Open Access
ARTICLE
Direct Application of Fresh Spent Mushroom Substrates Enhances Rice Grain Yields
1 Qianxinan Academy of Agricultural and Forestry Sciences, Xingyi, China
2 Key Laboratory of High Quality, High Efficiency, and Yield Enhancement in Grain and Oil Crops, Xingyi, China
* Corresponding Author: Hengdong Zhang. Email:
(This article belongs to the Special Issue: Advances in Crop Genetics and Breeding for Sustainable Agriculture)
Phyton-International Journal of Experimental Botany 2026, 95(3), 12 https://doi.org/10.32604/phyton.2026.077976
Received 21 December 2025; Accepted 23 February 2026; Issue published 31 March 2026
Abstract
Spent mushroom substrate (SMS), the residual byproduct of mushroom cultivation, represents a nutrient-rich agro-residues with potential for paddy field application. This study evaluated the effect of direct SMS application on rice yield, yield components, biomass production, and nitrogen uptake (NU), aiming to provide useful information for fresh SMS utilization in paddy. Field experiments were conducted using a split-plot design with three replications, three SMS rates (0, 9, and 18 t ha−1 dry matter) as the main plots and three nitrogen (N) (0, 90, 180 kg ha−1) as subplots in 2023 and 2024. Each plot was planted with rice cultivars Jingliangyou-534 (2023–2024) and Yongyou-1540 (2024). Results indicated that SMS application (9 and 18 t ha−1) significantly increased nitrogen content in straw and grain at maturity by 8.54%–41.42% and 1.71%–16.27%, respectively. Correspondingly, NU in straw, grain, and aboveground increased by 11.85%–92.81%, 11.22%–43.59%, and 11.28%–53.18%, respectively. Aboveground biomass, panicles per m2 and spikelets per panicle increased by 6.83%–27.66%, 0.44%–24.54%, and 5.01%–13.26%, respectively; no consistent effects were observed on setting rate for either cultivar across both years. Grain yield improved by 4.70%–23.57%, compared with no SMS application. These findings provide preliminary evidence that fresh SMS (≤18 t ha−1 dry matters) can be applied directly, without composting, as a convenient and effective strategy to enhance rice productivity, though further studies are needed to clarify the mechanisms underlying increased N uptake.Keywords
Rice, as China’s staple crop, is vital for national food security [1,2]. Its production largely depends on soil fertility and nutrient availability, traditionally maintained through chemical fertilizers [3]. However, excessive fertilizer use can degrade soil physicochemical properties and reduce crop performance [4]. Integrating organic fertilizers has proven effective for nutrient supply and soil organic matter accumulation, with the long-term combined organic-chemical fertilization can stabilize crop yield [4,5].
The edible mushroom industry in China has expanded rapidly, with production enterprises and output increasing steadily. Consequently, the accumulation of spent mushroom substrates (SMS) is substantial; China accounts for over 75% of global edible mushroom production [6]. SMS, the residual agro-residue from mushroom cultivation, is rich in organic matter and nutrients, including nitrogen, phosphorus, and potassium [7]. Approximately 5 kg of SMS is produced per kilogram of harvested mushrooms [8]. Traditionally discarded, SMS poses environmental and resource challenges [9], prompting exploration of reuse strategies. Among these, agricultural application is both economically and ecologically viable [10,11].
The use of compost as a soil amendment is both environmentally and economically viable [12]. Spent mushroom compost (SMC) is a product of SMS composting, which enriches soil with organic matter, enhancing soil water and nutrient retention and improving soil structure [13]. Its application can significantly increase soil mineral nitrogen, with synergistic effects when combined with urea [10]. Similarly, integrating SMC into rice cultivation improves seedlings’ quality and vigor, promotes root development, and enhances the activity and abundance of beneficial microorganisms [6,14]. Rice seedlings grown in substrates containing SMC exhibit faster recovery after transplanting, and potentially higher tiller numbers [15]. Dar et al. [9] demonstrated that SMC with a low C:N ratio boosts grain and straw yield as well as total dry matter production, whereas high C:N ratios can reduce these parameters.
However, the nutrients in SMS are not immediately available to plants, necessitating composting prior to application [10,14]. Research on the direct use of fresh SMS in paddy soils remains limited. In this study, we evaluated fresh SMS derived from Pleurotus geesteranus, a widely cultivated mushroom in southern China [14]. The substrates were applied directly, without fermentation, in two field experiments with three SMS rates across three nitrogen levels during 2023 and 2024 in Xingyi City, Guizhou Province, China. The objective was to assess the effects of direct SMS application on grain yield, yield components, biomass production, and nitrogen uptake in rice.
2.1 Experimental Site, Soil, Spent Mushroom Substrates and Rice Cultivar
Field experiments were conducted in Xingyi City (25°01′14″ N, 104°55′45″ E, 1170 m asl), Guizhou Province, China, during 2023 and 2024. After harvesting pleurous geesteranus mushrooms in the same year as the experiment, the SMS was sun-dried and applied prior to rice transplanting in both years. The SMS were acquired from a nearby edible mushroom company. Soil samples (0–20 cm layer) were collected prior to transplanting in 2023. The chemical characteristics of the soil and SMS are presented in Table 1.
