Open Access
ARTICLE
Effect of Green Lipid Treatments on the Morphological, Physical, Hygroscopic, and Mechanical Properties of Pineapple Leaf Fibres
1 Laboratory of Mechanics, Doctoral Training Unit in Engineering Sciences (UFD-SI), University of Douala, Douala, Cameroon
2 Department of Mechanical Engineering, ENSET, University of Douala, Douala, Cameroon
3 Laboratory of Wood Science-Chemistry & Technology, Department of Natural Environment & Climate Resilience, Democritus University of Thrace, 1 km Drama-Mikrochoriou, Drama, Greece
4 Department of Chemistry, Aristotle University of Thessaloniki, Thessaloniki, Greece
5 Laboratory of Studies and Research on Wood Material (LERMAB), University of Lorraine, Nancy, France
* Corresponding Authors: Achille Désiré Betené Omgba. Email: ; Benoit Ndiwe. Email:
Journal of Renewable Materials 2026, 14(3), 5 https://doi.org/10.32604/jrm.2026.02025-0201
Received 29 October 2025; Accepted 27 January 2026; Issue published 25 March 2026
Abstract
The high hydrophilicity of pineapple leaf fibres (PALF) limits their use in cement- and gypsum-based composites exposed to moisture. This study evaluates, for the first time, the combined effect of palm kernel oil and beeswax on the hygroscopic resistance and mechanical stability of PALF. The fibres were functionalised with three formulations (oil, wax, and a 1:2 oil/wax blend) applied at different mass ratios (CR = 0.5–2). Treatments increased the average bundle diameter by up to +46% (238 μm) and reduced density down to 1.06 g/cm3. Hygroscopically, water absorption decreased from 202.4% (raw fibres) to 76.3% (CR = 2), representing a maximum reduction of 59.4% in saline medium, while moisture regain dropped from 27.9% to 14.6% (−47.7%). The oil/wax blend proved most effective, simultaneously reducing water absorption (−51.2%) and moisture regain (−46.8%) at CR = 1. Mechanically, the fibres retained tensile strength (415.2 vs. 460.8 MPa, +11% at CR = 1) and exhibited enhanced ductility (+62.5%, with elongation at break increasing from 1.6% to 2.6%), without significantly altering Young’s modulus (12.3 to 10 GPa). Water absorption kinetics were accurately described by the Czel and Mohsenin models (R2 > 0.98). These findings clearly demonstrate that bio-based lipid coatings can provide an eco-friendly alternative to conventional chemical treatments. They improve hygroscopic resistance and preserve mechanical integrity of PALF, providing original quantitative data for their integration into durable cement- and gypsum-based composites subjected to humid or cyclic wet-dry conditions.Graphic Abstract
Keywords
The environmental impact of materials derived from fossil resources, particularly synthetic fibres has raised growing awareness within scientific and industrial communities over several decades, due to their high greenhouse gas emissions [1,2]. In this context, lignocellulosic fibres from biomass represent a sustainable and valuable alternative due to their availability, low cost, biodegradability and specific mechanical properties, particularly in bio-based composites, technical textiles and construction materials [3,4]. Incorporating these fibres into brittle matrices such as concrete, stabilised earth bricks, or plasters enhances post-cracking resistance, reduces overall material density, and promotes the valorisation of agricultural residues [5,6].
In Cameroon, pineapple cultivation produces approximately 39 t/ha [7], generating substantial amounts of residues (leaves and peduncles) which are usually discarded after harvest. These leaves constitute an abundant, renewable and low-cost cellulosic resource, particularly suitable for technical fibre production. Pineapple fibres exhibit high mechanical properties, with tensile strength ranging from 413 to 768 MPa, Young’s modulus between 11.2 and 12.4 GPa, toughness of 49.4 kJ/m3, density below 1.5 g/cm3 and porosity around 30% [6,8,9]. These properties make them highly promising for reinforcing cement- and gypsum-based composites. However, their strong hydrophilicity, linked to a chemical composition rich in cellulose (60%), hemicellulose (5%), and lignin (12%), limits their use [6]. The hydroxyl groups in cellulose form hydrogen bonds with water, causing swelling, delamination and loss of stiffness [10,11]. This water sensitivity results in absorption reaching 189% of dry mass after 24 h, compared to 152% for flax and 230% for sisal [12], compromising durability and interfacial adhesion in composites exposed to wet-dry cycles [13].
To overcome these limitations, various chemical, thermal, biological and physical surface modification techniques have been reported [14–16]. Although effective at removing impurities and increasing surface roughness, alkaline degumming treatments present significant environmental drawbacks, including corrosivity, high energy demand, and the generation of toxic effluents [17]. Hornification, based on repeated wetting and drying cycles, stabilises the cell wall structure and reduces swelling capacity [18,19]. As described by Jayme [20], it induces partial closure of internal capillaries and formation of intermicrofibrillar hydrogen bonds, enhancing internal cohesion without affecting tensile strength. However, the method is slow, energy-intensive, and challenging to scale up, with outcomes highly dependent on fibre type and drying conditions [21,22].
In this context, bio-based lipid coatings offer a promising and faster alternative, partially reproducing the effects of hornification while forming a continuous hydrophobic barrier. Treatments based on natural oils and waxes reduce surface polarity, seal pores, and improve resistance to water diffusion without altering the internal fibre structure [5]. In the case of other lignocellulosic fibres, linseed oil treatment reduced water absorption from 130% to 73%, while paraffin treatment applied to flax shives resulted in a decrease from 200% to 50% [23]. Lazko et al. [24] reported a tenfold reduction in water uptake rate, and Juárez et al. [25] confirmed preservation of mechanical properties. Unlike chemical treatments, these processes are carried out at low temperatures and do not generate hazardous waste, making them suitable for sustainable construction materials.
