Open Access
ARTICLE
Who Is More Vulnerable? The Age-Period-Cohort Effect of Psychological Distress among Urban Residents in China
Department of Sociology, Jilin University, Changchun, 130012, China
* Corresponding Author: Wenbin Wang. Email:
(This article belongs to the Special Issue: Social Stress, Adversity, and Mental Health in Transitional China)
International Journal of Mental Health Promotion 2023, 25(10), 1127-1136. https://doi.org/10.32604/ijmhp.2023.030315
Received 30 March 2023; Accepted 28 July 2023; Issue published 03 November 2023
Abstract
How does psychological distress evolve over time? This study utilizes cross-sectional data from the China General Social Survey from 2010 to 2017 to explore the differences in psychological distress among Chinese residents at various ages, periods, and cohorts. The dummy variable method and random effects hierarchical age-period-cohort model were employed to isolate the age, period, and cohort effects that impacted the psychological distress of Chinese urban residents. First, in terms of the age effect, the psychological distress experienced by residents tends to increase initially and then decrease with age. Middle-aged individuals, around 40 years old, often face a particularly severe form of psychological distress known as the “midlife crisis.” Additionally, middle-aged people who have larger families may experience more significant psychological distress due to increased family burdens. Second, in terms of the period effect, the psychological distress experienced by residents has been on the rise due to the continued development of society. Those who are at a disadvantage in market competition and work longer hours may be particularly vulnerable to increased psychological distress. Thirdly, the cohort effect refers to the different social behaviors and attitudes exhibited by individuals of different generations. In terms of this effect, psychological distress initially decreased and then increased among those born between 1945 and 1990. Individuals born in the 1980s and 1990s experienced higher levels of psychological distress, with internet use having a greater negative impact. Additionally, the positive effect of income on their psychological distress was reduced. The psychological distress of Chinese urban residents is affected by a variety of time-related factors, which are closely related to Chinese clan culture, market competition and social changes. The heavy family burden imposed by traditional clan culture, the different working conditions created by market competition, and the emergence of new lifestyles, such as internet use during social changes, have led to diverse psychological distress experiences among residents across different ages, time periods, and cohorts. In the future, longitudinal studies are needed to strengthen the robustness of the conclusions and consider the long-term impact of the COVID-19 pandemic. Mental health support should pay specific attention to the psychological distress of middle-aged individuals, long-time workers, and internet users.Keywords
The psychological pressure experienced by modern individuals has garnered increasing attention. According to the American Psychological Association (APA), psychological distress is defined as “a set of painful mental and physical symptoms that are associated with normal fluctuations of mood in most people” [1]. Long-term psychological distress that exceeds an individual’s capacity to cope may result in more severe psychological problems, including depression, anxiety, and behavioral disorders. In extreme cases, it can lead to suicide and self-harm, causing long-term harm to individuals’ physical and mental health and social development [2,3]. Therefore, understanding the mechanisms and influencing factors of psychological distress has become increasingly crucial.
Psychological distress varies across groups and countries, and possible factors associated with it include individual characteristics and the social environment. Individual characteristics that may contribute to psychological distress include occupation, gender, education level, and health-risk behaviors. Being female, a student, engaging in substance abuse, and lack of exercise have been identified as risk factors for psychological distress [4–6]. Social environmental factors related to psychological distress may include workplace and school violence, income, family support, social pressure, and peer relationships. Individuals with more close friends [7], more supportive family members [8], better social systems for coping with stress [9], and less exposure to violence at school and in the workplace [10,11] are more likely to have lower levels of psychological distress. Moreover, different countries and regions may also have distinct social environmental factors that lead to variations in psychological distress among individuals. For instance, a study reported that the proportion of adolescents reporting psychological distress in four Asian countries was 32.9%, which was considerably higher than that of adolescents in India (10.5%) and Zambia (15.7%) [12]. In China-based studies, the unique effects of migration, income inequality, and social capital on residents’ psychological distress have been investigated [13,14].
However, the influence of time-related factors that contain information about individual characteristics and social environment on psychological distress has not been fully investigated in existing studies. Psychological distress is not static and consistently changes with time, and the influence of time may have three sources: age effect, period effect, and cohort effect, which respectively reflect the possible influence of life course and social structure on individual psychological distress [15]. Due to the complete collinearity of age, period, and cohort variables, existing studies have focused more on the effect of age and failed to reach a consensus. Some studies suggest that adolescents and young adults are more vulnerable groups and are more likely to report higher psychological distress, while middle-aged and older adults are consistently associated with lower psychological distress [16]. Older individuals were more likely to rate their current life situations positively and thus report lower psychological distress [17,18]. On the other hand, other studies suggest a midlife crisis, where psychological distress showed an inverted U-shaped curve, which first increased and then decreased, and reached the highest point in middle-aged people [19,20]. The above studies face the omission variable bias in methodology due to the lack of consideration of period effect and cohort effect, which may also be one of the reasons for the different conclusions.
Moreover, the time-related factors reflect the influence of social structure on psychological distress, particularly in rapidly developing and continuously transforming countries such as China. China boasts a rich history and unique culture, while simultaneously undergoing rapid modernization. As such, the life experiences and values of individuals are continuously impacted by external social factors, leading to changes in psychological distress over time. For instance, China established a redistributive economy system in 1949, transitioned to a market economy system after 1978, and joined the World Trade Organization in 2002. As a result, China has increasingly become more connected to other countries around the world. At different stages of social development, the marketization and economic development in China have varied, with individuals facing different opportunities and challenges, as well as differences in life experiences, values, and collective memories [21].
In Chinese society, the time-related factors may contain richer and more complex information regarding social structure. Firstly, traditional clan culture in China has a great impact on individuals by emphasizing family harmony and regarding the family as the most important social unit. However, in modern urban life, this cultural value may also cause heavier family burden for residents, especially middle-aged ones, leading to an increase in psychological distress. Secondly, in today’s China, many people must work hard to make a living and survive in a highly competitive market environment. This competition can cause individuals to feel anxious, tense, or depressed due to high job demands, long working hours, and low job security. Finally, societal changes are also a factor that influences the psychological well-being of urban residents. With rapid development and social change in China, individuals’ values, beliefs, and lifestyles are all undergoing transformations. Such changes may cause some people to feel confused, lost, or uncertain about their identity, social roles, and future prospects. These effects may also impose stronger external social constraints on the development of individual psychological distress through time-related factors, which calls for more systematic investigation.
