Open Access
ARTICLE
A Time Pattern-Based Intelligent Cache Optimization Policy on Korea Advanced Research Network
Department of Computer Engineering, Jeju National University, Jeju-si, 63243, Korea
* Corresponding Author: Wang-Cheol Song. Email:
Intelligent Automation & Soft Computing 2023, 36(3), 3743-3759. https://doi.org/10.32604/iasc.2023.036440
Received 30 September 2022; Accepted 14 November 2022; Issue published 15 March 2023
Abstract
Data is growing quickly due to a significant increase in social media applications. Today, billions of people use an enormous amount of data to access the Internet. The backbone network experiences a substantial load as a result of an increase in users. Users in the same region or company frequently ask for similar material, especially on social media platforms. The subsequent request for the same content can be satisfied from the edge if stored in proximity to the user. Applications that require relatively low latency can use Content Delivery Network (CDN) technology to meet their requirements. An edge and the data center constitute the CDN architecture. To fulfill requests from the edge and minimize the impact on the network, the requested content can be buffered closer to the user device. Which content should be kept on the edge is the primary concern. The cache policy has been optimized using various conventional and unconventional methods, but they have yet to include the timestamp beside a video request. The 24-h content request pattern was obtained from publicly available datasets. The popularity of a video is influenced by the time of day, as shown by a time-based video profile. We present a cache optimization method based on a time-based pattern of requests. The problem is described as a cache hit ratio maximization problem emphasizing a relevance score and machine learning model accuracy. A model predicts the video to be cached in the next time stamp, and the relevance score identifies the video to be removed from the cache. Afterwards, we gather the logs and generate the content requests using an extracted video request pattern. These logs are pre-processed to create a dataset divided into three-time slots per day. A Long short-term memory (LSTM) model is trained on this dataset to forecast the video at the next time interval. The proposed optimized caching policy is evaluated on our CDN architecture deployed on the Korean Advanced Research Network (KOREN) infrastructure. Our findings demonstrate how adding time-based request patterns impacts the system by increasing the cache hit rate. To show the effectiveness of the proposed model, we compare the results with state-of-the-art techniques.Keywords
According to Cisco white papers [1], there is a 35% increase in Internet users and a 60% increase in IP devices, and six hundred million more mobile devices from 2018 to 2023. The broadband speed will double from 45 to 110 Mbps, and the cellular speed will triple from 13.2 to 43.9 Mbps. The higher Internet users, the more social media applications, resulting in an increased number of IP networks and rapidly affecting the velocity of big data generation. Many social media streaming applications need very low latency and high bandwidth consumption. Similarly, real-time applications such as virtual reality, augmented reality, and voice recognition requires ultra-low network latency and high bandwidth. The network must carefully manage this immense increase in big data to reduce congestion. These requirements will further expand the difficulty faced by network administrators. Therefore, there needs to be a mechanism that can cope with such low latency and high bandwidth requirements.
The Content Delivery Network (CDN) is a distributed infrastructure that provides users with real-time content [2]. It can efficiently handle applications with low latency, high speed, and maximum bandwidth utilization requirements. The industry has deployed CDN to store data in user proximity to fulfill users requests. The CDN reduces the backbone network traffic load and decreases the request count toward the data center. Providing the content from CDN-edge means having comparatively less latency than the data center. According to Gartner [3], in 2023, more than 75% of the data will be processed at the edge. Therefore, we need strategies and algorithms to process and manage the resources on edge servers optimally. The edge can exist anywhere between the data center and the user. An edge device one hop away from the user, can provide very low latency with higher processing speed. But it can reduce the coverage area of the CDN-edge, which means more edge devices are required to cover different areas. Therefore, a suitable caching policy is needed to fulfill the network demands. Over the past few years, there have been many proposed caching policies, such as LRU (Least Recently Used) [4], LFU (Least Frequently Used) [5], and ILP (Integer Linear Programming) [6]. Since we live in the era of (Artificial Intelligent) AI, caching policies based on machine learning (ML), deep learning (DL), and reinforcement learning (RL) can extract the inherent features of data and then act accordingly [7]. The above-mentioned network requirements can be satisfied to take advantage of AI capabilities on a CDN-edge.