Table 1: Chemical characteristics of soil and spent mushroom substrates used in the experiment.
| Chemical Characteristics | Soil | Spent Mushroom Substrates |
|---|---|---|
| pH | 7.18 ± 0.02 | 8.61 ± 0.02 |
| Organic matter (g kg−1) | 60.09 ± 0.16 | 254.48 ± 1.59 |
| Total nitrogen (g kg−1) | 2.80 ± 0.05 | 11.96 ± 0.25 |
| Total phosphorus (g kg−1) | 1.40 ± 0.002 | 0.41 ± 0.002 |
| Total potassium (g kg−1) | 10.10 ± 0.06 | 9.60 ± 0.17 |
| Available nitrogen (mg kg−1) | 245.67 ± 5.52 | 872.00 ± 8.33 |
| Available phosphorus (mg kg−1) | 21.10 ± 1.47 | 262.20 ± 13.02 |
| Available potassium (mg kg−1) | 284.67 ± 8.21 | 3888.26 ± 205.85 |
In 2023, the hybrid rice cultivar Jingliangyou-534 (Production date: 2022.09) was used. In 2024, two hybrid cultivars, Jingliangyou-534 (Production date: 2023.09) and Yongyou-1540 (Production date: 2023.10), were evaluated. Both cultivars are high-yielding and well-adapted to Xingyi City conditions, and purchased from the local agricultural market in the year of the experiment. The basic properties of the cultivars were shown in Table 2.
Table 2: Basic properties of rice cultivars used in the experiments.
| Cultivars | Year of Release | Female Parent | Male Parent | Plant Height (cm) | Growth Period (d) | Breeding Institution |
|---|---|---|---|---|---|---|
| Jingliangyou-534 | 2019 | R534 | Jing4155S | 113.8 | 146.1 | Yuan Longping Agricultural High-tech Co., Ltd. |
| Yongyou-1540 | 2015 | F7540 | Yongjing15A | 105.8 | 151.0 | Ningbo Seed Industry Co., Ltd. |
2.2 Experimental Design and Crop Management
The experiments were arranged in a split-plot design, with SMS rate (dry matter) as the main plots and the nitrogen (N) rate as subplots with three replicates per treatment in 2023 and 2024 (Table 3). Rice seedlings (25 days old) were manually transplanted on 03 May, with two seedlings per hill and a spacing of 20 cm × 26.7 cm in both years.
Table 3: Experimental design in 2023 and 2024.
| Year | Main Plot | Subplot | Sub-Subplot | Plot Size | |||||
|---|---|---|---|---|---|---|---|---|---|
| SMS Rate (Dry Matter t ha−1) | N Rate (kg ha−1) | Cultivar | (m2) | ||||||
| S0 | S1 | S2 | N0 | N1 | N2 | ||||
| 2023 | 0 | 9 | 18 | 0 | 90 | 180 | Jingliangyou-534 | 30 | |
| 2024 | 0 | 9 | 18 | 0 | 90 | 180 | Jingliangyou-534 | Yongyou-1540 | 15 |
Three SMS rates were tested: 0 (S0), 9 (S1), and 18 t ha−1 dry matter (S2), applied 1 day before transplanting. Nitrogen was applied at 0 (N0), 90 (N90), and 180 kg ha−1 (N180) in three splits: 50% as basal one day before transplanting, 20% at 7 days after transplanting (tillering stage), and 30% at panicle initiation (earing stage). Phosphorus (P2O5) and potassium (K2O) were applied at 60 and 120 kg ha−1, respectively; P was applied as basal, while Kwas split equally between basal and earing stages.
Solar radiation and mean temperatures during the period from transplanting to maturity were recorded using an automatic weather station (Vantage Pro2, Davis Instruments Crop., Hayward, CA, USA) near the experimental field.
At maturity five hills per plot were hand-harvested, and panicle number was counted. Filled and unfilled spikelets were separated by submersion in tap water, and three 30 g subsamples of filled spikelets were counted manually. All plant organs were oven-dried at 70°C to constant weight to determine biomass and N content. The N was analyzed using a Skalar SAN Plus segmented flow analyzer. Yield components including spikelets per panicle (SPP), seed setting rate (SSR), grain weight (GW), and panicles per m2 (PP), aboveground biomass, harvest index (filled grain biomass/aboveground biomass), and aboveground nitrogen uptake (NU per m2 in different organs) were calculated.
Grain yield was determined from a 5 m2 area per plot and adjusted to 13.5% moisture content.
Data were analyzed separately by cultivar and year. Analysis of variance (ANOVA) was performed using an analytical software Statistix 8.0 (Tallahassee, FL, USA), and treatment means were compared using the least significant difference (LSD) test at p < 0.05.
3.1 Temperature and Solar Radiation
The average daily temperature from transplanting to maturity was 22.63°C in 2023 and 22.73°C in 2024. Total incident solar radiation was 2112.06 MJ m−2 in 2023 and 1958.88 MJ m−2 in 2024, (Fig. 1).
Figure 1: Daily mean temperature and solar radiation in 2023 (A) and 2024 (B).
3.2 Grain Yield and Yield Components
Grain yield was significantly affected by both nitrogen and SMS rates (Fig. 2). The application of nitrogen significantly increased grain yield, and SMS application also had a significant positive impact. Averaged across three nitrogen rates, grain yields under S1 and S2 were 12.05% and 18.69% higher in 2023 (Fig. 2A) and 4.70% and 10.09% higher in 2024 (Fig. 2B) with Jingliangyou-534, compared with S0. For Yongyou-1540 in 2024 (Fig. 2C), S1 and S2 increased grain yield by 10.99% and 23.57%, respectively. The grain yield had a positive linear correlation with SMS rate for both cultivars in two years.