Using data from four national surveys conducted between 2010 and 2017, this study aims to explore the age, period, and cohort effects that impact the psychological distress of urban residents in China. Specifically, this study seeks to investigate differences in psychological distress among Chinese urban residents across various ages, survey periods, and cohorts, as well as identify the factors that may contribute to these differences.
Age effect of psychological distress
The psychological distress of Chinese urban residents may change with age. This change means that individuals are at different stages of their life course, with significantly different psychological motivations and family responsibilities, leading to varying social, health, and psychological consequences [22,23]. With advancing age, individuals typically accumulate more social experience and material wealth, which can enhance their psychological resilience to adversity. They are more likely to have a positive attitude and evaluation of their current life [17,18]. Therefore, psychological distress may continue to decline with age.
However, it is essential to note that aging also brings changes in family responsibilities, which may lead to the emergence of midlife crises. Compared to the elderly and young people, middle-aged individuals bear the most family responsibilities, providing economic support for the family while undertaking most of the housework. Especially under the influence of clan culture, more Chinese elderly will choose to seek help from their children instead of social institutions such as nursing homes when facing pension problems [24]. Therefore, middle-aged individuals may face greater pressure from their families to support their parents and children, leading to higher psychological distress, particularly those with more elderly people and children to support. Based on this, the age effect hypothesis is proposed:
Hypothesis 1.1: The psychological distress of Chinese urban residents increases initially and then decreases with age, reaching the highest level in middle-aged people, showing an inverted U shape.
Hypothesis 1.2: Individuals with more dependents will have higher psychological distress in middle age compared to those with fewer dependents.
Period effect of psychological distress
Between 2010 and 2017, it is plausible that market and workplace changes in China led to a continuous rise in psychological distress experienced by urban residents. The macro-socioeconomic conditions of a given period exert a significant influence on individuals, shaping their behavior and psychological states [25]. As the marketization process of Chinese society persists, Chinese companies, especially private companies, are facing increasingly fierce market competition. Their employees are experiencing mounting work pressures. Marked by the number of hours worked, China has emerged as one of the countries with the longest working hours globally, which may result in more frequent work-life conflicts for individuals [26,27]. Consequently, the risk of job burnout and psychological distress is heightened [28]. Furthermore, residents who frequently work overtime and lack institutional protection are more susceptible to occupational stress and suffer from elevated levels of psychological distress [29]. Based on this, the period effect hypothesis is proposed:
Hypothesis 2.1: The psychological distress experienced by Chinese urban residents continued to increase between 2010 and 2017.
Hypothesis 2.2: Individuals who work longer hours will experience a more pronounced increase in psychological distress compared to those who work shorter hours.
Cohort effect of psychological distress
Owing to significant alterations in the conditions of birth and growth, the psychological distress experienced by newborn cohorts, such as those born in the 1980s and 1990s, is distinct from that experienced by traditional cohorts born in the 1950s and 1960s. Cohort effects reflect the impact of social changes and early life experiences on a particular birth cohort [30]. Since the cutoff point of the Reform and Opening Up policy in 1978, birth and growth conditions in China have undergone noticeable changes. Prior to 1978, China’s economy witnessed steady growth, with a focus on the development of heavy industry. Residents experienced slow progress in their material well-being, often encountering shortages. The cohort born in the 1950s and 1960s, as a typical cohort of that period, faced more significant material difficulties during their growth process. Consequently, they are more likely to evaluate their current standard of living positively and experience less psychological distress. After 1978, China introduced a market economy and continued to open up to the world, leading to rapid growth in material wealth and an improvement in people’s lives. As a typical cohort of this period, those born in the 1980s and 1990s are less likely to remember material shortages, resulting in a more negative evaluation of their current standard of living and a higher incidence of psychological distress. Moreover, as newborn cohorts grew up in a society and family with material wealth, the positive impact of income on psychological distress may be diminished. Psychological distress among newborn cohorts may be more related to the spiritual world, and high-income individuals may also experience psychological distress. Furthermore, the advent of the internet has provided this cohort with a more open and complex public life, leading to psychological distress caused by the negative effects of the online world [31]. Based on this, the Cohort Effect hypothesis is proposed:
Hypothesis 3.1: Compared to those born in the 1950s and 1960s, the cohort born in the 1980s and 1990s will experience higher psychological distress.
Hypothesis 3.2: Compared to those born in the 1950s and 1960s, high-income individuals in the cohort born in the 1980s and 1990s will experience higher psychological distress.
Hypothesis 3.3: Compared to those born in the 1950s and 1960s, individuals born in the 1980s and 1990s who use the internet will experience higher psychological distress.
Data were obtained from the Chinese General Social Survey (CGSS). The survey was launched by Renmin University of China in 2003, followed by a national survey every one to two years. By 2017, the survey had covered 28 provinces or municipalities. The subjects of the survey were ordinary residents over 18 years old, and the survey was conducted strictly using the multi-stage random sampling method, which was randomly sampled in the county, community and household, respectively. No medical ethical issues were involved in the CGSS, and all subjects provided written informed consent. Since only some of the year data included all the variables required for this study, CGSS2010, CGSS2012, CGSS2015 and CGSS2017 were finally used. The study population in this study is urban residents, so all the data of rural residents were deleted from the data, and the samples with missing core variables were cleaned. Finally, the number of samples used for analysis was 24698.
The dependent variable in this study was psychological distress, which was measured using a self-reported measure of how often residents had felt sad, depressed or down in the past four weeks. Responses were graded on a 5-point Likert scale: never (1,33.50%), rarely (2,36.12%), sometimes (3,22.53%), often (4,6.66%), and always (5,1.18%). Due to the large number of Settings categories and the need to introduce interaction terms in the model, they were used as continuous variables according to previous studies [32,33].