Many AI-proposed techniques optimize content caching on edge servers [8–10]. The authors in [6] employ machine learning for caching the multi-media content and location prediction to enrich the customer experience [11]. Utilizes the Q-Learning methodology for assisted caching in multiple (Multi-Access Edge Computing) MEC servers [12]. Proposes a dynamic programming knapsack optimization algorithm for video caching and real-time transcoding problems. However, none of these methods specifically discuss the user request arrival pattern. Although in [13], the author claims to extract the user request pattern from the customer transaction dataset, which is unsuitable in caching scenarios. Moreover, a recent survey on edge cache optimization emphasizes the significance of a time-based request pattern [14]. In this regard, we propose an optimized CDN-edge caching policy that extracts a time-based request pattern from the publicly available dataset captured over 25 years. Furthermore, while assessing the CDN optimization technique’s performance, another vital aspect is the evaluating environment. Generally, researchers evaluate their proposed methods using either a simulation or a lab-based environment. However, in the case of a CDN scenario, such environments are inappropriate because they do not reflect real-world constraints such as network delay, link bandwidth, and traffic congestion. Therefore, our proposed testbed scenario consists of a CDN server, CDN-edge, and user devices representing the real-world use case on KOREN Software-Defined Infrastructure (SDI).
Our approach aims to optimize the utilization of cache on edge. The main contributions of our work are as follows:
■ A publicly available dataset is analyzed to extract a time-based request pattern for its execution in the CDN scenario.
■ A data center is built consisting of 1300 videos with their meta information.
■ A CDN-edge architecture is created on KOREN.
■ A dataset is created by collecting the logs from the CDN scenario.
■ The problem is formulated mathematically as a cache hit maximization problem with environmental constraints.
■ A video removal mechanism is created based on time, genre, and video size attributes.
The rest of the paper is structured as follows: Section 2 provides the literature review. Section 3 describes the problem statement and mathematical model of the proposed system. Section 4 presents the algorithm design, and Section 5 discusses building the CDN scenario with the generation of a dataset with the details of the supervised learning model. Section 6 evaluates the performance of the proposed methodology and discusses the results. The last section concludes our research with future directions.
The authors in [15] propose an LRU-based cache replacement strategy. The LRU strategy is merged with the priority queue and re-access weight mechanism. Also, a Bayesian network theory-based prefetching strategy is implemented to reduce access latency and improve the quality of service. The proposed methodology is evaluated on the campus network, but the data center is usually placed in a geographically remote location in real-world scenarios. The authors do not consider user preferences, video profiles, and user request patterns over time. In [16], the author has proposed a machine learning-based smart caching and location prediction method for improving user experience. It caches multi-media content’s temporal and spatial information on the Internet of Things (IoT) equipment. A real-time database is used to locate information. However, no real-time-based user request pattern is considered, and simulation-based evaluation is done. Reference [11] presents utilized multi-agent reinforcement learning techniques for cooperative content caching in MEC servers and download weight latency is used as a cache reward. MEC servers use Q-learning to make caching decisions in a multi-agent environment. The authors use an inappropriate representation of a Poisson distribution-based user request and evaluate their proposed work using a simulated environment. Authors in [13] concatenate the convolutional neural network (CNN), bidirectional deep neural network (BNN), and fully connected neural network (FCNN) models. A combined model is used for feature extraction, dimension reduction, timestamp-based user request association, and prediction performance improvements. They claim to use the models in the online function. However, these models are computationally intensive and complex; therefore, they are inappropriate in online scenarios. Also, the user request pattern is extracted from the customer transaction dataset that does not reflect the legit video request pattern. Moreover, the proposed scheme is not evaluated in a CDN environment. In [12], the dynamic programming and knapsack algorithm is employed to optimize the solution for video caching and real-time transcoding problems. The authors consider the attributes of video representations, video popularity level, and user profiling for user request patterns. Their objective is to maximize the cache hit ratio, and a simulation is done to evaluate the performance of the proposed system. Unrealistic assumptions about the edge resources are made. Further, Zipf distribution-based content popularity is considered that is impractical. In [17], the authors designed a cooperative caching model based on multiple cooperative caching edge servers. Machine learning and greedy algorithm-based content delivery strategies are designed for cooperative caching servers. The optimization objective is to minimize the average content transmission delay. The simulation environment is set up to evaluate the performance of the proposed scheme. The authors use a fixed user request pattern and Zipf distribution-based content popularity.