Figure 2: Effects of SMS application on yield of Jingliangyou-534 (A,B) and Yongyou-1540 (C) under three N rates in 2023 (A) and 2024 (B,C). Means followed by the different letters showed the differences are significant at the 0.05 probability level. Error bars are for the comparison of N rates at each SMS rate. Trend line showed the yield change followed by the SMS rate, *represent significance at the 0.05 probability level.
SMS application also significantly increased PP and SPP (Table 4 and Table 5). In 2023 and 2024, S1 and S2 increased PP by 11.03% and 18.20%, and 16.92% and 24.54%, respectively, with Jingliangyou-534 (Table 4). For Yongyou-1540, S1 and S2 increased PP by 0.44% and 14.73%, though the difference between S1 and S0 was not significant. SPP increased by 7.05% and 8.07% in Jingliangyou-534 in 2023, and by 5.47% and 5.01% in Jingliangyou-534 and 11.27% and 13.26% in Yongyou-1540 in 2024. Average grain weight tended to decrease with increasing SMS, though differences were not significant in 2023 with Jingliangyou-534. In 2024, S1 and S2 reduced GW by 1.46% and 2.33% in Jingliangyou-534 and 2.38% and 4.27% in Yngyou-1540, respectively, with significant differences. No consistent effects were observed on SSR for either cultivar across both years.
Table 4: Effects of SMS application on yield components of Jingliangyou-534 under three N rates in 2023 and 2024.
| Year | SMS Rate | N Rate | Panicles Per m2 | Spikelets Per Panicle | Setting Rate (%) | Grain Weight (mg) |
|---|---|---|---|---|---|---|
| 2023 | S0 | N0 | 260.75 | 171.03 | 86.33 | 21.97 |
| N90 | 261.09 | 194.05 | 85.14 | 21.69 | ||
| N180 | 280.31 | 185.68 | 84.53 | 21.62 | ||
| Mean | 267.38c | 183.59b | 85.33b | 21.76a | ||
| S1 | N0 | 272.16 | 192.30 | 85.70 | 21.70 | |
| N90 | 283.73 | 200.60 | 83.28 | 21.61 | ||
| N180 | 334.70 | 196.71 | 84.75 | 20.82 | ||
| Mean | 296.86b | 196.54a | 84.58b | 21.71a | ||
| S2 | N0 | 287.06 | 187.72 | 89.49 | 21.98 | |
| N90 | 306.50 | 193.03 | 88.53 | 21.64 | ||
| N180 | 354.56 | 214.46 | 80.68 | 21.51 | ||
| Mean | 316.04a | 198.40a | 86.23a | 21.49a | ||
| Analysis of variance (F-value) | ||||||
| S | 19.92** | 12.54** | 8.32** | 2.76 | ||
| N | 22.93** | 12.57** | 45.50** | 6.73** | ||
| S*N | 2.02 | 5.06** | 28.93** | 0.50 | ||
| 2024 | S0 | N0 | 222.50 | 223.36 | 88.73 | 21.53 |
| N90 | 238.75 | 218.02 | 89.88 | 22.20 | ||
| N180 | 277.50 | 211.77 | 88.55 | 21.87 | ||
| Mean | 246.25c | 217.72b | 89.05a | 21.87a | ||
| S1 | N0 | 248.75 | 218.36 | 88.21 | 21.67 | |
| N90 | 305.00 | 236.56 | 88.09 | 21.70 | ||
| N180 | 310.00 | 234.00 | 89.42 | 21.29 | ||
| Mean | 287.92b | 229.64a | 88.58a | 21.55ab | ||
| S2 | N0 | 297.50 | 233.26 | 86.95 | 21.45 | |
| N90 | 291.25 | 228.36 | 84.78 | 21.29 | ||
| N180 | 331.25 | 224.25 | 82.39 | 21.32 | ||
| Mean | 306.67a | 228.62a | 84.71b | 21.36b | ||
| Analysis of variance (F-value) | ||||||
| S | 30.32** | 5.58* | 25.98** | 4.87* | ||
| N | 19.91** | 0.60 | 1.66 | 1.16 | ||
| S*N | 2.83 | 2.91 | 3.95* | 1.54 | ||
Table 5: Effects of SMS application on yield components of Yongyou-1540 under three N rates in 2024.
| Year | SMS Rate | N Rate | Panicles Per m2 | Spikelets Per Panicle | Setting Rate (%) | Grain Weight (mg) |
|---|---|---|---|---|---|---|
| 2024 | S0 | N0 | 158.75 | 301.21 | 95.04 | 22.31 |
| N90 | 203.75 | 282.15 | 93.15 | 22.33 | ||
| N180 | 197.50 | 324.55 | 91.33 | 22.13 | ||
| Mean | 186.67b | 302.64b | 93.17a | 22.26a | ||
| S1 | N0 | 165.00 | 311.53 | 91.94 | 21.84 | |
| N90 | 190.00 | 344.11 | 93.40 | 21.63 | ||
| N180 | 207.50 | 354.58 | 92.35 | 21.72 | ||
| Mean | 187.50b | 336.74a | 92.56a | 21.73b | ||
| S2 | N0 | 191.25 | 347.73 | 95.32 | 21.56 | |
| N90 | 220.00 | 327.70 | 90.29 | 21.36 | ||
| N180 | 231.25 | 352.91 | 88.27 | 21.01 | ||
| Mean | 214.17a | 342.78a | 91.30b | 21.31c | ||
| Analysis of variance (F-value) | ||||||
| S | 23.36** | 55.30** | 8.75** | 23.54** | ||
| N | 44.13** | 24.62** | 28.44** | 2.05 | ||
| S*N | 1.42 | 9.97** | 13.12** | 0.71 | ||
3.3 Biomass Production and Harvest Index
Mean total biomass production (TBP) differed significantly among SMS rates across nitrogen levels for both rice cultivars in 2023 and 2024 (Table 6). Across N rates, S1 and S2 increased total biomass by 13.12% and 25.01% in 2023, and 21.38% and 27.66% in 2024 for Jingliangyou-534 compared with S0. For Yongyou-1540 in 2024, S1 and S2 increased TBP by 6.83% and 17.88%, respectively. The harvest index did not show a consistent change among three SMS rates, the Jingliangyou-534 under S1 treatment showed no consistent trend across SMS rates; Jingliangyou-534 exhibited the highest harvest index under S1 in both years, whereas Yongyou-1540 achieved the highest under S2 in 2024.
