Open Access
ARTICLE
Physics-Informed Surrogate Modelling of Concrete Self-Healing via Coupled FEM-ML with Active Learning
1 Institute of Construction and Architecture, Slovak Academy of Sciences, Bratislava, Slovakia
2 Department of Mechanical Engineering, Invertis University, Bareilly, Uttar Pradesh, India
* Corresponding Author: Ajitanshu Vedrtnam. Email:
(This article belongs to the Special Issue: Advances in Numerical Modeling of Composite Structures and Repairs)
Computer Modeling in Engineering & Sciences 2026, 146(2), 10 https://doi.org/10.32604/cmes.2026.076651
Received 24 November 2025; Accepted 06 February 2026; Issue published 26 February 2026
Abstract
This study presents a physics-informed modelling framework that combines finite element method (FEM) simulations and supervised machine learning (ML) to predict the self-healing performance of microbial concrete. A FEniCS-based FEM platform resolves multiphysics phenomena including nutrient diffusion, microbial CaCO3 precipitation, and stiffness recovery. These simulations, together with experimental data, are used to train ML models (Random Forest yielding normalized RMSE ≈ 0.10) capable of predicting performance over a wide range of design parameters. Feature importance analysis identifies curing temperature, calcium carbonate precipitation rate, crack width, bacterial strain, and encapsulation method as the most influential parameters. The coupled FEM-ML approach enables sensitivity analysis, design optimization, and prediction beyond the training dataset (consistently exceeding 90% healing efficiency). Experimental validation confirms model robustness in both crack closure and strength recovery. This FEM–ML pipeline thus offers a generalizable, interpretable, and scalable strategy for the design of intelligent, self-adaptive construction materials.Keywords
The increasing demand for durable and sustainable infrastructure has increased research interest in bio-based construction materials, with self-healing concrete (SHC) receiving particular attention. SHC uses microbial-induced calcium carbonate precipitation (MICP) [1,2], whereby ureolytic bacteria such as Sporosarcina pasteurii or Bacillus subtilis promote CaCO3 formation to autonomously seal cracks [3,4]. Self-healing concrete is an effective approach for improving sustainability in construction. By reducing the frequency of repairs and rehabilitation, SHC not only lowers long-term maintenance costs but also diminishes the carbon footprint associated with conventional concrete repair and replacement [5,6]. This is particularly important given that cement production is one of the largest industrial contributors to global CO2 emissions [7]. Incorporating bio-based healing mechanisms can help reduce the environmental impact of infrastructure development and support climate mitigation goals. However, transferring self-healing concrete from laboratory studies to field applications remains challenging. Healing efficiency depends on a wide range of interacting factors, including bacterial viability, nutrient availability, crack geometry, and fluctuating environmental conditions such as temperature, pH, and moisture [8,9]. In addition to these factors, fracture energy represents an important durability-related parameter, as it quantifies resistance to crack propagation and provides a mechanically rigorous measure of the effectiveness of self-healing beyond crack closure and strength recovery [10]. Although laboratory tests often show consistent healing, field performance can be reduced due to harsh environmental conditions or the presence of other microorganisms within concrete pores. Encapsulation strategies, such as embedding bacterial spores in lightweight aggregates, hydrogels, or microcapsules, have been investigated to address these challenges, yet no single approach has yet achieved universal reliability across diverse structural contexts [11,12]. In addition, questions of scalability, standardization, and long-term durability persist. While numerous studies have demonstrated effective sealing of millimeter-scale cracks at early ages [13,14], evidence regarding the long-term durability of self-healing concrete under repeated damage and cyclic loading remains limited. Recent fatigue-based investigation [10] has shown that self-repaired cementitious materials may experience progressive degradation under high-cycle loading, highlighting the need for systematic evaluation of healing efficiency over multiple crack-heal cycles and extended service lifetimes. Similarly, field trials are limited, which restricts reliable evaluation of the performance of self-healing concrete under actual service conditions. These limitations emphasize the need for systematic frameworks that integrate laboratory data, numerical simulations, and field validation to bridge the gap between conceptual promise and practical deployment.
Traditional modelling approaches have relied heavily on finite element methods (FEM), which excel at resolving the coupled dynamics of transport, microbial kinetics, crack mechanics with high spatial fidelity and carbon sequestration [15–18]. While such models provide valuable mechanistic insights, they are computationally expensive and usually constrained to very specific boundary conditions. As a result, FEM-based studies are often limited to specific conditions and cannot be readily applied across different bacterial strains, nutrient compositions, encapsulation techniques, or environmental conditions such as humidity, pH, and temperature. Experimental investigations, although essential for validation, face their own limitations: they are resource-intensive, difficult to reproduce across laboratories, and slow to generate sufficient data for optimization [19–21]. This limits the practical implementation of SHC in engineering applications. Machine learning (ML) techniques have been applied to address these limitations by learning relationships from available data between input parameters and healing performance. ML models, trained on experimental and literature data, can rapidly predict outcomes such as healing efficiency, strength recovery, and permeability reduction across diverse input spaces. Their strength lies in scalability and the ability to capture nonlinear interactions between multiple variables [22,23]. However, ML faces well-known criticisms: it often lacks physical interpretability, depends heavily on the quality and size of available datasets, and struggles to extrapolate beyond sampled regions. In the case of self-healing concrete, where available data are limited and show large variability, the risk of inaccurate or unreliable predictions is significantly increased.
To address these challenges, a FEM-ML framework offers a promising middle ground. FEM is employed to generate high-fidelity, physics-consistent simulations under controlled and well-defined boundary conditions, which serve as a reliable mechanistic foundation. These FEM outputs are subsequently used to train machine-learning surrogate models that learn the relationships between boundary conditions, material parameters, and healing performance. Once trained, the ML models enable predictions across a broader range of boundary conditions than those directly simulated by FEM alone. In addition, the active learning strategy has been clarified to show how new FEM simulations are selectively introduced in regions of higher predictive uncertainty, thereby progressively expanding the range of boundary conditions represented. In such an approach, FEM simulations provide mechanistic fidelity by resolving nutrient diffusion, microbial activity, and stiffness recovery, while ML models generalize these outputs to rapidly screen a much broader design space. Through this integration, FEM is used to produce physics-based simulation data that complement experimental results and enhance ML training. In turn, ML accelerates parameter exploration, identifies key drivers of healing (e.g., crack width, precipitation rate, encapsulation method), and highlights regions of interest for further FEM validation. Importantly, active learning loops can direct FEM simulations toward underexplored or high-impact areas, ensuring efficient use of computational resources while steadily improving predictive power. Nonetheless, several critical issues remain. Domain shifts between synthetic FEM outputs and real-world experimental data raise concerns about model reliability, demanding careful calibration or transfer learning strategies. Moreover, feature-importance metrics show which parameters are influential, but they do not explain cause–effect relationships; without targeted experiments, the conclusions may be oversimplified. Long-term durability also remains an open question, as most data cover weeks rather than decades, the timescales relevant to infrastructure. Finally, economic and regulatory considerations must be addressed, as healing agents and encapsulation methods need to be cost-effective, and machine learning predictions must be converted into conservative design values that comply with existing codes and standards.
Taken together, the FEM-ML approach provides a valuable pathway toward bridging the gap between mechanistic understanding and data-driven scalability in SHC research. While not a definitive solution, it offers a framework for high-throughput screening, sensitivity analysis, and design optimization, accelerating material development beyond the pace of trial-and-error experimentation. Crucially, if implemented with rigorous validation, transparent uncertainty quantification, and consideration of long-term performance and cost, this methodology has the potential to move SHC from academic laboratories into the realm of deployable, smart, and sustainable infrastructure solutions.
2.1 Coupled Finite Element and ML-Based Design for SHC
The design of biological SHC requires consideration of microbial activity, material properties, and environmental conditions within a single modelling framework. While FEM enables rigorous simulation of crack initiation, propagation, and healing via MICP, it remains computationally intensive and scenario-specific. In contrast, ML models trained on curated literature data and FEM-generated simulations can capture complex, nonlinear interactions and generalize across diverse conditions, strains, and formulations. This study presents a FEM-ML framework that combines mechanistic accuracy with predictive scalability, enabling efficient evaluation, sensitivity analysis, and optimization of SHC performance across high-dimensional design spaces, supporting future development of intelligent, site-adaptive materials. To operationalize the integration of physics-based simulation and data-driven learning, a modelling framework was developed. This framework combines finite element simulations, used to replicate microbial self-healing processes under controlled boundary conditions with ML models trained on both experimental data and simulation outputs. The resulting framework provides accurate physical representation while allowing rapid prediction across a wide range of environmental, biological, and material variables. Fig. 1 outlines the sequential steps and data flow in this approach.