In [18], the authors integrate a social content-centric network (SocialCCN) with mobile edge caching. A multi-head attention-based model uses the social relationship, geographical information, and historical request features for popularity prediction. It incorporates the encoder-decoder structure with BiLSTM, and caching strategy is based on the average value of multi-step popularity prediction. However, it needs the details of the environmental setup and information on how their proposed scheme has been evaluated in the CDN environment. In [19], a cyclic genetic ant colony optimization algorithm for the CDN environment is presented. The access count, access frequency, and data size are the multi-objectives for the optimization algorithm. The algorithm efficiently offloads the data with minimum access and latency and processes the high access and latency data. However, there is no added information about the video request patterns and profiles. The authors in [20] utilize an artificial neural network (ANN) to find the relationship of content demand over the time stamp. Then, an integer linear programming-based solution is proposed to formulate the latency problem. Although they numerically evaluate the results, they do not consider content and user profiling. Moreover, they do not evaluate their proposed method in the CDN scenario.
Table 1 shows a comparison of all the proposed techniques. The above algorithms optimize the CDN-edge caching policy. The previous studies utilize either traditional or machine learning techniques for CDN cache optimization. A few methods [11,12,16,17] are evaluated in the simulation environment and others [18,19] numerically. The following proposed approaches [13,18–20] are not assessed in the CDN environment, only the model proposed in [15] is evaluated in the campus-level CDN environment. However, it still does not reflect real-world cases, whereas, in typical CDN scenarios, the data center is usually placed in a geographically remote location. In addition, a user request pattern is essential when considering the edge caching scenario. The previous studies have used random, Poisson distribution, fixed, and Recurrent Neural Network (RNN) based patterns. However, they have yet to consider a timestamp in their solution. The importance of a time-based request pattern is also highlighted in [22,23]. For example, users tend to watch more entertainment videos at night than educational ones. Similarly, most users work in offices, universities, and companies during the daytime. To this end, it is important to consolidate the timestamp with the request pattern.
Additionally, [13,15,16] also mention the algorithms to optimize the cache replacement strategies. But multiple AI models will put a huge computational workload on the CDN-edge. Therefore, our proposed model combines AI techniques with the computational workload.
We design a CDN architecture on top of KOREN-SDI to overcome the challenges mentioned above to represent a real-world scenario. We establish a data center consisting of 1300 videos from eight different categories. Additionally, we extract a time-based content request pattern from the publicly available dataset. Furthermore, we create video profiles to integrate the effect of size, length, and type of video.
3 System Model Definition and Problem Formulation
This section explains the caching model with the formulation of the relevance score. The integration of the proposed system model with machine learning is also presented. The discussion of the hit ratio maximization problem using relevance score and machine learning concludes the section. The basic steps followed by the proposed model are mentioned in Algorithm 1. Initially, the proposed system waits for the video request. Once the video request arrives, it checks for the requested video in a cache. If found in the cache, a requested video will be provided to the user. Suppose that a requested video is not available in the cache. In that case, a reactive caching function is activated to download the video from the data center and provide the video to the user. In case of a cache miss scenario, a proactive caching function is activated to predict the request video for the next time stamp. A REACTIVE CACHING () and PROACTIVE CACHING () functions detail is provided in section IV.