Table 6: Effects of SMS application on total biomass production and harvest index of Jingliangyou-534 and Yongyou-1540 under three N rates in 2023 and 2024.
| Cultivar | SMS Rate | N Rate | Total Biomass Production (g m−2) | Harvest Index (%) | Total Biomass Production (g m−2) | Harvest Index (%) |
|---|---|---|---|---|---|---|
| 2023 | 2024 | |||||
| Jingliangyou-534 | S0 | N0 | 1488.10 | 56.81 | 1643.30 | 57.60 |
| N90 | 1646.00 | 56.78 | 1803.30 | 57.56 | ||
| N180 | 1680.50 | 56.53 | 1949.90 | 58.32 | ||
| Mean | 1604.86c | 56.71b | 1798.83c | 57.82a | ||
| S1 | N0 | 1621.60 | 59.98 | 1861.12 | 55.71 | |
| N90 | 1741.69 | 58.76 | 2328.03 | 59.14 | ||
| N180 | 2082.73 | 55.72 | 2361.02 | 58.38 | ||
| Mean | 1815.34b | 58.15a | 2183.39b | 57.74a | ||
| S2 | N0 | 1861.51 | 56.93 | 2257.78 | 57.28 | |
| N90 | 1996.70 | 56.80 | 2149.12 | 55.85 | ||
| N180 | 2160.42 | 57.31 | 2482.50 | 52.52 | ||
| Mean | 2006.21a | 57.01ab | 2296.47a | 55.22b | ||
| Analysis of variance (F-value) | ||||||
| S | 92.28** | 3.68* | 93.76** | 30.60** | ||
| N | 61.94** | 3.16 | 40.69** | 4.32* | ||
| S*N | 5.12** | 3.60* | 9.64** | 19.57** | ||
| Yongyou-1540 | S0 | N0 | 1725.83 | 58.68 | ||
| N90 | 2011.02 | 59.43 | ||||
| N180 | 2123.67 | 60.98 | ||||
| Mean | 1953.51c | 59.70c | ||||
| S1 | N0 | 1765.87 | 58.42 | |||
| N90 | 2148.90 | 61.43 | ||||
| N180 | 2346.13 | 62.88 | ||||
| Mean | 2086.97b | 60.91b | ||||
| S2 | N0 | 2152.34 | 63.42 | |||
| N90 | 2240.67 | 62.06 | ||||
| N180 | 2515.21 | 60.15 | ||||
| Mean | 2302.74a | 61.88a | ||||
| Analysis of variance (F-value) | ||||||
| S | 52.87** | 36.86** | ||||
| N | 85.52** | 10.85** | ||||
| S*N | 4.03* | 43.90** | ||||
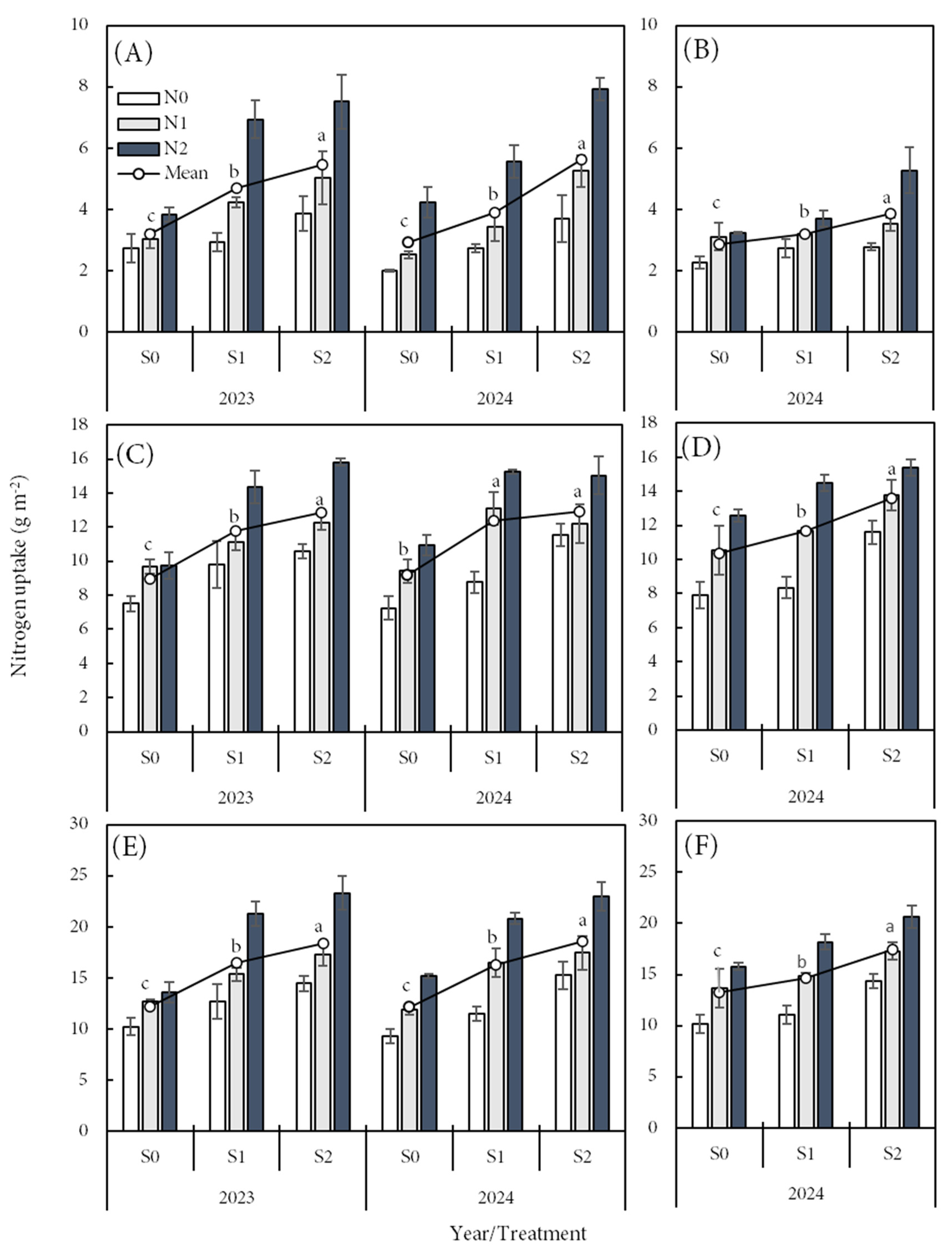
The SMS application significantly increased aboveground nitrogen content (NC) and nitrogen uptake (NU) in Jingliangyou-534 in 2023 and 2024, and in Yongyou-1540 in 2024. (Table 7 and Fig. 3). NC in straw increased by 29.48%–35.37% and 10.82%–41.42% for Jingliangyou-534 in 2023 and 2024, and by 8.54%–18.73% for Yongyou-1540 in 2024. Grain NC increased by 11.51%–12.93% and 10.14%–16.29% for Jingliangyou-534 in 2023 and 2024, and 1.71%–8.67% for