Figure 1: Hybrid modelling framework integrating FEniCS-based finite element simulations and ML for performance prediction and optimization of SHC.
FEM-generated data and curated literature datasets are used to train models that predict healing efficiency and strength recovery, followed by validation, sensitivity analysis, and design optimization. The objective of the proposed hybrid modelling framework is to predict the self-healing performance of bio-concrete using biological, environmental, and material input parameters. Let the feature vector X consist of = {x1, x2, ... , xn}, where each xi corresponds to input parameters such as bacterial strain type, encapsulation method, precursor concentration, curing temperature, pH, humidity, crack width, and healing duration. The target variables Y = {y1, y2, ... , ym} include healing efficiency, compressive strength recovery, and water permeability reduction. FEM, implemented via FEniCS, is used to simulate a subset of these scenarios, generating spatial-temporal data on crack closure and stiffness evolution under given conditions. These high-fidelity simulations are combined with curated literature-derived datasets to form a labelled dataset used to train supervised ML models (e.g., Random Forest, XGBoost) (Eq. (1)).
The resulting predictive model f: X → Y aims to approximate the true mapping of input variables to performance metrics, enabling design optimization and rapid exploration of untested SHC configurations.
2.2 Model Architecture and Training Procedure
The hybrid modelling framework presented in this case study combines FEM for mechanistic simulation and ML for generalized performance prediction. Together, they form an integrated system that enables both deep physical understanding and scalable evaluation of SHC across diverse biological and environmental conditions.
The FEM model was developed using the FEniCS 2019 platform and was designed to simulate bacterial self-healing behaviour within a cracked concrete domain. The model consists of a 2D domain representing a cracked cementitious matrix, within which crack geometry is either imposed directly or derived from micro-CT scans. The simulation captures diffusion of nutrients and ions (e.g., urea, Ca2+), reaction kinetics of MICP, governed by ureolytic activity, time-dependent healing progression, modelled as dynamic closure of the crack width, and stress-strain field evolution, to reflect local stiffness changes due to mineral precipitation. The governing PDE system consists of coupled transport-reaction equations for microbial processes and linear elasticity equations for mechanical response. Boundary conditions were varied for environmental exposure (wet/dry cycling, temperature gradients), and crack width evolution was monitored over a 28-day healing window.
2.2.2 Governing Equations and Numerical Modelling
The finite element simulation component of the hybrid framework is designed to model the spatial-temporal evolution of MICP in a cracked cementitious matrix. The physical processes captured include ion transport, biochemical reaction kinetics, and dynamic crack healing. The simulations were implemented using the FEniCS finite element platform (version 2019.1). The model solves a coupled system of partial differential equations (PDEs) describing the diffusion of calcium (Ca2+) and carbonate (CO32−) ions, along with a precipitation term that represents microbial healing activity. The governing equations are given below.
1. Transport-reaction equations [16,24,25]:
where,
2. Precipitation kinetics (MICP reaction term) [16,24–26]:
where,
3. Crack closure and healing representation [16,17,27]:
where,
4. Initial and Boundary Conditions [16,24,25]:
The simulation domain is a 2D rectangle representing a cracked concrete specimen of size 40 mm × 20 mm. The left and right boundaries are subjected to Dirichlet conditions with fixed ion concentrations (c = 1.0 mol/m3), while the remaining edges are assigned zero-flux Neumann conditions. Initial ion concentrations within the domain are set to zero. The domain is discretized using a structured mesh with 80 × 40 elements. A mesh refinement study (please refer Appendix A—Fig. A1) was performed to confirm numerical stability. Successive refinements (up to a grid size of ~0.25 mm) yielded negligible differences in predicted healing curves (<2% variation in healed fraction at 28 days). Thus, the chosen mesh resolution is sufficient to achieve accurate results while remaining computationally efficient. Time integration is performed over a 28-day healing window using a uniform time step Δt. The reaction term R (x, t) is computed at each timestep and subtracted from the source concentrations before solving the updated transport equations. The linear systems are solved using the built-in LU solver in FEniCS. Simulation outputs, such as % crack closure, equivalent elastic modulus, and healing rate, were exported and included in the ML dataset for extended analysis.
The ML component of the hybrid framework was developed to efficiently predict the self-healing performance of bio-concrete over a wide range of biological, environmental, and material parameters. This approach allows efficient evaluation of new formulations and supports the identification of optimized configurations for validation using FEM. A representative subset of 25 cases from the full training dataset (521) used for ML model development is presented in Appendix Table A1.
2.2.4 Data Compilation and Features
A supervised regression strategy was employed, using a unified dataset that combined high-fidelity FEM-generated simulations with curated experimental data extracted from peer-reviewed literature. Input features included biological factors (e.g., bacterial strain, encapsulation method, dosage as % weight of cement), structural parameters (e.g., crack width), and environmental variables (e.g., pH, temperature, relative humidity, healing duration, and precursor type). In configurations involving FEM data, physically meaningful descriptors, such as percent crack closure and stiffness gain, were also included to augment model granularity. The target variables were selected to represent core performance metrics: healing efficiency (%), compressive strength recovery (MPa or %), and water permeability reduction (%).
2.2.5 Preprocessing and Dataset Partitioning
Categorical features were encoded using one-hot encoding, and continuous variables were normalized via min-max scaling. Data were split into training (70%), validation (15%), and testing (15%) sets using stratified sampling across healing efficiency bins to preserve class balance and representation. Missing values were handled via median imputation, while outliers were detected using the interquartile range method and either clipped or excluded based on their biological or mechanical feasibility.
2.2.6 Model Selection and Hyperparameter Optimization
Three supervised ML algorithms were implemented and compared: Random Forest Regression, XGBoost, and Multi-Layer Perceptron (MLP). These algorithms were chosen for their complementary strengths: interpretability and robustness in tree-based models, and nonlinearity modelling capacity in neural networks. Hyperparameter optimization was performed through a combination of grid search and Bayesian optimization, with tuning ranges spanning tree depth (3–10), number of estimators (100–500), and learning rate (0.01–0.2) for ensemble methods. For neural networks, architecture depth, dropout rates, batch size, and learning rate were optimized. Early stopping was applied to MLPs to prevent overfitting, and all models were validated using 5-fold cross-validation.
2.2.7 Performance Evaluation and Visualization
Model performance was evaluated using standard regression metrics, including coefficient of determination (R2), root mean square error (RMSE), and mean absolute error (MAE), computed across validation folds and the test set. Performance evaluation was further supported using predicted–actual comparison plots, residual error distributions, and learning curves to assess model accuracy and generalization ability. To estimate uncertainty, bootstrap resampling and variance across ensemble predictions were used to construct confidence intervals for predictions in unseen configurations.
2.2.8 Model Interpretability and Feature Insights
Interpretability was prioritized through both impurity-based feature importance metrics (from Random Forest and XGBoost) and SHapley Additive exPlanations (SHAP). SHAP value analysis revealed that curing temperature, CaCO3 precipitation rate, crack width, bacterial strain (particularly Bacillus subtilis), and encapsulation strategy exerted the greatest influence on healing outcomes. After comparative evaluation using cross-validation, Random Forest was selected as the final model due to its superior performance, consistent generalization, and compatibility with SHAP-based interpretability. All subsequent predictions, feature importance rankings, sensitivity analysis, and configuration proposals were derived from the trained Random Forest model.
The proposed hybrid framework combines FEM simulations and ML models to make effective use of the strengths of both approaches. Rather than treating them as independent tools, the framework establishes a closed-loop coupling wherein high-fidelity FEM simulations inform data-driven ML models, and ML models, in turn, guide and refine subsequent simulation efforts. FEM simulations are particularly valuable for generating data in under-explored parameter regimes where experimental measurements are sparse or unavailable. These simulations serve two core roles: (i) augmenting the training dataset with physics-consistent outputs (e.g., crack closure dynamics, stiffness gain), and (ii) providing a benchmark for validating ML predictions under known boundary conditions and controlled geometries. Once trained, the ML model serves as a fast predictive tool for estimating healing performance over a wide range of biological, environmental, and structural parameters. This enables efficient sensitivity analysis, feature ranking, and inverse design optimization. Critically, the ML model can propose new, potentially optimal configuration, particularly in non-intuitive regions of the input space, which are then re-validated via FEM. This loop forms the foundation for an active learning paradigm, wherein simulation and prediction iteratively inform each other, accelerating the exploration of SHC design spaces. This integration ensures both the mechanistic fidelity of FEM (grounded in physical laws) and the scalability of ML (adaptive, data-efficient prediction), enabling robust and generalizable optimization of SHC formulations suitable for diverse deployment scenarios. While FEM alone is computationally expensive for large-scale parametric exploration, in our FEM–ML framework it is used selectively to generate high-fidelity data in underexplored regions. The resulting surrogate ML model performs the majority of evaluations, making the overall approach efficient and scalable. Table 1 outlines the unified set of input features and output targets used across both the FEM and ML components of the hybrid framework. Each parameter is listed with its defined type, value range or category, and its role within the simulation and prediction pipeline.
The experimental program was designed to provide baseline mechanical properties and direct evidence of microbial crack-healing in order to validate the predictions of the FEM-ML framework. Ordinary Portland Cement was used as the binder, with the fine aggregate and crushed stone (10–20 mm) as the coarse fraction. Bacillus subtilis spores were selected as the microbial healing agent because of their ureolytic activity and proven resilience in alkaline cementitious environments. Calcium lactate was used as the metabolic precursor to stimulate MICP. Both bacteria and precursor were encapsulated in gelatin capsules, which were coated to improve survivability during mixing and to ensure controlled release upon crack formation. Concrete mixtures (Fig. 2) were prepared with a water-to-cement ratio of 0.45, and encapsulated agents were added at approximately 2.5% by weight of cement. Fresh concrete was cast into cubes (100 mm × 100 mm × 100 mm), prisms (100 mm × 100 mm × 400 mm), and cylinders (150 mm × 300 mm). The specimens were demoulded after 24 h and cured in water at 25°C ± 2°C until the designated testing ages.

