Open Access
ARTICLE
Study on the Effect of Porosity on the Dielectric Characteristics of Polypropylene/Cenosphere Composites
1 Department of Physics, Barkatullah University, Bhopal, Madhya Pradesh, India
2 Regional Institute of Education (RIE), Bhopal, Madhya Pradesh, India
* Corresponding Author: Janvi Sharma. Email:
Journal of Polymer Materials 2026, 43(1), 11 https://doi.org/10.32604/jpm.2026.072228
Received 22 August 2025; Accepted 16 January 2026; Issue published 03 April 2026
Abstract
A new, cost-effective porous polymer composite was developed by reinforcing polypropylene (PP) with cenosphere particles. This study investigates how the composite’s dielectric properties are affected by their porosity. Dielectric constant (ε′) measurements were taken over a range of frequencies at room temperature. A theoretical model was developed to explain the electrical conductivity of the porous PP/cenosphere composites. The study thoroughly examined how the inclusion of cenosphere particles influenced key electrical parameters, including dielectric constant, dissipation factor (tanδ), DC (direct current) conductivity, and AC (alternating current) conductivity. The results revealed that increasing the cenosphere content caused a decrease in the dielectric constant, while the dissipation factor increased. The developed porous PP/cenosphere composite exhibits a unique balance of low dielectric constant, lightweight structure making it suitable for several practical applications. Its low dielectric constant and reduced DC conductivity make it an excellent candidate for electronic packaging, insulating layers, and high-frequency components, where minimal energy loss and signal interference are required. The lightweight nature of the cenosphere-reinforced structure also suggests potential use in aerospace and automotive industries for lightweight insulation panels or structural components. Furthermore, its cost-effectiveness and tunable porosity could enable applications in microwave substrates, radar-absorbing materials, and energy-efficient building materials where dielectric control and weight reduction are critical. Additionally, DC conductivity was found to decline with higher cenosphere concentrations. The theoretical model was in good agreement with the experimental data.Keywords
Polypropylene (PP) is an isotactic polymer derived from propylene in which methyl groups replace hydrogen atoms on alternating carbon atoms in the backbone. Owing to its high chemical stability, exceptional mechanical strength, and resistance to repeated sterilization, PP is widely used in clinical and laboratory products such as trays, funnels, pails, bottles, carboys, and instrument containers. Several studies have explored the incorporation of cenospheres—lightweight, hollow aluminosilicate particles—into polymeric systems to improve structural, thermal, or dielectric properties.
Raj M, Joshi S, Savaliya R, and Raj L investigated the role of silane coupling agents in enhancing the dispersibility and performance of PP–cenosphere composites, reporting significant improvements in mechanical, thermal, and chemical resistance properties [1]. Basavaraju et al. examined natural fiber–reinforced hybrid composites and found that cenospheres not only mitigated strength reduction caused by particulate fillers but also enhanced tensile and flexural performance at an optimal loading of 10%, rendering these composites suitable for biomedical applications with controlled porosity [2]. Agrawal & Satapathy evaluated PP-based composites filled with AlN and Al2O3, demonstrating enhanced thermal conductivity, reduced CTE, and improved dielectric behavior for microelectronics packaging [3]. Padhi et al. showed that increasing cenosphere content in EVA/CS composites enhances dielectric permittivity, whereas permittivity decreases with frequency due to interfacial polarization effects [4].
Material properties of syntactic foams and porous composites are strongly governed by filler morphology, particle size distribution, and homogeneity, as emphasized by Vovchenko et al. [5]. Variations in porosity, pore geometry, and cell morphology also critically influence physical responses, including dielectric behavior [6,7]. Studies on syntactic foam composites by Nikhil Gupta et al. further revealed that dielectric constant and loss decrease with increasing frequency and temperature, highlighting the sensitivity of electrical properties to microstructural arrangements [8]. Beyond polymer systems, cenosphere incorporation has been widely examined in cementitious materials. Agrawal and Wanjari reported significant reductions in density and thermal conductivity when Ordinary Portland Cement (OPC) was partially replaced with cenospheres, confirming their value as sustainable functional fillers [9]. Broader reviews of coal fly ash (CFA) applications reinforce the unique advantages of cenospheres—low density, high strength, and high thermal stability—which make them suitable for ceramics, nanocomposites, and environmental remediation systems [10].
Growing demands for lightweight, low-loss materials in advanced electronics and wireless communication have further stimulated interest in porous and cenosphere-filled composites. Ata et al. demonstrated that introducing engineered porosity into COP–Al2O3 and COP–AlN composites effectively reduces dielectric constant and dissipation factor at frequencies up to ~120 GHz, meeting material requirements for 5G/6G technologies [11]. Moreover, the influence of cenosphere surface modification on dielectric response has been documented: Andrey showed that PP composites containing uncoated cenospheres maintain stable dielectric properties under pressure, whereas copper-coated cenospheres introduce pressure-dependent electrical conductivity [12]. Verma et al. [13] examined how combining fly ash and cenosphere fillers influences the microstructure and thermal stability of polymer composites. Their results show that the hybrid reinforcement improves thermal resistance and enhances the overall structural performance of the composite material. Additional studies by Paramsamy & Vijayakumar confirm that cenosphere loading influences permittivity, mechanical strength, and thermal stability through interfacial interactions and filler dispersion quality [14].
Novelty and Contribution of the Study
Although extensive research has explored the mechanical, thermal, and dielectric behavior of PP–cenosphere and other polymer–cenosphere composites, no prior work has developed or validated a theoretical model that directly links porosity, composite thickness, and cenosphere concentration to the DC electrical conductivity of PP–cenosphere systems. Existing studies address property changes qualitatively or empirically, but a predictive model capturing structural parameters (porosity) and geometrical factors (thickness) is absent in the literature.
