipe through magnetic effects. The coordinate system shown ((x)-axis and (y)-axis) helps define the spatial arrangement of the magnetic sources inside the system. The two red points (wirel and wire2) represent magnetic sources or conductors. These wires can generate magnetic fields, which can influence the flow of the fluid inside the pipe. The placement of the wires, defined by (al), (a2), and (b), shows that they are positioned strategically within the curved section to optimize their impact on the flow and heat transfer processes. The positioning of wires suggests that a non-uniform magnetic field is generated. As the wires are placed at different distances, the field strength and orientation would vary across the pipe, influencing the fluid’s motion and thermal properties in this region. This is particularly useful when working with magnetically responsive fluids like ferrofluids or ferrofluids containing magnetic nanoparticles, as they can experience enhanced convective currents due to magnetic forces. The ferrofluid flow with constant temperature of 300 K enter to the pipe where applied heat flux is 1000 W/m2k. The main specs of the model are:
The simulation of the incompressible ferrofluid stream is conducted by solving the Navier-Stokes equations in a steady state, laminar and two-dimensional assuming that the ferro nanoparticles with magnetic properties are homogeneously mixed in the base water flow [26–28]. Due to the small size of the nanoparticles, the ferrofluid is considered a single-phase fluid [29]. A key advantageous feature of the nanoparticles in the water-based flow is their response to magnetic sources. When subjected to a non-uniform electromagnetic force, the applied force on the ferro particles alters the flow, creating vortices that significantly impact the thermal characteristics of the ferrofluid flow [30–32]. The main governing equations are presented as follows:
In these equations,
where the term H signifies the magnetic field intensity of the electromagnetic source, while M represents the magnetic properties of the ferrofluid [25] and these two terms are calculated by these equations:
where
where
Our simulations are conducted by ANSYS-FLUENT software for modeling of the ferrofluid under non-uniform magnetic field [30]. The pressure-velocity coupling was handled via the SIMPLE algorithm, with second-order upwind discretization for momentum and energy equations to minimize numerical diffusion. Convergence criteria were set to 10−6 for residuals of continuity and momentum equations and 10−8 for energy. The value of Magnetic intensity (Mn) and Nusselt number are calculated via these formulas [33]:
In Table 1, characteristics of the component of ferrofluid are presented.

Fig. 2 illustrates the schematic of generated grid for the selected model. The grid near the wall is denser since the temperature gradient near the pipe wall is higher than other regions. The structured grid with different cell numbers has been examined for grid independency as presented in Fig. 3. As shown in the figure, the change of normalized temperature along the height of the model is limited for the chosen model. The grid with 31,200 (60 × 520) cells is selected for the present study. Fig. 4 displays the flowchart of the present study for the modeling and analysis of the non-uniform magnetic field on the heat transfer near serpentine tube.

Figure 2: Structured grid.

Figure 3: Grid study.

Figure 4: Flowchart of our investigation.
A structured hexahedral grid (Fig. 2) was chosen for its accuracy in resolving boundary layers and compatibility with the curved geometry. Mesh density was increased near the pipe walls (inflation layers) to capture steep temperature gradients. Grid independence was verified by monitoring the normalized Nusselt number (Nu) and wall shear stress across four mesh densities (12,800 to 42,000 cells). The 31,200-cell grid was selected as changes in Nu and velocity profiles fell below 1% compared to the finest mesh.
The numerical predictions presented in this study are subject to several modeling and computational assumptions that may introduce uncertainty into the results. First, mesh resolution uncertainty was addressed through a systematic grid independence study, in which multiple structured meshes were examined. The selected grid ensured that variations in the normalized Nusselt number and velocity profiles remained below 1% compared to finer meshes, indicating that discretization errors have a negligible influence on the reported heat transfer trends.
Second, the simulations were performed under a steady-state assumption. While this approach is appropriate for the laminar flow regime considered and significantly reduces computational cost, it inherently neglects transient fluctuations that may arise from unsteady vortex dynamics, particularly at higher Reynolds numbers or stronger magnetic fields. Consequently, the present results should be interpreted as time-averaged representations of the flow and thermal fields.
