Open Access
ARTICLE
Inertial-Wave Regime of Averaged Thermal Convection in a Rotating Vertical Flat Layer
Laboratory of Vibrational Hydromechanics, Perm State Humanitarian Pedagogical University, Perm, 614990, Russia
* Corresponding Author: Kirill Rysin. Email:
(This article belongs to the Special Issue: Non-Equilibrium Processes in Continuous Media)
Fluid Dynamics & Materials Processing 2025, 21(3), 605-621. https://doi.org/10.32604/fdmp.2025.061722
Received 01 December 2024; Accepted 11 February 2025; Issue published 01 April 2025
Abstract
Thermal vibrational convection (TVC) refers to the time-averaged convection of a non-isothermal fluid subjected to oscillating force fields. It serves as an effective mechanism for heat transfer control, particularly under microgravity conditions. A key challenge in this field is understanding the effect of rotation on TVC, as fluid oscillations in rotating systems exhibit unique and specific characteristics. In this study, we examine TVC in a vertical flat layer with boundaries at different temperatures, rotating around a horizontal axis. The distinctive feature of this study is that the fluid oscillations within the cavity are not induced by vibrations of the cavity itself, but rather by the gravity field, giving them a tidal nature. Our findings reveal that inertial waves generated in the rotating layer qualitatively alter the TVC structure, producing time-averaged flows in the form of toroidal vortices. Experimental investigations of the structure of oscillatory and time-averaged flows, conducted using Particle Image Velocimetry (PIV) for flow velocity visualization, are complemented by theoretical calculations of inertial modes in a cavity with this geometry. To the best of our knowledge, this study represents the first of its kind. The agreement between experimental results and theoretical predictions confirms that the formation of convective structures in the form of toroidal vortices is driven by inertial waves induced by the gravity field. A decrease in the rotational velocity leads to a transformation of the convective structures, shifting from toroidal vortices of inertial-wave origin to classical cellular TVC. We present dimensionless parameters that define the excitation thresholds for both cellular convection and toroidal structures.Keywords
Studies of thermal convection in rotating cavities, both experimental and numerical, are an important task for the development of fundamental and applied aspects of convective fluid motion [1,2].
Various phenomena associated with the effect of vibrations on hydrodynamic systems [3], led to the formation of a separate section—vibrational thermal convection [3,4]. Vibrational thermal convection employs the averaging method for the equations of thermal convection in the Boussinesq approximation [4]. This method is founded upon the partitioning of all variables in the equations of motion and heat and mass transfer into two categories [4]: “slow”, representing smoothly changing variables that are averaged over the period of oscillations, and “fast”, denoting oscillating variables with a frequency equal to that of the external influence.
The convective processes occurring under vibration conditions are determined by the interaction of temperature fields and pulsation velocity fields. The equations of averaged (vibrational) thermal convection obtained by the averaging method along with the Rayleigh
The case of the influence of linear translational vibrations on a non-isothermal liquid was studied in detail in [3]. The equations of vibrational thermal convection in oscillating force fields of elliptical polarization were derived in [5]. In the case of circular polarization vibration, in rotating inertial force fields, the control parameter
The description developed in [5] proved to be effective in describing thermal vibrational convection in rotating systems [6]. We apply the term “Thermo-vibrational convection” to the averaged convection caused by oscillations under the action of gravity in a non-isothermal fluid inside a cavity rotating around a horizontal axis. Note that there are no vibrations, but the mechanisms are similar, at this, the averaged convection is characterized by a modified vibrational parameter
The phenomenon of “vibrational” thermal convection (averaged convection) has been the subject of extensive experimental and theoretical investigation in a range of cavity geometries. The experimental study was started with the case of a vertical flat layer with boundaries of different temperatures, performing uniform rotation around a horizontal axis oriented perpendicular to the plane of the layer [8]. This was subsequently developed in a series of works, as referenced [9]. The experiments [9] conducted on relatively thin layers with a circular boundary and a large aspect ratio

Figure 1: Photos of convective cells in a layer of thickness
The observations [8,9] showed that up to the excitation threshold of cellular vibrational thermal convection, toroidal convective vortex flows were evident in the vicinity of the outer lateral boundary (Fig. 1b). Presumably, these flows are caused by inertial waves [10]. It is known that in a rotating liquid, the development of specific wave mode with inertial effects [10], associated with the action of the Coriolis force—is possible. The region of such waves existence is limited by the value of the dimensionless frequency of cavity oscillations
Studies of such wave processes in an isothermal setting are carried out quite widely [11–16] since it is a relevant task in connection with geophysical applications. Inertial waves and specific “inertial modes”—resonant conditions for mode with inertial and wave characteristics—have been studied in cavities of varying geometries: spherical [17–20], cylindrical [21–24], in axisymmetric cylindrical layers with parallel boundaries [25], and a case where one of the cylindrical layer boundaries has a conical shape [26,27]. A detailed overview of these studies can be found in [28]. It should be noted that inertial modes have been primarily investigated from a theoretical perspective.