To the best of our knowledge, the combined effect of palm kernel oil and beeswax on pineapple leaf fibres, as well as the influence of treatment ratios on their hygroscopic and mechanical stability, has not yet been investigated. This study therefore, seeks to bridge this knowledge gap by delivering data of direct relevance to cement- and gypsum-based composites exposed to humid environments or cyclic wet–dry conditions. Accordingly, the fibres will be treated with three formulations: palm kernel oil, beeswax, and a combined oil/wax blend at a 1:2 ratio, applied at different mass ratios (0.5 to 2). Treatment effectiveness will be evaluated through scanning electron microscopy for morphological analysis, infrared spectroscopy for chemical characterisation, dimensional measurements (diameter and apparent density), water absorption, moisture regain and tensile testing. This approach will facilitate the identification of optimal formulations and provide insight into the physicochemical interactions occurring at the fibre–coating interface. It is expected that the application of lipid coatings will significantly enhance hygroscopic resistance while preserving mechanical strength, offering a green and functional alternative for the development of durable cement- and gypsum-based composites reinforced with pineapple fibres.
2 Materials and Experimental Procedure
The fibre bundles used (Fig. 1a) in this study were extracted from pineapple leaves using a retting/scraping process, in accordance with the method described by Betene et al. [26]. The resulting fibres were carefully combed with a metal brush to ensure their alignment, then cut to a length of 40 mm. Scanning electron microscopy (SEM) observations confirmed the bundle structure (Fig. 1b), consisting of several dozen individual fibres along with residual mucilage from the leaf.

Figure 1: (a) Physical appearance and (b) typical SEM longitudinal view of pineapple fibre bundles; (c) bottle of palm kernel oil and (d) beeswax flakes.
The palm kernel oil CONFORTA used in this study (Fig. 1c) was cold-pressed from palm kernels and supplied by the company DJS (Douala, Cameroon).
The beeswax flakes (Fig. 1d) were obtained from the Pycnolab Laboratory (Douala, Cameroon).
2.2 Formulation and Application of Coatings on Fibre Bundles
To combine the advantages of both coating agents, a hybrid formulation with a mass ratio of oil to wax of 1:2 wt/wt was developed. Specifically, 25 g of beeswax flakes were melted at 115°C using a hot plate, and 50 g of liquid palm kernel oil were gradually incorporated into the molten wax under continuous stirring (Fig. 2a). The resulting mixture formed a drying substance (Fig. 2b), capable of auto-oxidation and polymerisation upon exposure to air, leading to the formation of a hydrophobic film.

Figure 2: Key steps in the coating process of pineapple fibre bundles: (a) sampling of the coating agent, (b) melting of the coating agent, (c) mixing of fibres with the coating agent, and (d) conditioning of the treated fibre bundles in a ventilated oven.
For the coating application, pineapple fibre bundles were first dried at 30 ± 2°C for 24 h, then placed in a planetary mixer (Fig. 2c). After 30 s of low-speed mixing, the coating agent (palm kernel oil, beeswax, or their mixture), previously melted at 115°C, was gradually added over a period of 2 min and 30 s under continuous agitation. Mixing was continued for an additional 2 min and 30 s to ensure uniform distribution of the coating on the fibres. The treated fibres were then placed in a ventilated oven at 50 ± 2°C [5,27] and maintained at that temperature for 7 days to complete the drying process (Fig. 2d). Four coating-to-fibre mass ratios (CR = 0.5, 1, 1.5, and 2) were applied to evaluate the effect of the coating treatment on the properties of the fibre bundles.
2.3 Morphological Observation by Scanning Electron Microscopy (SEM)
Fibre bundles were examined in longitudinal and cross-sectional views using scanning electron microscopy (SEM, HITACHI TM-3000, Tokyo, Japan), operated at 15 kV and various magnifications. Prior to observation, samples were coated with a thin layer of gold/palladium to enhance conductivity.
2.4 Determination of Diameters
An OMAX optical microscope operated with Top View 3.7 software was used to measure the diameter of both untreated and coated fibre bundles, following established protocols in the literature [28,29]. For each bundle, three images were captured at different positions along its length, and three diameter measurements were taken per image using Fiji software, yielding nine measurements per bundle. A total of thirty bundles were analysed, resulting in 270 measurements for each fibre type. The collected data were used to plot diameter distributions to assess variability. The probability density function was applied to estimate the likelihood of finding a diameter within a specific range. As fibre diameter distributions are often asymmetric, the data were fitted to a two-parameter Weibull distribution, described by Eq. (1):
where
2.5 Determination of True Density
The true density
where
2.6 Fourier Transform Infrared Spectroscopy (FTIR) Analysis
Functional group modifications of pineapple fibre bundles following organic treatments were characterised by ATR-FTIR spectroscopy using a Bruker Alpha spectrometer equipped with a diamond crystal and operated via Opus/Mentor software. Spectra were recorded over the range 400–4000 cm−1, with 32 scans per minute at a resolution of 4 cm−1, enabling the identification of changes in functional groups.
2.7 Water Absorption and Moisture Regain Experiments
The water absorption and moisture regain kinetics of pineapple fibre bundles were evaluated following the RILEM TC 236-BBM protocol, adapted by Page et al. [5], and ASTM D570. After drying at 30°C for 24 h, fibre bundles weighing 1 ± 0.1 g were placed in micro-perforated sachets to form test specimens. For water absorption testing, four samples were immersed in distilled water and four in seawater at 25 ± 2°C, with five replicates per condition. Mass gain was recorded at regular intervals until saturation using a precision balance (0.001 g), after removing surface water via simulated centrifugal shaking. Water absorption (
where
For moisture regain testing, four fibre samples of 4 cm length and initial mass 1 ± 0.1 g were exposed to a saturated atmosphere (RH 91% at 26°C) generated by distilled water in a sealed container, with the fibres suspended 10 mm above the surface, with 4 replicates per condition. Moisture regain (
where
The absorption and sorption phenomena were modelled using hygroscopic functions from the literature, including the following models:
2.8 Fibre Bundles Tensile Testing
Quasi-static tensile tests were carried out on pineapple fibre bundles using an LDW-5 universal testing machine (China) equipped with a 100 N load cell, at a constant crosshead speed of 2 mm per minute under controlled environmental conditions (25 ± 1°C and 65 ± 1 percent relative humidity). Each bundle was mounted on a kraft paper frame using a drop of UV-curable thiolene resin, as described by Betené Omgba [37]. A gauge length of 10 mm was used for all tests. Fibre bundles exhibiting abnormal fracture or failure near the clamping zones were excluded from the analysis. The average diameter of each tested fibre was determined from images captured using an optical microscope (OMAX, Guangzhou, China) [38,39], with three random diameter measurements along the length using Fiji software, assuming a circular cross-section, as adopted in studies on flax and hemp [28]. A minimum of 25 fibre samples was tested at each temperature. The mechanical properties, including tensile strength (MPa), Young’s modulus (GPa) and elongation at break (percent), were derived from the stress-strain curves. The elastic modulus (E) was determined by linear regression of the stress-strain curve within the strain range between 0.2 percent and 0.6 percent, thereby ensuring an approximation of the linear elastic response. Statistical differences between groups were assessed using one-way analysis of variance (ANOVA), preceded by Levene’s test to verify the homogeneity of variances. When significant differences were detected, Tukey’s post hoc test was applied for pairwise comparison of means. All analyses were performed using IBM SPSS Statistics 27 software (SPSS Inc., Chicago, IL, USA).