Yongyou-1540 in 2024 (Table 7). Aboveground NU under S1 and S2 was 35.28%–53.18% higher for Jingliangyou-534, and 11.28%–32.10% higher for Yongyou-1540 compared with S0. Average NU in straw and grain was elevated under S1 and S2 by 47.34%–71.16% and 31.10%–43.59% in 2023 and 33.90%–92.81% and 34.49%–40.70% in 2024 for Jingliangyou-534, and by 11.85%–31.43% and 11.22%–31.43% for Yongyou-1540 in 2024 (Fig. 3).
Table 7: Effects of SMS rate on aboveground nitrogen content at maturity under three N rates in 2023 and 2024 for Jingliangyou-534 and Yongyou-1540.
| Cultivar | SMS Rate | N Rate | Nitrogen Content (g kg−1) | |||
|---|---|---|---|---|---|---|
| 2023 | 2024 | |||||
| Straw | Grain | Straw | Grain | |||
| Jingliangyou-534 | S0 | N0 | 4.24 | 8.87 | 2.88 | 7.66 |
| N1 | 4.26 | 10.36 | 3.30 | 9.07 | ||
| N2 | 5.23 | 10.23 | 5.20 | 9.61 | ||
| Mean | 4.58b | 9.82b | 3.79c | 8.78c | ||
| S1 | N0 | 4.46 | 10.04 | 3.32 | 8.44 | |
| N1 | 5.79 | 10.87 | 3.61 | 9.49 | ||
| N2 | 7.53 | 12.37 | 5.66 | 11.07 | ||
| Mean | 5.93a | 10.95a | 4.20b | 9.67b | ||
| S2 | N0 | 5.01 | 10.00 | 3.83 | 8.93 | |
| N1 | 6.02 | 10.81 | 5.53 | 10.16 | ||
| N2 | 7.57 | 12.03 | 6.73 | 11.54 | ||
| Mean | 6.20a | 11.09a | 5.36a | 10.21a | ||
| Analysis of variance (F-value) | ||||||
| S | 11.52** | 19.52** | 31.22** | 17.52** | ||
| N | 18.99** | 36.60** | 78.01** | 48.31** | ||
| S*N | 1.53 | 2.56 | 2.38 | 0.92 | ||
| Yongyou-1540 | S0 | N0 | 3.18 | 7.80 | ||
| N1 | 3.80 | 8.82 | ||||
| N2 | 3.91 | 9.70 | ||||
| Mean | 3.63b | 8.77b | ||||
| S1 | N0 | 3.71 | 8.08 | |||
| N1 | 3.88 | 8.85 | ||||
| N2 | 4.24 | 9.83 | ||||
| Mean | 3.94ab | 8.92ab | ||||
| S2 | N0 | 3.54 | 8.50 | |||
| N1 | 4.16 | 9.92 | ||||
| N2 | 5.24 | 10.18 | ||||
| Mean | 4.31a | 9.53a | ||||
| Analysis of variance (F-value) | ||||||
| S | 7.63** | 4.48* | ||||
| N | 15.92** | 21.96** | ||||
| S*N | 2.60 | 0.41 | ||||
Figure 3: Effects of SMS rate on straw (A,B), grain (C,D) and aboveground (E,F) nitrogen uptake at maturity under three N rates in 2023 and 2024 for Jingliangyou-534 and Yongyou-1540. Different letters above the means showed the differences are significant at the 0.05 probability level.