A CDN environment is a design that consists of a data center, edge server, and end device on KOREN-SDI to evaluate the proposed scheme in a real-world environment. Furthermore, a 24-h video request pattern is extracted from the public dataset and executed on edge to generate the user request. Fig. 1 shows the overview of our proposed architecture. The main components are the end-device to generate user requests, CDN-edge for video caching, and the data center for video repository. Initially, a 24-h video request pattern is extracted from publicly available datasets [24,25] and placed on the end-device to generate a request in a time-based pattern. A request generator module is activated on the user’s device to create a request. Initially, a request is sent to CDN-edge; the request handler on the CDN-edge receives the request and checks for content in the local video repository. If video content is found, it is provided to the user. Otherwise, the CDN-edge generates a new request to the data center. On the data center, the request handler receives the content request from the CDN-edge, finds the requested content in the central video repository, and forwards the requested content to the response generator. Response generators send the content to CDN-edge. Upon receiving the content from the data center, the CDN-edge provides the content to a user. On the end device, the content handler receives video from CDN-edge and stores it.

Figure 1: An overview of a proposed system with all basic components
A
All of the requested data cannot be stored in the cache due to the cache’s storage capacity being significantly less than that of the data center. As a result, there should be a way to replace the old videos in the cache with the ones that have just been requested. All cached videos are given a relevance score, and the video with the lowest relevance score is removed from the cache. A relevance score is based on three attributes: time, genre, and size. All these attributes are separately calculated for each time slot
The time and genre attribute of the video is derived using empirical probability [26,27]. The empirical probability states the ratio of the number of outcomes of event A to the total number of trials. That is used for the time attribute as the ratio of the total number of requests for video i to the total number of requests. For genre attribute, it is used as the ratio of total number of requests for video of genre
The information entropy [28] is stated as “how much surprise there is in an event. Those events that are rare (low probability) are more surprising and therefore have more information than those events that are common (high probability)”. The weights are assigned to each attribute based on the definition of information entropy to determine how each attribute affects the relevance score as shown in Eq. (6). The weight of each attribute is obtained through information entropy, as shown in Eq. (7). In denominator of Eq. (7), the sum of all the attributes entropies is subtracted from three because there are three attributes in total.
LSTM is the most widely used algorithm for time series prediction because it can memorize prior predictions. In our case, the model needs to take the preceding predict previous to account when forecasting the next time stamp. Fig. 2 shows a simplistic representation of the LSTM. It comprises basic gates that determine which information is allowed to get through and which is denied. The ignoring gate is used to remove irrelevant results from the predictions. The forgetting gate separates the current predictions from the old ones that were kept in memory. The selection gate determines which part of the prediction will be the output. There are two additional activation functions: the hyperbolic

Figure 2: The internal structure of LSTM cell
The output of the ignoring gate, represented by the value of
As per Eq. (13), the value of the selection gate is calculated using the previous hidden state and current cell input with sigmoid used as an activation function. As shown in Eq. (14), the current hidden state is the addition of the selection gate output with the current cell state.
To find the final output
To maximize cache hits, we build a multi-objective problem based on the relevance score and accuracy of the machine learning model under the constraints of total cache capacity and caching decision variables. Therefore, Eq. (17) defines the cache maximization problem:
In this case, C1 confirms that the total amount of storage for all cached videos should not exceed the total amount of storage for the cache, and C2 ensures that a function only evaluates cached videos.
According to the hit ratio maximization model, the proposed algorithm considers the hybrid strategy, which combines proactive and reactive caching. The reactive algorithm is invoked to fulfill the video request in case of a cache miss. Proactive caching is activated to pre-fetch the video that the machine learning model has predicted in time



5 Dataset Generation and Pre-Processing
This section discusses request pattern generation, log collection, and real-time dataset building.