The novelty of the present work lies in:
1. Extending and modifying Liu et al.’s porosity-based conductivity model specifically for PP–cenosphere composites, which behave as porous syntactic foams due to the hollow nature of cenospheres.
2. Introducing a new composite exponent, (s = (1 − t) + (1 − θ)), which simultaneously accounts for porosity (θ) and composite thickness (t) a coupling not previously incorporated in conductivity models for polymer–cenosphere materials.
3. Deriving and applying a density factor α in place of Liu’s fine-structure constant, enabling the model to represent real processing-dependent microstructures.
4. Providing a quantitative pathway to predict DC conductivity based on cenosphere concentration, porosity, and thickness, bridging microstructural characteristics with electrical performance.
This study therefore fills a critical gap by offering the first analytical framework capable of predicting DC conductivity in cenosphere-filled PP composites through structural–geometrical coupling, enabling improved material design for lightweight dielectric and insulating applications.
Cenospheres of cenosphere used in this investigation were obtained from Sarni Thermal power plant of size less than 355µ, Bulk Density—10.43–12.70 kgm3, Color—Grey—Light Grey—Off White. Isotatic Polypropylene (PP) with density 0.905 gm/cm3 was obtained International Plastic Corporation Limited (IPCL) Vadodra.
Table 1 lists the composite ingredients used for the preparation of composites. Weighed amount of cenosphere were mechanically mixed with PP granules and conglomerated on a two roll mill by keeping the rollers at 200°C. Four compositions 100/00, 90/10, 85/15 and 80/20 of PP/cenosphere were prepared respectively in identical conditions [15]. The films were removed from the rollers and then compression moulded as thick uniform sheets (10 cm × 10 cm × 0.2 cm) in hot press. Approximately 0.2 cm thick circular disc were used for this study.

The theoretical model you’re discussing essentially describes the DC conductivity (σDC) of porous composites, particularly focusing on polypropylene (PP) cenosphere composites. The model uses a modified version of Liu et al.’s [16] equation for DC conductivity in porous materials, with adjustments to account for the properties specific to these composites, such as the hollow structure of cenosphere particles and their impact on conductivity.
a. Original Liu et al. Model:
Liu et al.’s [16] model for DC conductivity in porous materials assumes that the pores can be treated as octahedral voids in a body-centered cubic lattice. This model expresses conductivity (σDC) as:
where:
a is a factor related to the fine structure of the porous material.
θ is the porosity of the composite (i.e., the fraction of the material’s volume that is void space).
b. Modifications for PP-Cenosphere Composites:
In our modified version of this model (for PP-cenosphere composites), several assumptions and changes are introduced:
Cenosphere Structure: Cenosphere particles are hollow, making them low-density fillers. This characteristic is akin to a foam, which impacts the porosity and density of the composite material.
Density Factor: The fine structure factor (a) is replaced by a density factor (α), which is derived from the slope of the relationship between the density and the concentration of cenosphere particles in the composite.
Exponent (s): The original exponent in Liu et al.’s model is replaced by a new term (s) (given by Eq. (2)), which is porosity- and thickness-dependent. This exponent is designed to capture the influence of both porosity (θ) and the thickness of the composite material (t) on conductivity.
The exponent term is replaced by a term ‘s’ which will be porosity dependent, ‘s’ is derived by equation,
where,
t is the thickness of porous PP composites
θ is the porosity of the porous PP composites
Hence, the final form of the DC conductivity equation becomes:
DC Conductivity could be calculated based on porosity with Eq. (3)
In this equation {s = (1 − t) + (1 − θ)}, (s) is porosity- and thickness-dependent.
(θ) = is porosity-dependent term
(t) = is thickness-dependent term
The term (s) adjusts the exponent based on both the porosity and the thickness of the material, reflecting how these structural properties affect the conductivity.
Explanation of the Role of Thickness (t):
The thickness (t) is a key factor in the modification of the exponent (s). Here’s how thickness affects the conductivity:
Thickness-Dependent Term (t): As thickness (t) increases (i.e., the material becomes thicker), the term (1 − t) decreases, leading to a smaller value of (s). This suggests that thicker materials tend to have lower conductivity because transport (e.g., flow of charge or diffusion of particles) becomes more restricted in thicker media.
Combined Effect of Thickness and Porosity: The term (s = (1 − t) + (1 − θ)) combines both the effects of porosity and thickness. If both porosity and thickness are high, the effect on conductivity can be more complex:
High porosity (θ) makes the material more open, which generally lowers resistance and can enhance conductivity.
High thickness (t) increases the physical distance for transport, slowing down the conductivity.
Thus, (s) serves as a composite exponent that reflects the combined effects of both the material’s texture (porosity) and its structure (thickness). The final equation adjusts the DC conductivity model to account for how these structural properties affect conductivity, with the main takeaway being that as either porosity or thickness increases, the conductivity typically decreases due to the higher resistance to transport.
Thus concluding: Porosity θ influences how much void space is available for charge transport. Higher porosity generally leads to higher conductivity (less resistance). And thickness t affects the material’s overall transport resistance. A thicker material creates more restriction to flow, reducing conductivity. Exponent s combines these two effects, modifying the relationship between porosity and conductivity based on both material structure and geometry. By incorporating both thickness and porosity into the model, this approach provides a more accurate description of how the structure of PP-cenosphere composites influences their DC conductivity.