3.1 Morphology of Raw and Treated Pineapple Fibre Bundles
Scanning electron micrographs (Figs. 3 and 4) show that raw pineapple fibre bundles exhibit a characteristic fibrous morphology with grooves and mucilage, consistent with observations reported by Betené et al. [40]. Treatment with palm kernel oil (ACO) gradually forms a polymeric film, with bubbles and concretions appearing from a ratio of 0.5; above a ratio of 1, lateral bubbles indicate coating defects resulting from interactions between the oil and the fibre surface [5]. The palm kernel oil-beeswax blend (ACWO) produces an irregular texture, with cracks and bubbles at higher ratios, suggesting structural instability of the film due to internal stresses. Beeswax alone (ACW) results in heterogeneous coverage, delamination, and surface imperfections, despite some film compactness. The observed bubbles indicate partial absorption of the coating agent, as reported with linseed oil [5], and may help limit water diffusion within the fibres and in cement- and gypsum-based composites exposed to wet-dry cycles. In this context, palm kernel oil provides better coverage, the ACWO blend partially enhances protection, while beeswax alone reduces the specific surface area and fibre separation [27].

Figure 3: SEM micrographs of longitudinal views of raw pineapple fibre bundles and treated pineapple fibre bundles.

Figure 4: SEM micrographs of cross-sections of raw pineapple fibre bundles and treated pineapple fibre bundles.
The data in Table 1 and Fig. 5a show a systematic increase in the mean diameter of pineapple fibre bundles with the coating ratio (CR), regardless of the treatment, due to the progressive accumulation of the protective film, as confirmed by SEM micrographs. At CR = 2, fibres treated with the palm kernel oil–beeswax blend (ACWO) reach 240 μm (+46% vs. raw fibres, 164.1 μm, AC), slightly higher than those treated with oil alone (ACO, 230 μm) or wax alone (ACW, 233 μm), revealing an oil–wax synergy. ACO and ACWO increase diameter dispersion through penetration into inter-fibre gaps and internal cavities, with ACWO further stiffening and filling these spaces up to 238.4 μm. Wax alone also increases diameter, but with greater variability. This increase enhances air entrapment for insulation [27] but reduces specific surface area and interfacial adhesion, potentially limiting mechanical performance in cement- and gypsum-based composites [41]. Diameter distributions fit a two-parameter Weibull function, with shape parameter


Figure 5: (a) Variation of the mean fibre diameter as a function of the coating ratio; (b–l) diameter distributions of the fibre bundles: (b) untreated fibres, (c–f) fibres treated with palm kernel oil, (g–j) fibres treated with a palm kernel oil and beeswax blend, (k–l) fibres treated with beeswax.
Raw pineapple fibres exhibit an average density of 1.28 ± 0.07 g/cm3, consistent with literature values (1.26 g/cm3) [26]. Coating application progressively reduces density with increasing coating ratio (CR): for the palm kernel oil-beeswax blend (ACWO), density decreases from 1.26 ± 0.02 g/cm3 at CR = 0.5 to 1.06 ± 0.03 g/cm3 at CR = 2, reflecting the accumulation of a low-density protective film [5] and depending on the nature of both fibres and coating [24]. ACWO fibres show the lowest density, followed by ACO and ACW, indicating the hybrid coating’s ability to fill interstices and stiffen the fibres. Low standard deviations confirm the uniformity of the coatings. These coated fibres provide a favourable density–mechanical property balance (Fig. 6), enhancing their potential for lightweight, durable cementitious and plaster composites, capable of withstanding humid environments and wet-dry cycling [18,19].

Figure 6: Evolution of the bulk density of untreated and treated pineapple fibres with coating ratio under various organic treatments.
The FTIR spectra of pineapple fibre bundles (Fig. 7a–c) show that the untreated fibres (AC) exhibit characteristic bands of their biochemical components: a peak at 1050 cm−1 for polysaccharides (cellulose and hemicellulose), a band at 1310 cm−1 for carboxyl groups (C–O), a peak at 1635 cm−1 for adsorbed water (H–O–H), and a peak at 3365 cm−1 for hydroxyl groups (O–H) responsible for the fibres’ hydrophilicity [26]. Fibres treated with palm kernel oil (ACO, Fig. 7a), beeswax (ACW, Fig. 7b), and the oil-wax blend (ACWO, Fig. 7c) retain these bands but display additional absorption bands at 2850, 2920, 1460, and 720 cm−1 corresponding to C-H stretching vibrations of methylene and methyl groups, indicating the incorporation of the coating agents. Their intensity increases with the coating ratio (CR), reflecting progressive integration of the oil or wax. Peaks at 1738 and 1160 cm−1 correspond to esters from triacylglycerides and triglycerides [42,43], indicating partial oxidation. Bands between 1230 and 1150 cm−1 reflect C-O vibrations of esters. Differential analysis (dashed spectra) confirms the incorporation of organic materials and coating efficacy while preserving the fundamental fibre structure. These physicochemical modifications may enhance fibre hydrophobicity, thereby supporting dimensional stability and improving performance in cementitious and plaster composites under tropical conditions [24,44].

Figure 7: FTIR spectra of untreated and treated pineapple fibre bundles: (a) with palm kernel oil, (b) with a mixture of palm kernel oil and beeswax, and (c) with beeswax.