Third, the ferrofluid was modeled using a single-phase homogeneous formulation, assuming uniform dispersion of magnetic nanoparticles within the base fluid and neglecting particle–particle interactions, agglomeration, and slip velocity effects. This assumption is commonly adopted for low nanoparticle volume fractions and small particle sizes, where Brownian motion dominates and relative velocity between phases is minimal. Nevertheless, in practical systems with higher particle concentrations or long-term operation, multiphase effects may influence both flow resistance and heat transfer performance.
Overall, although these assumptions may limit the direct extension of the results to highly unsteady or particle-rich conditions, they do not alter the fundamental physical trends observed. The consistency of the results across mesh refinement, along with validation against benchmark data, supports the robustness of the conclusions. Future studies incorporating transient simulations and two-phase ferrofluid models are recommended to further reduce modeling uncertainty and extend applicability to broader operating conditions.
The validation of the results is performed by the comparison of the heat flux changes along the pipe with ferrofluid flow at Reynolds number of 900. Table 2 compares the heat flux changes along the straight pipe for ferrofluid flow with computational data of He et al. [34]. In the selected model, the nanoparticle volume fraction is 0.24 and comparison of the data confirm the validation of our model.

Fig. 5 displays the flow change related to the presence of double magnetic field near the serpentine in different magnetic intensities in ferrofluid flow. The streamlines in this figure demonstrate how magnetic sources placed inside a pipe can significantly affect the flow characteristics. The induced secondary flows and vortices help improve mixing and heat transfer, making the system more efficient for cooling or heat exchanger applications. By placing magnetic sources in areas with complex flow patterns, such as bends, the fluid flow can be controlled to optimize heat dissipation. This approach, especially when using magnetic ferrofluids or ferrofluids, offers promising potential for industrial cooling and thermal management systems.

Figure 5: Effects of multiple magnetic sources on the stream in serpentine pipe (a) Mn = 0, (b) Mn =
The streamlines are clearly disrupted near both magnetic wires (wirel and wire2). This indicates that the magnetic fields generated by these wires are exerting forces on the fluid, altering its natural flow pattern. Near wire 1, the streamlines converge and form eddies or recirculation zones, which suggests that the magnetic field has created localized vortices. Similarly, around wire2, another set of recirculation zones is observed, indicating the formation of vortical structures due to the magnetic effects. The streamlines appear to converge as they approach the central region of the bend (close to both source of magnetic field). This is likely due to the influence of the magnetic fields generated by the wires, which is pulling the fluid toward the regions where the magnetic field is strongest. As the fluid passes through the curved section, the magnetic field appears to be influencing the flow by redirecting it and creating secondary circulatory flows. These circulatory flows enhance the overall mixing of the fluid. The regions directly downstream of wire l and wire 2 show the formation of eddies or vortex-like structures. This is a result of the interaction between the fluid and the magnetic field generated by the wires. The eddies indicate that the magnetic forces are disrupting the flow and creating regions of intense mixing, which can enhance heat transfer by promoting better fluid interaction with the pipe walls. Source of magnetic field are placed in the curved section of the pipe, and the magnetic field generated by these wires influences the flow pattern. The magnetic fields can create Kelvin force, which alter the velocity distribution and induce secondary flows in the fluid.
In the vicinity of first magnetic source, there is an observable disruption in the streamlines, with small vortex formations in the immediate vicinity. This suggests that the magnetic field is influencing the fluid velocity and potentially causing localized mixing or turbulence. In the vicinity of second magnetic source, similar disruptions in the flow occur, with another vortex or eddy forming. These areas show that the magnetic sources are affecting the flow stability, causing the streamlines to bend and twist as the fluid interacts with the magnetic fields. The flow appears to accelerate and decelerate at different points along the streamline pattern. The magnetic forces likely induce these changes in velocity. In areas where the magnetic field is strongest (close to the wires), the flow decelerates, creating areas of recirculation. In contrast, farther from the wires, the flow accelerates as the magnetic forces dissipate. The figure also confirms how the magnetic intensities could expand the produced eddies in the serpentine pipe.