With regard to rotating non-isothermal systems, the occurrence of inertial waves has been documented in experimental studies, particularly in liquids exhibiting internal heat generation [29]. In a rotating cylindrical layer, in the case of heating the layer both from the inside and from the outside, the existence of convective flows in the form of toroidal vortices located in the subthreshold region of averaged convection was discovered. It was shown that these flows arise in a non-threshold manner, have a relatively low intensity and are generated by inertial waves propagating in the layer.
In previous studies [8,9], thermovibrational convection in rotating systems was investigated. Earlier, only hypotheses were proposed regarding the existence of a region for inertial wave propagation. When thermovibrational convection is excited by oscillations of an external force field at a frequency

Figure 2: Cuvette elements

Figure 3: Schemes of axial and transverse sections of a flat layer by a laser knife. The orange lines indicate the area captured by the camera
In practical applications, the problem under consideration involves studying the dynamics of non-isothermal systems rotating around a horizontal axis. In rotating containers (in particular, a flat layer), fluid oscillations can lead to the generation of inertial waves. In our geometry, the flow takes the form of toroidal structures. In the case of a different geometry, the flow will also adopt a toroidal shape, but its location relative to the rotation axis will differ [29]. The transformation of toroidal structures into thermovibrational cells in industry can be utilized to optimize mixing, heating, and cooling processes, resulting in cost reduction and improved product quality.
The working layer (Fig. 2) is a cavity formed between two heat exchangers. A ring gasket made of heat-insulating material limits the working cavity along the perimeter. The heat exchanger (
Experimental methodology. The cuvette is filled with distillate water and positioned on the platform of the laboratory stand. Then the stepper motor sets the platform with the cuvette fixed to it in relatively fast motion. The rotation speed was varied discretely with a sequential decrease, with a step size of 0.05 rps. The step size did not affect the process of inertial wave generation in the fluid layer. At each stage of the experiment, a waiting period of approximately 10 min was maintained to ensure the stabilization of the system’s thermal regime. The focus of the study was on the rotation frequency range of 0.5–1.5 rps. At lower rotation frequencies, the amplitude of fluid oscillations over the period significantly increases, leading to a weakening of the inertial wave regime. The temperature sensors transmit the real-time temperature data of the flat boundaries of heat exchangers (Fig. 2) to the PC. Based on the temperature difference between the layer boundaries

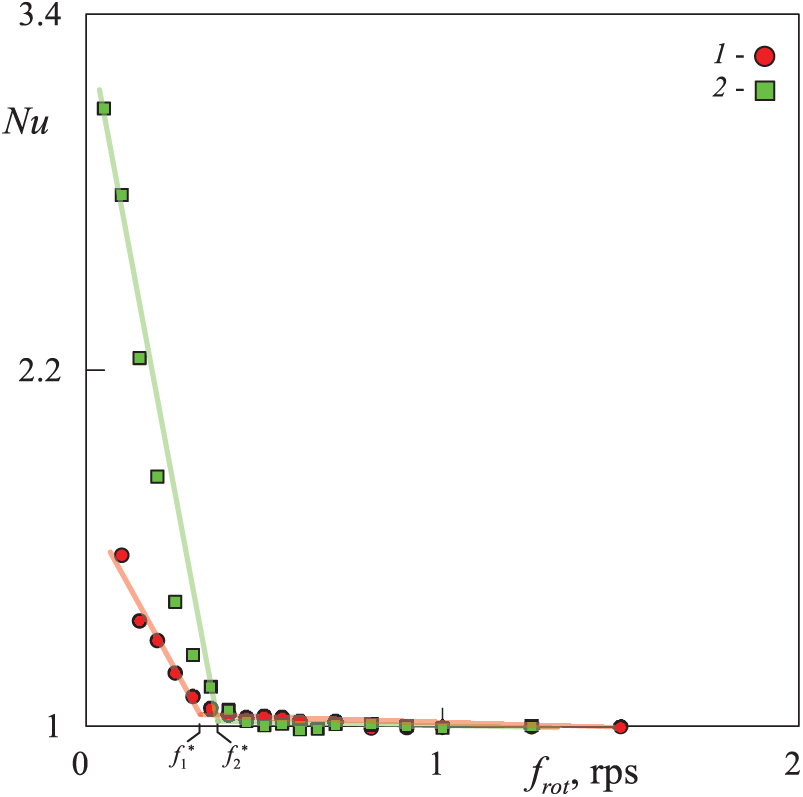
Figure 4: Heat transfer curves in the layers of different thicknesses. Symbol 1—
