Open Access
ARTICLE
The Effect of Packet Loss Rate on Multipath Routing for Wireless Multimedia Sensor Network
Department of Computer Science, Applied College, King Khalid University, Abha, KSA
* Corresponding Author: Mohammed Abazeed. Email:
Journal on Internet of Things 2022, 4(4), 227-233. https://doi.org/10.32604/jiot.2022.039598
Received 07 February 2023; Accepted 09 May 2023; Issue published 18 July 2023
Abstract
Wireless multimedia sensor networks present unique quality of service and resource management requirements that distinguish them from scalar data in traditional wireless sensor networks. These demands pose a formidable obstacle to sensor nodes, which are resource-constrained and thus require distinct strategies and techniques to operate effectively. Multipath routing improves reliability while conserving the limited resources of sensor nodes. The source node selects the most optimal paths for delivering multimedia packets based on the multi-hop routes. This paper investigates the impact of packet loss on the observed frame rate in multipath routing protocols and evaluates it mathematically at the receiver node. These results define the reliability needs for transmitting video in WMSN.Keywords
Multimedia sensors capture various forms of data, including physical scalar data, audio, video, and image data, from the environment. These sensors can acquire data from multiple sources and process, store, and correlate multimedia data in real-time. Wireless multimedia sensor networks (WMSNs) face more challenging requirements compared to traditional wireless sensor networks due to the high traffic generated by multimedia sensors that must be transmitted and processed within the network. The limited energy consumption, memory, processing power, and bandwidth of the sensor nodes make it difficult to meet the quality of service requirements for multimedia transmission [1]. Developing WMSNs requires considering these challenges, requirements, and characteristics to improve algorithms, protocols, architectures, devices, and testing environments. By achieving this goal, it is possible to prolong the lifespan of sensor networks and meet the Quality of Service (QoS) demands of various multimedia applications [2].
Routing techniques that rely on a single channel are inadequate for wireless multimedia sensor networks (WMSNs) because of the resource constraints of the sensors and the need for efficient multimedia transmissions. However, the dense distribution of sensor nodes can be leveraged to enable the use of multipath routing, which is a viable alternative [3]. Recently, researchers have shown increased interest in multipath routing techniques for WMSNs due to various solutions that can enhance multimedia transmissions in such networks. Multimedia packets are transmitted simultaneously or alternately over the designated paths. Many proposed WMSN multipath routing protocols distribute the packets among the paths based on criteria such as priority, load balancing, reliability, and security considerations.
The present research explores the influence of packet loss on cross-layer multipath routing using the CLMR protocol [4]. Within the CLMR, video packets are assigned a priority based on their significance and transmitted over the identified paths. As CLMR is meant for multimedia transmissions, video content is divided into multiple sequences referred to as groups of pictures (GOP). GOP videos typically contain three types of frames, namely, intra-coded (I-frame), bidirectional (B-frame), and predicted (P-frame).
CLMR utilizes a packet classifier that categorizes packets based on their importance, as illustrated in Fig. 1. The packet classifier sorts the received packets into three groups: I-priority, P-priority, and B-priority packets. These three packet types are used to route multimedia packets via a priority queue based on their respective priority levels. A high-priority packet is serviced before a low-priority packet in the priority queue, while two packets with the same priority are processed in the order they are received [5,6]. As a result, I-frames are transmitted through the best path, P-frames through the second-best path, and B-frames through the third-best path. This distribution method enhances the reliability and load balancing of CLMR.

Figure 1: Packet transmission in CLMR
Most of the routing methods for WMSN developed so far have looked at multimedia transmission performance from different angles. They tested video quality using various metrics such as PSNR, jitter, and packet loss without considering the impact of various forms of packet loss. The work considering packet loss and packet recovery in multimedia transmission is described in the following part.
Cosmin Cirstea conducted research [7] on packet loss in wireless sensor networks (WSNs) and emphasized its significance in evaluating link quality between network nodes. Ting-Lan Lin proposed a pixel estimation algorithm [8] for multiview movies in wireless multimedia sensor networks (WMSN) using multilayer perceptron regression (MPR) and deep learning. Additionally, the Multi-channel Error Recovery Video Streaming (MERVS) technique [9] achieves real-time, high-quality video streaming in a vehicular ad hoc network (VANET) by broadcasting video over both reliable and unreliable channels. The I-frame is transmitted over a reliable channel, while interframes are sent over an unreliable channel. Priority queuing is also employed to avoid delays and ensure high-quality video streaming.