Previous research has demonstrated that SMC’s advantageous qualities can improve rice’s nutritional availability and uptake [14]. In comparison to no SMS application, the current study found that direct SMS application without fermentation significantly increased NC in straw and grain by 8.54%–41.42% and 1.71%–16.27%, respectively, and improved NU in straw, grain and aboveground biomass by 11.85%–92.81%, 11.22%–43.59% and 11.28%–53.18%. These effects are probably caused by (1) the SMC had a low bulk density, loose texture, good air permeability, as well as the fact that it can be used to enhance the soil’s physical structure [13,16]. Soils with a softer, looser texture are often more favorable for microbial colonization, this microbial presence plays an important role in nutrient cycling within the rhizosphere, facilitating the release and transformation of nutrients, thereby enhancing NU by plants [17]; and (2) SMS is rich in nutrients (higher organic matter, nitrogen, phosphorus, and potassium content) and enhanced mineral nitrogen availability, the available nitrogen in SMS directly supplements the nitrogen demand of rice [10], or the organic matter derived from SMS can increase microbial activity and soil porosity, thereby facilitating nutrient uptake [17]. The relative contributions of SMS, soil mineralization and applied N fertilizer to increased N uptake remain unclear and warrant further investigation.
Rice grain yield is influenced by TBP and harvest index, with a stronger correlation observed between yield and biomass compared to harvest index [18]. Organic fertilizers, which are rich in minerals, provide essential nutrients, that regulate plant growth [19]. In this study, the application of SMS resulted in an increase in TBP by 13.12%–27.66% for the Jingliangyou-534 and 6.83%–17.88% for the Yongyou-1540. These finding align with previous research indicating that the application of spent white button mushroom compost enhances TBP [9]. This improvement may be attributed to increased NU facilitated by SMS, which likely supports higher dry matter accumulation [20]. Furthermore, SMS application significantly affected PP and SPP. PP increased by 11.03%–24.54% for Jingliangyou-534 and 0.44%–14.73% for Yongyou-1540, while SPP increased by 5.01%–8.07% and 11.27%–13.26%, respectively. The enhanced seedling vigor and tillering capacity observed under SMC treatment may account for these increases [15]. The availability of nitrogen promotes cell division, thereby supporting higher tiller numbers and panicle density [21]. However, Mi et al. [22] reported no significant effect on SPP at lower SMS application rates combined with NPK, suggesting that the optimal SMS application rate and application period remains to be determined.
The long-term integration of organic and chemical fertilizers has been shown to stabilize crop yields [4]. SMC, rich in organic matter and nutrients [7], has been observed to increase grain yields by 4.70%–18.69% for Jingliangyou-534 and by 10.99%–23.57% for Yongyou-1540. These yield improvements are likely attributable to enhanced NU and biomass accumulation, aligning with previous studies on mushroom compost [9]. Similar finding indicated that SMS, when naturally weathered for 6 to 24 months or recomposted for 12 months, can enhance vegetative yield [23]. However, earlier research has demonstrated that due to the instability and immaturity of SMS, its use as a soil fertilizer is not yet well established [10,14,24]. SMC is considered the most efficient and economically viable method for recycling, as it provides stability and transforms this nutrient rich residue into a valuable product [24,25]. Nonetheless the composting process is complex, requiring specific equipment or facilities, and is influenced by temperature and moisture, resulting in a duration of 25 to 120 days, or longer [16,23,25,26,27]. Our finding suggested that the direct application of SMS without prior fermentation can effectively enhance NU, biomass, and grain yield, highlighting its practical potential as a convenient and time-saving agricultural amendment.
SMS exhibits a higher pH value, increased salt content, and reduced water holding capacity [28]. Its application to agroecosystems is regarded as a sustainable method for utilizing this product. However, potential hazards, such as the presence of pathogenic microorganisms and bacteria, must be considered [14,29]. Additionally, the SMC poses significant environmental risks due to the release of greenhouse gases during natural anaerobic digestion and the leachate drainage, which contaminates and eutrophicates water bodies, thereby depleting dissolved oxygen levels [28]. The instability of SMS renders it unsuitable for storage, reduces the degree of organic matter biodegradation, and lead to the production of pathogens and phytotoxic compounds that could negatively affect plant development [24]. In our study, the direct application of fresh SMS was found to be beneficial for rice growth and yield. However, the potential risks associated with its direct application were not fully assessed. The SMS used in these experiments was the least product following mushrooms harvesting, applied prior to rice transplanting, which minimized nutrient loss. Nonetheless, the potential risks associated with the direct application of SMS warrant further investigation.
This study demonstrated that direct application of fresh SMS without prior fermentation in paddy fields significantly enhanced rice growth and productivity. Specifically, SMS increased aboveground NU, TBP, PP, and SPP, resulting in higher grain yields compared with untreated controls. These findings provide preliminary evidence that fresh SMS (≤18 t ha−1 dry matter) can be applied directly as a practical and effective agricultural amendment to improve rice yield. Further research is needed to elucidate the relative contributions of SMS, soil mineralization, and fertilizer N to the observed increases in NU.