Methodology of the velocity fields measuring is based on the utilisation of the tracer particles. Light-scattering Resin Amberlite particles with a size of 50 microns are introduced into the working fluid to visualize its motion. The particle density of approximately 1.05 g/cm3 is close to that of the working fluid, allowing them to move with the fluid. During the experiment, particle motion is recorded by a high-speed camera, specifically a Sony RX0 II, in the area illuminated by a laser sheet. A green line laser module with a wavelength of 520 nm and a Powell lens type is used as the laser sheet. The tracer particles upon entering the plane of the laser knife scatter the light, and the high-speed camera record allows for the analysis of the particles movement. The resulting image of particle movement provides a comprehensive representation of the flow velocities within the plane of the laser knife. In the experiment, the velocity field is analyzed in two sections: the axial (Fig. 3a) and the transverse (Fig. 3b) ones.
The digital correlation of successive images enables the construction of two-dimensional maps of velocity fields. The PIV method provides detailed spatio-temporal data on the flow in a rotating cavity.
3.1 Measurement of Heat Transfer
Let us consider the case of uniform rotation of a liquid flat layer about a horizontal axis. The temperatures at the layer boundaries are maintained constant. During the experiment, the rotation velocity is gradually changed from high (
At relatively high rotation velocities, the liquid is in a state that is close to the mechanical equilibrium
The objective is to ascertain the threshold for averaged thermal convection on a plane
The heat transfer crisis corresponds to the excitation of averaged thermovibrational convection in the form of cells in a layer, which leads to a change in the temperature field. In previous work, the author used a technique to visualize the cell structure using an infrared camera, with the cells arranged in a hexagonal pattern.
Let us consider the velocity field averaged over the rotation period in the subthreshold region of thermovibrational convection. The averaged velocity field in the cross section of the laser knife is shown in Fig. 5 for several values of the rotation velocity. The observation of the velocity field is carried out from the side of the cold layer boundary. The layer rotates uniformly clockwise (Fig. 1). The arrows show the velocity field in the middle of the layer. The color indicates the vorticity in the laser sheet plane, where red corresponds to cyclonic liquid motion and blue to anticyclonic motion. The vector arrows illustrate the direction and magnitude of local flow velocities, highlighting the presence of vortex structures or characteristic convection cells, which indicate the development of thermal convection in a closed system.

Figure 5: Averaged (over the rotation period) velocity field in the transverse (upper row) and axial sections (lower row) depending on the rotation velocity of the cavity.