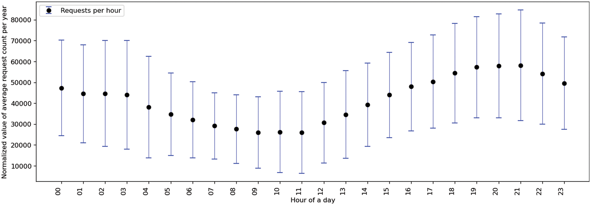
For a better prediction, the context of the environment needs to be integrated. The time of day strongly relates to the video request count. Typically, more entertainment videos are requested at night and education in the daytime. To understand the relationship between time and request count, we analyze two publicly available datasets from Kaggle [29]. The dataset is “MovieLens20M” [24] with 20 million records, and “The Movie Dataset” [25] with 26 million records. A 24-h request pattern extracted from these datasets depicts the mapping of request counts on timestamps, as shown in Fig. 3. The Y-axis and X-axis represent the user request count per hour and hour value, respectively. The request count tends to increase during the evening and peak at night around 9:00 PM. Similarly, it tends to decrease late at night and reaches a minimum around 9:00 AM. This 24-h pattern is divided into three time slots, a morning time slot from 4:00 AM to 9:00 AM, a day time slot from 9:00 AM to 5:00 PM, and a night time slot from 5:00 PM to 4:00 AM. A similar time slot-based prediction model is proposed in [29,5]. These three intervals are our different scenarios where the caching policy will adapt accordingly.

Figure 3: An extracted 24-hour time-based request pattern extracted from a publicly available dataset
We built a repository of 1300 videos from eight genres downloaded from popular YouTube channels such as BTS, T-Series, and Cocomelon. The genres are animation, movies, interviews, education, sports, films, news, travel, and music. The video meta-information is as follows: a rating, number of views, video length, and video size. Videos with a size of 50 MB or less are downloaded. Then, all videos are assigned a unique video id, and later on, these video ids are mapped to a request pattern generated in the previous step. Complete detail about the dataset features is listed in Table 2.

We send 80,000 video requests from the end device based on the extracted video request pattern. If the requested video is available, the edge server satisfies the request rather than a data center. The records for each of these operations are kept, and the time it takes to download a video is also measured. A dataset is created afterward by mapping these logs to user request patterns; a complete description of the dataset is shown in Table 3.

5.4 Pre-Processing and Model Training
Fig. 4 shows the overall system flow from data pre-processing to model training and evaluation. The dataset is further refined and restructured in the data cleaning and feature selection phase. In this phase, the irrelevant features are dropped, and the essential features are selected using a correlation matrix score. The data is sorted with a timestamp to make the sequential prediction feasible. As mentioned above, we calculate the relevance score using equations [30]. After completion of pre-processing step, the dataset has video-id, timeslot, latency, and relevance score as essential features. We aim to predict the videos for the next time slot; therefore, we further divide the datasets into train and test. 20% of the data is left for testing, and 80% is used for training. The capacity of the LSTM model to keep the prior output in memory and apply it for the subsequent prediction is the main factor driving its selection. If dataset features have a strong correlation, LSTM can be trained on a small amount of data [30]. To benefit from these characteristics, several researchers applied LSTM in a variety of areas, including language identification [31], picture detection [32], and forecasting [33]. We selected LSTM as our predicted model while keeping these capabilities in mind. A dataset built through log collection was used to train the model. The model hyper-parameter values are count layer (2), output classes (325), features (4), and step-size (8).

Figure 4: The data pre-processing with model training and prediction
6 Performance Evaluation and Results
The testbed environment, mathematical model verification, system model performance evaluation, and results are all covered in this section.