Acknowledgement:
Funding Statement: This study was funded by the Guizhou Provincial Basic Research Program (Natural Science) (Grant No. ZK [2025]022); and the Key Laboratory of High Quality, High Efficiency, and Yield Enhancement in Grain and Oil Crops (Qian-Ke-He-Platform ZSYS [2025] 037).
Author Contributions: The authors confirm contribution to the paper as follows: Conceptualization, Hengdong Zhang; conducting field experiments, Hengdong Zhang, Rongji Wang, Jianchong Zhang, Fali Zhang, and Zhiwang He; sampling and measurements, Rongji Wang, Jianchong Zhang, Fali Zhang, and Zhiwang He; data analysis, Hengdong Zhang; writing—original draft preparation, Hengdong Zhang; supervision, Hengdong Zhang, Fali Zhang; funding acquisition, Hengdong Zhang. All authors reviewed and approved the final version of the manuscript.
Availability of Data and Materials: The data that support the findings of this study are available from the corresponding author upon reasonable request.
Ethics Approval: Not applicable.
Conflicts of Interest: The authors declare no conflicts of interest.
References
1. Chen G , Kang Y , Cao F , Chen J , Huang M . Fallow weed application alters rice yield by changing nitrogen uptake. Ex Agric. 2023; 59: e23. doi:10.1017/s0014479723000200. [Google Scholar] [CrossRef]
2. Liao C , Fang S , Zhang H , Liu L , Xie J , Li X , et al. Grain yield and yield attributes of currently popular hybrid rice varieties compared to representative super hybrid rice varieties in subtropical environments. Agronomy. 2024; 14( 2): 318. doi:10.3390/agronomy14020318. [Google Scholar] [CrossRef]
3. Diedhiou PCC , Sokhna PS , Sambou A , Sissoko S . Influence of organic and mineral fertilizer on soil proprieties and performance of rice (Oryza sativa) in casamance, Senegal. J Agric Chem Environ. 2025; 14( 1): 132– 46. doi:10.4236/jacen.2025.141009. [Google Scholar] [CrossRef]
4. Li Y , He P , Leghari SJ , Li Y , Gao S , Li D . Effects of different ratios of organic and inorganic fertilizer on rice yield and soil physicochemical properties under conventional and controlled irrigation conditions. Irrig Drain. 2024; 73( 1): 102– 18. doi:10.1002/ird.2874. [Google Scholar] [CrossRef]
5. Li CX , Ma SC , Shao Y , Ma ST , Zhang LL . Effects of long-term organic fertilization on soil microbiologic characteristics, yield and sustainable production of winter wheat. J Integr Agric. 2018; 17( 1): 210– 9. doi:10.1016/S2095-3119(17)61740-4. [Google Scholar] [CrossRef]
6. Zheng D , Wang Y , Zhao C , Chen J , Cheng W , Guo P , et al. Preparation of rice seedling-raising substrate with spent mushroom substrate of Pleurotus eryngii. Agric Sci Technol. 2016; 17( 2): 476– 80. doi:10.16175/j.cnki.1009-4229.2016.02.051. [Google Scholar] [CrossRef]
7. Gao X , Huang X , Deng L , Zhang S , Zhou J , Zeng M . Effects of fertilizers and mushroom residues on soil N2O emission under rice-wheat rotation in Chengdu Plain. J Agric Sci. 2013; 5( 9): 102– 13. doi:10.5539/jas.v5n9p102. [Google Scholar] [CrossRef]
8. Phan CW , Sabaratnam V . Potential uses of spent mushroom substrate and its associated lignocellulosic enzymes. Appl Microbiol Biotechnol. 2012; 96( 4): 863– 73. doi:10.1007/s00253-012-4446-9. [Google Scholar] [CrossRef]
9. Dar SR , Thomas T , Khan IM , Dagar JC , Qadar A , Rashid M . Effect of nitrogen fertilizer with mushroom compost of varied C:N ratio on nitrogen use efficiency, carbon sequestration and rice yield. Commun Biometry Crop Sci. 2009; 4( 1): 31– 9. [Google Scholar]
10. Lou Z , Sun Y , Zhou X , Ali Baig S , Hu B , Xu X . Composition variability of spent mushroom substrates during continuous cultivation, composting process and their effects on mineral nitrogen transformation in soil. Geoderma. 2017; 307: 30– 7. doi:10.1016/j.geoderma.2017.07.033. [Google Scholar] [CrossRef]
11. Paredes C , Medina E , Bustamante MA , Moral R . Effects of spent mushroom substrates and inorganic fertilizer on the characteristics of a calcareous clayey-loam soil and lettuce production. Soil Use Manag. 2016; 32( 4): 487– 94. doi:10.1111/sum.12304. [Google Scholar] [CrossRef]
12. Cicatelli A , Baldantoni D , Iovieno P , Carotenuto M , Alfani A , De Feis I , et al. Genetically biodiverse potato cultivars grown on a suitable agricultural soil under compost amendment or mineral fertilization: Yield, quality, genetic and epigenetic variations, soil properties. Sci Total Environ. 2014; 493: 1025– 35. doi:10.1016/j.scitotenv.2014.05.122. [Google Scholar] [CrossRef]
13. Levanon D , Danai O . Chemical, physical and microbiological considerations in recycling spent mushroom substrate. Compost Sci Util. 1995; 3( 1): 72– 9. doi:10.1080/1065657x.1995.10701771. [Google Scholar] [CrossRef]