The velocity fields depicted in the transverse sections (Fig. 5a) are to be considered as corresponding to those observed in the axial sections (Fig. 5b). The lower boundary of the picture of the velocity field obtained in the axial section has a higher temperature. In the pictures with axial sections, the axis of rotation is directed downwards.
At rotation velocity within the range of 1–2 rps the system is in a quasi-stationary state, and convective structures are absent. The decrease in the rotation velocity down to 0.8 rps leads to the formation of toroidal structures of low intensity (Fig. 5a1), and the heat transfer is close to the molecular one (Fig. 4). Below it will be shown that the generation of toroidal structures occurs due to the development of inertial waves [11]. In this case, the liquid in the layer performs weak oscillations, which are insufficient to induce a significant flow. In the axial section, one can see the appearance of small vortices near the flat boundaries of the cavity (Fig. 5b1).
A further reduction in rotation velocity increases the intensity of the toroidal structures (Fig. 5a2). The average flow in the diametrical section demonstrates a developed system of vortices (Fig. 5b2). Between the flat boundaries of the cavity there are pairs of vortices with opposite swirls. Three pairs of vortices are observed in the radial direction (Fig. 5b2), which is consistent with the presence of three toroidal structures in the cross-section of the laser knife (Fig. 5a2).
As the rotation velocity is reduced, the emergence of thermo-vibrational cells is observed (Fig. 5a3). The size of these cells is coordinated with the characteristic dimensions of toroidal structures (Fig. 5a2). The formation of the cells indicates that a further decrease in the rotation velocity will lead to the formation of averaged thermovibrational convection in the form of hexagonal cells filling the entire cavity. The typical appearance of thermovibrational cells is shown in Fig. 1a. The development of the cells is accompanied by a heat transfer crisis.
A further reduction of the rotation velocity results in the transformation of thermovibrational cells into the vortex structures. The structures observed in the supercritical region of thermovibrational convection are large-sized vortices. The strictly defined radial positions of the structures imposed by inertial waves are disrupted; the vortices shift along the plane of the layer and reorganize among themselves over the period of rotation. The vortex structures drift in both radial and azimuthal directions. Thermovibrational cells presented in Fig. 5a4 have the anticyclonic swirl and drift in the direction opposite to the cavity rotation. This development and transformation of large anticyclonic vortices merits further study, as it may facilitate a more detailed understanding of the processes associated with the movement of the Earth’s liquid shell.
Let us investigate the velocity field in both the transverse and axial sections in a layer of a smaller thickness

Figure 6: Averaged (over the rotation period) velocity fields obtained in the transverse and axial section of the laser knife for a layer of thickness
A decrease in the layer thickness leads to an increase in the number of toroidal convective structures in the plane of the layer. The size of the thermovibrational cells formed against the background of toroidal structures is observed to decrease.
3.3 Analysis of the Instantaneous Velocity Field
With the rotation of the cavity, the plane of the laser knife (stationary in the cavity reference frame) changes its position relative to the direction of the gravity field. Fig. 7 shows the transformation of the instantaneous velocity field in a rotating system. The instantaneous velocity field obtained at a certain position of the laser knife plane relative to the gravity field is supplemented by a schematic representation of the cavity in the laboratory reference frame.

Figure 7: Instantaneous velocity field (center) in different phases of the cavity position relative to the direction of the gravity field (diagram on the right). The lower boundary of the velocity field images is hot, the upper one is cold. Experimental parameters:
Let us analyze the instantaneous velocity field in the axial section for half of the period of the cavity rotation. The velocity field (Fig. 7) is obtained in the subthreshold region of averaged cellular vibrational convection. In this case, the influence of the vibrational mechanism of convection is minimal, and the velocity field reflects only the combination of gravitational and inertial-wave mechanisms action.
In the phase when the laser knife plane is perpendicular to the gravity field (horizontal in the laboratory frame), the velocity field is a regular system of single-twist vortices (Fig. 7a). In this case, the gravitational component of the velocity field is responsible for the formation of the flow structure. Changing the direction of vortex structures when rotating the layer by 180 degrees (Fig. 7e) is explained by the fact that the vortex structures remain stationary in the laboratory reference frame. Since the measurements of the velocity fields (Fig. 3a) are carried out in a rotating system, the observer sees the same system of vortices in Fig. 7a and e, but from different sides.