Capacitance (C) and tanδ values of Cenosphere filled PP composites were measured by using a Hewlett-Packard, LCR Meter, model 4274 A, in the temperature range 34°C to 110°C and frequency range from 1 to 10 kHz. Heating rate was kept constant at +2°C/min. Dielectric constant k was calculated by using the following relation
where C and C0 are the capacitance values with and without sample respectively,
where A (cm2) is the area of the electrodes and d (cm) is the thickness of the sample. tanδ is the dissipation factor and is defined as follows
where
4.2 DC Conductivity Calculation
Sliced samples were coated by air-drying type conducting silver paint on both the sides. Resistance values of these sliced PP cenosphere samples were measured by using a Keithley Electrometer model 610C. The dc conductivity was calculated from resistance by using following equation
where,
σdc is the dc conductivity of PP Cenosphere,
R is the resistance,
A is the area
L is the thickness of the sample.
4.3 AC Conductivity Calculation
AC conductivity (σac) was calculated using the following relation,
where,
Density was tested as per ASTM D 792, of all the samples of PP/cenosphere composites by using a Mettler Toledo balance listed in Table 1.
The surfaces for its morphological studies were first polished with gold. Many researchers, however, polish with silver or carbon. But their longevity is very less hence gold polish is preferred (silver polish oxidizes or contaminated within a few hours after formation whereas carbon polishing loses its property on attracting dust or leaves the surface with small jerks also. Further, carbon dusts being small in size penetrate into sample and may not produce reliable results). A Scanning Electron Microscope (SEM); model JEOL JSM 5600 (Japan) was used to observe the microstructure of surfaces of particles and fibre filled composites. Composites were gold coated under vaccum as per requirement prior to surface observation.
The electrical properties of polymer foams can be affected by the level of porosity present in it. Table 1 lists the ingredients used to prepare the composites with their composition and the density values of the composites. Density values of sample 1 to 4 were 0.905, 0.837, 0.763, 0.681 g/cc respectively. This shows that sample 4 has maximum Cenosphere and sample 1 has no Cenosphere content. It is clear from the values that cenosphere are porous and decreases the density sequentially.

Dielectric constant and dissipation factor are the main indexes of the dielectric to define dielectric properties; frequency and temperature dependence are its characteristics the regions where the mobility of functional group or molecular segment occurs some variation or maxima is observed. Maximum Dielectric constant is observed in case of pure PP composite with no cenosphere content. This high Dielectric constant value is contributed by PP (Polypropylene) matrix. Fig. 1 shows the schematic of the composites studied. The fluctuations seen are most likely due to non uniformity in temperature and non uniform distribution in the sample disc. Dielectric constant and dielectric loss with respect to frequency and various temperatures for Pure PP are shown in Fig. 2a,b respectively. It is seen that at 307 K its value is 3.5 and it is increasing with increasing temperature. Same trend is seen for dissipation factor. A hump is seen around 368 K which might be due to some impurities in the composite. Dielectric constant and dissipation factor both decreases with increase in frequency. This may be due to realignment coupled with decrease in moisture content. The other three types of composites show slow increasing trend as the frequency increases. In this study, the dielectric constant was measured in the low frequency region since material used for the sensor (capacitive sensors) work in the low frequency region. With increasing frequency a drop in the dissipation factor was observed at higher temperatures but this effect may be due to the poor contact between electrode and the material.

Figure 1: Microstructure of cenosphere.

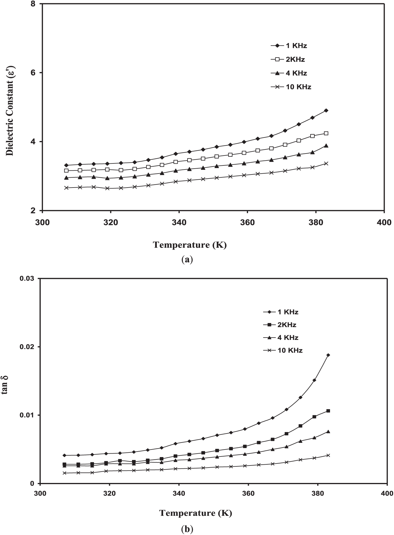
Figure 2: (a) shows the dielectric constant for Pure PP composite with 0% cenosphere. (b) shows the dissipation factor for Pure PP composite with 0% cenosphere.
Fig. 1 illustrates the microstructure of the cenosphere particles, revealing their characteristic hollow, spherical morphology with a smooth outer surface and thin shell walls. The cenospheres consist primarily of silica (SiO2) and alumina (Al2O3), giving them high thermal stability and low density. The presence of micropores and surface irregularities on some particles indicates potential sites for mechanical interlocking and interfacial bonding with the polypropylene matrix. This unique hollow structure is responsible for the lightweight and porous nature of the composite, contributing to reduced density and modified dielectric behavior when incorporated into the polymer.