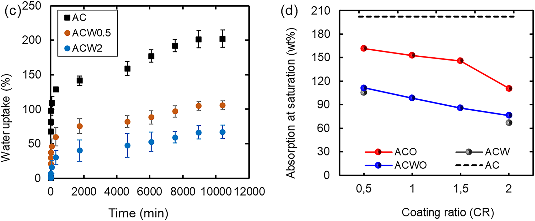
The water absorption kinetics curves of pineapple fibre bundles exhibit a two-phase profile (Fig. 8a–c): an initial linear phase reflecting the progressive diffusion of water molecules into the fibrous structure [3,10,11], followed by a non-linear phase that stabilises upon reaching saturation. The saturation absorption rate decreases significantly with increasing coating ratio (CR), from 202.4 ± 12.42 wt% to 76.3 ± 3.9 wt%, confirming the effectiveness of hydrophobic organic treatments, in line with previous studies [5,25]. Fibres treated with palm kernel oil (ACO) reach a plateau after approximately 5000 min, with values ranging from 161.8 to 110.9 wt% (Fig. 8a,d), suggesting a reduction of at least 40 wt% due to the formation of a hydrophobic barrier. Fibres treated with the palm kernel oil-beeswax blend (ACWO) exhibit even lower water uptake (reduction > 50.3 wt%), indicating a synergistic effect that enhances water resistance (Fig. 8b,d). Samples treated with beeswax alone (ACW) show similar performance (Fig. 8c,d). These hydrophobic coatings may be particularly advantageous for gypsum matrix composites by limiting water migration at the fibre-matrix interfaces, thereby improving long-term dimensional stability.

Figure 8: Absorption kinetics of raw pineapple fibre bundles treated with palm kernel oil (a), a mixture of palm kernel oil and beeswax (b) and beeswax (c) at different coating rates, and average evolution of water absorption as a function of coating rate (d).
The absorption kinetics data, normalised between 0 and 1 using Eq. (4), were fitted to several mathematical models (Table A1), with fitting parameters determined using MATLAB. The Czel model showed the best performance (R2 = 0.980–0.996; RMSE ≤ 0.027), especially for coated fibres (ACO, ACW, ACWO), reflecting a slower and more stabilised absorption process. The Mohsenin model also demonstrated high accuracy (R2 up to 0.998), particularly suitable for complex kinetics. Although the Page and Peleg models performed slightly less well (R2 ≈ 0.97), they remain valid under certain treatment conditions (ACO0.5, ACWO2). These findings highlight the relevance of multi-parameter models, such as those of Czel and Mohsenin, for accurately modelling water absorption in functionalised plant fibres.
The moisture uptake curves for pineapple fibres (Fig. 9a–c,e–g) show two distinct phases: a rapid increase of around 5% in the first two hours, followed by slower uptake to saturation after eight days, in agreement with the observations of Monreal et al. [45] on linseed oil-coated beetroot crisps. Sorption induced by distilled water is systematically higher than that induced by seawater, reflecting the influence of the environment on the hygroscopic response of the fibres. This difference is explained in particular by the presence of dissolved ions (Na+, Cl−, Mg2+, Ca2+, SO42-) in seawater, which lowers the chemical potential of free water and limits capillary imbibition [11,46]. Raw fibres show high absorption, stable at around 27.9% by weight in distilled water and 21.12% in seawater, reflecting their intrinsic hydrophilicity. For treated fibres, absorption decreases as the coating rate (CR) increases, reflecting the increasing effectiveness of the treatments. In distilled water (Fig. 9d), the absorption of ACO fibres decreases from ~20.76 wt% at CR = 0.5 to ~14.6 wt% at CR = 2, a reduction of 25.6%–47.7%. The ACWO and ACW fibres show greater reductions (39.4%–52% and 43%–59.4%, respectively), indicating a greater effectiveness of beeswax as a barrier. The maximum reduction rates obtained (52% and 59.4%) exceed those reported for identical fibres previously treated with caustic soda and hypochlorite [40], or for chemically treated palm nut mesocarp fibres [47], as well as for Neuropeltis acuminatas fibres [26], suggesting the superior effectiveness of organic wax or combined wax and oil treatments. In seawater (Fig. 9f), absorption also decreases: ACO decreases from ~15.84 to ~10 wt%, and ACWO/ACW reach ~8–10 wt% at CR = 2, confirming the increased efficiency of the blend in saline environments. These results underline the fact that coating, particularly with beeswax or wax-oil blends, optimises moisture resistance, especially at high CR. Tables A2 and A3 show that the Peleg and Pilosef models offer the best fit to the data, with R2s between 0.992 and 0.999 and minimum RMSEs of 0.060, guaranteeing accuracy and robustness.

Figure 9: Moisture absorption kinetics generated by distilled water (a–c) and seawater (e–g). Variation in moisture uptake as a function of coating rate in saturated media: distilled water (d) and seawater (h).
Based on water and moisture sorption criteria, pineapple fibres treated with beeswax or a hybrid palm kernel oil/beeswax blend (1:2 wt/wt) exhibit greater moisture resistance than those treated with palm kernel oil alone. To enable broader adoption of this method without relying exclusively on beeswax, the hybrid treatment is recommended. To assess its impact on mechanical properties, tensile tests were conducted on untreated (AC) and hybrid-coated (ACWO) fibres. The raw AC fibres exhibited a tensile strength of 415.2 MPa, a Young’s modulus of 12.3 GPa, and an elongation at break of 1.6%, in agreement with the values reported by Betené et al. [6] (413.9 MPa; 11.2 GPa; 2.0%) under similar testing conditions. These results position pineapple fibres as a credible alternative to jute (393 MPa; 1.5%–1.8%) and sisal (511–635 MPa; 9.4–22 GPa; 2.0%–2.5%) [48], both widely used in commercial biocomposites. However, the low elongation suggests a brittle failure behaviour, comparable to that of Rosa hybrida (352 MPa; 1.8%) [49] and Heteropogon contortus (476 ± 11.6 MPa; 1.6 ± 0.06%) [50]. The evolution of mechanical performance with coating ratio (CR), shown in Fig. 10, indicates an increase in tensile strength up to CR = 1 (460.8 MPa, i.e., +11%), which can be attributed to the plasticising and cohesive effects of the hybrid wax/oil layer [45,51]. Beyond this threshold, excessive coating disrupts the fibre-coating interface, reducing load transfer efficiency and leading to a decline in strength. This trend is accompanied by increased variability (Fig. 10b), likely resulting from differences in fibre bundle diameter, the heterogeneous nature of plant fibres, uneven porosity and chemical composition [2,28], and localized peeling of the coating layer, as observed in SEM micrographs (Fig. 3). Both factors can affect coating uniformity and mechanical performance.