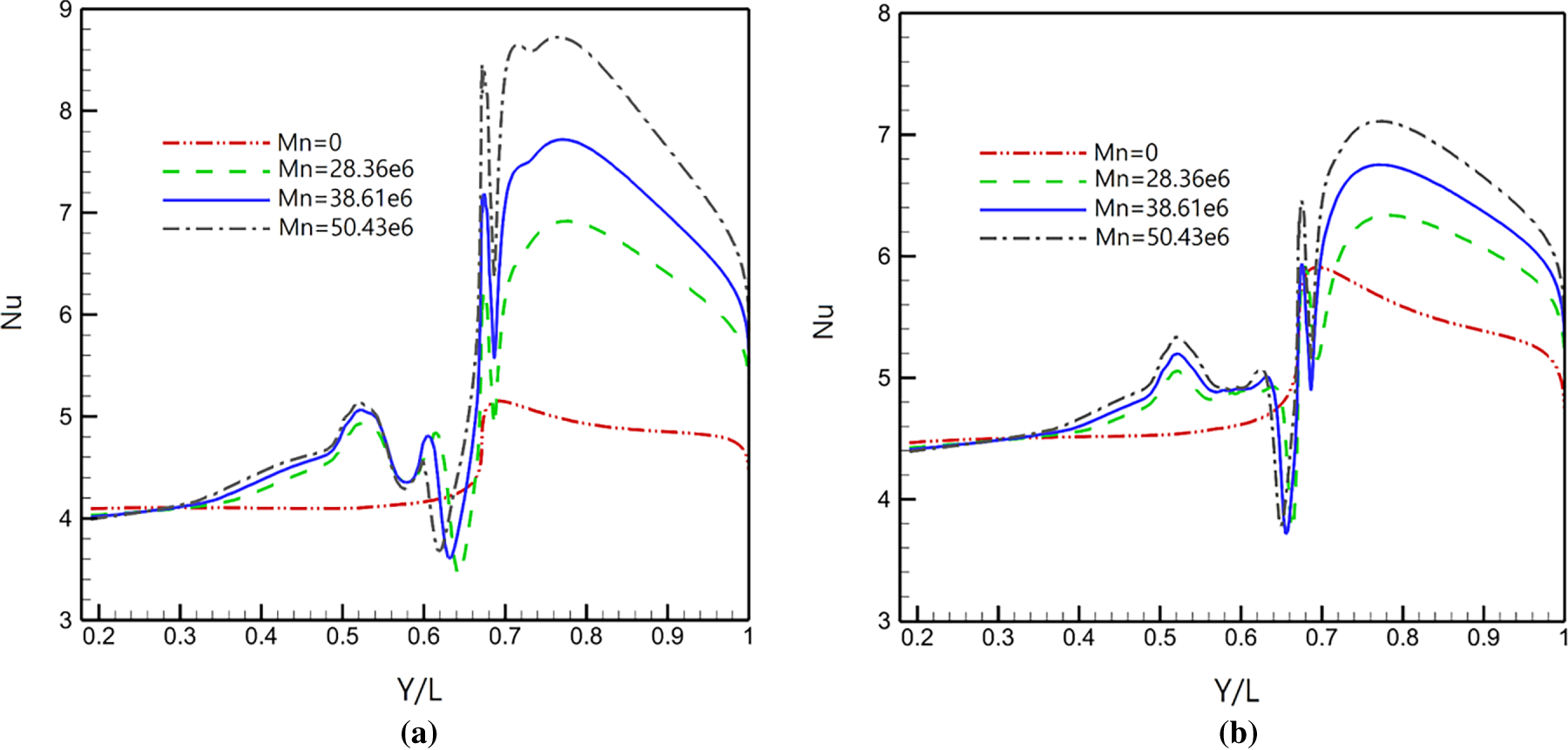
Fig. 6 depicts the variation of the Nusselt number (Nu) along the dimensionless Y/L axis, representing the normal direction (Y) scaled by the length (L) of the system. The curves correspond to different values of Mn, which likely represents a parameter related to the magnetic field strength or magnetic number (Mn). The Nusselt number is a key parameter in heat transfer, quantifying the enhancement of convective heat transfer relative to conductive heat transfer.