The independent variables were age, period, and cohort. Age was a continuous variable ranging from 18 to 69 (mean = 44.25, standard deviation = 13.84). The period was the survey time (2010, 2012, 2015, 2017). The cohort began in 1939 and ended in 1999. Because the interval sample size was too small, to ensure the robustness of the results, the 1939–1945 cohort was combined into the 1945 group and the 1990–1999 cohort was combined into the 1990 group. To simplify the analysis, all cohorts were regrouped at 5-year intervals.
The moderator variables were number of dependents, working hours, income and using Internet. Number of dependents measures how many family members in the respondent’s household are not financially independent. Continuous variables ranging from 0 to 12 were obtained (mean = 1.44, standard deviation = 1.37). Work hours measures the total number of hours the respondent spent at work in the past week, which is a continuous variable with a value ranging from 0 to 168 (mean = 29.00, standard deviation = 28.43). Income measures an individual’s income from work over the past year and logarithms it to give a continuous variable ranging from 0 to 13.82 (mean = 8.16, standard deviation = 4.09). Internet use measures whether respondents used the Internet through computers and mobile phones in the past year (1 = using Internet, 52.96%).
In addition to the above moderating variables, additional covariables added to the model include gender, marital status, political party, household registration, ethnicity, years of education, self-rated health, social status, working status and region.
Due to complete collinearity among age, period, and cohort effects, they could not be included in the multiple linear regression model for analysis simultaneously, otherwise, one of the variables would be automatically deleted. Previous studies have proposed several solutions to this problem, each with its own advantages and disadvantages, and which should be selected based on the research question and model prerequisites [34]. A general consensus is that multiple analytic strategies are recommended to enhance the robustness of the conclusions [35].