When the cavity rotates and the angle of the laser knife changes, an observer can see the transition from a system of vortices of one twist to a system of cells of an inertial-wave nature (Fig. 7c,d). A cell is a pair of vortices of different directions. There are 6 pairs in the diametrical section. Their shape indicates that in this phase, the gravity field, which forms a global motion in the cavity (Fig. 7a) appears in the perpendicular direction. In this case, the velocity vector is directed perpendicular to the plane of the laser knife (Fig. 7c), when the plane of the knife is located vertically. As a result, a periodic system of vorticity of opposing signs is formed. In the plane of the layer, toroidal structures of opposite signs of vorticity are observed in the amount of three pairs (Fig. 5a2).
Furthermore, the average velocity field in the axial section (Fig. 8) will be considered. The field was obtained by averaging over several periods of the cavity rotation when a significant contribution of the oscillating components of the velocities associated with gravitational and inertial-wave harmonic oscillations of the liquid is eliminated.

Figure 8: Averaged velocity field in the layer
While the instantaneous velocity field in a rotating system characterizes the sum of all terms (Fig. 7), averaging over the rotation period (or over several whole periods) allows us to isolate exclusively the time-averaged component of the velocity, i.e., the averaged motion caused by the oscillations of the fluid (Fig. 8).
It can be assumed that the generator of these averaged flows is inertial waves, and the averaged motion is generated in the Stokes boundary layers. In the experiments, the thickness of the Stokes layer is
3.4 Dimensionless Control Parameters
The vibration effects generated by oscillations of gravity in a rotating layer are determined by the dimensionless rotation velocity
The structure of averaged convection and heat transfer in a layer of a given geometry and at a certain value of the Prandtl number are completely determined by two independent parameters: the dimensionless rotation frequency and the vibration parameter

Figure 9: Heat transfer curves on the plane of the control parameter
Let us consider heat transfer on the plane of dimensionless parameters
This problem has been considered previously [8,9]. The boundary of toroidal vortices occurrence (dashed line I) was obtained in the plane of control parameters
The following modes are shown on this mode map using different symbols: symbols 1—the region of mechanical quasi-equilibrium, symbols 2—development of the flow in the form of toroidal structures, symbols 3—the case of the averaged convection excitation. The progression of a single experiment (at the fixed values of
Conducting experiments on a layer of a given thickness while varying parameters (
The current experiment was conducted in a flat layer, considered as a limiting case of cavity geometry. In the study by Vjatkin et al. [29], another limiting case was examined, where the cavity is an annulus with boundaries maintained at different temperatures. This configuration leads to specific oscillatory modes in which inertial waves develop. A key aspect of the generation and propagation of inertial waves is the dependence of the observed effects on the aspect ratio, which characterizes the ratio of the layer’s radius to its thickness. Future research is planned to investigate the influence of the aspect ratio on the inertial waves and averaged convection in a cavity rotating around a horizontal axis.
Inertial waves are defined as wave oscillations that occur in rotating fluids under the influence of the Coriolis force, which leads to stable oscillatory processes. The theoretical description of inertial waves, given in [10], allows one to calculate the parameters of the inertial mode arising in a closed rotating cavity:
In the problem of a rotating cylindrical flat layer of a given geometry
In this context, the unit of distance measurement is the length of the cavity
Here,
on the cylindrical boundary of the liquid layer
In the case under consideration, a wave in a rotating system with a non-isothermal liquid is excited by a gravity field directed perpendicular to the rotation axis, rotating in the cavity reference frame with the rotation velocity of the cavity itself, but in the opposite direction. It should be expected that the resonance condition is met by a wave with a frequency
In the experiment
A comparison of the theoretical data on the number of vortex structures in the radial direction with experimental results on the plane of parameters

Figure 10: Dependence of the radial wave number
It is assumed that certain values of
An analysis of the instantaneous velocity field (Fig. 7) and the theoretical calculations of the inertial mode (Fig. 10) shows that for a frequency
The averaged thermal convection in a flat layer rotating around a horizontal axis was experimentally investigated. The attention was paid to the inertial-wave regime of thermal convection. The study was conducted using the PIV method in transverse and axial sections. The analysis of the instantaneous velocity field shows that the emergence of toroidal structures in the subthreshold region of averaged convection occurs during the excitation of inertial modes of fluid oscillations (standing inertial waves). In this case, the entire wave system remains stationary in the laboratory system since the wave propagates in the rotating cavity with an azimuthal velocity equal to the rotation velocity of the cavity (in the opposite direction).