Figure 10: Evolution of tensile strength (a), Young’s modulus (b) and elongation at break (c) of raw and treated fibre bundles as a function of coating rate. (d) Tensile strength as a function of fibre bundle diameter.
The Young’s modulus of pineapple fibres gradually decreases from 12.3 to 10 GPa as the coating ratio (CR) increases from 0 to 2 (Fig. 10c), indicating a reduction in stiffness likely due to the increased elasticity of the organic film formed around the fibres and the infiltration of the coating agent into their porous structure, which alters inter-fibrillar interactions. Similar trends have been reported for alkaline and thermal treatments applied to other lignocellulosic fibres [51–53]. Conversely, the elongation at break increases significantly from 1.6% to 2.6% with rising CR (Fig. 10d), suggesting enhanced ductility, particularly evident from CR = 1, although this is accompanied by greater data variability, as reflected in the coefficients of variation. Levene’s test confirmed the homogeneity of variances for Young’s modulus and elongation, justifying the use of analysis of variance (ANOVA) [54], whereas the variance heterogeneity observed for tensile strength required the application of the robust Brown-Forsythe test. ANOVA revealed a statistically significant effect of the organic coating (CR) on elongation at break (

3.8 Correlation between Hygroscopic and Mechanical Performance
Organic surface treatments using palm kernel oil, beeswax, and their hybrid blend (ACWO, 1:2) provide an effective means of reducing the hydrophilicity of pineapple leaf fibres (PALF) while maintaining their mechanical integrity. The radar plot (Fig. 11) illustrates the correlation between these properties and the coating ratio (CR = 0–2), with CR = 1 emerging as the optimal condition, showing a tensile strength of 460.8 MPa, an elongation at break of 2.5%, and a Young’s modulus of 10.9 GPa. Hygroscopically, water absorption and moisture regain decrease from 202.4% to 98.7% and from 27.8% to 14.8%, representing respective improvements of 51.2% and 46.8%. These performances surpass those obtained with linseed oil on flax fibres [5,23] and reflect a synergy between the oil’s fluid penetration into the fibre wall matrix and the formation of a continuous hydrophobic wax film that limits water diffusion without collapsing the cell structure. Unlike hornification, which induces irreversible wall collapse [18,19,21,22], the ACWO coating reproduces its densifying effect while maintaining flexibility and internal porosity. Compared to alkaline treatments, often corrosive and energy-intensive [17,40,47], this approach offers a green, low-impact alternative, free from harmful effluents and without degradation of the cellulosic network. No significant mechanical degradation was observed up to CR = 1, whereas higher coating levels (CR ≥ 1.5) caused partial surface stripping of the coating film, confirmed by SEM (Figs. 3 and 4). The variability in properties (standard deviation ≤ 52%) is attributed to morphological heterogeneity and uneven or locally stripped coatings. This study demonstrates, for the first time, the synergistic potential of palm kernel oil-beeswax coatings on PALF, providing a bio-inspired and scalable strategy to enhance the durability of cementitious and gypsum-based composites subjected to wet–dry cycling [23,25].

Figure 11: Logarithmic radar diagram illustrating the correlation between the hygroscopic and mechanical performance of treated fibres.
This study highlights the effectiveness of organic coating treatments based on palm kernel oil, beeswax, and their 1:2 (oil/wax) blend in enhancing the hygroscopic and mechanical performance of pineapple leaf fibres. These treatments lead to an increase in bundle diameter and a decrease in density, suggesting partial filling of internal porosities. FTIR analyses confirm the integration of coating agents through the appearance of characteristic ester and alkane bands, without significant alteration of the cellulosic structure. From a hygroscopic perspective, the coatings substantially reduce water absorption (up to 59.4% in saline water) and moisture uptake (up to 52% under a saturated atmosphere), with the hybrid treatment showing the greatest efficacy. This treatment also enhances fibre ductility without compromising tensile strength, producing an 11% increase in tensile strength alongside a significant rise in elongation at break. Moreover, the Czel and Mohsenin models proved relevant in describing absorption and sorption kinetics, reinforcing the understanding of the underlying mechanisms. However, certain limitations remain, such as dimensional variability at high coating ratios, film brittleness at high wax content, and local deposition heterogeneity, which may affect fibre/matrix adhesion. Additionally, although the hygroscopic properties are significantly improved, the long-term durability of treated fibres under real conditions (UV exposure, hygrothermal cycling, fungal ageing) has yet to be demonstrated. Further research is therefore required to optimise the wax/oil layer formulation, incorporate bio-based coupling agents such as tannins [55], and conduct accelerated ageing tests in simulated environments to ensure functional stability and support the industrial deployment of these functionalised fibres in eco-friendly materials.
Acknowledgement: The authors gratefully acknowledge the Centre for Materials Characterisation (CeCaM, Cameroon), the Laboratory for Studies and Research on Wood Materials (LERMAB, France), the Lorraine Textile Centre (CETELOR, France), and Site de Plasturgie de l’INSA de Lyon à Oyonnax (France) for their technical support with mechanical testing, FTIR spectroscopy, and scanning electron microscopy of the fibres.
Funding Statement: This research did not receive funds/grants from any funding agency, the public, commercial, or not-for-profit sectors.
Author Contributions: Achille Désiré Betené Omgba: writing—review & editing, writing—original draft, visualization, validation, supervision, software, resources, project administration, methodology, investigation, formal analysis, data curation, conceptualization. Cheryle Manfouo Tchoupmene: writing—review & editing, writing—original draft, visualization, validation, software, resources, methodology, investigation, formal analysis, data curation. Benoit Ndiwe: writing—original draft, visualization, validation, supervision, resources, project administration, methodology, investigation, formal analysis, conceptualization. Antonios N. Papadopoulos: writing—review & editing, visualization, validation, supervision, resources, project administration, methodology, formal analysis, conceptualization. Remy Legrand Ndoumou Belinga: writing—original draft, visualization, validation, resources, methodology, formal analysis, conceptualization. Julien Clerc Obam: writing—original draft, visualization, validation, ressources, methodology, formal analysis, data curation. Christel Cedrig Laris Nsi Ongo: writing—original draft, visualization, validation, ressources, methodology, formal analysis, data curation. Ioanna A. Papadopoulou: writing—original draft, visualization, validation, resources, methodology, formal analysis, conceptualization. Armel Brice Mvogo: writing—original draft, visualization, validation, ressources, methodology, formal analysis, data curation. Fabien Betené Ebanda: writing—review & editing, visualization, validation, supervision, resources, project administration, methodology, formal analysis, conceptualization. Atangana Ateba: writing—review & editing, visualization, validation, supervision, resources, project administration, methodology, formal analysis, conceptualization. Antonio Pizzi: writing—review & editing, visualization, validation, supervision, resources, project administration, methodology, formal analysis, conceptualization. All authors reviewed and approved the final version of the manuscript.