Figure 6: Effects of multiple magnetic sources on the Nusselt number along the y-axis (a) Re = 75 (b) Re = 125.
As shown in Figure, the Nusselt number remains relatively flat, with minor fluctuations and a gradual rise at Mn = 0. This indicates that, in the absence of a magnetic field, the convective heat transfer is largely governed by natural fluid dynamics, with little enhancement from external forces. As the magnetic number increases, the Nusselt number rises significantly along the Y/L axis. The results of model with
All curves experience a sharp decline in the Nusselt number beyond Y/L = 0.9, likely indicating a return to more stable flow conditions as the influence of the magnetic-induced vortices diminishes. The applied magnetic field creates forces that act on the fluid, leading to the formation of vortices or secondary flows. These vortices help break up the thermal boundary layer near the pipe or channel walls, enhancing convective heat transfer. The stronger the magnetic field (higher Mn), the greater the vortex strength, leading to higher Nusselt numbers. The peaks in the Nusselt number correspond to regions where the vortices are most effective. The magnetic field may generate alternating high and low-temperature regions, increasing the heat transfer rate. This is particularly visible for the strongest magnetic field (Mn =
Fig. 7 displays the variation of the Nusselt number (Nu) along the normalized coordinate Y/L (where Y is the normal direction and L is the length) for different Reynolds numbers (Re). The Reynolds number represents the ratio of inertial forces to viscous forces in fluid flow and is a critical parameter in determining the flow regime (laminar, transitional, or turbulent). The figure shows three curves, each corresponding to a different Reynolds number. As the Reynolds number increases, the flow becomes more inertial-dominated and approaches a more turbulent regime. This transition generally increases mixing within the flow, enhancing heat transfer due to more vigorous fluid motion. In this figure, for the lowest Reynolds number (Re = 75), the Nusselt number remains relatively low and does not show significant variation. The heat transfer is primarily governed by laminar flow characteristics, where the fluid moves in smooth, parallel layers with limited mixing.

Figure 7: The variation of the Nusselt number along the serpentine axis for different inlet velocities.
For Re = 125 (blue solid line), the Nusselt number reaches its maximum, showing a peak around Y/L = 0.7 and gradually declining afterward. This suggests that the fluid experiences greater convective heat transfer at higher Reynolds numbers, which is attributed to the increased velocity and turbulence of the flow. For Re = 125, the Nusselt number shows a sharp peak around Y/L = 0.7, indicating a region of intense heat transfer. This could be due to flow separation or the creation of vortices in this region, which enhance local convective heat transfer. These flow structures are more pronounced at higher Reynolds numbers due to the increased turbulence. The moderate Reynolds number (Re = 100, green dashed line) shows a similar trend but with a lower peak compared to Re = 125. The flow is still transitioning from laminar to turbulent, and while heat transfer is enhanced, it is not as efficient as in the fully turbulent regime.
Fig. 8 shows the non-dimensional temperature contours in a curved pipe with two magnetic sources positioned at specific locations along the curve. The dimensionless temperature varies smoothly along the pipe, with lower temperatures near the walls and higher temperatures concentrated near the central flow. The highest temperatures appear near the curved section of the pipe, specifically in the regions influenced by wire l and wire 2, suggesting that the magnetic field induced by the wires impacts the temperature distribution. The magnetic sources introduce Kelvin force that can modify the flow patterns within the fluid. These forces, acting on the fluid particles, can generate secondary vortices or alter the primary flow, which in turn impacts the way heat is transferred throughout the fluid.