The Hybrid Error Recovery Protocol (HERP) [10] employs the Sub-Packet Forward Correction (SPFEC) technique to address transmission errors during video streaming in VANETs. In addition, HERP adapts the redundancy rate, retransmission limit, and transmission rate based on network conditions such as queue length and bit error rate. To enhance video streaming quality, HERP utilizes unequal protection for different types of video frames based on their significance. Meanwhile, NAC [11] is a real-time multimedia streaming protocol and adaptive cross-layer error control system designed for wireless sensor networks (WSNs). At the application layer, it utilizes an adaptive forward error correction algorithm (FEC) and an Unequal Error Protection (UEP) mechanism at the wireless link layer.
The proposed system, DM-FEC [12], is a delay-sensitive technique that utilizes an analytical mathematical model to calculate available bandwidth at the correct transmission rate. It employs multiple paths to send data simultaneously to combat burst packet loss, prevent video frame loss, and maintain quality. The system selects the appropriate transmission rate, FEC redundancy, and adjusts the block length of FEC adaptively on each line. Meanwhile, Huang et al. [13] proposed an approach to conceal temporal errors in H.264 by estimating the strongest motion correlation of the current adjacent blocks (CNBs-SMC) using the linear trajectory of the subsequent frames. The motion trend is captured by a mathematical formula generated by CNBs-SMC, and finally, the mathematical formulation conceals the motion vector of the missing block.
3 Multimedia Coding Background
Multimedia traffic poses various processing and transmission difficulties, especially in WMSN. Due to the massive traffic generated by multimedia devices, multimedia coding methods and algorithms are associated with multimedia transmission. By using redundancy in multimedia data, coding techniques must be used to compress and encode the resulting multimedia data. The quality suffers due to the objective of the encoding techniques to reduce the size of the transmitted multimedia data. The latest compression algorithms are good in terms of transmission rate/distortion ratio. However, these methods are not suitable for WMSN with limited resources because predictive coding requires a sophisticated encoder and a reliable processing algorithm, both of which increase energy consumption [5]. Therefore, the design goals for the coding technique for multimedia sensors should be as follows:
• High compression efficiency: high compression is mandatory for most multimedia applications to limit energy and bandwidth consumption.
• Error resiliency: the wireless links are dynamic and error-prone, so the designed coding techniques should be familiar with the error effects and provide error resilience.
• Low complexity: the multimedia sensors have many resource constraints regarding energy and processing capabilities. The complex techniques will consume these resources. Low-complex techniques will save resources and prolong the network’s lifetime. Generally, multimedia compression techniques can be categorized into lossless and lossy. In ‘lossless,’ low compression can be obtained, while in ‘lossy compression’, the redundant information is removed, resulting in high compression [1]. Lossy compression is the most common technique used in WMSN.
The wireless channel is error-prone, and packets are lost when data is transmitted over multiple stations, affecting reliability and video quality. If the important data is to be transmitted over high-quality paths, multipath routing can increase reliability. To identify the factors that support the reliability of video transmission, this part examines the effects of packet loss rate on multimedia transmission. A group of images GOP structure in video coding describes the arrangement of intra- and inter-frames. In this study, the effects of packet loss are distinguished according to the importance of the packets. Due to error propagation, the reference frame error is more harmful than the derived frames, so these packets need to be protected and considered more [14,15]. To successfully decode a compressed video stream with interframe dependencies, it is necessary to receive reference frames such as I-frames and P-frames. Loss of packets within a frame can lead to quality degradation and the spread of errors to dependent frames, although the impact is more significant for I-frames than P-frames.