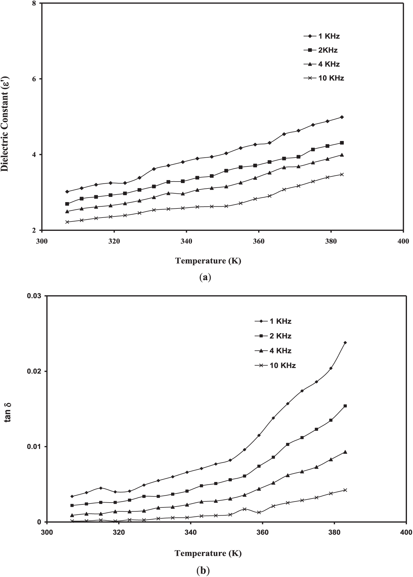
Fig. 2 shows the dielectric constant (a) and dissipation factor (b) for pure PP. The dielectric constant of pure PP shows a relatively stable value across the frequency range tested, indicating minimal frequency dependence, which is typical for non-polar materials. The dissipation factor remains low, reflecting the low energy loss in the material. These results highlight the insulating nature of pure PP, with minimal dielectric losses, making it an effective dielectric material at lower frequencies. However, as expected, the introduction of cenospheres into the PP matrix leads to a significant decrease in the dielectric constant and dissipation factor, as shown in subsequent figures. Fig. 3 clearly demonstrates the impact of incorporating 10% cenospheres into the 90% polypropylene (PP) matrix. The Fig. 3a shows sudden decrease in dielectric constant as compared to pure PP, which can be attributed to the intrinsic porous and hollow structure of cenospheres. Because these particles contain internal voids filled with air—a medium with an extremely low permittivity—their inclusion effectively reduces the overall polarization capacity of the composite. Fig. 3b illustrates the dissipation factor for the composite containing 90% PP and 10% cenospheres. The curve indicates how energy losses within the material vary with temperature, reflecting molecular mobility and internal friction. The presence of cenospheres slightly alters the relaxation behavior of the PP matrix, influencing the peak intensity and position. Overall, the trend suggests that filler addition impacts the viscoelastic response of the composite. When cenospheres are embedded within the PP matrix, the molten polymer partially penetrates their porous and hollow shells during the melt-processing stage. This penetration enhances the mechanical interlocking between the polymer and the cenospheres, thereby improving the overall interfacial bonding and contributing to better composite performance, as detailed by Hou et al. [17]. This infiltration reduces interfacial space-charge accumulation and suppresses Maxwell–Wagner–Sillars (MWS) interfacial polarization, leading to a lower dielectric constant.

Figure 3: (a) dielectric constant for 90% PP with 10% cenosphere. (b) shows the dissipation factor for 90% PP with 10% cenosphere.
As the cenosphere concentration increases to 15% and 20%, Figs. 4a and 5a show a continuous decrease in dielectric constant. This trend is consistent with classical dielectric mixture theories, where increasing the volume fraction of low-permittivity inclusions (air-filled cenospheres) progressively decreases the composite’s effective dielectric constant. The rise in porosity further reduces dipolar alignment under an electric field, thereby lowering the polarization response. Additionally, a higher number of hollow particles increases the number of discontinuities and interfaces within the composite. These discontinuities limit charge storage and reduce the effective dielectric permittivity, especially at low frequencies where interfacial polarization would otherwise contribute more strongly. Figs. 4b and 5b illustrate the dissipation factor for the composites containing 85% PP with 15% cenospheres and 80% PP with 20% cenospheres, respectively. Both graphs show how the addition of cenospheres influences the energy-dissipation behavior of the PP matrix under dynamic loading. As the filler content increases, noticeable changes occur in the relaxation peaks, indicating modified molecular mobility and internal friction within the composites. Overall, the results suggest that higher cenosphere loading significantly affects the viscoelastic response and damping characteristics of the material.

Figure 4: (a) shows the dielectric constant for 85% PP with 15% cenosphere. (b) shows the dissipation factor for 85% PP with 15% cenosphere.

Figure 5: (a) shows the dielectric constant for 80% PP with 20% cenosphere. (b) shows the dissipation factor for 80% PP with 20% cenosphere.
The decrease in dielectric constant with increasing cenosphere content is also aligned with broader findings in sustainable dielectric materials research. Mekha et al. reviewed polymer-based dielectric composites derived from agricultural waste and highlighted that the use of low-density, porous, and cellulose-rich bio-fillers influences dielectric performance by altering interfacial interactions and reducing overall permittivity [18]. Their observations reinforce the idea that fillers with inherent porosity or low intrinsic polarization—whether agricultural waste or cenospheres—tend to lower the dielectric constant of the host polymer by limiting charge storage capacity, reducing dipole density, and interrupting polarization pathways.
Thus, the behavior observed in Figs. 3–5 can be scientifically attributed to three primary mechanisms:
1. Inherent low permittivity of hollow cenospheres, dominated by the presence of air inside each particle.
2. Suppression of interfacial polarization due to improved PP–cenosphere bonding and reduced space-charge accumulation.
3. Increased overall porosity and dielectric discontinuities with higher filler loading, leading to reduced dipolar orientation and lower effective permittivity.
Together, these mechanisms provide a robust physical explanation for why the dielectric constant consistently decreases with higher cenosphere loading in PP composites.
At low temperature (approximately 333 K) it is noticed that tanδ variation is small which may be due to insignificant vibrations of polymer chain. It is clear from Fig. 5, when 20% cenosphere is added to PP dielectric constant is decreased upto 2 for 10 kHz and decreasing trend is also observed in dissipation factor. It is observed that an endothermic valley (small value of tanδ) is seen at 335 K for every frequency. It is also eminent that by increasing the percentage of cenosphere there is no effect of temperatures is observed which might be a result of systematic segregation of composite particles. These variations in dielectric constant are due to voids, moisture and the size and shape of the filler particle. Khouaja and Ben Daly developed cellulose-based composites using cellulose acetate (CA), a triethyl citrate (TEC) plasticizer, and cellulosic fibers. This study examined their surface chemistry, thermal stability, and dielectric behavior. Dielectric studies showed that composites with 50 wt% cellulose fibers exhibited enhanced properties (ε′ ≈ 4, tanδ ≈ 0.13 at 1 MHz), which decreased with increasing frequency. Temperature-dependent analysis indicated a relaxation process shifting toward higher temperatures at higher frequencies [19].