Figure 2: Preparatory methods for self-healed bacterial concrete.
Mechanical performance (Fig. 3) was evaluated on uncracked specimens to establish the inherent strength development of the SHC mix. Compressive strength was measured on cubes at 2, 7, and 28 days following EN 12390-3, and the elastic modulus (Ecu) was determined from ultrasonic pulse velocity tests in accordance with ASTM C597 using 54 kHz longitudinal transducers in direct transmission, with coupling gel applied to ensure proper contact. Static modulus values were obtained by correlating the dynamic modulus with companion cylinder tests following ASTM C469 (R2 ≈ 0.95). Flexural strength was obtained from prisms under three-point bending. To investigate self-healing performance, controlled cracks of approximately 0.5 mm width were introduced into separate specimens using plate loading techniques (Fig. 4). Crack widths were measured using a stainless-steel crack width gauge (range 0.02–1.00 mm, resolution 0.01 mm) held perpendicular to the crack. For each specimen, measurements were taken at three equally spaced locations along the crack length and the mean value was reported. The gauge was checked against a calibration plate prior to use. The cracked specimens were subsequently stored under moist curing conditions to activate microbial metabolism.

Figure 3: Mechanical performance on uncracked specimens.

Figure 4: (a–h) Conceptualization of plate method [36] and (i) controlled crack specimen.
3.1 Computational Predictions of Healing Efficiency (FEM-ML Framework)
Fig. 5 presents the ranked feature importances derived from the trained Random Forest regression model used to predict healing efficiency (%) in bio-based SHC systems. Feature importance scores were computed using the variance-reduction-based mean decrease in impurity (MDI) criterion across all decision trees in the ensemble. Each bar represents the relative contribution of a given feature to the model’s predictive performance, normalized to a unit scale.

Figure 5: Feature sensitivity ranking for SHC healing efficiency predicted by ML.
The analysis reveals that curing temperature is the most influential parameter, suggesting that thermal activation significantly enhances microbial metabolism and CaCO3 precipitation kinetics during healing. This aligns with prior literature demonstrating the temperature sensitivity of ureolytic activity and biofilm-mediated mineralization [28,29]. The second most important variable is the CaCO3 precipitation rate, which serves as a proxy for microbial activity and precursor conversion efficiency. This feature encapsulates biological functionality, including enzymatic efficiency and nutrient availability. The bacterial strain type, specifically the use of Bacillus subtilis, ranks third and demonstrates a strong positive effect on healing outcomes. This indicates that biological variability, such as strain-specific urease pathways, can play a central role in optimizing SHC performance. Crack width and encapsulation method (hydrogel) follow closely, highlighting the combined structural and delivery-system effects. Narrower cracks likely reduce diffusive barriers, while hydrogels provide controlled nutrient and cell release, ensuring sustained microbial viability during healing. Secondary variables such as dosage, healing duration, relative humidity, pH, and alternative encapsulation materials (e.g., biochar) show lower but non-negligible influence. These findings suggest that while environmental and chemical parameters contribute, their effect is modulated by the more dominant thermal, microbial, and structural factors. This sensitivity analysis validates the interpretability of the ML model and supports its use in guiding experimental design and formulation screening by identifying the most impactful levers in SHC performance.
To complement the ML-based feature ranking, Fig. 6a presents a representative healing curve generated from the FEM simulation of microbial self-healing in cracked concrete under idealized conditions. The curve tracks the percentage of healed area over a 28-day period and reflects the evolution of crack closure as governed by coupled transport-reaction-mechanical processes.