Based on these recommendations, this study plans to conduct the analysis in three steps. First, the Dummy variable method (DVM) will be used to analyze the age effect, period effect, and cohort effect of psychological distress. Age and age squared will be included as continuous variables, while period and cohort will be included as dummy variables. This will break the linear dependence of the three variables and obtain independent effects. Second, the random-effects hierarchical APC model (HAPC) will be used to provide supplementary analysis. The period and cohort effects will be put into the second level of the multilevel linear regression model as random effects to break the linear dependence of the three effects. Finally, based on the DVM, an interaction term for the moderating variables will be introduced. The results of coefficient visualization analysis will be used to test the hypothesis. All analyses will be performed using STATA17.0.
DVM and HAPC were employed to establish the age-period-cohort model of psychological distress among urban residents. The model results are presented in M1 and M2 (see Table 1).

The results from both M1 and M2 models jointly indicated that the psychological distress experienced by Chinese urban residents was significantly influenced by three variables: age, period, and cohort. To further examine these findings, we conducted a more detailed analysis through coefficient visualization and the introduction of interaction terms.
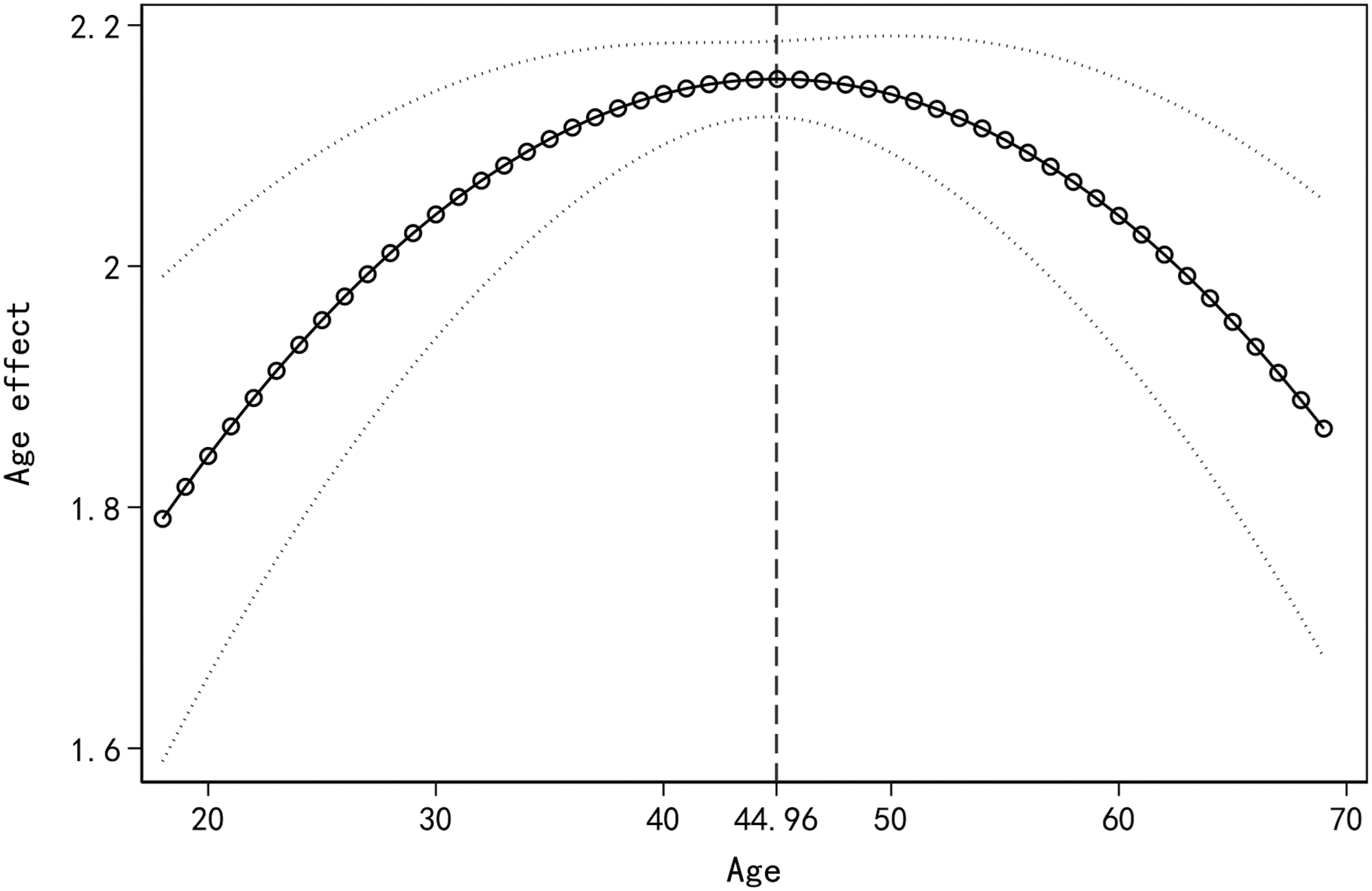
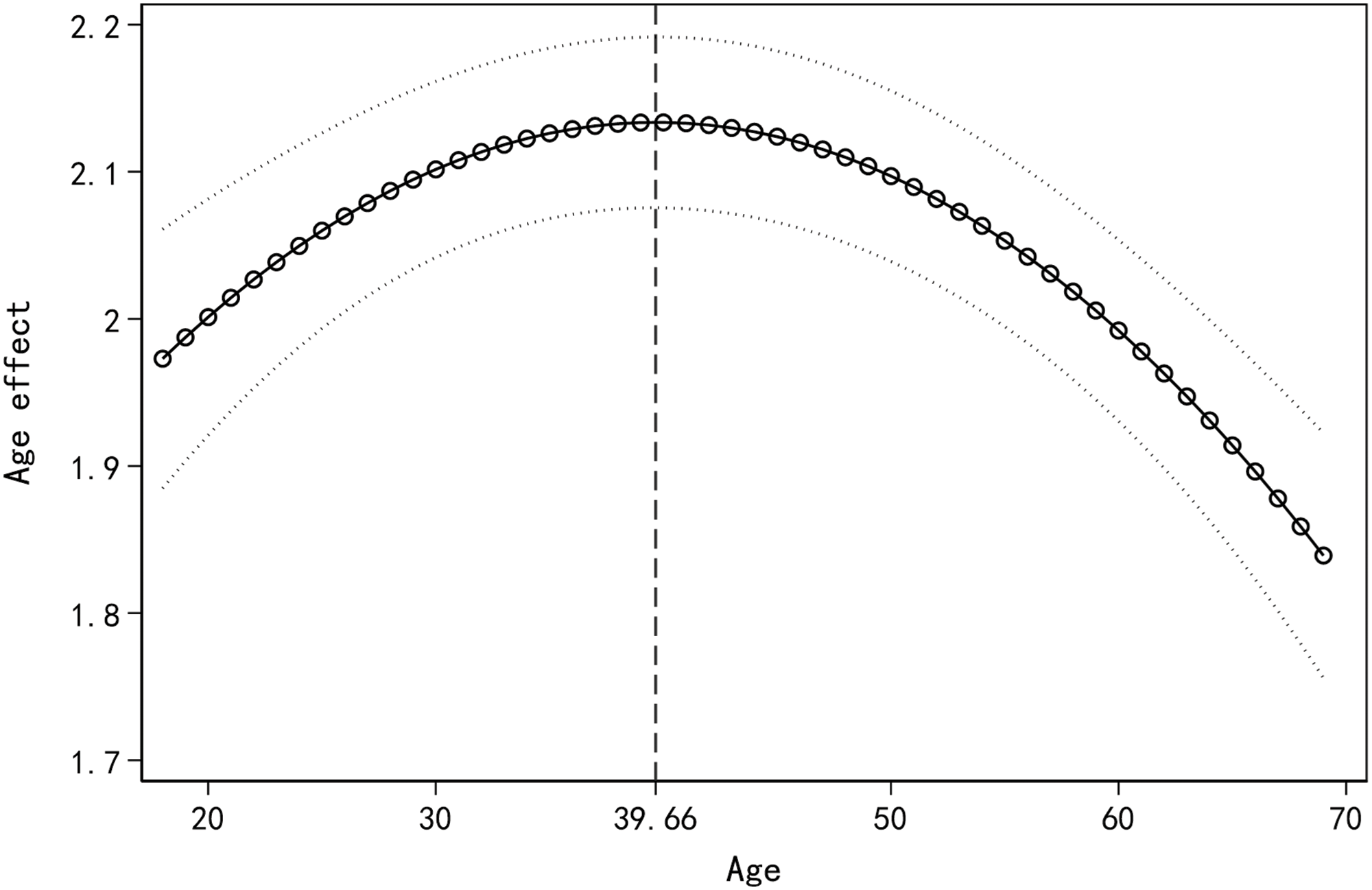
Figs. 1 and 2 employ DVM and HAPC, respectively, to illustrate the age effect on psychological distress among Chinese urban residents. The results from Fig. 1 indicate that both age (B = 0.0451, p = 0.000) and age square (B = −0.0005, p = 0.000) have a significant impact on the psychological distress of urban residents, and the two effects are in opposite directions. It can be calculated that within the range of 18–44.96 years old, an increase in age leads to a rise in psychological distress among urban residents. However, within the range of 44.96–69 years old, psychological distress gradually decreases with increasing age. Fig. 2 also demonstrates similar findings to those of Fig. 1, as both age (B = 0.0272, p = 0.000) and age square (B = −0.0003, p = 0.000) significantly affect the psychological distress of urban residents. It can be calculated that the turning point is 39.66, which is slightly earlier than that of Fig. 1. The results from Figs. 1 and 2 indicate that the age distribution of psychological distress among Chinese urban residents aged 18–69 demonstrates an inverted U shape. Individuals exhibit relatively low psychological distress in both young and old age, while facing higher levels of psychological distress during middle age. Hypothesis 1.1 is supported by the data.

Figure 1: Age effect (DVM).

Figure 2: Age effect (HAPC).