Availability of Data and Materials: Data available on request from the authors.
Ethics Approval: Not applicable.
Conflicts of Interest: The authors declare no conflicts of interest.
Appendix A



References
1. Pereira PHF, Arantes V, Pereira B, Ornaghi HL, de Oliveira DM, Santagneli SH, et al. Effect of the chemical treatment sequence on pineapple peel fiber: chemical composition and thermal degradation behavior. Cellulose. 2022;29(16):8587–98. doi:10.1007/s10570-022-04806-0. [Google Scholar] [CrossRef]
2. Baley C, Gomina M, Breard J, Bourmaud A, Davies P. Variability of mechanical properties of flax fibres for composite reinforcement—a review. Ind Crops Prod. 2020;145:111984. doi:10.1016/j.indcrop.2019.111984. [Google Scholar] [CrossRef]
3. Saaidia A, Belaadi A, Boumaaza M, Alshahrani H, Bourchak M. Effect of water absorption on the behavior of jute and sisal fiber biocomposites at different lengths: aNN and RSM modeling. J Nat Fibres. 2023;20(1):2140326. doi:10.1080/15440478.2022.2140326. [Google Scholar] [CrossRef]
4. Kumar S, Manna A, Dang R. A review on applications of natural fiber-reinforced composites (NFRCs). Mater Today Proc. 2022;50:1632–6. doi:10.1016/j.matpr.2021.09.131. [Google Scholar] [CrossRef]
5. Page J, Amziane S, Gomina M, Djelal C, Audonnet F. Using linseed oil as flax fibre coating for fibre-reinforced cementitious composite. Ind Crops Prod. 2021;161:113168. doi:10.1016/j.indcrop.2020.113168. [Google Scholar] [CrossRef]
6. Betené ADO, Martoïa F, Dumont PJJ, Ebanda Betené F, Ateba A. Gypsum plaster composites reinforced with tropical fibre bundles extracted from Rhecktophyllum camerunense and Ananas comosus plants: microstructure and mechanical performance. Constr Build Mater. 2023;392(1):131815. doi:10.1016/j.conbuildmat.2023.131815. [Google Scholar] [CrossRef]
7. Kossi GME, Beyegue Djonko H, Boukong A, Silatsa Tedou FB. Extensive pineapple production constraints and land suitability in the centre region of Cameroon. Agric Sci. 2023;14(2):240–55. doi:10.4236/as.2023.142016. [Google Scholar] [CrossRef]
8. Cesarino I, Carnietto MB, Bronzato GRF, Leao AL. Fabrication of pineapple leaf fibers reinforced composites. In: Pineapple leaf fibers. Singapore: Springer; 2020. p. 265–77. doi:10.1007/978-981-15-1416-6_13. [Google Scholar] [CrossRef]
9. Esan MT, Khairulzan Y, Zaiton H, Gambo MD, Hassan H. Effect of pineapple leaf fiber on the physico-mechanical properties of gypsum board. J Eng Environ Sci. 2025;5(1):13–24. doi:10.36108/ujees/3202.50.0120. [Google Scholar] [CrossRef]
10. Makhlouf A, Belaadi A, Boumaaza M, Mansouri L, Bourchak M, Jawaid M. Water absorption behavior of jute fibers reinforced HDPE biocomposites: prediction using RSM and ANN modeling. J Nat Fibres. 2022;19(16):14014–31. doi:10.1080/15440478.2022.2114976. [Google Scholar] [CrossRef]
11. Chakkour M, Moussa MO, Khay I, Balli M, Ben Zineb T. Hygroscopic aging cycles of bamboo fiber/epoxy composites: comparative study between distilled water and sea water. Ind Crops Prod. 2024;209:117957. doi:10.1016/j.indcrop.2023.117957. [Google Scholar] [CrossRef]
12. Tolêdo Filho RD, Ghavami K, England GL, Scrivener K. Development of vegetable fibre-mortar composites of improved durability. Cem Concr Compos. 2003;25(2):185–96. doi:10.1016/S0958-9465(02)00018-5. [Google Scholar] [CrossRef]
13. Benedicto Mainier F, Labuto Fragoso Sereno Ramos V, Fernando Mahler C. Study of wet-drying cycles on Sisal, Jute and white curaua fibers on the resistance parameters of cement-based composite. Preprints. 2018. doi:10.20944/preprints201812.0106.v1. [Google Scholar] [CrossRef]
14. Diharjo K, Andoko A, Soedarsono JW, Gapsari F, Rangappa SM, Siengchin S. Enhanced composite performance: evaluating silane treatment on Cordia dichotoma fibers. Results Eng. 2025;25:104260. doi:10.1016/j.rineng.2025.104260. [Google Scholar] [CrossRef]
15. Wu H, Zhang J, Song Y, Jia D, Sun G, Wang C. Effect of alkali treatment and silane functionalization on cellulose fibers: experimental investigation, mechanism and molecular dynamics simulation. Appl Surf Sci. 2026;716:164716. doi:10.1016/j.apsusc.2025.164716. [Google Scholar] [CrossRef]
16. Camargo M, Adefrs Taye E, Roether J, Tilahun Redda D, Boccaccini A. A review on natural fiber-reinforced geopolymer and cement-based composites. Materials. 2020;13(20):4603. doi:10.3390/ma13204603. [Google Scholar] [PubMed] [CrossRef]
17. Islam T, Chaion MH, Jalil MA, Rafi AS, Mushtari F, Dhar AK, et al. Advancements and challenges in natural fiber-reinforced hybrid composites: a comprehensive review. SPE Polym. 2024;5(4):481–506. doi:10.1002/pls2.10145. [Google Scholar] [CrossRef]
18. Ballesteros JEM, Mármol G, Filomeno R, Rodier L, Savastano H, Fiorelli J. Synergic effect of fiber and matrix treatments for vegetable fiber reinforced cement of improved performance. Constr Build Mater. 2019;205:52–60. doi:10.1016/j.conbuildmat.2019.02.007. [Google Scholar] [CrossRef]