The testbed environment is built on top of the KOREN infrastructure. The topology has ten virtual switches in the KOREN, one for each city, interconnected using 10G links. We have ten physical nodes (edge nodes) deployed in ten cities connected through virtual switches. All outgoing city traffic passes through the directly connected switch. The Open Daylight SDN controller is used to deploy virtual flow switches in the KOREN testbed. The flow rules are deployed using reactive forwarding based on the requested end device in the initial step. After that, a communication link between the data center and CDN-edge is created. The content request is generated from the end device and sent to the CDN-edge. The content request will be provided to a user if found on the edge. Otherwise, the request is fulfilled by the data center.
6.2 Mathematical Model Verification
To validate our proposed model, we apply the data validation approach. To examine how an objective function is defined in Eq. (17) behaves, we choose seven different values between 0 and 1. These numbers have been chosen: 0, 0.1, 0.2, 0.4, 0.6, 0.8, and 1. To determine which combination produces the best outcome, we examine the outcome of the objective function for every combination. When accuracy is one and relevance score is zero, an objective function yields its optimal value. That indicates that the most irrelevant video is removed from the cache, and machine learning is predicted with the highest accuracy. When an objective function produces a value of zero, it indicates that the user requests the deleted video from the cache in the next timestamp and that the machine learning-predicted video did not result in a hit scenario. Similarly, the definition of the relevance score function is evaluated as stated in Eq. (8). The following possible values are considered for each attribute: 0, 0.25, 0.50, 0.75, and 1. The weights
6.3 Model Performance Evaluation
The two sub-systems will determine how the proposed system is evaluated. The two subsystems are the relevance score computational model, which has a mathematical definition, and the machine learning model, which forecasts the video for the next time stamp. The previous section has explained how the relevance score computational model is evaluated. Here, we will discuss the machine learning model and demonstrate the proposed system evaluation later. For the proposed model evaluation, we generate the request in sequential order. Based on the sequential list, we have the information about the video v to be requested at

Figure 5: Hit ratio of time-slot datasets

Figure 6: Comparison with state-of-the-art schemes
This paper proposes an algorithm that optimally utilizes the edge storage resource to increase the chances of request fulfillment from the CDN-edge. The optimal use of the storage is the major problem in CDN as the edge resources are limited. Therefore, our CDN-edge caching scheme optimally selects the video that is least affected by future requests and deletes it from the edge. A selected video is based on video weight and a time-based video and genre profile. Then, an extracted request pattern is appended with the proposed scheme to inherit the time-based features. Furthermore, a request pattern is configured on the user device to generate request in sequential order. A dataset is built after the pre-processing of operation logs. Finally, an LSTM model is trained and optimized with different hyper-parameter values using GridSearchCV. Moreover, the proposed scheme is tested on a CDN architecture built on top of KOREN SDI. The comparison results show the proposed method outperforming the state-of-the-art techniques on hit ratio. A more complex time-based pattern can be extracted in future work, and different dataset features can be utilized to enhance model training. A hierarchical or multi-level edge can be deployed to test the model in a more realistic environment. An extended version of this algorithm can be applied to optimize the network resources.
Acknowledgement: This research was supported by the 2022 scientific promotion program funded by Jeju National University.
Funding Statement: This research was supported by the 2022 scientific promotion program funded by Jeju National University.
Conflicts of Interest: The authors declare that there are no conflicts of interest regarding the publication of this paper.