In Fig. 3, an interaction term of age and the number of dependents is introduced, and the coefficient of the interaction term is significantly positive (B = 0.0011, p = 0.000). The coefficient visualization results indicate that when the number of family members is larger, individuals experience higher levels of psychological distress during middle age, and such distress persists for a longer duration in the life cycle. The results suggest that individuals with heavier family burdens need to bear greater economic and emotional responsibilities during middle age, and thus are at a higher risk of experiencing psychological distress. Hypothesis 1.2 is supported by the data.

Figure 3: Age * number of dependents interaction effect.
Figs. 4 and 5 use DVM and HAPC respectively to examine the period effect on the psychological distress of Chinese urban residents. Fig. 4 shows that, using 2010 as the reference group, the coefficient of the period variable gradually increases, and the coefficients of 2015 (B = 0.0580, p = 0.019) and 2017 (B = 0.0965, p = 0.001) are significantly different from that of 2010. The coefficient visualization results show that the marginal effect of the period variable continues to expand. In Fig. 5, the random effect coefficient of the period variable is significant (B = 0.0025, p = 0.000), and the coefficient visualization result is consistent with that of Fig. 4. Together, the two figures show that the psychological distress of Chinese urban residents continued to increase in the four cross-sectional surveys conducted from 2010 to 2017. Hypothesis 2.1 is supported by the data.

Figure 4: Period effect (DVM).

Figure 5: Period effect (HAPC).
Fig. 6 introduces an interaction term for period and working hours. Compared to 2010, the interaction term coefficient between working hours and period has expanded. Additionally, the interaction term coefficient between working hours and 2017 (B = 0.0021, p = 0.002) is significantly different from that in 2010. The coefficient visualization results indicate that individuals with longer working hours experienced a more pronounced upward trend in psychological distress in recent years compared to those with shorter working hours. This suggests that with the intensification of workplace competition, individuals who are already at a disadvantage in the labor market are more likely to suffer from the negative impact of workplace pressure and experience psychological distress. Hypothesis 2.2 is supported by the data.

Figure 6: Period * working hours interaction effect.
Figs. 7 and 8 use DVM and HAPC respectively to examine the cohort effect on the psychological distress of Chinese urban residents. Fig. 7 shows that compared to the 1945 cohort, the cohort coefficient continued to decline from 1950 to 1965, and the coefficient of the 1950 cohort (B = −0.0708, p = 0.053) was significantly different. However, the coefficient increased from 1970 to 1990. Fig. 8 shows a significant cohort random effect (B = 0.0011, p = 0.000). The visualization of the coefficients in Figs. 7 and 8 shows that the psychological distress of Chinese urban residents continued to decline from 1945 to 1965, reaching its lowest point in the 1965 cohort. From 1965 to 1990, the psychological distress of urban residents gradually increased, showing a U-shaped trajectory across different cohorts. The newborn cohorts, such as those born in the 1980s and 1990s, showed a significant increase in psychological risk compared to the traditional cohorts, such as those born in the 1950s and 1960s. These findings support Hypothesis 3.1.

Figure 7: Cohort effect (DVM).

Figure 8: Cohort effect (HAPC).
In Fig. 9, an interaction term for cohort and income was introduced, with the interaction term between the 1945 cohort and income used as the reference group. The coefficient of the interaction term differed significantly between income and the 1970 cohort (B = 0.0138, p = 0.058), 1975 cohort (B = 0.0201, p = 0.008), 1980 cohort (B = 0.0281, p = 0.000), 1985 cohort (B = 0.0285, p = 0.000), and 1990 cohort (B = 0.0300, p = 0.000). The visualization of the coefficients showed that compared to the 1945–1970 cohort, the moderating effect of high income on psychological distress was significantly weakened in the 1975–1990 cohort, and more people with high income may also experience the same psychological distress as those with low income. Hypothesis 3.2 is supported by the data.

Figure 9: Cohort * income interaction effect.
In Fig. 10, interaction terms for cohort and using the Internet were introduced, with the interaction term between Cohort 1945 and using the Internet as the reference group. The coefficients of the interaction terms showed significant changes in using the Internet and the 1970 cohort (B = 0.1985, p = 0.009), 1975 cohort (B = 0.1449, p = 0.065), 1980 cohort (B = 0.1958, p = 0.017), 1985 cohort (B = 0.2505, p = 0.004), and 1990 cohort (B = 0.1627, p = 0.086). The visualization of the coefficients showed that using the Internet was effective in reducing residents’ psychological distress compared to not using the Internet in the 1945–1965 cohort. However, in the 1970–1990 cohort, individuals using the Internet may experience similar or even higher psychological distress than those not using the Internet. These results indicate that Internet use may have a more negative impact on the psychological distress of the younger cohort. Hypothesis 3.3 is supported by the data.

Figure 10: Cohort * using internet interaction effect.
This study used data from four nationally representative surveys conducted between 2010 and 2017 to systematically examine the time-related factors that affect the psychological distress of urban residents in China. The results indicate that there may be significant differences in psychological distress among urban residents at different life stages, social development processes, and birth cohorts. These differences are associated with various factors, including the family environment, market competition, and life changes in Chinese society.
Firstly, different age groups may face varying psychological risks when adjusting to family burdens. Our study found that Chinese urban residents between the ages of 40–45 experienced the highest level of psychological distress. We also observed that residents with larger families and heavier support burdens tended to have higher levels of psychological distress. These findings contrast with the expectations of some previous studies that suggest psychological distress decreases linearly with age [16–18].After excluding the interference of period and cohort effects, our analysis further confirmed the non-linear trend of age effect and the existence of midlife crisis [19,20]. We speculate that the non-linear change in age effect may be related to the increased family burden that middle-aged individuals face. In Chinese society, middle-aged individuals not only have to raise their children but also need to support their elderly relatives, under the influence of family tradition and clan concept. As a result, the middle-aged group bears more family economic, emotional, and labor responsibilities, making them more likely to face psychological distress.