Packet loss effect on the observed frame rate is studied mathematically at the receiver node. The frame rate has the primary role of determining the transmitted video quality, allowing frames with PSNR values above the threshold to be displayed at the receiver node. If there is a certain quality requirement, the frame rate is reduced with increase in packet loss rate [16]. The relationship between traffic rate and packet loss rate can be expressed by assuming that the frames with PSNR value below the specific threshold are discarded. The observed frame rate
Since
A frame is deleted even though
p is the packet loss rate, and SI is the average number of packets in an I-frame. Understanding the inter-frame relationships in GOP is necessary to compute the conditional probability of P and B frames. These dependencies can be expressed as following relationships:
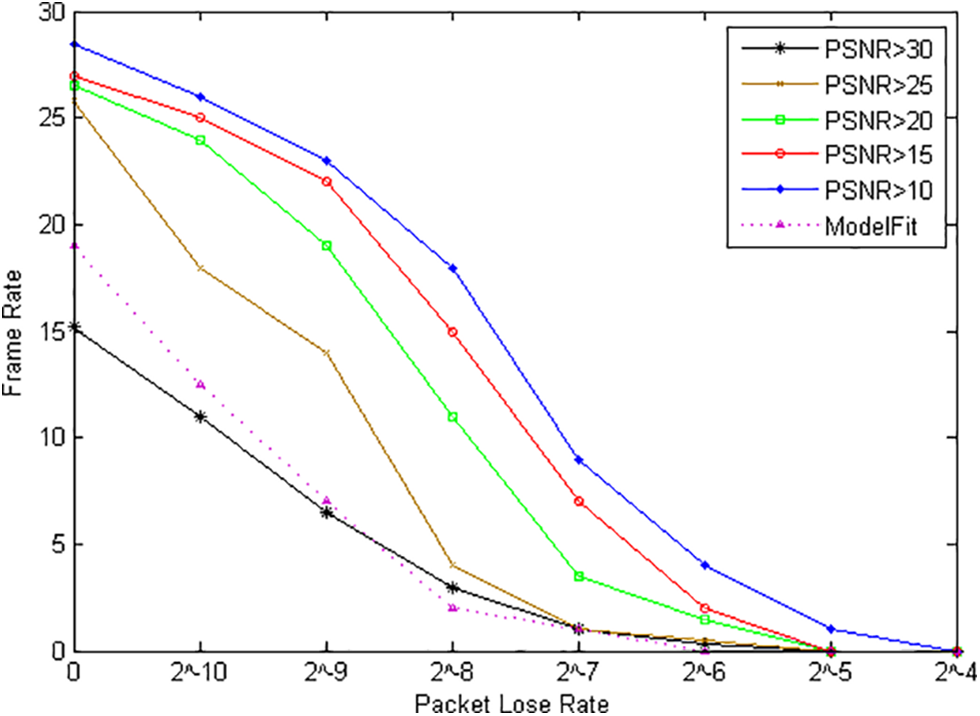
The observed frame rate fr can be calculated by determining the drop rate for each frame type, where Np represents the number of P-frames, SB denotes the number of packets in a B-frame, and SP represents the average number of packets in a P-frame within a GOP. Fig. 2 illustrates the relationship between packet loss rate and frame rate, as per the analytical model. Examining how packet loss affects the PSNR values of a video sequence aids in understanding its impact on video quality at the receiving end. Apart from the PSNR value, the frame rate—which denotes the frequency of frames that must have PSNR values above a certain threshold to be displayed at the receiving end—also affects the transmitted video’s quality. For a certain PSNR threshold, the average frame rate of the tested clip increases with the Bernoulli packet loss rate. However, when the packet loss rate exceeds a certain threshold, the frame rate decreases significantly for a specific frame quality threshold.

Figure 2: Frame rate vs. packet loss
Fig. 3 shows how reference frame retrieval affects frame rate or transmission without I packet loss. I-frame packet loss recovery can increase the frame rate by as much as three times for a given acceptable quality. The diagram also shows that for a given PSNR threshold of 20 dB, recovering all P-frames is roughly equivalent to recovering only I-frame data. Fig. 3 also illustrates how capturing both the I and P packets significantly increases the frame rate. Selectively recovering either the I-frame or the P-frame data can therefore significantly improve the quality of the received video. Realistically, not all lost packets need to be found. Furthermore, it makes little sense to recover lost B-frame packets.