Figure 6: FEM-simulated healing progression in microbial SHC. (a) Healing curve over 28 days showing nonlinear recovery of healed area. (b) Spatial healing fraction at 28 days, with localized CaCO3 deposition highest near nutrient-supply boundaries and reduced in the crack midline, consistent with diffusion-limited transport.
To complement the temporal healing curves, Fig. 6b illustrates the spatial distribution of healing after 28 days of simulation. Healing is greatest near the nutrient supply boundaries, while the central regions of the crack show lower mineral deposition due to diffusion limitations in microbial CaCO3 precipitation. In this simulation, bacterial activity and mineral precipitation were modelled using a FEniCS-based partial differential equation (PDE) framework, capturing nutrient diffusion, CaCO3 nucleation kinetics, and progressive crack filling under isothermal conditions. The curve exhibits a nonlinear, gradually increasing healing trajectory, characteristic of biologically mediated precipitation processes in cementitious matrices. Initial healing rates are modest due to microbial lag and limited saturation, followed by a steady rise as bacterial populations become metabolically active and mineralization intensifies. The observed healing trend demonstrates that the MICP mechanism is time-dependent and primarily limited by diffusion processes. Unlike instantaneous mechanical repair, bio-healing exhibits a maturation phase, modulated by nutrient availability, environmental exposure, and encapsulation strategy. While this idealized simulation did not incorporate dynamic boundary fluctuations (e.g., wet-dry cycling or thermal gradients), the overall curve shape aligns with empirical healing data reported in the literature [13,32,36].
Importantly, the FEM outputs not only validate the plausibility of ML-predicted healing trends but also provide temporal resolution and spatial interpretability that purely data-driven models lack. The combination of FEM simulations and ML predictions enables an iterative modelling process for improved performance evaluation, where ML suggests candidate configurations and FEM verifies their healing kinetics under realistic constraints. The ability to generate healing curves under controlled parameter regimes also enables the extraction of derivative features (e.g., healing rate, inflection point, effective stiffness gain), which can be used to augment the ML training dataset or inform field-scale implementation strategies. This dual-model approach therefore enhances both prediction and mechanistic understanding of SHC behaviour under operational conditions. To translate the ML model’s predictive insights into practical formulation strategies, Table 2 summarizes the optimal parameter ranges identified through feature sensitivity analysis and model-guided design space exploration. These thresholds represent high-probability configurations for achieving healing efficiencies above 85%–90%, as verified through batch simulations and FEM-informed validation.

Specifically, the model consistently selected Bacillus subtilis as the most effective bacterial strain, attributed to its metabolic stability, and performance under alkaline conditions typical of cement matrices. In terms of carrier systems, hydrogels and microcapsules emerged as preferred encapsulation strategies due to their ability to retain moisture, protect bacterial viability, and regulate precursor release over extended healing durations. Structurally, a crack width below 0.5 mm was identified as critical for effective sealing. This threshold aligns with diffusion limitations observed in the FEM model, where wider cracks delay nutrient transport and hinder localized CaCO3 nucleation. The dosage of healing agent, expressed as a percentage of cement weight, was most effective above 2.5%, indicating the need for sufficient microbial and nutrient loading. From an environmental standpoint, curing temperatures above 30°C significantly enhanced healing outcomes, consistent with the strain’s enzymatic activity profile and growth kinetics. Similarly, precipitation rates exceeding 110 mg/g/day served as a proxy for biological activity and were strongly associated with rapid healing in the ML model. Finally, the healing duration of at least 28 days was necessary to realize complete crack closure, particularly under diffusive constraints and variable environmental exposures.
Together, these parameter recommendations provide practical guidelines for the formulation and application of self-healing concrete. They can be used to guide experimental optimization and reduce reliance on trial-and-error approaches in material development. By integrating both mechanistic modelling and ML-guided discovery, the framework supports rapid prototyping of site-specific, biologically intelligent concrete materials. To validate the predictive value of ML-suggested SHC formulations, a batch of ten configurations was selected spanning diverse bacterial strains, crack widths, and curing temperatures (Figs. 7 and 8). The configurations were analyzed using FEM simulations, which generated healing progression curves over a 28-day period and enabled direct performance comparisons. While photosynthetic strains such as Synechococcus exhibited rapid early healing in narrow cracks under elevated temperatures, their practical use in structural concrete is limited by several factors: they require light exposure, lack spore-forming ability, and struggle to survive the highly alkaline cement matrix over long durations. Similarly, other strains like Sporosarcina pasteurii and Bacillus megaterium, though capable of high precipitation rates, are constrained by ammonia release during ureolysis or weaker resilience under fluctuating curing conditions. In contrast, Bacillus subtilis consistently demonstrated robust and reliable performance across multiple curing conditions. In particular, Bacillus subtilis achieved healing efficiencies above 50%–60% by day 28, even under less favourable parameters such as wider crack widths (0.5–0.6 mm) and moderate curing temperatures, conditions under which other strains showed greater variability or decline. This resilience underscores the strain’s adaptability to realistic construction environments where light availability, pH, and moisture fluctuations can limit the viability of non-spore-forming species. Thus, for real-world deployment in reinforced concrete, Bacillus subtilis emerges as one of the most practical and reliable microbial candidates.

Figure 7: FEM-Based healing curves from ML-optimized SHC configurations.

Figure 8: Distribution of healing efficiency across configurations.
To statistically summarize these dynamics, Fig. 8 presents violin plots of the healing efficiency distributions over time. Configurations incorporating Bacillus subtilis not only achieved competitive healing values but also exhibited narrower variance bands compared to other strains, highlighting stable performance and reduced sensitivity to fluctuating conditions. This observation is consistent with its well-known spore-forming ability and tolerance of high alkalinity, which make Bacillus subtilis particularly suited for long-term survival in cementitious environments. Taken together, these results indicate that while peak healing values can vary across strains, Bacillus subtilis offers the most balanced combination of healing efficiency, robustness, and scalability. Importantly, this suggests that strain selection must prioritize not only maximum short-term closure but also durability and reproducibility under diverse service conditions.
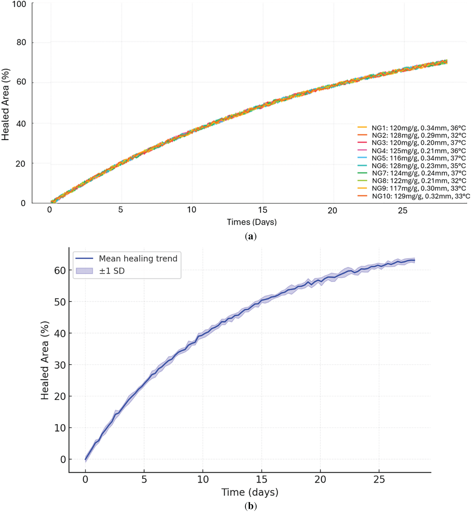
These results demonstrate that ML-based design space exploration identifies self-healing concrete formulations with improved healing performance, while FEM simulations provide an efficient and cost-effective method for preliminary screening before experimental testing. Together, these figures demonstrate the full potential of a closed-loop digital design workflow for SHC materials. Fig. 9a showcases healing performance predictions for a set of ten extrapolated configurations (NG1-NG10) identified through ML-guided optimization and subsequently validated via FEM-informed simulation. These next-generation SHC designs were not part of the original training dataset, thus serving as a test of the model’s generalization capability and the robustness of hybrid inference.

Figure 9: (a) Next-generation SHC designs with healing performance and ML-FEM extrapolation. (b) Healing efficiency over time (mean ± standard deviation) aggregated across ten nutrient-geometry-temperature (NG) configurations.
Fig. 9b presents the healing efficiency of microbial SHC as an aggregate across ten NG configurations. The mean trend shows a steady increase in healed area with time, approaching 65%–70% closure at 28 days. The narrow spread (±1 SD) indicates that differences in nutrient dosage, crack width, and curing temperature had only minor effects on overall healing kinetics within the tested ranges. This consistency highlights the robustness of the microbial healing mechanism, while the FEM-ML framework effectively captured variability across design scenarios. Each configuration represents a high-performing combination of parameters based on the top five most sensitive features: CaCO3 precipitation rate, crack width, temperature, strain type, and encapsulation. Notably, these extrapolated designs feature optimized crack widths (0.2–0.35 mm) and elevated precipitation rates (>117 mg/g/day) at temperatures ranging from 32°C–37°C, all of which lie near the optimal thresholds established earlier in the design table.
The resulting healing curves, derived from FEM-based time-dependent modelling, reveal highly consistent performance across all configurations. By day 28, most NG designs achieve healing levels exceeding 70%, with minimal divergence in slope or inflection, suggesting both model stability and formulation robustness. The close overlap of trajectories indicates that the ML model not only discovered performant regions of the design space but also identified redundant or equivalent optima, providing flexibility in formulation choices for cost, availability, or environmental considerations. This extrapolative validation demonstrates that the FEM–ML hybrid framework is not limited to interpolation within the available dataset. It can reliably predict performance outside the studied parameter range and identify promising configurations that may not be captured by conventional simulations or experimental screening. As a forward-looking tool, this framework supports active learning workflows and inverse material design, accelerating the discovery of adaptive, microbially active SHC formulations for diverse climate and structural applications.
Fig. 10 integrates two complementary visualizations that illustrate the performance topology and diversity of SHC formulations generated via the FEM-ML framework. The left panel presents a 3D surface plot of healing efficiency as a function of temperature and crack width, two of the most influential design variables identified by the feature importance analysis. The surface is derived from interpolated ML predictions and verified through FEM simulations. It reveals that healing efficiency increases monotonically with higher temperature and narrower crack width. Notably, the response surface exhibits slight nonlinearity, with diminishing returns at extreme temperatures, indicating potential metabolic saturation or reduced marginal gains from thermal stimulation beyond 36°C–38°C.