Secondly, the intensification of market competition has contributed to the increasing psychological distress among Chinese urban residents through workplace transmission. Psychological distress among urban Chinese residents continued to rise between 2010 and 2017. In particular, the rise in psychological distress was more pronounced among individuals who worked longer hours. This finding not only confirms that workplace stress and the labor process may be an important source of psychological distress for Chinese residents [29,36], but also highlights the psychological risks that may arise from China’s ongoing economic institutional transformation. The continuous intensification of market competition may lead to an increase in workplace stress for employees, posing a greater threat to their mental health. Moreover, the transmission of workplace stress may also be uneven, with individuals who are at a disadvantage in the labor market and often need to work for long hours experiencing greater psychological distress and damage.
Thirdly, differences in collective memory and growth environments have led to more severe psychological distress in the newborn cohort. In the traditional cohort, spanning from 1945 to 1965, psychological distress continued to decline and remained at a low level. In the 1970–1990 cohort, however, psychological distress continued to increase and remained at a high level. This U-shaped cohort pattern is consistent with analyses based on samples from the United States and Germany [37–39]. Compared with the traditional cohort, the newborn cohort’s psychological distress showed a significant increase. One possible reason for this increase is that the factors influencing psychological distress in the newborn cohort have changed. The moderating effect of material wealth on the newborn cohort’s psychological distress is weakening, and the negative impact of Internet use is increasing. For the traditional cohort, which experienced the era of social unrest and material shortage, the current social stability and economic development have brought about an improvement in psychological distress. However, among the newborn cohorts of the 1980s and 1990s, living conditions have greatly improved, and the Internet has become an important part of their lives, which will have a more significant impact on their psychological state.
Finally, the research findings of this study have significant implications for social practice. Firstly, the middle-aged group is often able to achieve the highest social status and income in their lifetime, yet their potential psychological risks are often ignored. Compared to younger and older age groups, the middle-aged group bears the most critical and heavy family burdens, as well as facing severe and complex psychological crises. By paying attention to the psychological distress of the middle-aged, and providing perfect family pension assistance and social parenting systems, we can alleviate midlife crisis and help maintain family and social stability. Secondly, heavy occupational burdens may lead to the deterioration and differentiation of an individual’s mental health. It is crucial to improve systems and laws to prevent excessive extension of employees’ working hours and increased work intensity. Thirdly, for the newborn cohort, special attention should be paid to the potential negative impact of internet use on their psychological distress. Rational management of internet information is necessary to help mitigate the impact on their mental well-being. Lastly, there are some implications for mental health promotion policy and practice in China. Mental health promotion interventions should focus on reducing family burden and enhancing social support for middle-aged individuals, reducing working hours for all individuals, and promoting mental health education for younger generations.
Unlike previous studies, this study examines the independent effects of age, period, and cohort on individual psychological distress, highlighting the potential influence of social environment, social structure, and institutional change. Time provides rich information on individual characteristics and the social environment, consisting of the age, period, and cohort effects. By independently investigating these three effects, this study not only avoids the issue of omitted variable bias in methodology but also presents a more comprehensive understanding of the impact of time on residents’ psychological distress. Moreover, utilizing nationally representative CGSS data, this study enhances our understanding of psychological distress and its changing trends among Chinese residents. Importantly, this study highlights the psychological impact of social, economic, and institutional change in a country with a unique history and cultural tradition, which has implications for all countries undergoing rapid modernization.
In this study, two methods were employed to separate age, period, and cohort effects despite complete collinearity. However, there are still some limitations that should be addressed in future research. First, the data used in this study is cross-sectional, which may lead to endogeneity issues between time variables and psychological distress. Longitudinal data are needed in future studies to more rigorously test the causal association between these variables and better understand how changes in one variable may affect the other over time. Second, the impact of the COVID-19 pandemic should be considered as it could have significant effects on mental health. As a major public health event, COVID-19 may not only have an immediate effect on the psychological state of residents, but also create a collective memory and have long-term period and cohort effects. It is essential for further research, particularly with nationally representative data collected after the outbreak of COVID-19, to conduct deeper analysis on the complex relationships among age, period, cohort, and the impact of COVID-19 on psychological distress.
This study systematically examines the time-related factors affecting psychological distress among Chinese urban residents. Using data from four nationally representative surveys conducted between 2010 and 2017, we employed the dummy variable method and a random effects hierarchical age-period-cohort model to disentangle the age effect, period effect, and cohort effect of psychological distress among Chinese urban residents. Our results indicate that, first, with respect to the life cycle, urban residents experience a midlife crisis, with psychological distress increasing first and then decreasing with age. Furthermore, middle-aged individuals with larger family sizes experience higher psychological distress. Second, with the continuous development of society, individual psychological distress continues to rise, and individuals who work longer hours experience greater increases in psychological distress. Finally, individuals born in the 1980s and 1990s exhibit higher levels of psychological distress and are more negatively affected by Internet use. Additionally, the positive effect of income on psychological distress decreases in the newborn cohort. These findings suggest that the psychological distress of Chinese urban residents is closely related to the family environment, market competition, and societal changes in China.
Acknowledgement: We thank the associate editor and the reviewers for their useful feedback that improved this paper.
Funding Statement: This work has been funded by China Studies Program and the program number is 21HTS02.
Author Contributions: The authors confirm contribution to the paper as follows: study conception and design: Wenbin Wang, Yang Cao; data collection: Wenbin Wang, Yang Cao; analysis and interpretation of results: Yang Cao, Wenbin Wang; draft manuscript preparation: Yang Cao, Wenbin Wang. All authors reviewed the results and approved the final version of the manuscript.
Availability of Data and Materials: Readers can access the data used in the study from http://www.cnsda.org/.
Ethics Approval: This work is a non-medical manuscript and do not need ethics approval.
Conflicts of Interest: The authors declare that they have no conflicts of interest to report regarding the present study.