The observed features such as a valley (minimum) in the dissipation factor (tanδ) and in the AC conductivity (σac) around ~335 K, the dissipation factor (tanδ or sometimes the loss tangent) is essentially the ratio of the imaginary part of the permittivity to the real part (or equivalently a measure of how much energy is being lost vs. stored) in a dielectric under AC fields. The AC conductivity σac is the frequency and temperature dependent conductivity under alternating current (or equivalently the real part of the complex conductivity). A valley (i.e., a decrease then increase with temperature) in these quantities around ~335 K indicates that some loss or conduction mechanism becomes less efficient (or suppressed) at that temperature, and then becomes stronger again on either side of that temperature. Thus, the dip suggests a transition in mechanism or competition of mechanisms at around ~335 K. At lower temperatures, perhaps the mobility of charges (ions or carriers) is low, so interfacial polarization builds up, contributing significantly to losses (higher tanδ) and possibly to σac since carriers hop or drift between phases. At some intermediate temperature (~335 K) a particular interfacial polarization mechanism may becoming less effective (for instance because the mobility increases so the build-up can’t persist, or the contrast between phases changes) resulting in a reduction of the associated loss mechanism → hence a valley in tanδ/σac. Above that temperature, another mechanism (e.g., more bulk conduction or molecular motion) may dominate, causing the losses/conductivity to increase again. Suppose at low T, charges are immobile, so conduction/losses are high (or moderate) due to trapped carriers or localized motion. As temperature rises, mobility improves but still the system is not fully conductive; the ability of the matrix to “trap” charges at interfaces might reduce hence less loss → giving a dip. Then at higher T, segmental motion fully activates, ions/hoppings dominate, giving a rise in σac and tanδ again [20].
• Below ~335 K: interfacial polarization (MWS) dominates → relatively high tanδ/σac.
• At ~335 K: the mobility of carriers or polymer chains reaches a threshold where interfacial accumulation is reduced (so less loss) but conduction is not yet fully high → you see a dip.
• Above ~335 K: mobile carriers or polymer segmental motion lead to increased AC conductivity and higher losses (from conduction + dipole relaxations) → tanδ/σac rise again.
The valley in dissipation factor and AC conductivity at ~335 K likely arises the dominant mechanism for dielectric loss and conduction shifts. At lower T, interfacial space-charge polarization (MWS) contributes strongly; at higher T, molecular/segmental motion and carrier hopping dominate. The ~335 K point is where interfacial contributions drop significantly before molecular contributions become dominant—giving a local minimum in the loss/conductivity metrics. Adding to that, internal interface (polymer-filler) changes (softening, better coupling), and perhaps the activation of polymer chain or ionic mobility contribute to the change [20].
Fig. 6 presents the dependence of the dielectric constant, on the content of cenosphere in polypropylene, obtained at the frequency of 1, 2, 4, 10 kHz and at room temperature (32°C). A sharp decrease of the dielectric constant values is clearly observed for all the composites studied. DC Conductivity of the composites with varying content of cenosphere is seen in Fig. 7 it is clear that dc conductivity decreases with increasing the content of cenosphere in the composite. Using the proposed Eq. (3) [16], dc conductivity of PP/cenosphere composites is calculated. Validation of theoretical σdc with experimental results is shown in Fig. 8. Decrease in ac and dc conductivity is also studied by Murugendrappa et al. in their communication for polypyrrole–cenosphere composites [21]. From the study of dc conductivity as a function of temperature, it is uncertain that both the pure PP as well as the PP/cenosphere composites was semiconducting in nature. Moreover, the conductivity was found to decrease with the addition of cenosphere in PP, the decrease of conductivity with the addition of cenosphere may be attributed to the localization of charge carriers. In PP/Cenosphere composites, polarization due to hopping of charge carriers dominates. This decrease in conductivity values is attributed due to presence of cenosphere particles of larger dimensions, which constrains the hopping of charge carriers between the available sites. Same trend in dc conductivity is observed by Murugendrappa et al. [21].

Figure 6: The variation of dielectric constant for different volume fractions of cenosphere/PP Composites for varying frequencies.

Figure 7: The DC conductivity for different weight percentage of cenosphere in the Pp/cenosphere composites.

Figure 8: The Experimental and theoretical DC conductivity for different weight percentage of cenosphere.
The observed decrease in both AC and DC conductivity can be attributed to a reduction in charge carrier mobility, likely governed by a hopping conduction mechanism, where localized charge carriers move between neighboring sites. The incorporation of cenosphere particles, being insulating and possessing a hollow structure, introduces additional interfacial barriers and trap sites that impede charge transport pathways. These interfaces disrupt the continuity of the conducting network, increasing the effective tunneling distance for carriers. Consequently, the overall electrical conductivity diminishes as carrier motion becomes increasingly restricted and scattered by the dispersed cenosphere phase [22].
Fig. 9 shows the ac conductivity of the pure PP composite. ac conductivity as obtained from experiment (Fig. 9) shows that except for the amplitude all ranges of frequencies show first slow rise in ac conductivity with increase in temperature. But beyond 360 K ac conductivity increases sharply. Fig. 10 shows an endothermic valley at 335 K for ac conductivity plot with 20% cenosphere in the composite and an exothermic peak at 374 K same peak is seen at 333 K by Singh [23] for ac electrical properties of PP films measured at temperature range between 303 and 413 K.

Figure 9: The ac conductivity (σac) for Pure PP.

Figure 10: The ac conductivity (σac) for PP with 20% of cenosphere.
This shift in peak shows gradual decrease in ac conductivity by increasing weight percent of cenosphere in PP upto 20%. Very slight variations were observed for 10% and 15% cenosphere. Table 2 lists the ac conductivity values of different composites of cenosphere in PP.