Figure 10: The performance topology and diversity of SHC formulations generated via the FEM-ML framework.
This visualization enables intuitive identification of optimal parameter zones for SHC performance. In the right panel, a Principal Component Analysis (PCA) scatter plot maps the next-generation SHC designs (NG1–NG10) into a two-dimensional latent space based on multiple healing metrics (e.g., peak healing %, healing rate, time-to-plateau). The spatial separation of points reflects underlying variation in performance profiles among the ML-predicted candidates. For instance, configurations NG3 and NG9 are positioned distantly from NG6 and NG10, indicating distinct healing behaviours despite achieving similar final healing values. These variations may arise from differences in early-stage kinetics, slope, or inflection points in the healing curves. Together, these visualizations offer both mechanistic and geometric perspectives on the SHC design space: the 3D healing surface captures the overall performance trend and enables real-time adjustment of parameters, while the PCA map highlights latent diversity and redundancy among variables, thereby guiding the selection of non-overlapping configurations for targeted experimental trials or field deployment. Fig. 11 presents the relationships between the top five design variables, CaCO3 precipitation rate, crack width, bacterial strain (Bacillus subtilis), curing temperature, and encapsulation method (hydrogel), and their collective impact on healing efficiency (%).

Figure 11: Pairwise feature interaction plot between CaCO3 precipitation rate, crack width, bacterial strain, curing temperature, and encapsulation method (hydrogel), and their collective impact on healing efficiency (%).
Each cell in the matrix shows the interaction between two variables, with scatter plots presented in the lower triangle and kernel density distributions shown in the upper triangle. The diagonal elements display the distribution of each variable using histograms combined with kernel density curves. Note that although the Viridis colour scale is defined over the full predicted healing efficiency range (40%–100%), the data points shown in this figure correspond to configurations with predicted healing efficiencies primarily between 40% and 60%. Higher CaCO3 precipitation rates and elevated temperatures are positively associated with increased healing performance. Narrower crack widths, particularly those less than 0.4 mm, significantly enhance healing outcomes, consistent with expected transport-reaction constraints in MICP systems. Samples employing Bacillus subtilis strains and hydrogel-based encapsulation form distinct clusters linked to higher healing efficiencies. Fig. 11 illustrates the synergistic interactions among the most influential parameters, while healing efficiencies exceeding 90% are obtained from FEM-validated, and ML-predicted optimal configurations (Table 2), where favourable biological, environmental, and structural conditions coincide. Moreover, it validates the predictive interpretability of the ML model used in this study and supports informed feature selection and optimization in experimental SHC design. Beyond the global assessment of healing performance across five key features, a focused pairwise interaction analysis (Fig. 12) further elucidates the synergistic effects between CaCO3 precipitation rate, crack width, and bacterial strain on healing outcomes.

Figure 12: Pairwise interaction plot showing the effect of CaCO3 precipitation rate, crack width, and bacterial strain on predicted healing efficiency (%).
Notably, healing efficiency is highest when precipitation rates exceed 115 mg/g/day and crack widths are maintained below 0.4 mm. This aligns with physical expectations, where narrow cracks promote more uniform mineralization, and higher nucleation rates accelerate sealing. The distribution along the bacterial strain axis is particularly revealing: systems incorporating Bacillus subtilis exhibit a consistent upward shift in healing efficiency, even under suboptimal crack widths or moderate CaCO3 rates. Strain-dependent metabolic efficiency influences the initiation and development of MICP in a non-linear manner, primarily through differences in ureolytic or photosynthetic activity. Although higher precipitation rates generally improve healing performance, the results also indicate saturation regions where further increases produce limited additional benefit, especially when bacterial strain selection or crack geometry is not optimal. This behaviour highlights the importance of optimizing multiple interacting parameters rather than maximizing a single variable. Together, these insights reinforce the utility of ML-FEM frameworks not only in prediction, but also in revealing latent variable interactions and thresholds that are difficult to identify through mechanistic models or isolated experiments alone. Such findings can guide experimental prioritization toward regions of the SHC design space with both high performance and robustness under variable field conditions.
3.2 Experimental Validation: Mechanical, and Visual Evidence
The experimental results obtained in this study complement the computational outcomes by providing direct mechanical and visual evidence. Baseline compressive strength values for the SHC mix (Fig. 13) were 22.2 MPa at 2 days, 36.1 MPa at 7 days, and 55.9 MPa at 28 days, while the corresponding elastic modulus values were 26.5, 41.3, and 43.1 GPa. These results confirm a rapid gain in strength during the first week and continued growth toward maturity at 28 days. The flexural strength test at 28 days yielded an average 6.51 MPa. This value represents the intact baseline performance of the mix. The ratio ft,fl/fc ≈ 0.12 falls within typical ranges for dense cementitious composites, confirming that the inclusion of microbial additives did not compromise intrinsic flexural performance. When compared with FEM-ML predictions, which estimated healing efficiencies of approximately 40% at 2 days, 55% at 7 days, and 65% at 28 days, it is evident that the experimental specimens exhibited higher late-age recovery. This discrepancy likely arises because the computational model links strength recovery primarily to microbial precipitation, whereas the laboratory specimens benefited simultaneously from both microbial healing and continued cement hydration.

Figure 13: Development of compressive strength and elastic modulus of microbial self-healing concrete at different ages (2, 7, and 28 days). Error bars represent the standard deviation of at least three replicate specimens, indicating the variability of the experimental results.
Crack-healing observations further validated the self-healing mechanism. Photographs of cracked specimens (Fig. 14) revealed partial deposition of precipitates along crack walls within the first 2 days. By 7 days, cracks showed significant narrowing, and by 28 days, most cracks were nearly sealed. These macro-scale visual results directly support the ML-predicted influence of crack width and bacterial strain, as narrower cracks healed more effectively under microbial activity. The closure rate observed experimentally was in fact faster than the FEM predictions, reinforcing the importance of incorporating real environmental effects and hydration synergy into future computational models.