It has been established that the wavelength of the toroidal structure is determined by the radial component of the wave number of the inertial mode for the liquid layer of a given geometry. The spatial period of the radially located vortex structures has been theoretically determined depending on the aspect ratio. The results of experiments with the cavities of different geometries are consistent with the results of theoretical analysis performed in the approximation of low viscosity of the liquid and high rotation velocity (in the limit of small values of the Ekman and Rossby numbers).
The performed studies shed light on the inertial-wave nature of specific averaged convective flows excited in rotating cavities with a non-isothermal liquid. The experiments performed are limited by the cavity shape (flat layer) and a certain value of the Prandtl number. Taking into account that the issues of heat transfer in rotating systems (under the action of various aggravating factors) are the object of attention [31–33], a detailed study of a new, relatively simple to implement mechanism—averaged thermal convection in a cavity rotating uniformly around a horizontal axis—is an urgent task. The results can inform the design of rotating systems [34] where thermal management is critical, such as in turbines, reactors, or space applications, by leveraging the predictable behavior of inertial-wave-driven convection.
The goal of further research is to clarify the mechanisms of generation of averaged flows by inertial waves, as well as to study the effect of the Prandtl number and the cavity shape (aspect number) on the structure and intensity of averaged thermo-convective flows under conditions of inertial-wave oscillations of the liquid.
Acknowledgement: The authors express their gratitude to the Ministry of Education of the Russian Federation for supporting scientific research.
Funding Statement: This research is funded by the Ministry of Education of the Russian Federation within the framework of a state assignment, number 1023032300071-6-2.3.1.
Author Contributions: The authors confirm contribution to the paper as follows: study conception and design: Victor Kozlov and Kirill Rysin; data collection: Kirill Rysin; analysis and interpretation of results: Alexei Vjatkin and Victor Kozlov; draft manuscript preparation: Kirill Rysin, Victor Kozlov and Alexei Vjatkin. All authors reviewed the results and approved the final version of the manuscript.
Availability of Data and Materials: All data are included in this published article.
Ethics Approval: Not applicable.
Conflicts of Interest: The authors declare no conflicts of interest to report regarding the present study.
Nomenclature
| Cell thickness (cm) | |
| Cavity radius (cm) | |
| Rotation frequency (rps) | |
| Coefficient of volumetric expansion (1/°C) | |
| Kinematic viscosity of liquid (St) | |
| Thermal diffusivity coefficient (m²/s) | |
| Temperature of the flat boundaries (°C) | |
| Heat exchanger temperature (°C) | |
| Temperature difference of layer boundaries (°C) | |
| Temperature difference at the heat flux sensor (°C) | |
| Dimensionless frequency of oscillations | |
| Aspect ratio | |
| Prandtl number | |
| Dimensionless rotation velocity | |
| Taylor number | |
| Nusselt number | |
| Rayleigh number | |
| Vibrational parameter | |
| Modified vibrational parameter |
References