Teodorescu et al. [24] investigates composites made from recycled PP (e.g., from disposable medical masks) and industrial ash waste via melt processing. Shows that even a small ash addition (5 wt%) can improve stiffness and thermal stability without significantly compromising mechanical strength. Pulikeshi et al. [25] studied hybrid composites (carbon/glass fabric + polyester) with varying cenosphere content (up to 12.5 wt%). Finds that cenospheres significantly reduce wear rate and improve tensile strength and stiffness. Nakonieczny et al. [26] focuses on a polymer–ceramic composite using PA-12 (not PP) with modified aluminosilicate cenospheres. Good for understanding interfacial bonding, density, morphology, and filler effects in polymer + cenosphere composites. Singh et al. [27] in a recent review summarized advances in using fly ash (including cenospheres) in composites for improved mechanical and tribological performance—good for background and literature surveys. This provides useful insight into how cenospheres behave as fillers and influence composite microstructure and strength. May help draw parallels with polymer-based systems.
Uses cenospheres as a fine aggregate substitute in geopolymer concrete; gives insight on how high-volume cenosphere substitution affects compressive strength, freeze-thaw durability, and microstructure—useful for discussions on filler effects at high loading. Though this uses hollow thermoplastic microspheres (not cenospheres), the work offers methodology and data on microsphere geometry, shell thickness, distribution, and mechanical behavior in polymer matrices—a helpful comparison for syntactic-foam like behavior.
Studies demonstrates how cenosphere incorporation improves the mechanical strength and enhances the durability of these composites, making them suitable for lightweight, high-performance applications in engineering. Also the use of cenosphere as a fine aggregate in geopolymer concrete improves the workability and strength of geopolymer concrete, presenting an eco-friendly alternative for sustainable construction materials. Cenospheres as a reinforcement in carbon fiber-reinforced polymer (CFRP) with a natural rubber core for use in lightweight and high-strength applications is studeied. The study evaluates various mechanical properties, including tensile strength, impact resistance, and stiffness, highlighting the benefits of using cenospheres for improving the overall performance and sustainability of composite structures. The results suggest that this hybrid material can be advantageous in industries requiring high performance and reduced weight [28–30].
This study demonstrates the significant impact of cenospheres on the dielectric properties of polypropylene (PP) composites, specifically through the introduction of porosity, which influences the material’s electrical behavior. The hollow, lightweight nature of cenospheres not only enhances the porous microstructure of the composites but also contributes to their cost-effectiveness and environmental sustainability, as cenospheres are industrial by-products that can be repurposed to reduce waste. The findings from this research provide key insights into how the incorporation of cenospheres can modify the dielectric, conductivity, and energy dissipation characteristics of PP-based materials.
1. Dielectric Constant (ε′): As the cenosphere volume fraction increases, the dielectric constant decreases, reflecting the insulating nature of the hollow cenospheres which reduce the composite’s overall polarizability. The dielectric constant also decreases with frequency, indicating that the material’s dipolar and interfacial polarization mechanisms are unable to respond quickly at high frequencies. Interestingly, (ε′) increases with temperature, likely due to enhanced dipole mobility and interfacial charge mobility at higher temperatures.
2. Dissipation Factor (tanδ): The dissipation factor follows a similar trend to the dielectric constant with respect to cenosphere content and frequency. This suggests that energy losses in the composite are closely tied to its polarizability. The introduction of cenospheres influences how the material dissipates energy under alternating electric fields, potentially making these composites suitable for applications where energy efficiency and reduced losses are critical.
3. AC and DC Conductivity: The conductivity of both AC and DC types is significantly affected by the weight percent of cenospheres. The hollow nature of cenospheres disrupts continuous charge transport pathways, leading to a reduction in overall conductivity. This finding underscores the importance of particle concentration and dispersion in controlling charge transport mechanisms, which is crucial for designing materials with specific electrical properties.
4. Validation of Theoretical Model: The experimental DC conductivity values were compared to those predicted by the theoretical model (Eq. (3)). The good agreement, especially at higher concentrations of cenospheres, validates the model’s ability to accurately predict the electrical behavior of porous composites. This confirms the importance of considering both porosity and filler content when analyzing and predicting the conductivity of such materials.
While this study provides a thorough understanding of how cenospheres influence the dielectric and conductive properties of PP composites, several avenues remain open for further exploration and optimization:
1. Optimization of Cenosphere Loading: Future research could focus on optimizing the concentration of cenospheres for specific applications, particularly where a balance between low conductivity and high dielectric performance is required. The impact of varying cenosphere size distribution, coating, and surface modification on both conductivity and dielectric properties should also be explored to better control the material’s overall behavior.
2. Advanced Theoretical Modeling: The present study’s theoretical model could be extended to account for different filler morphologies, particle dispersions, and porosity distributions. This would help refine predictions for composite materials with varying microstructures and provide deeper insights into the relationship between filler content, porosity, and electrical behavior.
3. Impact of Processing Conditions: The influence of different processing techniques (e.g., injection molding, extrusion, compression molding) on the distribution and alignment of cenospheres in the PP matrix could be explored. Understanding how processing conditions affect the mechanical and electrical properties of the composites is critical for scaling up the production of such materials for industrial applications.
4. Thermal and Mechanical Performance: Further investigations into the thermal and mechanical behavior of cenosphere-filled PP composites, especially under varying temperature and load conditions, would complement the dielectric and conductivity findings. Such studies could identify applications where these materials can be used in extreme environmental conditions, such as in aerospace or automotive sectors.
5. Sustainable and Green Electronics: Given the environmental benefits of using cenospheres—an industrial by-product—as a filler material, these composites may have great potential for use in sustainable electronic applications, such as low-power sensors, capacitors, or energy storage devices. Future research could also investigate the integration of such composites into bioelectronics and smart materials for environmental monitoring or energy harvesting, where low dielectric losses and lightweight materials are advantageous.