References
1. Cisco. “Cisco annual internet report (2018–2023) white paper,” 2020. [Online]. Available: https://www.cisco.com/c/en/us/solutions/collateral/executive-perspectives/annual-internet-report/white-paper-c11-741490.pdf [Google Scholar]
2. C. Papagianni, A. Leivadeas and S. Papavassiliou, “A Cloud-oriented content delivery network paradigm: Modeling and assessment,” IEEE Transactions on Dependable and Secure Computing, vol. 10, no. 5, pp. 287–300, 2013. [Google Scholar]
3. Gartner. “Gartner forecasts worldwide public cloud End-user spending to reach nearly $500 billion in 2022,” 2022. [Online]. Available: https://www.gartner.com/en/newsroom/press-releases/2022-04-19-gartner-forecasts-worldwide-public-cloud-end-user-spending-to-reach-nearly-500-billion-in-2022 [Google Scholar]
4. E. Friedlander and V. Aggarwal, “Generalization of LRU cache replacement policy with applications to video streaming,” ACM Transactions on Modeling and Performance Evaluation of Computing Systems (TOMPECS), vol. 4, no. 3, pp. 1–22, 2019. [Google Scholar]
5. L. Chhangte, E. Viterbo, D. Manjunath and N. Karamchandani, “Online caching and coding at the wifi edge: Gains and tradeoffs,” in Proc. IEEE WCNCW, Seoul, Korea, pp. 1–6, 2020. [Google Scholar]
6. Y. Wang, G. Zheng and V. Friderikos, “Proactive caching in mobile networks with delay guarantees,” in Proc. IEEE Int. Conf. on Communications (ICC), Shanghai, China, pp. 1–6, 2019. [Google Scholar]
7. W. Shi, J. Cao, Q. Zhang, Y. Li and L. Xu, “Edge computing: Vision and challenges,” IEEE Internet of Things Journal, vol. 3, no. 5, pp. 637–646, 2016. [Google Scholar]
8. R. Wang, R. Li, P. Wang and E. Liu, “Analysis and optimization of caching in fog radio access networks,” IEEE Transactions on Vehicular Technology, vol. 68, no. 8, pp. 8279–8283, 2019. [Google Scholar]
9. L. Li, G. Zhao and R. S. Blum, “A survey of caching techniques in cellular networks: Research issues and challenges in content placement and delivery strategies,” IEEE Communications Surveys & Tutorials, vol. 20, no. 3, pp. 1710–1732, 2018. [Google Scholar]
10. K. Bilal, S. Junaid, A. Erbad, W. Alanazi and A. Alourani, “Addressing challenges of distance learning in the pandemic with edge intelligence enabled multicast and caching solution,” Sensors, vol. 22, no. 3, pp. 1092–1094, 2022. [Google Scholar] [PubMed]
11. W. Jiang, G. Feng, S. Qin and Y. Liu, “Multi-agent reinforcement learning based cooperative content caching for mobile edge networks,” IEEE Access, vol. 7, pp. 61856–61867, 2019. [Google Scholar]
12. X. Chen, L. He, S. Xu, S. Hu and Q. Li et al., “Hit ratio driven mobile edge caching scheme for video on demand services,” in Proc. IEEE Int. Conf. on Multimedia and Expo (ICME), Shanghai, China, pp. 1702–1707, 2019. [Google Scholar]
13. L. Ale, N. Zhang, H. Hu, D. Chen and T. Han, “Online proactive caching in mobile edge computing using bidirectional deep recurrent neural network,” IEEE Internet of Things Journal, vol. 6, no. 3, pp. 5520–5530, 2019. [Google Scholar]
14. Arxiv. “Applying machine learning techniques for caching in edge networks: A comprehensive survey,” 2020. [Online]. Available: https://arxiv.org/abs/2006.16864 [Google Scholar]
15. C. Li, M. Song, S. Du, X. Wang, M. Zhang et al., “Adaptive priority-based cache replacement and prediction-based cache prefetching in edge computing environment,” Journal of Network and Computer Applications, vol. 165, pp. 102715, 2020. [Google Scholar]
16. Y. Tang, K. Guo, J. Ma, Y. Shen and T. Chi, “A smart caching mechanism for mobile multimedia in information centric networking with edge computing,” Future Generation Computer Systems, vol. 91, pp. 590–600, 2019. [Google Scholar]