14. Zeng G , Liu Z , Guo Z , He J , Ye Y , Xu H , et al. Compost with spent mushroom substrate and chicken manure enhances rice seedling quality and reduces soil-borne pathogens. Environ Sci Pollut Res Int. 2023; 30( 31): 77743– 56. doi:10.1007/s11356-023-27681-z. [Google Scholar] [CrossRef]
15. Yu H , Li X , Zhang X , Ge C , Piao R , Li M , et al. Effect of spent mushroom substrate on physical and chemical properties and enzymic activity of rice. Asian Agric Res. 2016; 8( 6): 65– 72. doi:10.22004/AG.ECON.244381. [Google Scholar] [CrossRef]
16. Huang C , Han X , Luo Q , Nie Y , Kang M , Chen Y , et al. Agro-based spent mushroom compost substrates improve soil properties and microbial diversity in greenhouse tomatoes. Agronomy. 2023; 13( 9): 2291. doi:10.3390/agronomy13092291. [Google Scholar] [CrossRef]
17. Xing Y , Wang X , Mustafa A . Exploring the link between soil health and crop productivity. Ecotoxicol Environ Saf. 2025; 289: 117703. doi:10.1016/j.ecoenv.2025.117703. [Google Scholar] [CrossRef]
18. Huang M , Xiao Z , Fang S , Zhang H , Liu L , Cao F , et al. Achieving super high yield in rice by simultaneously increasing panicle number and grain weight via improving pre-heading biomass production. Ex Agric. 2024; 60: e20. doi:10.1017/s0014479724000140. [Google Scholar] [CrossRef]
19. Rashid MM , Begum S , Manir MR , Islam MS , Shalahuddin A , Hera MHR , et al. Response of grain yield and soil health to the individual application of organic fertilizers and chemical fertilizers in the rice-rice cropping systems. Discov Agric. 2025; 3( 1): 49. doi:10.1007/s44279-025-00201-y. [Google Scholar] [CrossRef]
20. Li DQ , Tang QY , Zhang YB , Qin JQ , Li H , Chen LJ , et al. Effect of nitrogen regimes on grain yield, nitrogen utilization, radiation use efficiency, and sheath blight disease intensity in super hybrid rice. J Integr Agric. 2012; 11( 1): 134– 43. doi:10.1016/S1671-2927(12)60791-3. [Google Scholar] [CrossRef]
21. Hasanuzzaman M , Ahamed KU , Rahmatullah NM , Akhter N , Nahar K , Rahman ML . Plant growth characters and productivity of wetland rice (Oryza sativa L.) as affected by application of different manures. Emir J Food Agric. 2010; 22: 46– 58. [Google Scholar]
22. Mi W , Sun Y , Xia S , Zhao H , Mi W , Brookes PC , et al. Effect of inorganic fertilizers with organic amendments on soil chemical properties and rice yield in a low-productivity paddy soil. Geoderma. 2018; 320: 23– 9. doi:10.1016/j.geoderma.2018.01.016. [Google Scholar] [CrossRef]
23. Ahlawat OP , Sagar MP , Raj D , Rani CI , Gupta P , Vijay B . Effect of spent mushroom substrate on yield and quality of capsicum. Indian J Hortic. 2007; 64( 4): 430– 4. doi:10.1007/s10658-007-9176-y. [Google Scholar] [CrossRef]
24. Paula FS , Tatti E , Abram F , Wilson J , O’Flaherty V . Stabilisation of spent mushroom substrate for application as a plant growth-promoting organic amendment. J Environ Manag. 2017; 196: 476– 86. doi:10.1016/j.jenvman.2017.03.038. [Google Scholar] [CrossRef]
25. Yang G , Ma Y , Ma X , Wang X , Lu C , Xu W , et al. Changes in soil organic carbon components and microbial community following spent mushroom substrate application. Front Microbiol. 2024; 15: 1351921. doi:10.3389/fmicb.2024.1351921. [Google Scholar] [CrossRef]
26. Domínguez-Gutiérrez M , Gaitán-Hernández R , Moctezuma-Pérez I , Barois I , Domínguez J . Composting and vermicomposting of spent mushroom substrate to produce organic fertilizer. Emir J Food Agric. 2022; 34( 3): 220– 8. doi:10.9755/ejfa.2022.v34.i3.2828. [Google Scholar] [CrossRef]
27. Li H , Yang Z , Zhang C , Shang W , Zhang T , Chang X , et al. Effect of microbial inoculum on composting efficiency in the composting process of spent mushroom substrate and chicken manure. J Environ Manag. 2024; 353: 120145. doi:10.1016/j.jenvman.2024.120145. [Google Scholar] [CrossRef]
28. Mwangi RW , Mustafa M , Kappel N , Csambalik L , Szabó A . Practical applications of spent mushroom compost in cultivation and disease control of selected vegetables species. J Mater Cycles Waste Manag. 2024; 26( 4): 1918– 33. doi:10.1007/s10163-024-01969-9. [Google Scholar] [CrossRef]
29. Ma Y , Liu L , Zhou X , Tian T , Xu S , Li D , et al. Optimizing straw-rotting cultivation for sustainable edible mushroom production: Composting spent mushroom substrate with straw additions. J Fungi. 2023; 9( 9): 925. doi:10.3390/jof9090925. [Google Scholar] [CrossRef]
Cite This Article
Copyright © 2026 The Author(s). Published by Tech Science Press.This work is licensed under a Creative Commons Attribution 4.0 International License , which permits unrestricted use, distribution, and reproduction in any medium, provided the original work is properly cited.


Submit a Paper
Propose a Special lssue
View Full Text
Download PDF
Downloads
Citation Tools