Figure 8: Effects of magnetic sources on the temperature contour near the serpentine pipe (a) Mn = 0, (b) Mn =
The formation of vortices or enhanced mixing near the magnetic sources (wire l and wire 2) helps to distribute the heat more effectively, leading to more pronounced temperature differences in these regions. This mixing disrupts the boundary layer near the walls, allowing heat to be transferred more efficiently between the fluid and the pipe’s surface. In the downstream region (after the curved section), the temperature gradients begin to normalize, indicating that the influence of the magnetic field diminishes as the fluid moves away from the wires. The contour of the pressure displayed in Fig. 9 also confirms the pressure changes induced by the Magnetic source.

Figure 9: Contour of induced pressure gradient by double magnetic sources.
Fig. 10 illustrates the effect of Magnetic Fields on average Heat Transfer along the serpentine pipe with ferrofluid flow. The magnetic field interacts with the flow, likely through ferrohydrodynamic (FHD) effects, where Kelvin force alters the flow characteristics. These forces can induce secondary flows, vortices, or enhance turbulence, all of which increase the fluid’s mixing efficiency and improve heat transfer. As the magnetic number (Mn) increases, the magnetic forces exert a greater influence on the flow, leading to a more pronounced improvement in heat transfer, as reflected in the increasing Nusselt number. The increase in Nusselt number means that the heat transfer rate is improving. In practical terms, systems that use a magnetic field to control fluid flow can enhance convective heat transfer, making processes like cooling, heating, or heat exchange more efficient.

Figure 10: Change of the average Nusselt number in different magnetic source nearby serpentine pipe.
The primary limitation of this work lies in the modeling assumptions adopted to ensure computational tractability. The simulations are performed under steady-state, two-dimensional, and laminar flow conditions, which neglect possible transient effects and three-dimensional flow structures that may arise in practical serpentine pipes, especially at higher Reynolds numbers or under stronger magnetic forcing. Magnetic-field-induced vortices may exhibit unsteady behavior and spanwise variations that cannot be fully captured within a 2D steady framework. Consequently, the reported Nusselt number enhancements should be interpreted as time-averaged and planar representations of the underlying physics rather than a complete depiction of real three-dimensional ferrohydrodynamic behavior.
In addition, the ferrofluid is modeled as a single-phase homogeneous medium with uniformly dispersed nanoparticles, ignoring particle agglomeration, sedimentation, magnetophoretic migration, and inter-particle interactions. While this assumption is reasonable for low particle volume fractions and short operation times, it may limit the direct applicability of the results to long-term or high-concentration industrial systems. Moreover, viscous dissipation, Joule heating, and potential magnetic saturation effects are not considered. Future studies incorporating transient, three-dimensional simulations and multiphase ferrofluid models, along with experimental validation, are required to extend the applicability of the present findings to more realistic operating conditions.
This study demonstrates that the application of dual, strategically positioned non-uniform magnetic sources can substantially enhance convective heat transfer in a serpentine pipe carrying ferrofluid flow. The introduction of spatially varying magnetic fields generates Kelvin-force-induced secondary vortices, which intensify fluid mixing and effectively disrupt the thermal boundary layer, particularly within the curved sections of the pipe. Quantitatively, the results reveal that increasing the magnetic number from Mn = 0 to Mn = 50 × 106 leads to an enhancement of the average Nusselt number by up to 35%–45%, depending on the Reynolds number and wire positioning. At moderate Reynolds numbers (Re ≈ 125), where the balance between inertial and magnetic forces is most favorable, the magnetic actuation yields the maximum thermal improvement, while at lower Reynolds numbers the enhancement remains noticeable but less pronounced.
Furthermore, localized peaks in the Nusselt number are observed near the magnetic wire locations, confirming that targeted magnetic forcing can produce region-specific heat transfer augmentation without requiring global flow modification. The results also show that the effectiveness of magnetic control diminishes gradually downstream of the curved section as magnetic-induced vortices decay and the flow re-stabilizes. Overall, this work quantitatively confirms that non-uniform magnetic field actuation provides a passive and tunable mechanism for improving heat transfer performance in geometrically complex systems. The findings offer practical guidelines for designing compact, energy-efficient cooling devices—such as heat exchangers and electronic thermal management systems—where up to 40% improvement in convective heat transfer can be achieved without altering the physical geometry of the flow passage.