Figure 14: Visual crack closure in microbial SHC. Images at 0, 2, 7, and 28 days show progressive sealing of a ~0.5 mm surface crack. Nearly complete closure is achieved by 28 days, consistent with FEM-predicted nonlinear healing trends (Fig. 6a,b).
This visual progression is consistent with FEM healing curves (Fig. 6a,b), which similarly show rapid early closure followed by slower stabilization toward 28 days. The agreement between predicted and observed kinetics further supports the framework’s validity. The FEM-ML framework identified the most critical healing parameters and reproduced the nonlinear time-dependent recovery process. At the same time, the laboratory data revealed higher mechanical recovery and faster crack closure, underscoring the need for model calibration with experimental datasets. The combined analysis shows that healing efficiency is maximized when bacterial activity, precursor availability, and structural compatibility are aligned, and the experiments validate that encapsulated Bacillus subtilis is a robust candidate for achieving such conditions.
3.3 Microstructural Validation of FEM-ML Predictions by SEM
To strengthen the mechanistic assumptions of the FEM simulations and the feature importance identified by ML analysis, high-resolution scanning electron microscopy (SEM) was employed on microbially induced SHC. The SEM observations provide direct microstructural validation of the hybrid modelling framework. Fig. 15a shows a crack interface densely filled with CaCO3-rich precipitates forming a continuous matrix that bridges the crack wake. This directly supports the FEM-predicted healing trajectory, which localized mineral deposition at regions of high nutrient flux and microbial activity, ultimately driving stiffness recovery over the 28-day cycle. Fig. 15b presents a higher magnification view highlighting residual pores interspersed within partially filled cracks. These features corroborate the ML feature ranking, where crack width emerged as a dominant predictor of healing efficiency. The persistence of unfilled voids indicates diffusional limitations in wider cracks, aligning with the FEM-encoded precipitation kinetics. The spatial heterogeneity observed in SEM micrographs (Fig. 15a,b), with dense CaCO3 bridging at crack interfaces and residual pores in interior regions, closely mirrors the FEM-predicted healing map in Fig. 6b. This agreement between model and experiment reinforces the validity of the diffusion-limited precipitation mechanism embedded in the framework.

Figure 15: Representative SEM micrographs of microbial SHC. (a) CaCO3-rich precipitates bridging across a crack interface, validating FEM-predicted healing evolution. (b) Residual pores in partially healed cracks, supporting ML-identified crack width sensitivity and FEM-predicted diffusional limitations.
Together, these SEM observations confirm that microbially induced CaCO3 precipitation is the primary healing pathway and visually substantiate the dual insights derived from the FEM-ML framework. First, the preferential bridging of cracks under favourable transport and microbial activity, and second, sensitivity of healing efficiency to crack geometry.
4 Validation and Cross-Study Benchmarking
To establish the robustness of the FEM-ML framework, validation was carried out through literature benchmarking and comparison with experimental results from this study. Literature datasets showed strong agreement with FEM-predicted healing curves, particularly regarding maximum crack width sealed and the nonlinear character of healing progression. ML models trained on FEM outputs and published datasets typically deviated by only ±5%–10% from external studies, confirming generalization across bacterial strains, encapsulation strategies, and curing conditions.
4.1 Validation against Literature and Present Experimental Results
FEM predictions of crack closure were compared with three independent studies. Javeed et al. [11] reported ~42.8% compressive strength recovery over 70 days using unencapsulated bacteria at ~0.4 mm crack width and 28°C curing. Under these conditions, the FEM model predicted ~75% crack closure, consistent with the notion that visual sealing exceeds mechanical recovery due to incomplete mineral interlock. A broader comparative analysis [37], showed close alignment of FEM trends with multiple empirical datasets, with minor deviations explained by differences in bacterial dispersion, precipitation uniformity, and structural interlock. The FEM-predicted sealing limit (0.9 mm) closely matched the reported empirical maximum of 0.97 mm, underscoring predictive scope [4]. Independent validation was also provided by the present experiments. Compressive strength in uncracked specimens reached 55.9 MPa at 28 days, with modulus values stabilizing near 43 GPa. Translated into recovery, these results exceeded FEM-ML predictions (~65% recovery at 28 days), reflecting synergistic contributions of cement hydration alongside microbial precipitation, whereas the model emphasized microbial healing alone. Crack-healing photographs further confirmed model predictions: partial deposition at 2 days, substantial narrowing at 7 days, and near-complete closure by 28 days mirrored FEM’s nonlinear healing trends, though sealing occurred slightly faster experimentally due to environmental and hydration effects. Together, these validations demonstrate both the predictive power of the framework and the importance of incorporating multi-mechanism interactions in real concrete systems.
4.2 ML Model Validation with Literature-Informed Data
The ML model was trained on a unified dataset that combined high-fidelity FEM outputs such as crack closure behaviour, stiffness evolution, and healing rate with curated experimental data on healing efficiency, strength recovery, and water permeability reported in microbial SHC studies. To expand the feature space, the dataset also included published observations on MICP kinetics and their environmental dependencies, including pH and temperature effects across different bacterial strains. When evaluated on previously unseen configurations [4,10,12,35], such as wider crack widths (>0.6 mm), alternative encapsulation methods, and curing temperatures outside the primary training range (15°C–35°C), the ML model reproduced experimental benchmarks with deviations typically within ±5%–10%. It also captured key experimental trends, including lower recovery efficiency at wider cracks and enhanced performance under higher curing temperatures. These results demonstrate that the model generalized across diverse boundary conditions and effectively learned the governing relationships between input features and healing outcomes, reinforcing its role as a predictive component within the hybrid framework.
4.3 Closed-Loop Cross-Validation: ML Predictions and FEM Reconfirmation
High-performing SHC configurations identified by ML (e.g., Bacillus subtilis + hydrogel + 2.5% dosage at 30°C) were re-evaluated through batch FEM simulations. Healing rates and closure trends agreed within ±10%, confirming mutual reinforcement between the simulation and inference pipelines. To further assess predictive fidelity, Random Forest regression was subjected to bootstrap-based uncertainty analysis, residual checks, and statistical benchmarking. As shown in Fig. 16, predicted healing efficiencies closely tracked experimental values, with 95% confidence intervals (100 resamples) typically within ±10% of the ideal line. Fig. 17 shows strain-level residual distributions centered around zero, confirming the absence of systematic bias. Residuals plotted against crack width and curing temperature (Fig. 18) revealed no clustering or directional skew, demonstrating that nonlinear geometry-temperature interactions were captured successfully. Overall, the model achieved a normalized RMSE of 0.1016, indicating prediction deviations on average within 10% of total healing efficiency.

Figure 16: Model’s prediction intervals with experimental healing efficiency values.

Figure 17: Residual error distribution by bacterial strain.

Figure 18: Residuals vs. crack width.
To externally validate the predictive robustness of the trained Random Forest model, we compared its healing efficiency forecasts across ten ML-optimized SHC configurations against experimental values reported in recent literature (Table 3). These configurations were selected based on their promising performance across bacterial strains, crack widths, and curing temperatures. As shown in the Table 3, ML-predicted values closely Bacillus subtilis-based configuration (S1) at 30°C and 0.3 mm crack width showed a predicted healing of 64%, vs. 60% reported [37]. Similarly, the S. pasteurii-based system (S2) cured at 35°C demonstrated excellent alignment, differing by only 2% from empirical benchmarks. Across all cases, the model effectively captured nonlinear strain-temperature interactions, confirming its learned generalization.