Figure 3: Effect of reference frame retrieval on frame rate without I and P packets loss
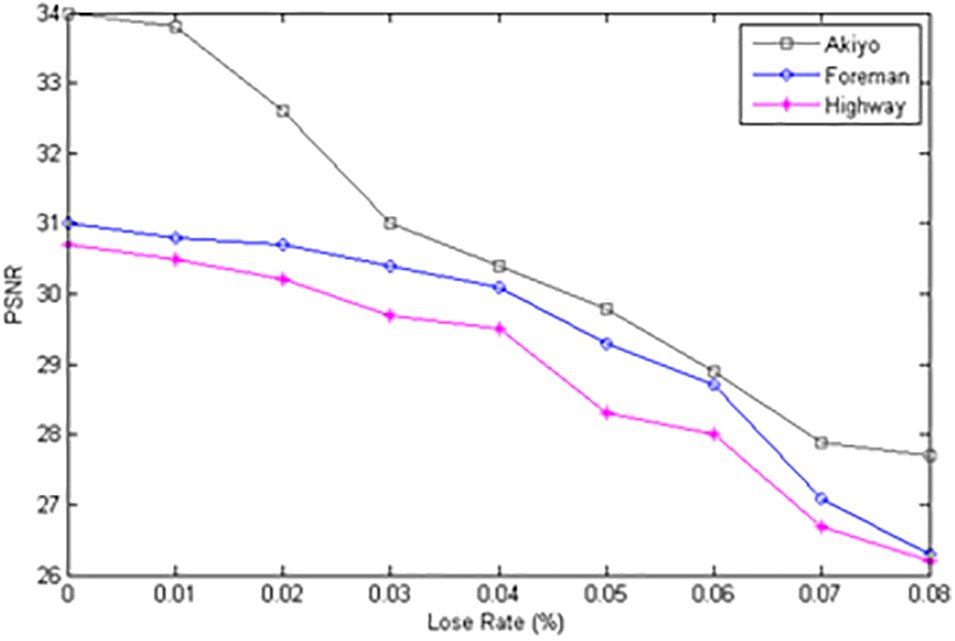
The impact of loss rate on PSNR values is illustrated in Fig. 4, where a higher PSNR value indicates better video quality. To obtain superior video quality, it is necessary to minimize the loss rate during the transmission of video data. The graphs explain how the video clips vary within the loss rate. Both the loss rate and the PSNR value are inversely proportional.

Figure 4: The impact of loss rate on the PSNR values
To achieve optimal video performance in resource-constrained networks like WMSN, it is crucial to prioritize reliability in multimedia transmission. This study aims to analyze how packet loss affects multipath routing strategies in wireless multimedia sensor networks. The analytical model suggests that retrieving the most important packets can enhance performance without compromising quality. The severity of quality degradation is primarily determined by the significance of the packet type, with the loss of I-frame packets resulting in reduced quality.
Funding Statement: The author acknowledges the support provided by the Dean’s Deanship of Scientific Research (DSR), King Khalid University, Abha, KSA, through a grant number (RGP.1/380/43). The author expresses gratitude for the technical and financial assistance received from DSR.
Conflicts of Interest: The authors declare that they have no conflicts of interest to report regarding the present study.
References
1. I. F. Akyildiz, T. Melodia and K. R. Chowdhury, “Wireless multimedia sensor networks: A survey,” IEEE Wirel. Commun., vol. 14, no. 6, pp. 32–39, 2007. https://doi.org/10.1109/MWC.2007.4407225 [Google Scholar] [CrossRef]
2. D. Waltenegus and C. Poellabauer, Fundamentals of Wireless Sensor Networks: Theory and Practice. New York, USA: John Wiley & Sons, 2010. [Google Scholar]
3. W. Lou, W. Liu and Y. Zhang, “Performance optimization using multipath routing in mobile Ad Hoc and wireless sensor networks,” In: M. X. Cheng, Y. Li and D. -Z. Du (Eds.Combinatorial Optimization in Communication Networks, pp. 117–146, Boston, MA: Springer US, 2006. [Google Scholar]
4. M. Abazeed, N. Faisal and A. Ali, “Cross-layer multipath routing scheme for wireless multimedia sensor network,” Wirel. Networks, vol. 25, no. 8, pp. 4887–4901, 2019. https://doi.org/10.1007/s11276-018-1829-6 [Google Scholar] [CrossRef]
5. D. G. Costa and L. A. Guedes, “A survey on multimedia-based cross-layer optimization in visual sensor networks,” Sensors, vol. 11, no. 5, pp. 5439–5468, 2011. https://doi.org/10.3390/s110505439 [Google Scholar] [PubMed] [CrossRef]
6. G. Lu, B. Krishnamachari and C. S. Raghavendra, “Performance evaluation of the IEEE 802.15.4 MAC for low-rate low-power wireless networks,” in IEEE Int. Conf. on Performance, Computing, and Communications, 2004, Phoenix, AZ, USA, pp. 701–706, 2004. https://doi.org/10.1109/PCCC.2004.1395158 [Google Scholar] [CrossRef]