Acknowledgement: None.
Funding Statement: The authors received no specific funding.
Author Contributions: S. Valiallah Mousavi performed simulations and investigations, M. Barzegar Gerdroodbary developed software and supervised the projects and Seyyed Amirreza Abdollahi wrote manuscript. All authors reviewed and approved the final version of the manuscript.
Availability of Data and Materials: All data generated or analyzed during this study are included in this published article.
Ethics Approval: Not applicable.
Conflicts of Interest: The authors declare no conflicts of interest.
References
1. Al Ruwaili SG, Raju SSK, Kumar MD, Al Mukahal FHH. Heat transfer analysis for 3D ternary hybrid nanofluid flow with MHD and non-Fourier flux impact over a linearly stretching surface: response surface optimization. Case Stud Therm Eng. 2024;55(4):104095. doi:10.1016/j.csite.2024.104095. [Google Scholar] [CrossRef]
2. Abazari AM, Alizadeh AA, Gerdroodbary MB, Salavatidezfouli S. Kinetic energy harvesters: principles, technologies, and applications. Oxford, UK: Elsevier; 2025. p. 1–272. [Google Scholar]
3. Govindarajulu K, Subramanyam Reddy A, Rajkumar D, Thamizharasan T, Dinesh Kumar M, Sekhar KR. Numerical investigation on MHD non-Newtonian pulsating Fe3O4-blood nanofluid flow through vertical channel with nonlinear thermal radiation, entropy generation, and joule heating. Numer Heat Transf Part A Appl. 2026;87(1):2314730. doi:10.1080/10407782.2024.2314730. [Google Scholar] [CrossRef]
4. Hussain Z, Aljuaydi F, Ayaz M, Islam S. Enhancing thermal efficiency in MHD kerosene oil-based ternary hybrid nanofluid flow over a stretching sheet with convective boundary conditions. Results Eng. 2024;22:102151. doi:10.1016/j.rineng.2024.102151. [Google Scholar] [CrossRef]
5. Selimefendigil F, Ghachem K, Albalawi H, AlShammari BM, Kolsi L. Double conductive panel system cooling solutions: L-shaped channel and vented cavity under ternary nanofluid enhanced non-uniform magnetic field. Comput Model Eng Sci. 2025;144(1):899–925. doi:10.32604/cmes.2025.066555. [Google Scholar] [CrossRef]
6. Ghazanfari V, Taheri A, Amini Y, Mansourzade F. Enhancing heat transfer in a heat exchanger: CFD study of twisted tube and nanofluid (Al2O3, Cu, CuO, and TiO2) effects. Case Stud Therm Eng. 2024;53(12):103864. doi:10.1016/j.csite.2023.103864. [Google Scholar] [CrossRef]
7. Man Y, Gerdroodbary MB. Influence of Lorentz forces on forced convection of nanofluid in a porous enclosure. J Por Media. 2024;27(8):15–25. doi:10.1615/jpormedia.2024025325. [Google Scholar] [CrossRef]
8. Gerdroodbary MB, Jafaryar M, Sheikholeslami M, Amini Y. The efficacy of magnetic force on thermal performance of ferrofluid in a screw tube. Case Stud Therm Eng. 2023;49:103187. doi:10.1016/j.csite.2023.103187. [Google Scholar] [CrossRef]
9. Ghazanfari V, Imani M, Shadman MM, Amini Y, Zahakifar F. Numerical study on the thermal performance of the shell and tube heat exchanger using twisted tubes and Al2O3 nanoparticles. Prog Nucl Energy. 2023;155:104526. doi:10.1016/j.pnucene.2022.104526. [Google Scholar] [CrossRef]