19. Mejia-Ballesteros JE, Rodier L, Filomeno R, Savastano H Jr, Fiorelli J, Rojas MF. Influence of the fiber treatment and matrix modification on the durability of Eucalyptus fiber reinforced composites. Cem Concr Compos. 2021;124:104280. doi:10.1016/j.cemconcomp.2021.104280. [Google Scholar] [CrossRef]
20. Jayme G. Über die reaktionsfähigkeit von zellstoffen. Cellulosechemie. 1943;21:73–86. [Google Scholar]
21. do Amaral LM, de Souza Rodrigues C, Poggiali FSJ. Hornification on vegetable fibers to improve fiber-cement composites: a critical review. J Build Eng. 2022;48:103947. doi:10.1016/j.jobe.2021.103947. [Google Scholar] [CrossRef]
22. dos Santos Mendonça YG, Zukowski B, Toledo Filho RD. Influence of water hornification and alkaline treatment on the stress-strain behaviour of jute fibers. In: Materials Research Proceedings. Millersville, PA, USA: Materials Research Forum LLC; 2018. p. 383–90. doi:10.21741/9781945291838-36. [Google Scholar] [CrossRef]
23. Khazma M, Goullieux A, Dheilly RM, Rougier A, Quéneudec M. Optimization of flax shive-cementitious composites: impact of different aggregate treatments using linseed oil. Ind Crops Prod. 2014;61(3):442–52. doi:10.1016/j.indcrop.2014.07.041. [Google Scholar] [CrossRef]
24. Lazko J, Dupré B, Dheilly RM, Quéneudec M. Biocomposites based on flax short fibres and linseed oil. Ind Crops Prod. 2011;33(2):317–24. doi:10.1016/j.indcrop.2010.11.015. [Google Scholar] [CrossRef]
25. Juárez C, Durán A, Valdez P, Fajardo G. Performance of “Agave lecheguilla” natural fiber in portland cement composites exposed to severe environment conditions. Build Environ. 2007;42(3):1151–7. doi:10.1016/j.buildenv.2005.12.005. [Google Scholar] [CrossRef]
26. Betene ADO, Betene FE, Martoïa F, Dumont PJJ, Atangana A, Noah PMA. Physico-chemical and thermal characterization of some lignocellulosic fibres: Ananas comosus (ACNeuropeltis acuminatas (NA) and Rhecktophyllum camerunense (RC). J Miner Mater Charact Eng. 2020;8(4):205–22. doi:10.4236/jmmce.2020.84014. [Google Scholar] [CrossRef]
27. Stefanovic B, Kostic M, Bacher M, Rosenau T, Potthast A. Vegetable oils in textile finishing applications: the action mode of wrinkle-reduction sprays and means for analyzing their performance. Text Res J. 2014;84(5):449–60. doi:10.1177/0040517513495946. [Google Scholar] [CrossRef]
28. Jeannin T, Arnold G, Bourmaud A, Corn S, De Luycker E, Dumont PJJ, et al. A round-robin study on the tensile characterization of single fibres: a multifactorial analysis and recommendations for more reliable results. Compos Part A Appl Sci Manuf. 2024;185:108323. doi:10.1016/j.compositesa.2024.108323. [Google Scholar] [CrossRef]
29. Bhunia AK, Mondal D, Sahu KR, Mondal AK. Characterization of new natural cellulosic fibers from Cyperus compactus Retz. (Cyperaceae) plant. Carbohydr Polym Technol Appl. 2023;5(7):100286. doi:10.1016/j.carpta.2023.100286. [Google Scholar] [CrossRef]
30. Meng W, Sun J, Wang Y, Chen Y, Wang L, Feng X, et al. Extraction and characterization of natural cellulosic fiber from the bark of the Wikstroemia monnula plant as potential reinforcement in composites. Int J Biol Macromol. 2025;308(Pt 4):142523. doi:10.1016/j.ijbiomac.2025.142523. [Google Scholar] [PubMed] [CrossRef]
31. Page GE. Factors influencing the maximum rates of air drying shelled corn in thin layers [master’s thesis]. West Lafayette, IN,USA: Purdue University; 1949. [Google Scholar]
32. Mohsenin NN. Physical properties of plant and animal materials: v. 1: physical characteristics and mechanical properties. London, UK: Routledge; 2020. doi:10.4324/9781003062325. [Google Scholar] [CrossRef]
33. Sikame Tagne NR, Njeugna E, Fogue M, Drean JY, Nzeukou A, Fokwa D. Study of water absorption in Raffia vinifera fibres from bandjoun. Cameroon Sci World J. 2014;2014:912380. doi:10.1155/2014/912380. [Google Scholar] [PubMed] [CrossRef]
34. Czél G, Czigány T. A study of water absorption and mechanical properties of glass fiber/polyester composite pipes—effects of specimen geometry and preparation. J Compos Mater. 2008;42(26):2815–27. doi:10.1177/0021998308096668. [Google Scholar] [CrossRef]
35. Singh BPN, Kulshrestha SP. Kinetics of water sorption by soybean and pigeonpea grains. J Food Sci. 1987;52(6):1538–41. doi:10.1111/j.1365-2621.1987.tb05874.x. [Google Scholar] [CrossRef]
36. Peleg M. An empirical model for the description of moisture sorption curves. J Food Sci. 1988;53(4):1216–7. doi:10.1111/j.1365-2621.1988.tb13565.x. [Google Scholar] [CrossRef]
37. Betené Omgba AD, Obam JC, Youssoufa S, Huisken Mejouyo PW, Ndoumou Belinga RL, Djuidje O, et al. Effect of extension speed on the mechanical performance of sisal and coir fiber bundles. Int J Polym Anal Charact. 2024;29(2):86–97. doi:10.1080/1023666x.2024.2316966. [Google Scholar] [CrossRef]
38. Somasundaram R, Isaac R, Divakaran D, Suyambulingam I, Siengchin S, Manavalan M. Agro-waste of Senna alata (L.) Roxb. stem: a sustainable biofiber material for lightweight composites and diverse applications. Cellulose. 2025;32(1):383–412. doi:10.1007/s10570-024-06285-x. [Google Scholar] [CrossRef]