1. Lappa M. Thermal convection: patterns, evolution and stability. Hoboken, NJ, USA: Wiley; 2009. [Google Scholar]
2. Lappa M. Rotating thermal flows in natural and industrial processes. Hoboken, NJ, USA: Wiley; 2012. [Google Scholar]
3. Gershuni GZ, Lyubimov DV. Thermal vibrational convection. New York, NY, USA: Wiley; 1998. [Google Scholar]
4. Zen’kovskaya SM, Simonenko IB. Influence of high-frequency vibration on the onset of convection. Izv Akad Nauk SSSR, Mekh Zhidk Gaza. 1966;5:51–5. [Google Scholar]
5. Kozlov VG. Vibrational convection in a cavity undergoing spatial pendulum oscillations. Heat Transfer Sov Res. 1991;23:999–1008. [Google Scholar]
6. Kozlov VG. Thermal vibrational convection in rotating cavities. Fluid Dyn. 2004;39(1):3–11. doi:10.1023/B:FLUI.0000024806.35710.e7. [Google Scholar] [CrossRef]
7. Gershuni GZ, Zhukovitskii EM. Convective stability of incompressible fluids. Hoboken, NJ, USA: Wiley; 1976. [Google Scholar]
8. Kozlov VG, Ivanova AA, Rylova VV. Thermal convection in a plane layer rotating about a horizontal axis. Fluid Dyn. 2003;38(1):9–17. doi:10.1023/A:1023374625749. [Google Scholar] [CrossRef]
9. Vjatkin AA, Ivanova AA, Kozlov VG, Rysin KY. Effect of the tangential component of a force field on convection in a rotating plane layer. Izv Atmos Ocean Phys. 2017;53(2):187–94. doi:10.1134/S000143381702013X. [Google Scholar] [CrossRef]
10. Greenspan HP. The theory of rotating fluids. Cambridge, UK: Cambridge University Press; 1968. [Google Scholar]
11. McComas CH, Bretherton FP. Resonant interaction of oceanic internal waves. J Geophys Res. 1977;82(9):1397–412. doi:10.1029/JC082i009p01397. [Google Scholar] [CrossRef]
12. Bardsley OP, Davidson PA. Inertial-Alfvén waves as columnar helices in planetary cores. J Fluid Mech. 2016;805:R2. doi:10.1017/jfm.2016.577. [Google Scholar] [CrossRef]
13. Le Reun T, Favier B, Barker AJ, Le Bars M. Inertial wave turbulence driven by elliptical instability. Phys Rev Lett. 2017;119(3):034502. doi:10.1103/PhysRevLett.119.034502. [Google Scholar] [PubMed] [CrossRef]
14. Gerick F, Jault D, Noir J. Fast quasi-geostrophic magneto-coriolis modes in the earth’s core. Geophys Res Lett. 2021;48(4):e2020GL090803. doi:10.1029/2020GL090803. [Google Scholar] [CrossRef]
15. Xu W, Uwe Harlander U. Inertial mode interactions in a rotating tilted cylindrical annulus with free surface. Phys Rev Fluids. 2020;5(9):094801. doi:10.1103/PhysRevFluids.5.094801. [Google Scholar] [CrossRef]
16. Gizon L, Cameron R, Bekki Y, Birch A, Bogart R, Brun A, et al. Solar inertial modes: observations, identification, and diagnostic promise. Astron Astrophys. 2021;652:L6. doi:10.1051/0004-6361/202141462. [Google Scholar] [CrossRef]
17. Wang J, Wang Y, Chai Q. Free vibration analysis of a spinning functionally graded spherical-cylindrical–conical shell with general boundary conditions in a thermal environment. Thin-Walled Struct. 2022;180:109768. doi:10.1016/j.tws.2022.109768. [Google Scholar] [CrossRef]
18. Dintrans B, Rieutord M, Valdettaro L. Gravito-inertial waves in a rotating stratified sphere or spherical shell. J Fluid Mech. 1999;398:271–97. doi:10.1017/S0022112099006308. [Google Scholar] [CrossRef]
19. Rieutord M, Georgeot B, Valdettaro L. Inertial waves in a rotating spherical shell: attractors and asymptotic spectrum. J Fluid Mech. 2001;435:103–44. doi:10.1017/S0022112001003718. [Google Scholar] [CrossRef]