6. Development of High-Performance Dielectric Materials: The insights gained from this study on the dielectric behavior of PP-cenosphere composites could lead to the development of high-performance materials for microwave applications, communication technologies and energy storage systems. The relationship between porosity, filler concentration, and dielectric behavior can be used to design materials with tailored properties for specific frequency ranges, such as low-loss dielectrics for high-frequency applications in 5G and beyond.
Overall this research not only underscores the potential of cenospheres to modify the dielectric and conductive properties of PP composites but also opens up several pathways for future studies and practical applications. By further optimizing the material properties and expanding the range of potential uses, these composites could find significant applications in sustainable electronics, lightweight insulating materials and energy-efficient devices, contributing to the growing demand for environmentally friendly and high-performance materials in advanced technologies.
Acknowledgement: I extend my deepest gratitude to Polymer Composites Group at CSIR (AMPRI), Bhopal for their unwavering support and insightful critiques throughout my research journey. Their commitment to academic excellence and meticulous attention to detail have significantly shaped this work. I would also like to express my sincere appreciation to the Department of Physics at Barkatullah University Bhopal for providing a supportive and conducive environment that enabled me to complete my research paper. Their assistance has been invaluable.
Funding Statement: This research received no specific grant from any funding agency in the public, commercial, or not-for-profit sectors except the stipend received by Janvi Sharma as project assistant.
Author Contributions: Conceptualization, formal analysis, validation, writing—review & editing: Janvi Sharma and Mukund N. Bapat. Data curation, methodology, investigation, writing—original draft, availability of data and materials: Janvi Sharma. Supervision: Mukund N. Bapat. All authors reviewed and approved the final version of the manuscript.
Availability of Data and Materials: All data and materials used in this study are included within the research paper. Additional information or supporting documents can be made available by the author upon reasonable request.
Ethics Approval: Ethical approval was not required for this study, as it involved only materials-based experimental work and did not include any human participants, animal subjects, or sensitive data. The research was conducted in accordance with institutional guidelines and ethical standards for laboratory-based materials research.
Conflicts of Interest: The authors declare no conflicts of interest.
References
1. Raj M, Joshi S, Savaliya R, Raj L. Studies on the effects of cenosphere on polypropylene matrix using silane coupling agent. J Thermoplast Compos Mater. 2018;31(11):1510–28. doi:10.1177/0892705717738301. [Google Scholar] [CrossRef]
2. Basavaraju B, Nagaraja S, Banagar AR, Srinivasa CV, Ramesh BT, Ramdan D, et al. Influence of suspended cenospheres on the mechanical characteristics and wear loss of natural fiber-reinforced hybrid composites: implications for biomedical applications and sustainable material management. RSC Adv. 2024;14(45):33332–44. doi:10.1039/d4ra06223j. [Google Scholar] [PubMed] [CrossRef]
3. Agrawal A, Satapathy A. Thermal and dielectric behaviour of polypropylene composites reinforced with ceramic fillers. J Mater Sci Mater Electron. 2015;26(1):103–12. doi:10.1007/s10854-014-2370-8. [Google Scholar] [CrossRef]
4. Padhi S, Priyadarsini Jena D, Nayak NC. Dielectric behaviour of ethylene vinyl acetate/cenosphere composites. Mater Today Proc. 2020;30:355–9. doi:10.1016/j.matpr.2020.02.693. [Google Scholar] [CrossRef]
5. Vovchenko L, Matzui L, Tzaregradska T, Stelmakh O. Influence of graphite type on electrical and thermal properties of composite materials graphite-organic compound. Compos Sci Technol. 2003;63(6):807–12. doi:10.1016/s0266-3538(02)00268-3. [Google Scholar] [CrossRef]
6. Feng Y, Zheng H, Zhu Z, Zu F. The microstructure and electrical conductivity of aluminum alloy foams. Mater Chem Phys. 2003;78(1):196–201. doi:10.1016/s0254-0584(02)00334-6. [Google Scholar] [CrossRef]
7. Ma X, Peyton AJ. Eddy current measurement of the electrical conductivity and porosity of metal foams. IEEE Trans Instrum Meas. 2006;55(2):570–6. doi:10.1109/tim.2006.873549. [Google Scholar] [CrossRef]
8. Gupta N, Priya S, Islam R, Ricci W. Characterization of mechanical and electrical properties of epoxy-glass microballoon syntactic composites. Ferroelectrics. 2006;345(1):1–12. doi:10.1080/00150190601018002. [Google Scholar] [CrossRef]
9. Agrawal US, Wanjari SP. Light-weight and high thermal insulation building material; a comparative study between cenosphere & fly ash. Mater Today Proc. 2023;19(4):307. doi:10.1016/j.matpr.2023.04.088. [Google Scholar] [CrossRef]
10. Yadav VK, Yadav KK, Tirth V, Jangid A, Gnanamoorthy G, Choudhary N, et al. Recent advances in methods for recovery of cenospheres from fly ash and their emerging applications in ceramics, composites, polymers and environmental cleanup. Crystals. 2021;11(9):1067. doi:10.3390/cryst11091067. [Google Scholar] [CrossRef]