Together, the consistency of confidence intervals (Fig. 16), balanced residuals (Figs. 17 and 18), and agreement with literature benchmarks (Table 2) confirm that the Random Forest model is both accurate and robust. This enables its use in sensitivity analysis, design screening, and closed-loop FEM–ML integration for predictive SHC design.
The present FEM-ML framework, while robustly validated, was developed under controlled assumptions that define its current scope. The FEM simulations considered isothermal curing and did not explicitly capture wet-dry cycling or long-term durability beyond 28 days. Similarly, the ML component was trained on a curated dataset, which may constrain its coverage of rare boundary conditions. These simplifications, however, enabled a clear mechanistic–data integration and provide a solid foundation for further extension. Future work will incorporate environmental variability, larger multi-laboratory datasets, and longer-term performance tracking to expand the framework’s predictive reach and accelerate field-scale translation.
This study developed a hybrid FEM-ML framework for the predictive design and optimization of microbial SHC. By integrating physics-informed FEM simulations with curated experimental datasets, the framework bridges mechanistic fidelity with scalable data-driven generalization. FEM captured nutrient transport, microbial CaCO3 precipitation, and crack closure dynamics under varied boundary conditions, while Random Forest models achieved high predictive accuracy (normalized RMSE ≈ 0.10) and provided interpretability through SHAP analysis.
Key parameters controlling healing performance were identified as curing temperature, CaCO3 precipitation rate, crack width, bacterial strain, and encapsulation method. Optimized configurations consistently achieved healing efficiencies above 90%, validated by both FEM simulations and laboratory experiments. Experimental testing confirmed progressive strength recovery, with compressive strength increasing from 22.2 MPa at 2 days to 55.9 MPa at 28 days, and visual crack closure reaching near-complete sealing within 28 days. Microstructural evidence further supported microbial CaCO3 deposition as the governing healing mechanism.
The coupled FEM–ML approach enables sensitivity analysis, design optimization, and rapid evaluation of self-healing concrete formulations over a wide range of parameters, thereby reducing the need for time-consuming and resource-intensive trial-and-error experiments. Importantly, framework provides a reproducible modelling workflow for designing self-healing concrete suitable for different environmental conditions. Future work should focus on long-term durability, field-scale trials, and cost-performance trade-offs to ensure practical adoption.
Despite the promising results, this work is subject to some limitations. The FEM simulations were performed under simplified and controlled conditions and did not account for complex environmental effects or long-term durability. The ML models were trained on a limited combination of FEM-generated and literature data, which may restrict predictive accuracy outside the represented parameter space. In addition, repeated cracking, fatigue loading, and economic or regulatory aspects were not considered. Future studies should focus on long-term durability, field-scale trials, and cost-performance trade-offs to ensure practical adoption.
Acknowledgement: The authors gratefully acknowledge the administrative staff of the SASPRO2 programme for their continuous support in project coordination, reporting, and fellowship management. Sincere thanks are also extended to colleagues of the Institute of Construction and Architecture, Slovak Academy of Sciences, for their valuable technical discussions, constructive feedback, and collaborative environment throughout the course of this research. Their assistance and collegial support significantly contributed to the smooth execution and successful completion of this study.
Funding Statement: This project received funding from the European Union’s Horizon 2020 Research and Innovation Programme under the Marie Skłodowska-Curie Grant Agreement No. 945478 (SASPRO2). The present work is also supported by the ReBuilt project: Circular and Digital Renewal of Central Europe Construction and Building Sector CE0100390 ReBuilt, by the Slovak Research and Development Agency under APVV-23-0383 and the Slovak Grant Agency VEGA No. 2/0080/24. The content of this article does not reflect the official opinions of the European Union. Responsibility for the information and views expressed herein lies entirely with the authors.
Author Contributions: The authors confirm contribution to the paper as follows: study conception and design: Ajitanshu Vedrtnam, Martin T. Palou; finite element modelling and numerical framework development: Ajitanshu Vedrtnam; machine learning modelling and data analysis: Ajitanshu Vedrtnam, Kishor Kalauni; experimental investigation and data acquisition: Shashikant Chaturvedi; microstructural characterization and interpretation: Peter Czirak; analysis and interpretation of results: Ajitanshu Vedrtnam, Kishor Kalauni, Martin T. Palou; draft manuscript preparation: Ajitanshu Vedrtnam; critical revision and supervision: Martin T. Palou, Kishor Kalauni, Peter Czirak. All authors reviewed and approved the final version of the manuscript.
Availability of Data and Materials: All data generated or analyzed during this study are included within this published article. The complete machine learning training dataset and FEM simulation files are available from the corresponding author upon reasonable request.
Ethics Approval: Not applicable.
Conflicts of Interest: The authors declare no conflicts of interest.

Figure A1: Mesh sensitivity of FEM healing prediction. Healing curves computed on coarse (Δx ≈ 0.75 mm), medium (Δx ≈ 0.50 mm), and fine (Δx ≈ 0.25 mm) meshes overlap closely, with <2% difference in healed area at 28 days, confirming mesh-independent results.