References
1. American Psychological Association (APA). APA Dictionary of Psychology. Available from: https://dictionary.apa.org/psychologicaldistress. [Accessed 2020]. [Google Scholar]
2. Tanji F, Tomata Y, Zhang S, Otsuka T, Tsuji I. Psychological distress and completed suicide in Japan: a comparison of the impact of moderate and severe psychological distress. Prev Med [Internet]. 2018;116(1):99–103. doi:https://doi.org/10.1016/j.ypmed.2018.09.007. [Google Scholar] [PubMed] [CrossRef]
3. World Health Organization (WHO). Mental health. Available from: https://www.who.int/health-topics/mental-health#tab=tab_1. [Accessed 2019]. [Google Scholar]
4. Putra IGNE, Pradnyani PE, Putra GW, Astiti NLEP, Derayanti NW, Artini NNA, et al. Gender differences in social environmental factors of psychological distress among Indonesian adolescents: findings from the 2015 global school-based student health survey. J Biosoc Sci [Internet]. 2022;57:1–18. doi:https://doi.org/10.1017/S0021932022000426. [Google Scholar] [PubMed] [CrossRef]
5. Fernández RS, Crivelli L, Guimet NM, Allegri RF, Pedreira ME. Psychological distress associated with COVID-19 quarantine: latent profile analysis, outcome prediction and mediation analysis. J Affect Disord [Internet]. 2020;277(Suppl 1):75–84. doi:https://doi.org/10.1016/j.jad.2020.07.133. [Google Scholar] [PubMed] [CrossRef]
6. Marthoenis M, Schouler-Ocak M. Investigating the prevalence of psychological distress and its associated factors among Indonesian adolescents: a cross-sectional study. Child Adolesc Soc Work J [Internet]. 2022;92(2):152. doi:https://doi.org/10.1007/s10560-022-00818-8. [Google Scholar] [CrossRef]
7. Matt GE, Dean A. Social support from friends and psychological distress among elderly persons: moderator effects of age. J Health Soc Behav [Internet]. 1993;34(3):187–200. doi:https://doi.org/10.2307/2137201. [Google Scholar] [CrossRef]
8. Li T, Zhang X, Chen M, Wang R, He L, Xue B, et al. Psychological distress and its associated risk factors among university students. Rev Da Assoc Méd Brasil [Internet]. 2020;66(4):414–8. doi:https://doi.org/10.1590/1806-9282.66.4.414. [Google Scholar] [PubMed] [CrossRef]
9. Filipič Sterle M, Vervoort T, Verhofstadt LL. Social support, adjustment, and psychological distress of help-seeking expatriates. Psychol Belg [Internet]. 2018;58(1):297–317. doi:https://doi.org/10.5334/pb.464. [Google Scholar] [PubMed] [CrossRef]
10. Inoue R, Hikichi H, Inoue A, Kachi Y, Eguchi H, Watanabe K, et al. Workplace social support and reduced psychological distress: a 1-year occupational cohort study. J Occup Environ Med [Internet]. 2020;64(11):e700–4. doi:https://doi.org/10.1097/JOM.0000000000002675. [Google Scholar] [PubMed] [CrossRef]
11. Bhui K, Silva MJ, Harding S, Stansfeld S. Bullying, social support, and psychological distress: findings from RELACHS cohorts of East London’s white British and Bangladeshi adolescents. J Adolesc Health [Internet]. 2017;61(3):317–28. doi:https://doi.org/10.1016/j.jadohealth.2017.03.009. [Google Scholar] [PubMed] [CrossRef]
12. Pengpid S, Peltzer K. Prevalence and associated factors of psychological distress among a national sample of in-school adolescents in Morocco. BMC Psychiatry [Internet]. 2020;20(1):475. doi:https://doi.org/10.1186/s12888-020-02888-3. [Google Scholar] [PubMed] [CrossRef]
13. Clark WAV, Yi D, Huang Y. Subjective well-being in China’s changing society. Proc Natl Acad Sci [Internet]. 2019;116(34):16799–804. doi:https://doi.org/10.1073/pnas.1902926116. [Google Scholar] [PubMed] [CrossRef]
14. Cheung NWT. Gender, victimization, and adolescent psycho-logical health in the context of migration: evidence from China. Youth Soc [Internet]. 2020;52(1):99–118. doi:https://doi.org/10.1177/0044118X17734232. [Google Scholar] [CrossRef]
15. Yang Y. Social inequalities in happiness in the United States, 1972 to 2004: an age-period-cohort analysis. Am Sociol Rev [Internet]. 2008;73(2):204–26. doi:https://doi.org/10.1177/000312240807300202. [Google Scholar] [CrossRef]
16. Hansen T, Blekesaune M. The age and well-being “paradox”: a longitudinal and multidimensional reconsideration. Eur J Ageing [Internet]. 2022;19(4):1277–86. doi:https://doi.org/10.1007/s10433-022-00709-y. [Google Scholar] [PubMed] [CrossRef]
17. Best R, Strough J, Bruine de Bruin W. Age differences in psychological distress during the COVID-19 pandemic: March 2020—June 2021. Front Psychol [Internet]. 2023;14:1101353. doi:https://doi.org/10.3389/fpsyg.2023.1101353. [Google Scholar] [PubMed] [CrossRef]
18. Charles ST, Carstensen LL. Social and emotional aging. Annu Rev Psychol [Internet]. 2010;61(1):383–409. doi:https://doi.org/10.1146/annurev.psych.093008.100448. [Google Scholar] [PubMed] [CrossRef]
19. Giuntella O, McManus S, Mujcic R, Oswald AJ, Powdthavee N, Tohamy A. The midlife crisis (Working Paper No. 30442) National Bureau of Economic Research. Available from: https://doi.org/10.3386/w30442. [Accessed 2022]. [Google Scholar] [CrossRef]
20. Blanchflower DG, Graham CL. The mid-life dip in well-being: economists (who find it) versus psychologists (who don’t)! (Working Paper No. 26888) National Bureau of Economic Research. 2020. Available from: https://doi.org/10.3386/w26888. [Google Scholar] [CrossRef]