7. C. Cirstea, M. Cernaianu and A. Gontean, “Packet loss analysis in wireless sensor networks routing protocols,” in 2012 35th Int. Conf. on Telecommunications and Signal Processing (TSP), Prague, Czech Republic, pp. 37–41, 2012. https://doi.org/10.1109/TSP.2012.6256248 [Google Scholar] [CrossRef]
8. T. -L. Lin, H. -W. Tseng, Y. Wen, F. -W. Lai, C. -H. Lin et al., “Reconstruction algorithm for lost frame of multiview videos in wireless multimedia sensor network based on deep learning multilayer perceptron regression,” IEEE Sens. J., vol. 18, no. 23, pp. 9792–9801, 2018. https://doi.org/10.1109/JSEN.2018.2865916 [Google Scholar] [CrossRef]
9. H. Xie, A. Boukerche and A. A. F. Loureiro, “MERVS: A novel multichannel error recovery video streaming protocol for vehicle Ad Hoc networks,” IEEE Trans. Veh. Technol., vol. 65, no. 2, pp. 923–935, 2016. https://doi.org/10.1109/TVT.2015.2397862 [Google Scholar] [CrossRef]
10. S. Zaidi, S. Bitam and A. Mellouk, “Hybrid error recovery protocol for video streaming in vehicle ad hoc networks,” Veh. Commun., vol. 12, pp. 110–126, 2018. https://doi.org/10.1016/j.vehcom.2018.01.002 [Google Scholar] [CrossRef]
11. B. Sarvi, H. R. Rabiee and K. Mizanian, “An adaptive cross-layer error control protocol for wireless multimedia sensor networks,” Ad Hoc Networks, vol. 56, pp. 173–185, 2017. https://doi.org/10.1016/j.adhoc.2016.12.008 [Google Scholar] [CrossRef]
12. N. Chilamkurti, J. H. Park and N. Kumar, “Concurrent multipath transmission with forward error correction mechanism to overcome burst packet losses for delay-sensitive video streaming in wireless home networks,” Multimed. Tools Appl., vol. 65, no. 2, pp. 201–220, 2013. https://doi.org/10.1007/s11042-011-0779-0 [Google Scholar] [CrossRef]
13. Z. Huang, Q. Cai and X. Xiao, “A video data recovery algorithm in wireless communication networks,” in 2018 IEEE 18th Int. Conf. on Communication Technology (ICCT), Chongqing, China, pp. 727–731, 2018. https://doi.org/10.1109/ICCT.2018.8599966 [Google Scholar] [CrossRef]
14. N. Feamster and H. Balakrishnan, “Packet loss recovery for streaming video,” 2002. [Online]. Available: http://scholar.google.com/scholar?q=feamster&hl=en&btnG=Search#1 [Google Scholar]
15. H. A. Sanneck and G. Carle, “Framework model for packet loss metrics based on loss run lengths,” Multimedia Computing and Networking 2000, vol. 3969, pp. 177–187, 1999. https://doi.org/10.1117/12.373520 [Google Scholar] [CrossRef]
16. C. -H. Lin, C. -H. Ke, C. -K. Shieh and N. K. Chilamkurti, “The packet loss effect on MPEG video transmission in wireless networks,” in 20th Int. Conf. on Advanced Information Networking and Applications—Volume 1 (AINA’06), Vienna, Austria, vol. 1, pp. 565–572, 2006. https://doi.org/10.1109/AINA.2006.325 [Google Scholar] [CrossRef]
Cite This Article
Copyright © 2022 The Author(s). Published by Tech Science Press.This work is licensed under a Creative Commons Attribution 4.0 International License , which permits unrestricted use, distribution, and reproduction in any medium, provided the original work is properly cited.


Submit a Paper
Propose a Special lssue
View Full Text
Download PDF
Downloads
Citation Tools