17. Y. Chen, Y. Liu, J. Zhao and Q. Zhu, “Mobile edge cache strategy based on neural collaborative filtering,” IEEE Access, vol. 8, pp. 18475–18482, 2020. [Google Scholar]
18. J. Liang, D. Zhu, H. Liu, H. Ping and T. Li et al., “Multi-head attention based popularity prediction caching in social content-centric networking with mobile edge computing,” IEEE Communications Letters, vol. 25, no. 2, pp. 508–812, 2020. [Google Scholar]
19. D. Wang, X. An, X. Zhou and X. Lu, “Data cache optimization model based on cyclic genetic ant colony algorithm in edge computing environment,” International Journal of Distributed Sensor Networks, vol. 15, no. 8, pp. 1550147719867864, 2019. [Google Scholar]
20. S. Sun, W. Jiang, G. Feng, S. Qin and Y. Yuan, “Cooperative caching with content popularity prediction for mobile edge caching,” Tehnički Vjesnik, vol. 26, no. 2, pp. 503–509, 2019. [Google Scholar]
21. Y. He, F. R. Yu, N. Zhao, V. C. M. Leung and H. Yin, “Software-defined networks with mobile edge computing and caching for smart cities: A big data deep reinforcement learning approach,” IEEE Communications Magazine, vol. 55, no. 12, pp. 31–37, 2017. [Google Scholar]
22. R. Turrin, A. Condorelli, P. Cremonesi and R. Pagano, “Time-based tv programs prediction,” in Proc. (RecSysTV 2014), California, USA, vol. 14, 2014. [Google Scholar]
23. S. Cheng and W. Wang, “Rating prediction algorithm based on user time-sensitivity,” Information, vol. 11, no. 1, pp. 4, 2019. [Google Scholar]
24. B. Rounak. “The MovieLens dataset,” 2018. [Online]. Available: https://grouplens.org/datasets/movielens/latest/ [Google Scholar]
25. F. M. Harper and J. A. Konstan, “The movielens datasets: History and context,” ACM Trans. Interact. Intell. System, vol. 5, no. 4, pp. 1–19, 2015. [Google Scholar]
26. Arxiv. “A modern introduction to probability and statistics,” 2005. [Online]. Available: https://link.springer.com/book/10.1007/1-84628-168-7 [Google Scholar]
27. T. Peng, H. Wang, C. Liang, P. Dong and Y. Wei et al., “Value-aware cache replacement in edge networks for internet of things,” Transactions on Emerging Telecommunications Technologies, vol. 32, no. 9, pp. e4261, 2021. [Google Scholar]
28. MIT Technology Review. “Claude shannon: Reluctant father of the digital Age,” 2001. [Online]. Available: https://www.technologyreview.com/2001/07/01/235669/claude-shannon-reluctant-father-of-the-digital-age/ [Google Scholar]
29. Kaggle. “Explore, analyze, and share quality data,” 2022. [Online]. Available: https://www.kaggle.com/datasets [Google Scholar]
30. B. Zhang, G. Zou, D. Qin, Y. Lu and Y. Jin et al., “A novel encoder-decoder model based on read-first lstm for air pollutant prediction,” Science of the Total Environment, vol. 765, pp. 144507, 2021. [Google Scholar] [PubMed]
31. Arxiv. “Contextual LSTM (CLSTM) models for large scale NLP tasks,” 2016. [Online]. Available: https://arxiv.org/abs/1602.06291 [Google Scholar]
32. B. Jena, S. Sexana, G. K. Nayak, L. Saba and N. Sharma et al., “Artificial intelligence-based hybrid deep learning models for image classification: The first narrative review,” Computers in Biology and Medicine, vol. 137, pp. 104803, 2021. [Google Scholar] [PubMed]
33. Arxiv. “Time series forecasting using LSTM networks: A symbolic approach,” 2020. [Online]. Available: https://arxiv.org/abs/2003.05672 [Google Scholar]
Cite This Article
Copyright © 2023 The Author(s). Published by Tech Science Press.This work is licensed under a Creative Commons Attribution 4.0 International License , which permits unrestricted use, distribution, and reproduction in any medium, provided the original work is properly cited.


Submit a Paper
Propose a Special lssue
View Full Text
Download PDF
Downloads
Citation Tools