21. Li X, Guo X. Dynamics of social capital in Urban China, 1999 to 2014: an age-period-cohort analysis. Soc Netw [Internet]. 2022;68:394–406. doi:https://doi.org/10.1016/j.socnet.2021.10.006. [Google Scholar] [CrossRef]
22. Wu SY, Huang YC, Hung CF, Wang LJ. Age-trends in cognitive function and quality of life: sex differences in a community population in Taiwan. Int J Ment Health Promot [Internet]. 2022;24(6):989–98. doi:https://doi.org/10.32604/ijmhp.2022.022784. [Google Scholar] [CrossRef]
23. Zhang Z, Chen S, Wang X, Liu J, Zhang Y, Mei Y, et al. The relationship between mental health literacy and subjective well-being of young and middle-aged residents: perceived the mediating role of social support and its urban-rural differences. Int J Ment Health Promot [Internet]. 2023;25(4):471–83. doi:https://doi.org/10.32604/ijmhp.2022.024918. [Google Scholar] [CrossRef]
24. Zhang C. Family support or social support? The role of clan culture. J Popul Econ [Internet]. 2019;32(2):529–49. doi:https://doi.org/10.1007/s00148-018-0686-z. [Google Scholar] [CrossRef]
25. Luo L, Hodges JS. The age-period-cohort-interaction model for describing and investigating inter-cohort deviations and intra-cohort life-course dynamics. Sociol Method Res [Internet]. 2022;51(3):1164–210. doi:https://doi.org/10.1177/0049124119882451. [Google Scholar] [PubMed] [CrossRef]
26. Nie P, Otterbach S, Sousa-Poza A. Long work hours and health in China. China Econ Rev [Internet]. 2015;33(106):212–29. doi:https://doi.org/10.1016/j.chieco.2015.02.004. [Google Scholar] [CrossRef]
27. Xiao Y, Cooke FL. Work-life balance in China? Social policy, employer strategy and individual coping mechanisms: Asia Pacific journal of human resources 50. Asia Pac J Hum Resour [Internet]. 2012;50(1):6–22. doi:https://doi.org/10.1111/j.1744-7941.2011.00005.x. [Google Scholar] [CrossRef]
28. Angrave D, Charlwood A. What is the relationship between long working hours, over-employment, under-employment and the subjective well-being of workers? Longitudinal evidence from the UK. Hum Relat [Internet]. 2015;68(9):1491–515. doi:https://doi.org/10.1177/0018726714559752. [Google Scholar] [CrossRef]
29. Collewet M, Sauermann J. Working hours and productivity. Labour Econ [Internet]. 2017;47:96–106. doi:https://doi.org/10.1016/j.labeco.2017.03.006. [Google Scholar] [CrossRef]
30. Yoo C. The birth cohorts difference in depression. Child Indic Res [Internet]. 2022;16(3):997–1017. doi:https://doi.org/10.1007/s12187-022-09985-7. [Google Scholar] [PubMed] [CrossRef]
31. Oludele Akinloye A, Baldwin Manoko O, Serote M, Taft T. Mental health impacts of information and communication technology usage in South Africa. Int J Ment Health Promot [Internet]. 2021;23(2):255–76. doi:https://doi.org/10.32604/IJMHP.2021.011111. [Google Scholar] [CrossRef]
32. de Winter JCF, Dodou D. Five-point likert items: t test versus Mann-Whitney-Wilcoxon. Pract Assess Res Eval [Internet]. 2010;15(11):1-16. doi:https://doi.org/10.7275/bj1p-ts64. [Google Scholar] [CrossRef]
33. Rhemtulla M, Brosseau-Liard PÉ, Savalei V. When can categorical variables be treated as continuous? A comparison of robust continuous and categorical SEM estimation methods under suboptimal conditions. Psychol Methods [Internet]. 2012;17(3):354–73. doi:https://doi.org/10.1037/a0029315. [Google Scholar] [PubMed] [CrossRef]
34. Yang Y, Land KC. Age–period–cohort analysis of repeated cross-section surveys: fixed or random effects? Sociol Method Res [Internet]. 2008;36(3):297–326. doi:https://doi.org/10.1177/0049124106292360. [Google Scholar] [CrossRef]
35. Horowitz J. Relative education and the advantage of a college degree. Am Sociol Rev [Internet]. 2018;83(4):771–801. doi:https://doi.org/10.1177/0003122418785371. [Google Scholar] [PubMed] [CrossRef]
36. Liang H, Wang W, Sun Y, Wang H. The impact of job-related stress on township teachers’ professional well-being: a moderated mediation analysis. Front Psychol [Internet]. 2022;13:1000441. doi:https://doi.org/10.3389/fpsyg.2022.1000441. [Google Scholar] [PubMed] [CrossRef]
37. Brailovskaia J, Margraf J. Decrease of well-being and increase of online media use: cohort trends in German university freshmen between 2016 and 2019. Psychiat Res [Internet]. 2020;290(12):113110. doi:https://doi.org/10.1016/j.psychres.2020.113110. [Google Scholar] [PubMed] [CrossRef]
38. Sutin AR, Terracciano A, Milaneschi Y, An Y, Ferrucci L, Zonderman AB. The effect of birth cohort on well-being: the legacy of economic hard times. Psychol Sci [Internet]. 2013;24(3):379–85. doi:https://doi.org/10.1177/0956797612459658. [Google Scholar] [PubMed] [CrossRef]
39. Twenge JM, Cooper AB, Joiner TE, Duffy ME, Binau SG. Age, period, and cohort trends in mood disorder indicators and suicide-related outcomes in a nationally representative dataset, 2005–2017. J Abnorm Psychol [Internet]. 2019;128(3):185–99. doi:https://doi.org/10.1037/abn0000410. [Google Scholar] [PubMed] [CrossRef]
Cite This Article
Copyright © 2023 The Author(s). Published by Tech Science Press.This work is licensed under a Creative Commons Attribution 4.0 International License , which permits unrestricted use, distribution, and reproduction in any medium, provided the original work is properly cited.


Submit a Paper
Propose a Special lssue
View Full Text
Download PDF
Downloads
Citation Tools