10. Abdollahzadeh M, Esmaeilpour M. Enhancement of phase change material (PCM) based latent heat storage system with nano fluid and wavy surface. Int J Heat Mass Transf. 2015;80(1):376–85. doi:10.1016/j.ijheatmasstransfer.2014.09.007. [Google Scholar] [CrossRef]
11. Soltanipour H, Pourfattah F. Simultaneous use of non-uniform magnetic field and porous medium for the intensification of convection heat transfer of a magnetic nanofluid inside a tube. J Braz Soc Mech Sci Eng. 2021;43(10):459. doi:10.1007/s40430-021-03174-3. [Google Scholar] [CrossRef]
12. Nimmagadda R, Haustein HD, Godson Asirvatham L, Wongwises S. Effect of uniform/non-uniform magnetic field and jet impingement on the hydrodynamic and heat transfer performance of nanofluids. J Magn Magn Mater. 2019;479(4):268–81. doi:10.1016/j.jmmm.2019.02.019. [Google Scholar] [CrossRef]
13. Manh TD, Abazari AM, Barzegar Gerdroodbary M, Nam ND, Moradi R, Babazadeh H. Computational simulation of variable magnetic force on heat characteristics of backward-facing step flow. J Therm Anal Calorim. 2021;144(4):1585–96. doi:10.1007/s10973-020-09608-9. [Google Scholar] [CrossRef]
14. Tlili I, Moradi R, Gerdroodbary MB. Transient nanofluid squeezing cooling process using aluminum oxide nanoparticle. Int J Mod Phys C. 2019;30(11):1950078. doi:10.1142/s0129183119500785. [Google Scholar] [CrossRef]
15. Mokhtari M, Hariri S. Intensification of heat transfer rate in a rectangular channel equipped with pins, using non-uniform magnetic field. J Nanofluids. 2018;8(5):1041–50. doi:10.1166/jon.2019.1655. [Google Scholar] [CrossRef]
16. Zhang X, Zhang Y. Heat transfer and flow characteristics of Fe3O4-water nanofluids under magnetic excitation. Int J Therm Sci. 2021;163(4):106826. doi:10.1016/j.ijthermalsci.2020.106826. [Google Scholar] [CrossRef]
17. Pishkar I, Ghasemi B, Raisi A, Aminossadati SM. Simulation of variable magnetic field effect on natural convection heat transfer of Fe3O4/graphite slurry based on experimental properties of slurries. J Appl Fluid Mech. 2021;15(1):1–14. doi:10.47176/jafm.15.01.32637. [Google Scholar] [CrossRef]
18. Feizi khosroshahi R, Goharkhah M. Electrohydrodynamic (EHD) effects on condensation heat transfer of R-11 on circular and elliptical cylinders: an experimental study. Int J Therm Sci. 2023;185(5):108100. doi:10.1016/j.ijthermalsci.2022.108100. [Google Scholar] [CrossRef]
19. Baskar S, Chandrasekaran M, Vinod Kumar T, Vivek P, Karikalan L. Experimental studies on convective heat transfer coefficient of water/ethylene glycol-carbon nanotube nanofluids. Int J Ambient Energy. 2020;41(3):296–9. doi:10.1080/01430750.2018.1451381. [Google Scholar] [CrossRef]
20. Sheikholeslami M, Barzegar Gerdroodbary M, Mousavi SV, Ganji DD, Moradi R. Heat transfer enhancement of ferrofluid inside an 90° elbow channel by non-uniform magnetic field. J Magn Magn Mater. 2018;460(11):302–11. doi:10.1016/j.jmmm.2018.03.070. [Google Scholar] [CrossRef]
21. Manh TD, Bahramkhoo M, Barzegar Gerdroodbary M, Nam ND, Tlili I. Investigation of nanomaterial flow through non-parallel plates. J Therm Anal Calorim. 2021;143(5):3867–75. doi:10.1007/s10973-020-09352-0. [Google Scholar] [CrossRef]
22. Barzegar Gerdroodbary M. Application of neural network on heat transfer enhancement of magnetohydrodynamic nanofluid. Heat Transf. 2020;49(1):197–212. doi:10.1002/htj.21606. [Google Scholar] [CrossRef]