39. Indran S, Edwin Raj R, Sreenivasan VS. Characterization of new natural cellulosic fiber from Cissus quadrangularis root. Carbohydr Polym. 2014;110:423–9. doi:10.1016/j.carbpol.2014.04.051. [Google Scholar] [PubMed] [CrossRef]
40. Betené ADO, Betené FE, Ngali FE, Noah PMA, Ndiwé B, Soppie AG, et al. Influence of sampling area and extraction method on the thermal, physical and mechanical properties of Cameroonian Ananas comosus leaf fibers. Heliyon. 2022;8(8):e10127. doi:10.1016/j.heliyon.2022.e10127. [Google Scholar] [PubMed] [CrossRef]
41. Le Duigou A, Davies P, Baley C. Seawater ageing of flax/poly(lactic acid) biocomposites. Polym Degrad Stab. 2009;94(7):1151–62. doi:10.1016/j.polymdegradstab.2009.03.025. [Google Scholar] [CrossRef]
42. Nirmal U, Hashim J, Megat Ahmad MMH. A review on tribological performance of natural fibre polymeric composites. Tribol Int. 2015;83(8):77–104. doi:10.1016/j.triboint.2014.11.003. [Google Scholar] [CrossRef]
43. de Viguerie L, Payard PA, Portero E, Walter P, Cotte M. The drying of linseed oil investigated by Fourier transform infrared spectroscopy: historical recipes and influence of lead compounds. Prog Org Coat. 2016;93:46–60. doi:10.1016/j.porgcoat.2015.12.010. [Google Scholar] [CrossRef]
44. Stanislas TT, Nafu YR, Sikame Tagne NR, Mohamat AA, Huisken Mejouyo PW, Tendo JF, et al. Impact of wet-drying treatment of raffia and okra fibres on their morphological, physicochemical and mechanical properties. J Nat Fibres. 2023;20(1):2176012. doi:10.1080/15440478.2023.2176012. [Google Scholar] [CrossRef]
45. Monreal P, Mboumba-Mamboundou LB, Dheilly RM, Quéneudec M. Effects of aggregate coating on the hygral properties of lignocellulosic composites. Cem Concr Compos. 2011;33(2):301–8. doi:10.1016/j.cemconcomp.2010.10.017. [Google Scholar] [CrossRef]
46. Hadou A, Belaadi A, Alshahrani H, Khan MKA. Extraction and characterization of novel cellulose fibers from Dracaena draco plant. Mater Chem Phys. 2024;313:128790. doi:10.1016/j.matchemphys.2023.128790. [Google Scholar] [CrossRef]
47. Huisken PWM, Tchemou G, Tagne NRS, Ndapeu D, Njeugna E. Effect of the addition of oil palm mesocarp fibers on the physical and mechanical properties of a polyester matrix composite. Int J Polym Sci. 2022;2022:3399986. doi:10.1155/2022/3399986. [Google Scholar] [CrossRef]
48. Ndjock GAB, Mama YM, Amoa PP, Njom AE, Fregue TTR, Mewoli AE, et al. Physico-chemical and mechanical characterization of Cissus dinklagei fibers for the development of sustainable composite materials in construction. MRS Adv. 2025;10(16):1944–52. doi:10.1557/s43580-025-01210-1. [Google Scholar] [CrossRef]
49. Shibly MAH, Islam MI, Rahat MNH, Billah MM, Rahman MM, Bashar MS, et al. Extraction and characterization of a novel cellulosic fiber derived from the bark of Rosa hybrida plant. Int J Biol Macromol. 2024;257:128446. doi:10.1016/j.ijbiomac.2023.128446. [Google Scholar] [PubMed] [CrossRef]
50. Hyness NRJ, Vignesh NJ, Senthamaraikannan P, Saravanakumar SS, Sanjay MR. Characterization of new natural cellulosic fiber from Heteropogon Contortus plant. J Nat Fibres. 2018;15(1):146–53. doi:10.1080/15440478.2017.1321516. [Google Scholar] [CrossRef]
51. Shaker K, Fauster E. An overview of challenges in processing of sustainable plant fiber composites. Ind Crops Prod. 2025;233:121397. doi:10.1016/j.indcrop.2025.121397. [Google Scholar] [CrossRef]
52. Montoya Berrio J, Negrete Martínez J, Altamiranda Suárez J, Ávila Díaz C, Rivero-Romero O, Unfried-Silgado J. Influence of drying temperature on the properties of Colombian banana fibers for its potential use as reinforcement in composite materials. Sci Rep. 2024;14(1):25180. doi:10.1038/s41598-024-76460-4. [Google Scholar] [PubMed] [CrossRef]
53. Atangana GE, Tchotang T, Wedaïna AG, Olembe YR, Djaligue A, Mahondé N. Effect of alkaline treatment on the physical, chemical, and mechanical properties of coconut palm nucifera Rachis Fibres. J Nat Fibres. 2025;22(1):2449439. doi:10.1080/15440478.2024.2449439. [Google Scholar] [CrossRef]
54. Betené ADO, Ndiwe B, Krishnan GS, Wedaïna AG, Manfouo Tchoupmene C, Ngongang Djakou CB, et al. Processing of tropical agro-industrial waste for particleboard manufacture: dimensional stability and mechanical performance. J Build Eng. 2023;76:107369. doi:10.1016/j.jobe.2023.107369. [Google Scholar] [CrossRef]
55. Wang Y, Ren L, Pu Y, Wang T, Shi B, Qiang T. Tannin-modified down keratin fibers to construct an all-biomass-based adsorbent for efficient uranium extraction from seawater. J Environ Chem Eng. 2025;13(2):115880. doi:10.1016/j.jece.2025.115880. [Google Scholar] [CrossRef]
Cite This Article
Copyright © 2026 The Author(s). Published by Tech Science Press.This work is licensed under a Creative Commons Attribution 4.0 International License , which permits unrestricted use, distribution, and reproduction in any medium, provided the original work is properly cited.


Submit a Paper
Propose a Special lssue
View Full Text
Download PDF
Downloads
Citation Tools