11. Ata S, Ono T, Kato Y. Development of porous COP-ceramic composites for application as low-relative-permittivity, low-dielectric-loss substrates in next-generation communication systems. Sci Rep. 2025;15(1):28001. doi:10.1038/s41598-025-13533-y. [Google Scholar] [PubMed] [CrossRef]
12. Komarov AG, Nuriakhmetov ZN, Chernousov YD, Savichev VI, Smovzh DV, Sulyaeva VS. Smart composite based on fly ash cenospheres and transformer oil with switchable electrical conductivity. Ceram Int. 2024;50(22):47278–87. doi:10.1016/j.ceramint.2024.09.079. [Google Scholar] [CrossRef]
13. Verma K, Thomas J, Reddy SR. Investigation of fly-ash and cenosphere hybrid fillers on the microstructural and thermal behavior of polymer composites. J Compos Mater. 2025;59(7):1120–32. [Google Scholar]
14. Vimalathithan PK, Vijayakumar CT. Characterization of cenosphere-reinforced vinyl ester composites. J Elastomers Plast. 2018;50(2):95–106. doi:10.1177/0095244317708591. [Google Scholar] [CrossRef]
15. Chand N, Sharma J. Influence of porosity on resistivity of polypropylene foams. J Cell Plast. 2012;48(1):43–52. doi:10.1177/0021955x11427190. [Google Scholar] [CrossRef]
16. Liu PS, Chen H, Liang KM, Gu SR, Yu Q, Li TF, et al. Relationship between apparent electrical-conductivity and preparation conditions for nickel foam. J Appl Electrochem. 2000;30(10):1183–6. doi:10.1023/A:1004095410450. [Google Scholar] [CrossRef]
17. Hou Z, Ye F, Liu L. Effects of pore shape and porosity on the dielectric constant of porous β-SiAlON ceramics. J Eur Ceram Soc. 2015;35(15):4115–20. doi:10.1016/j.jeurceramsoc.2015.07.002. [Google Scholar] [CrossRef]
18. Mekha KB, Abu Talip Yusof N, Sudhakar K, Zainol N, Hasan N, Abdul Karim MS. Development of sustainable polymer-based dielectric composites from agricultural waste: a review. Heliyon. 2024;10(21):e39118. doi:10.1016/j.heliyon.2024.e39118. [Google Scholar] [PubMed] [CrossRef]
19. Khouaja A, Koubaa A, Ben Daly H. Study of the dielectric and chemical properties of cellulose bio-based composites. Ind Crops Prod. 2024;214:118493. doi:10.1016/j.indcrop.2024.118493. [Google Scholar] [CrossRef]
20. Rogti F, Ferhat M. Maxwell-Wagner polarization and interfacial charge at the multi-layers of thermoplastic polymers. J Electrost. 2014;72(1):91–7. doi:10.1016/j.elstat.2013.11.012. [Google Scholar] [CrossRef]
21. Murugendrappa MV, Khasim S, Ambika Prasad MVN. Synthesis, characterization and conductivity studies of polypyrrole-fly ash composites. Bull Mater Sci. 2005;28(6):565–9. doi:10.1007/BF02706343. [Google Scholar] [CrossRef]
22. Neto PS, de Oliveira JB, de O Buzatti RS, Ferreira VMV, de Souza PP, Chaves FD, et al. Properties evaluation of polyester composites with fillers for electrical sector applications. J Mater Sci Compos. 2025;6(1):9. doi:10.1186/s42252-025-00068-8. [Google Scholar] [CrossRef]
23. Singh NL, Sharma A, Shrinet V, Rakshit AK, Avasthi DK. Electrical properties of ion irradiated polypropylene films. Bull Mater Sci. 2004;27(3):263–7. doi:10.1007/BF02708515. [Google Scholar] [CrossRef]
24. Teodorescu GM, Vuluga Z, Oancea F, Ionita A, Paceagiu J, Ghiurea M, et al. Properties of composites based on recycled polypropylene and silico-aluminous industrial waste. Polymers. 2023;15(11):2545. doi:10.3390/polym15112545. [Google Scholar] [PubMed] [CrossRef]
25. Pulikeshi KH, Goudar DM, Kurahatti RV, Pinto DG. Effect of cenosphere fillers on mechanical strength and abrasive wear resistance of carbon-glass polyester composites. Fibers. 2025;13(4):46. doi:10.3390/fib13040046. [Google Scholar] [CrossRef]
26. Nakonieczny DS, Antonowicz M, Heim T, Swinarew AS, Nuckowski P, Matus K, et al. Cenospheres-reinforced PA-12 composite: preparation, physicochemical properties, and soaking tests. Polymers. 2022;14(12):2332. doi:10.3390/polym14122332. [Google Scholar] [PubMed] [CrossRef]
27. Singh M, Kumar P, Dahiya D, Punia U, Tyagi A. Fly ash as a sustainable reinforcement in composite materials: a comprehensive review on enhancing mechanical properties for eco-friendly engineering. Discov Mater. 2025;5(1):210. doi:10.1007/s43939-025-00331-6. [Google Scholar] [CrossRef]
28. Ashoka, Sharanaprabhu CM, Krishnaraja GK, Manavendra G, Shankara Murthy AG. Effect of cenosphere on structural properties of Al 6061-SiCp hybrid composites. Int J Eng Res Technol. 2023;12(10). doi:10.5281/zenodo.18230150. [Google Scholar] [CrossRef]
29. Prakash R, Neelamegam P. Geopolymer concrete with cenosphere as fine aggregate: a material characterisation. J Polym Compos. 2024;12(1):143–51. [Google Scholar]
30. Aithal NU, Mahesh V, Mahesh V, Ponnusami SA, Harursampath D. Development and mechanical characterization of cenosphere-reinforced CFRP and natural rubber core sandwich composite. J Braz Soc Mech Sci Eng. 2023;45(9):498. doi:10.1007/s40430-023-04424-2. [Google Scholar] [CrossRef]
Cite This Article
Copyright © 2026 The Author(s). Published by Tech Science Press.This work is licensed under a Creative Commons Attribution 4.0 International License , which permits unrestricted use, distribution, and reproduction in any medium, provided the original work is properly cited.


Submit a Paper
Propose a Special lssue
View Full Text
Download PDF
Downloads
Citation Tools