20. He J, Favier B, Rieutord M, Le Dizès S. Internal shear layers in librating spherical shells: the case of attractors. J Fluid Mech. 2023;974:A3. doi:10.1017/jfm.2023.761. [Google Scholar] [CrossRef]
21. Subbotin S, Dyakova V. Inertial waves and steady flows in a liquid filled librating cylinder. Microgravity Sci Technol. 2018;30:383–92. doi:10.1007/s12217-018-9621-x. [Google Scholar] [CrossRef]
22. Sauret A. Mean zonal flow generated by azimuthal harmonic forcing in a rotating cylinder. Fluid Dyn Res. 2015;47(3):035506. doi:10.1088/0169-5983/47/3/035506. [Google Scholar] [CrossRef]
23. Shiryaeva M, Subbotina M, Subbotin S. Linear and non-linear dynamics of inertial waves in a rotating cylinder with antiparallel inclined ends. Fluid Dyn Mater Proc. 2024;20(4):787–802. doi:10.32604/fdmp.2024.048165. [Google Scholar] [CrossRef]
24. Subbotin S. Steady circulation induced by inertial modes in a librating cylinder. Phys Rev Fluids. 2022;5(1):014804. doi:10.1103/PhysRevFluids.5.014804. [Google Scholar] [CrossRef]
25. Subbotin S, Shiryaeva M. Inertial wave beam path in a non-uniformly rotating cylinder with sloping ends. Microgravity Sci Technol. 2023;35(3):32. doi:10.1007/s12217-023-10054-z. [Google Scholar] [CrossRef]
26. Maas LRM. Wave focusing and ensuing mean flow due to symmetry breaking in rotating fluids. J Fluid Mech. 2001;437:13–28. doi:10.1017/S0022112001004074. [Google Scholar] [CrossRef]
27. Borcia ID, Harlander U. Inertial waves in a rotating annulus with inclined inner cylinder: Comparing the spectrum of wave attractor frequency bands and the eigenspectrum in the limit of zero inclination. Theor Comput Fluid Dyn. 2013;27(3-4):397–413. doi:10.1007/s00162-012-0278-6. [Google Scholar] [CrossRef]
28. Le Bars M, Cébron D, Le Gal P. Flows driven by libration, precession, and tides. Annu Rev Fluid Mech. 2015;47(1):163–93. doi:10.1146/annurev-fluid-010814-014556. [Google Scholar] [CrossRef]
29. Vjatkin A, Petukhov S, Kozlov V. Experimental study of thermal convection and heat transfer in rotating horizontal annulus. Fluid Dyn Mater Proc. 2024;20(11):2475–88. doi:10.32604/fdmp.2024.052377. [Google Scholar] [CrossRef]
30. Schlichting G. Theory of a boundary layer. Moscow: Science; 1974. [Google Scholar]
31. Arshad M, Hassan A. A numerical study on the hybrid nanofluid flow between a permeable rotating system. Eur Phys J Plus. 2022;137:1126. doi:10.1140/epjp/s13360-022-03313-2. [Google Scholar] [CrossRef]
32. Riahi M, Choujaa MH, Rajy S, Aniss S. Primary bifurcation mechanism, heat transfer and bicriticality in time temperature-modulated Rayleigh-Bénard convection in a Hele-Shaw cell. Int J Heat Mass Transf. 2024;223:125264. doi:10.1016/j.ijheatmasstransfer.2024.125264. [Google Scholar] [CrossRef]
33. Vasiliev A, Sukhanovskii A, Popova E. Influence of bottom inclination on the flow structure in a rotating convective layer. Fluid Dyn Mater Proc. 2024;20(4):739–48. doi:10.32604/fdmp.2024.048092. [Google Scholar] [CrossRef]
34. Meunier P. Geoinspired soft mixers. J Fluid Mech. 2020;903:A15. doi:10.1017/jfm.2020.634. [Google Scholar] [CrossRef]
Cite This Article
Copyright © 2025 The Author(s). Published by Tech Science Press.This work is licensed under a Creative Commons Attribution 4.0 International License , which permits unrestricted use, distribution, and reproduction in any medium, provided the original work is properly cited.


Submit a Paper
Propose a Special lssue
View Full Text
Download PDF
Downloads
Citation Tools