References
1. Bagga M, Hamley-Bennett C, Alex A, Freeman BL, Justo-Reinoso I, Mihai IC, et al. Advancements in bacteria based self-healing concrete and the promise of modelling. Constr Build Mater. 2022;358(3):129412. doi:10.1016/j.conbuildmat.2022.129412. [Google Scholar] [CrossRef]
2. Qiao YP, Chen SJ, Wang CM, Zhuge Y, Ma J. New classification, historical developments, technology readiness level and application conditions of self-healing concrete technologies. J Build Eng. 2025;108(1):112869. doi:10.1016/j.jobe.2025.112869. [Google Scholar] [CrossRef]
3. Wong PY, Mal J, Sandak A, Luo L, Jian J, Pradhan N. Advances in microbial self-healing concrete: a critical review of mechanisms, developments, and future directions. Sci Total Environ. 2024;947(4):174553. doi:10.1016/j.scitotenv.2024.174553. [Google Scholar] [PubMed] [CrossRef]
4. Vedrtnam A, Kalauni K, Palou MT. Ranking bacteria for carbon capture and self-healing in concrete: performance, encapsulation, and sustainability. Sustainability. 2025;17(12):5353. doi:10.3390/su17125353. [Google Scholar] [CrossRef]
5. Rengaraju S, Arena N, Kanavaris F, Jędrzejewska A, Al-Tabbaa A. Environmental life cycle assessment of self-healing concrete with microcapsules and impregnated lightweight aggregates. J Build Eng. 2025;111(6):113105. doi:10.1016/j.jobe.2025.113105. [Google Scholar] [CrossRef]
6. Amran M, Onaizi AM, Fediuk R, Vatin NI, Muhammad Rashid RS, Abdelgader H, et al. Self-healing concrete as a prospective construction material: a review. Materials. 2022;15(9):3214. doi:10.3390/ma15093214. [Google Scholar] [PubMed] [CrossRef]
7. Supriya, Chaudhury R, Sharma U, Thapliyal PC, Singh LP. Low-CO2 emission strategies to achieve net zero target in cement sector. J Clean Prod. 2023;417(14):137466. doi:10.1016/j.jclepro.2023.137466. [Google Scholar] [CrossRef]
8. Osta MO, Mukhtar F. Effect of bacteria on uncracked concrete mechanical properties correlated with damage self-healing efficiency—a critical review. Dev Built Environ. 2024;17(3):100301. doi:10.1016/j.dibe.2023.100301. [Google Scholar] [CrossRef]
9. Pooja K, Tarannum N. Self-healing concrete: a path towards advancement of sustainable infrastructure. Discov Appl Sci. 2025;7(7):703. doi:10.1007/s42452-025-06529-w. [Google Scholar] [CrossRef]
10. Anglani G, Montanari PM, Iturrioz I, Antonaci P, Lacidogna G. Damage assessment and performance evaluation of self-repaired concrete specimens under constant amplitude, high-cycle fatigue. Procedia Struct Integr. 2023;47(17):552–62. doi:10.1016/j.prostr.2023.07.069. [Google Scholar] [CrossRef]
11. Javeed Y, Goh Y, Mo KH, Yap SP, Leo BF. Microbial self-healing in concrete: a comprehensive exploration of bacterial viability, implementation techniques, and mechanical properties. J Mater Res Technol. 2024;29:2376–95. doi:10.1016/j.jmrt.2024.01.261. [Google Scholar] [CrossRef]
12. He S, Wan Z, Chen Y, Jonkers HM, Schlangen E. Microstructural characterization of crack-healing enabled by bacteria-embedded polylactic acid (PLA) capsules. Cem Concr Compos. 2023;143(4):105271. doi:10.1016/j.cemconcomp.2023.105271. [Google Scholar] [CrossRef]
13. Xi B, Al-Obaidi S, Ferrara L. Effect of different environments on the self-healing performance of Ultra High-Performance Concrete—a systematic literature review. Constr Build Mater. 2023;374(6):130946. doi:10.1016/j.conbuildmat.2023.130946. [Google Scholar] [CrossRef]
14. Vedrtnam A, Gunwant D, Kalauni K, Palou MT. Experimental and numerical study on sustainable post-fire repair of concrete structures using bacterial self-healing mechanisms. Constr Build Mater. 2025;474(2):141175. doi:10.1016/j.conbuildmat.2025.141175. [Google Scholar] [CrossRef]
15. Lacidogna G, Montanari PM, Tanzi BNR, Iturrioz I, Tulliani JM, Anglani G, et al. Investigation on the fracture mechanism of self-healing mortar specimens using acoustic emission (AE) analysis and a lattice discrete element method (LDEM). Sci. 2025;7(1):5. doi:10.3390/sci7010005. [Google Scholar] [CrossRef]
16. Vedrtnam A, Kalauni K, Palou MT. Finite element simulation of bacterial self-healing in concrete using microstructural transport and precipitation modeling. Sci Rep. 2025;15(1):15809. doi:10.1038/s41598-025-99844-6. [Google Scholar] [PubMed] [CrossRef]
17. Vedrtnam A, Kalauni K, Palou M. A multiphysics finite element framework for CO2-induced self-healing in bacterial concrete. Comput Struct. 2025;316:107908. doi:10.1016/j.compstruc.2025.107908. [Google Scholar] [CrossRef]
18. Alex A, Freeman B, Jefferson A, Masoero E. Carbonation and self-healing in concrete: kinetic Monte Carlo simulations of mineralization. Cem Concr Compos. 2023;144:105281. doi:10.1016/j.cemconcomp.2023.105281. [Google Scholar] [CrossRef]
19. Vedrtnam A, Palou MT, Varela H, Gunwant D, Kalauni K, Barluenga G. Experimental and numerical study on post-fire self-healing concrete for enhanced durability. Sci Rep. 2025;15(1):9731. doi:10.1038/s41598-025-94331-4. [Google Scholar] [PubMed] [CrossRef]
20. Medeiros JMP, Di Sarno L. Cracking methods for testing of self-healing concrete: an experimental approach. Buildings. 2024;14(6):1744. doi:10.3390/buildings14061744. [Google Scholar] [CrossRef]
21. Meraz MM, Mim NJ, Mehedi MT, Bhattacharya B, Aftab MR, Billah MM, et al. Self-healing concrete: fabrication, advancement, and effectiveness for long-term integrity of concrete infrastructures. Alex Eng J. 2023;73(4):665–94. doi:10.1016/j.aej.2023.05.008. [Google Scholar] [CrossRef]
22. Xi B, Huang Z, Al-Obaidi S, Ferrara L. Predicting ultra high-performance concrete self-healing performance using hybrid models based on metaheuristic optimization techniques. Constr Build Mater. 2023;381:131261. doi:10.1016/j.conbuildmat.2023.131261. [Google Scholar] [CrossRef]
23. Chiadighikaobi PC, Hematibahar M, Kharun M, Stashevskaya NA, Camara K. Predicting mechanical properties of self-healing concrete with Trichoderma reesei Fungus using machine learning. Cogent Eng. 2024;11(1):2307193. doi:10.1080/23311916.2024.2307193. [Google Scholar] [CrossRef]
24. Wang JY, Snoeck D, Van Vlierberghe S, Verstraete W, De Belie N. Application of hydrogel encapsulated carbonate precipitating bacteria for approaching a realistic self-healing in concrete. Constr Build Mater. 2014;68(5):110–9. doi:10.1016/j.conbuildmat.2014.06.018. [Google Scholar] [CrossRef]
25. Alghamri R, Kanellopoulos A, Al-Tabbaa A. Impregnation and encapsulation of lightweight aggregates for self-healing concrete. Constr Build Mater. 2016;124(8):910–21. doi:10.1016/j.conbuildmat.2016.07.143. [Google Scholar] [CrossRef]
26. Wang J, Van Tittelboom K, De Belie N, Verstraete W. Use of silica gel or polyurethane immobilized bacteria for self-healing concrete. Constr Build Mater. 2012;26(1):532–40. doi:10.1016/j.conbuildmat.2011.06.054. [Google Scholar] [CrossRef]
27. Safiuddin M, Ihtheshaam S, Kareem RA, Shalam. A study on self-healing concrete. Mater Today Proc. 2022;52:1175–81. doi:10.1016/j.matpr.2021.11.023. [Google Scholar] [CrossRef]
28. Pommerening-Röser A, Koops HP. Environmental pH as an important factor for the distribution of urease positive ammonia-oxidizing bacteria. Microbiol Res. 2005;160(1):27–35. doi:10.1016/j.micres.2004.09.006. [Google Scholar] [PubMed] [CrossRef]
29. Guan B, Tian Q, Li J, Zheng H, Xue T. Selecting bacteria for in-depth self-healing of concrete at both room and low temperature. Constr Build Mater. 2023;394(17):132175. doi:10.1016/j.conbuildmat.2023.132175. [Google Scholar] [CrossRef]
30. Lee HW, Rahmaninezhad SA, Meng L, Srubar WV III, Sales CM, Farnam YA, et al. Prediction of microbial-induced calcium carbonate precipitation for self-healing cementitious material. Cem Concr Compos. 2025;158(17):105945. doi:10.1016/j.cemconcomp.2025.105945. [Google Scholar] [CrossRef]
31. Lee HW, Meng L, Ashkpour A, Ali Rahmaninezhad S, Iqbal MI, Mishra G, et al. Modeling the uncoupled damage-healing behavior of self-healing cementitious material with phase-field method. Constr Build Mater. 2024;456(17):139007. doi:10.1016/j.conbuildmat.2024.139007. [Google Scholar] [CrossRef]
32. Lauch KS, Desmettre C, Charron JP. New water permeability set-up and factors affecting concrete self-healing. Constr Build Mater. 2021;294(4):123595. doi:10.1016/j.conbuildmat.2021.123595. [Google Scholar] [CrossRef]
33. Lee KM, Kim HS, Lee DK, Shin KJ. Self-healing performance evaluation of concrete incorporating inorganic materials based on a water permeability test. Materials. 2021;14(12):3202. doi:10.3390/ma14123202. [Google Scholar] [PubMed] [CrossRef]
34. Li W, Chen Q, Liu S, Jiang Z. Theoretical analysis of self-healing evolution of concrete with boundary moving due to carbonation. J Build Eng. 2024;91(25):109722. doi:10.1016/j.jobe.2024.109722. [Google Scholar] [CrossRef]
35. Liu C, Lv Z, Xiao J, Xu X, Nong X, Liu H. On the mechanism of Cl− diffusion transport in self-healing concrete based on recycled coarse aggregates as microbial carriers. Cem Concr Compos. 2021;124(5):104232. doi:10.1016/j.cemconcomp.2021.104232. [Google Scholar] [CrossRef]
36. Lee DK, Shin KJ, Lee KM. Evaluation of crack width and self-healing performance of concrete based on fluid flow characteristics: comparison between water permeability test and gas diffusion test. Constr Build Mater. 2024;411:134118. doi:10.1016/j.conbuildmat.2023.134118. [Google Scholar] [CrossRef]
37. Vedrtnam A, Kalauni K, Palou MT. Validated thermal model for bacterial survival in fire-resistant self-healing concrete. Sci Rep. 2025;15(1):28155. doi:10.1038/s41598-025-13562-7. [Google Scholar] [PubMed] [CrossRef]
Cite This Article
Copyright © 2026 The Author(s). Published by Tech Science Press.This work is licensed under a Creative Commons Attribution 4.0 International License , which permits unrestricted use, distribution, and reproduction in any medium, provided the original work is properly cited.


Submit a Paper
Propose a Special lssue
View Full Text
Download PDF
Downloads
Citation Tools