23. Tyagi PK, Kumar R, Mondal PK. A review of the state-of-the-art nanofluid spray and jet impingement cooling. Phys Fluids. 2020;32(12):121301. doi:10.1063/5.0033503. [Google Scholar] [CrossRef]
24. Bi MB, Ullah A. Advancing heat transfer efficiency: analysis of hybrid nanofluid flow over a rotating stretched sheet. Nano Struct Nano Objects. 2026;45(5):101611. doi:10.1016/j.nanoso.2026.101611. [Google Scholar] [CrossRef]
25. Buschow KHJ. Handbook of magnetic materials. Amsterdam, The Netherlands: Elsevier; 2003. [Google Scholar]
26. Pak BC, Cho YI. Hydrodynamic and heat transfer study of dispersed fluids with submicron metallic oxide particles. Exp Heat Transf. 1998;11(2):151–70. doi:10.1080/08916159808946559. [Google Scholar] [CrossRef]
27. Alizadeh A, Djuansjah J, Basem A, Sadeq AM, Abed Hussein M, Shaban M, et al. Thermal and exergy enhancement of a double-pipe heat exchanger using a novel vortex generator and a hybrid nanofluid: a numerical approach. J Therm Anal Calorim. 2026;2026:1–16. doi:10.1007/s10973-025-15146-z. [Google Scholar] [CrossRef]
28. Alinejad J, Fallah K. Taguchi optimization approach for three-dimensional nanofluid natural convection in a transformable enclosure. J Thermophys Heat Transf. 2017;31(1):211–7. doi:10.2514/1.t4894. [Google Scholar] [CrossRef]
29. Esmaeilpour M, Abdollahzadeh M. Free convection and entropy generation of nanofluid inside an enclosure with different patterns of vertical wavy walls. Int J Therm Sci. 2012;52(19):127–36. doi:10.1016/j.ijthermalsci.2011.08.019. [Google Scholar] [CrossRef]
30. Ansys I. ANSYS® fluent user’s guide, release 2020 R2. Canonsburg, PA, USA: ANSYS; 2020. [Google Scholar]
31. Kumar Mondal P, Wongwises S. Magneto-hydrodynamic (MHD) micropump of nanofluids in a rotating microchannel under electrical double-layer effect. Proc Inst Mech Eng Part E J Process Mech Eng. 2020;234(4):318–30. doi:10.1177/0954408920921697. [Google Scholar] [CrossRef]
32. Kenea G, Ibrahim W. Thermal enhancement of ternary hybrid Casson nanofluid in porous media: a sensitivity analysis study. Sci Rep. 2026;16(1):2400. doi:10.1038/s41598-025-21154-8. [Google Scholar] [PubMed] [CrossRef]
33. Sobhana Babu PR, Rao DS, Waini I, Sudarmozhi K, Kumar AK, Jayalakshmi P, et al. Numerical investigation of entropy generation due to joule heating in the thermally stratified flow of MHD powell-eyring fluid towards a porous curved surface. Case Stud Therm Eng. 2026;78(3):107678. doi:10.1016/j.csite.2026.107678. [Google Scholar] [CrossRef]
34. He Y, Men Y, Zhao Y, Lu H, Ding Y. Numerical investigation into the convective heat transfer of TiO2 nanofluids flowing through a straight tube under the laminar flow conditions. Appl Therm Eng. 2009;29(10):1965–72. doi:10.1016/j.applthermaleng.2008.09.020. [Google Scholar] [CrossRef]
Cite This Article
Copyright © 2026 The Author(s). Published by Tech Science Press.This work is licensed under a Creative Commons Attribution 4.0 International License , which permits unrestricted use, distribution, and reproduction in any medium, provided the original work is properly cited.


Submit a Paper
Propose a Special lssue
View Full Text
Download PDF
Downloads
Citation Tools